Modeling Gross Primary Production of Agro-Forestry Ecosystems by Assimilation of Satellite-Derived Information in a Process-Based Model
Abstract
:1. Introduction
- determine the ecophysiological parameters exploiting site level EC measurements;
- determine the spatially variable parameters necessary for modeling poplar productivity over large areas through assimilation of RS data into the optimized BIOME-BGC.
- a modified version of BIOME-BGC (named PROSAILH-BGC) which was developed by coupling BIOME-BGC with the vegetation radiative transfer models PROSPECT and SAILH. The aims of this coupling were twofold: i) to improve the description of the radiative transfer regime within the canopy and ii) to allow assimilation of remotely-sensed vegetation indexes time series, such as MODIS NDVI, into the process-based model.
- an inverse modeling approach developed for the optimization of the key [25] ecophysiological parameters of the PROSAILH-BGC. In this first-step optimization, model parameters were optimized for poplar plantations by inverting the model against EC data measured at the experimental field site.
- a technique developed for assimilation of MODIS NDVI data into the process model. For this purpose we inverted the PROSAILH-BGC against the MODIS NDVI (second-step optimization) in order to retrieve key drivers [25] of modeled GPP (e.g. start and end of growing season, maximