Left atrial mechanics in patients with acute STEMI and secondary mitral regurgitation: A prospective pilot CMR feature tracking study
Abstract
1. Introduction
2. Materials and methods
2.1. Study population
2.2. Cardiac magnetic resonance
2.3. Volumetric analysis
2.4. Feature tracking
2.5. Statistical analysis
3. Results
4. Discussion
- LV volumes are significantly larger in patients with MR, whereas LV ejection fraction is similar when compared with those without MR.
- LA volumes and emptying fractions are similar in both groups and do not show early changes in LA myocardial deformation in patients with acute STEMI and secondary MR.
- LA reservoir, passive and active strain are significantly higher in patients with MR, but only peak early negative strain rate exhibits substantial augmentation.
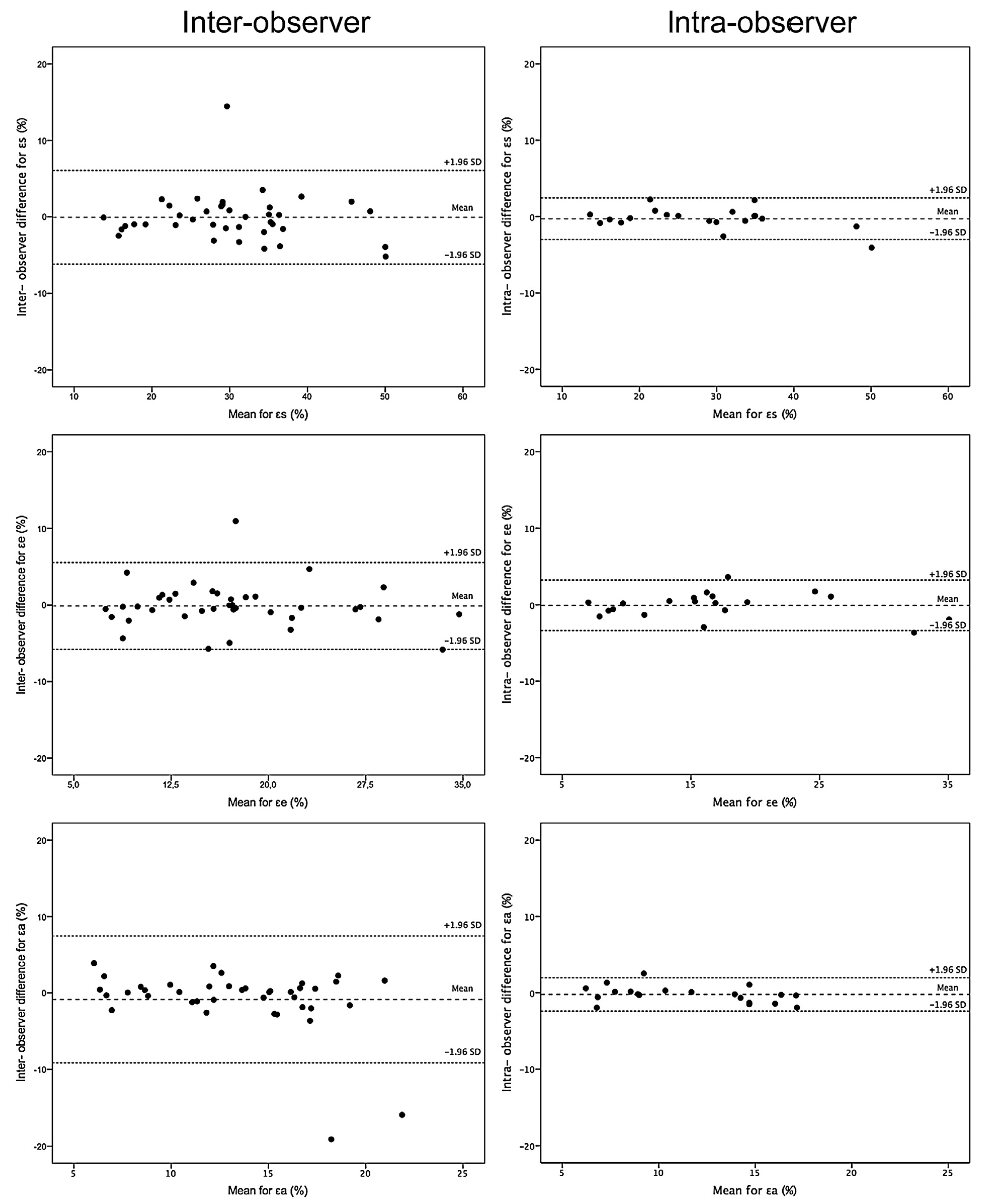
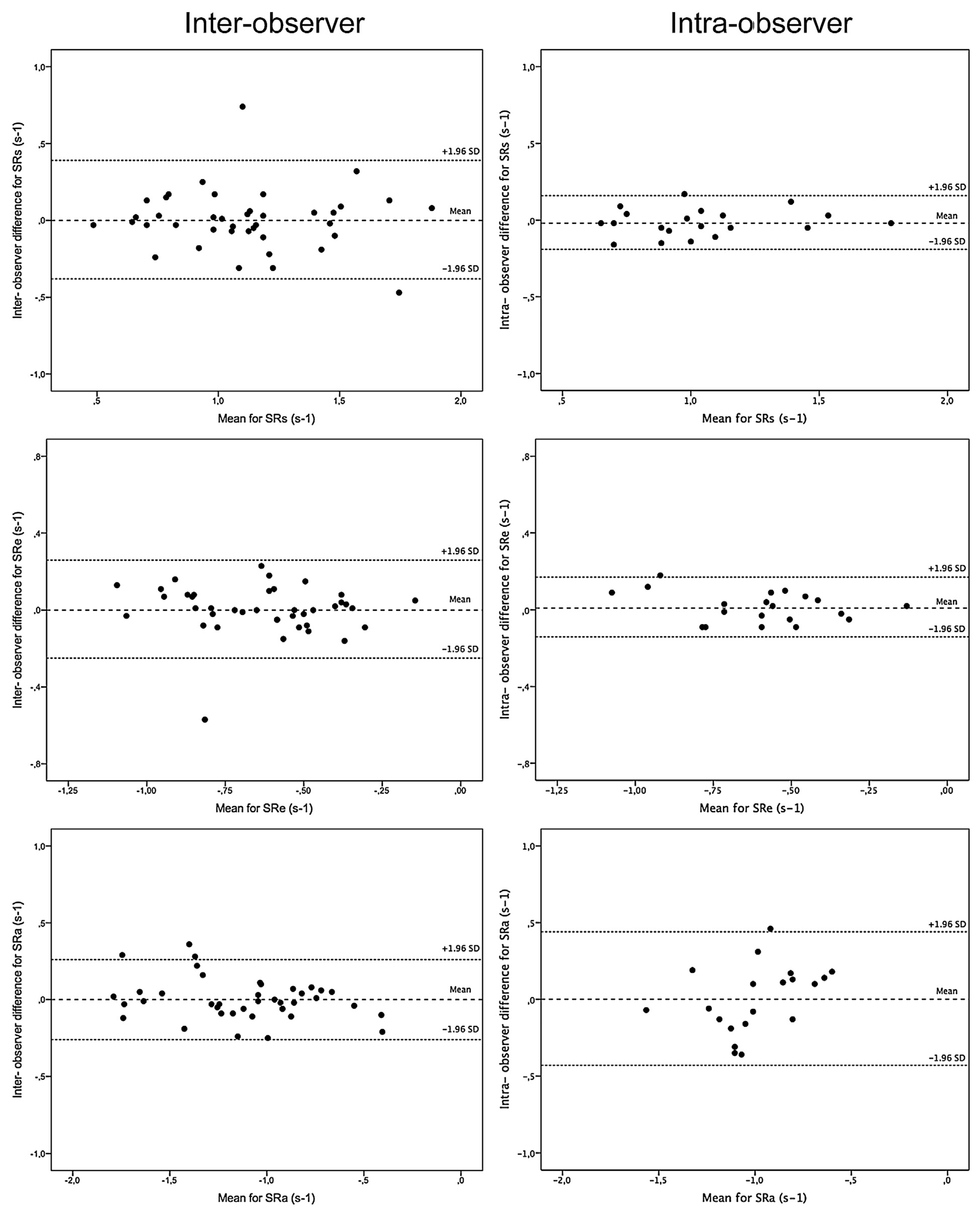
- Study demonstrates excellent interobserver and intraobserver reproducibility for all LA strain and strain rate values.
4.1. Limitations
5. Conclusions
Conflict of interest
Appendix A. Supplementary data
REFERENCES
- Bursi, F.; Enriquez-Sarano, M.; Nkomo, V.T.; Jacobsen, S.J.; Weston, S.A.; Meverden, R.A.; et al. Heart failure and death after myocardial infarction in the community: the emerging role of mitral regurgitation. Circulation 2005, 111, 295–301. [Google Scholar] [CrossRef] [PubMed]
- Benjamin, E.J.; D'Agostino, R.B.; Belanger, A.J.; Wolf, P.A.; Levy, D. Left atrial size and the risk of stroke and death. The Framingham Heart Study. Circulation 1995, 92, 835–41. [Google Scholar] [CrossRef] [PubMed]
- Hoit, B.D. Left atrial size and function: role in prognosis. J Am Coll Cardiol 2014, 63, 493–505. [Google Scholar] [CrossRef] [PubMed]
- Grigioni, F.; Avierinos, J.F.; Ling, L.H.; Scott, C.G.; Bailey, K.R.; Tajik, A.J.; et al. Atrial fibrillation complicating the course of degenerative mitral regurgitation: determinants and long-term outcome. J Am Coll Cardiol 2002, 40, 84–92. [Google Scholar] [CrossRef]
- Kaminski, M.; Steel, K.; Jerosch-Herold, M.; Khin, M.; Tsang, S.; Hauser, T.; et al. Strong cardiovascular prognostic implication of quantitative left atrial contractile function assessed by cardiac magnetic resonance imaging in patients with chronic hypertension. J Cardiovasc Magn Reson 2011, 13, 42. [Google Scholar] [CrossRef] [PubMed]
- Lancellotti, P.; Tribouilloy, C.; Hagendorff, A.; Popescu, B.A.; Edvardsen, T.; Pierard, L.A.; et al. Scientific Document Committee of the European Association of Cardiovascular Imaging. Recommendations for the echocardiographic assessment of native valvular regurgitation: an executive summary from the European Association of Cardiovascular Imaging. Eur Heart J Cardiovasc Imaging 2013, 14, 611–44. [Google Scholar] [CrossRef] [PubMed]
- Lapinskas, T.; Urbonaite, L.; Bucius, P.; Fedaravicius, A.P.; Stabinskaite, A.; Ejsmont, M.; et al. Evaluation of left atrial myocardial deformation in patients with acute MR after STEMI using CMR feature tracking. J Cardiovasc Magn Reson 2016, 18 (Suppl. 1), P64. [Google Scholar] [CrossRef]
- Sievers, B.; Kirchberg, S.; Addo, M.; Bakan, A.; Brandts, B.; Trappe, H.J. Assessment of left atrial volumes in sinus rhythm and atrial fibrillation using biplane area-length method and cardiovascular magnetic resonance imaging with TrueFISP. J Cardiovasc Magn Reson 2004, 6, 855–63. [Google Scholar] [CrossRef] [PubMed]
- Blume, G.G.; Mcleod, C.J.; Barnes, M.E.; Seward, J.B.; Pellikka, P.A.; Bastiansen, P.M.; et al. Left atrial function: physiology, assessment and clinical implications. Eur J Echocardiogr 2011, 12, 421–30. [Google Scholar] [CrossRef] [PubMed]
- Kowallick, J.T.; Kutty, S.; Edemann, F.; Chiribiri, A.; Villa, A.; Steinmetz, M.; et al. Quantification of left atrial strain and strain rate using cardiovascular magnetic resonance myocardial feature tracking: a feasibility study. J Cardiovasc Magn Reson 2014, 16, 60. [Google Scholar] [CrossRef] [PubMed]
- Cameli, M.; Caputo, M.; Mondillo, S.; Ballo, P.; Palmerini, E.; Lisi, M.; et al. Feasibility and reference values of left atrial longitudinal strain imaging by two-dimensional speckle tracking. Cardiovasc Ultrasound 2009, 7, 6. [Google Scholar] [CrossRef] [PubMed]
- Bland, J.M.; Altman, D.G. Statistical methods for assessing agreement between two methods of clinical measurement. Lancet 1996, 8476, 307–10. [Google Scholar] [CrossRef]
- Oppo, K.; Leen, E.; Angerson, W.J.; Cooke, T.G.; McArdle, C.S. Doppler perfusion index: an interobserver and intraobserver reproducibility study. Radiology 1998, 208, 453–7. [Google Scholar] [CrossRef] [PubMed]
- Lamas, G.A.; Mitchell, G.F.; Flaker, G.C.; Smith, S.C., Jr.; Gersh, B.J.; Bast; et al. Clinical significance of mitral regurgiation after acute myocardial infarction. Survival and ventricular enlargement investigators. Circulation 1997, 96, 827–33. [Google Scholar] [CrossRef] [PubMed]
- Grigioni, F.; Enriquez-Sarano, M.; Zehr, K.J.; Bailey, K.R.; Tajik, A.J. Ischemic mitral regurgitation: long-term outcome and prognostic implications with quantitative Doppler assessment. Circulation 2001, 103, 1759–64. [Google Scholar] [CrossRef] [PubMed]
- James, T.N.; Burch, G.E. Blood supply of the human interventricular septum. Circulation 1958, 17, 391–6. [Google Scholar] [CrossRef] [PubMed]
- Bauer, F.; Jones, M.; Qin, J.X.; Castro, P.; Asada, J.; Sitges, M.; et al. Quantitative analysis of left atrial function during left ventricular ischemia with and without left atrial ischemia: a real-time 3-dimensional echocardiographic study. J Am Soc Echocardiogr 2005, 18, 795–801. [Google Scholar] [CrossRef] [PubMed]
- Payne, R.M.; Stone, H.L.; Engelken, E.J. Atrial function during volume loading. J Appl Physiol 1971, 31, 326–31. [Google Scholar] [CrossRef] [PubMed]
- Maret, E.; Todt, T.; Brudin, L.; Nylander, E.; Swahn, E.; Ohlsson, J.; et al. Functional measurements based on feature tracking of cine magnetic resonance images identify left ventricular segments with myocardial scar. Cardiovasc Ultrasound 2009, 7, 53. [Google Scholar] [CrossRef] [PubMed]
- Schuster, A.; Hor, K.N.; Kowallick, J.T.; Beerbaum, P.; Kutty, S. Cardiovascular magnetic resonance myocardial feature tracking: concepts and clinical applications. Circ Cardiovasc Imaging 2016, 9, e004077. [Google Scholar] [CrossRef] [PubMed]
- Grant, C.; Bunnell, I.L.; Greene, D.G. The reservoir function of the left atrium during ventricular systole. An angiocardiographic study of atrial stroke volume and work. Am J Med 1964, 37, 36–43. [Google Scholar] [CrossRef]
- Cameli, M.; Lisi, M.; Righini, F.M.; Focardi, M.; Alfieri, O.; Mondillo, S. Left atrial speckle tracking analysis in patients with mitral insufficiency and history of paroxysmal atrial fibrillation. Int J Cardiovasc Imaging 2012, 28, 1663–70. [Google Scholar]
- Borg, A.N.; Pearce, K.A.; Williams, S.G.; Ray, S.G. Left atrial function and deformation in chronic primary mitral regurgitation. Eur J Echocardiogr 2009, 10, 833–40. [Google Scholar] [CrossRef] [PubMed][Green Version]
- Katayama, K.; Tajimi, T.; Guth, B.D.; Matsuzaki, M.; Lee, J.D.; Seitelberger, R.; et al. Early diastolic filling dynamics during experimental mitral regurgitation in the conscious dog. Circulation 1988, 78, 390–400. [Google Scholar] [CrossRef] [PubMed]
- Kowallick, J.T.; Morton, G.; Lamata, P.; Jogiya, R.; Kutty, S.; Hasenfuß, G.; et al. Quantification of atrial dynamics using cardiovascular magnetic resonance: inter-study reproducibility. J Cardiovasc Magn Reson 2015, 17, 36. [Google Scholar] [CrossRef] [PubMed]



| Phasic function | Equation |
|---|---|
| LA reservoir function | |
| LAEVtotal, mL | LAmaximal–LAminimal |
| LAEFtotal, % | (LAmaximal–LAminimal)/LAmaximal |
| LA conduit function | |
| LAEVpassive, mL | LAmaximal–LAprecontraction |
| LAEFpassive (%) | (LAmaximal–LAprecontraction)/ |
| LAmaximal | |
| LA contratile function | |
| LAEVactive, mL | LAprecontraction–LAminimal |
| LAEFactive, % | (LAprecontraction–LAminimal)/ |
| LAprecontraction |
| Characteristic | MR(−) | MR(+) | P |
|---|---|---|---|
| group | group | ||
| (n = 10) | (n = 10) | ||
| Demographics | |||
| Age | 62.90 ± 8.62 | 59.70 ± 11.17 | 0.48 |
| Male gender, n (%) | 5 (50) | 7 (70) | 0.39 |
| BMI, kg/m2 | 29.50 ± 4.49 | 28.14 ± 5.49 | 0.55 |
| Left ventricular volumetric parameters | |||
| LVEDV, mL/m2 | 64.70 ± 13.78 | 86.22 ± 20.50 | 0.01 |
| LVESV, mL/m2 | 24.28 ± 5.08 | 34.87 ± 9.52 | 0.01 |
| LVSV, ml/m2 | 40.42 ± 9.12 | 51.36 ± 11.81 | 0.03 |
| LVEF, % | 62.34 ± 2.94 | 59.69 ± 3.20 | 0.07 |
| Left atrial volumetric parameters | |||
| LAEVtotal, mL/m2 | 19.91 ± 7.52 | 26.26 ± 8.94 | 0.17 |
| LAEVpassive, mL/m2 | 9.54 ± 6.06 | 15.04 ± 6.89 | 0.11 |
| LAEVactive, mL/m2 | 10.37 ± 4.05 | 11.22 ± 4.48 | 0.65 |
| LAEFtotal, % | 55.27 ± 9.64 | 55.91 ± 11.47 | 0.90 |
| LAEFpassive, % | 24.92 ± 8.93 | 30.91 ± 7.93 | 0.13 |
| LAEFactive, % | 40.21 ± 12.77 | 36.28 ± 14.51 | 0.53 |
| Parameter | MR(−) group | MR(+) group | P |
|---|---|---|---|
| εs, % | 27.67 ± 10.25 | 32.80 ± 6.95 | 0.01 |
| εe, % | 15.29 ± 7.30 | 19.22 ± 6.04 | 0.01 |
| εa, % | 12.38 ± 4.23 | 14.44 ± 5.19 | 0.03 |
| SRs, s−1 | 1.10 ± 0.39 | 1.12 ± 0.28 | 0.55 |
| SRe, s−1 | −0.57 ± 0.24 | −0.70 ± 0.20 | 0.01 |
| SRa, s−1 | –1.15 ± 0.35 | –1.09 ± 0.38 | 0.56 |
| Parameter | Mean | Limits of | ICC |
|---|---|---|---|
| difference ± SD | agreement | (95% CI) | |
| εs, % | −0.05 ± 3.12 | −6.17 to 6.07 | 0.97 (0.94 to 0.98) |
| εe, % | −0.11 ± 2.90 | −5.80 to 5.57 | 0.96 (0.92 to 0.98) |
| εa, % | −0.84 ± 4.24 | −9.14 to 7.46 | 0.76 (0.54 to 0.87) |
| SRs, s−1 | 0.00 ± 0.20 | −0.38 to 0.39 | 0.91 (0.83 to 0.95) |
| SRe, s−1 | 0.00 ± 0.13 | −0.25 to 0.26 | 0.92 (0.84 to 0.96) |
| SRa, s−1 | 0.00 ± 0.13 | −0.26 to 0.26 | 0.97 (0.94 to 0.98) |
| Parameter | Mean | Limits of | ICC |
|---|---|---|---|
| difference ± SD | agreement | (95% CI) | |
| εs, % | −0.29 ± 1.39 | −3.01 to 2.44 | 0.99 (0.99 to 1.00) |
| εe, % | −0.07 ± 1.68 | −3.37 to 3.23 | 0.99 (0.97 to 1.00) |
| εa, % | −0.23 ± 1.10 | −2.39 to 1.94 | 0.98 (0.95 to 0.99) |
| SRs, s−1 | −0.02 ± 0.09 | −0.19 to 0.16 | 0.98 (0.95 to 0.99) |
| SRe, s−1 | 0.01 ± 0.08 | −0.14 to 0.15 | 0.97 (0.93 to 0.99) |
| SRa, s−1 | 0.00 ± 0.22 | –0.43 to 0.44 | 0.79 (0.47 to 0.92) |
© 2017 The Lithuanian University of Health Sciences. Production and hosting by Elsevier Sp. z o.o. This is an open access article under the CC BY-NC-ND license (http://creativecommons.org/licenses/by-nc-nd/4.0/).
Share and Cite
Lapinskas, T.; Bučius, P.; Urbonaitė, L.; Stabinskaitė, A.; Valuckienė, Ž.; Jankauskaitė, L.; Benetis, R.; Žaliūnas, R. Left atrial mechanics in patients with acute STEMI and secondary mitral regurgitation: A prospective pilot CMR feature tracking study. Medicina 2017, 53, 11-18. https://doi.org/10.1016/j.medici.2017.02.001
Lapinskas T, Bučius P, Urbonaitė L, Stabinskaitė A, Valuckienė Ž, Jankauskaitė L, Benetis R, Žaliūnas R. Left atrial mechanics in patients with acute STEMI and secondary mitral regurgitation: A prospective pilot CMR feature tracking study. Medicina. 2017; 53(1):11-18. https://doi.org/10.1016/j.medici.2017.02.001
Chicago/Turabian StyleLapinskas, Tomas, Paulius Bučius, Laura Urbonaitė, Agnieta Stabinskaitė, Živilė Valuckienė, Lina Jankauskaitė, Rimantas Benetis, and Remigijus Žaliūnas. 2017. "Left atrial mechanics in patients with acute STEMI and secondary mitral regurgitation: A prospective pilot CMR feature tracking study" Medicina 53, no. 1: 11-18. https://doi.org/10.1016/j.medici.2017.02.001
APA StyleLapinskas, T., Bučius, P., Urbonaitė, L., Stabinskaitė, A., Valuckienė, Ž., Jankauskaitė, L., Benetis, R., & Žaliūnas, R. (2017). Left atrial mechanics in patients with acute STEMI and secondary mitral regurgitation: A prospective pilot CMR feature tracking study. Medicina, 53(1), 11-18. https://doi.org/10.1016/j.medici.2017.02.001
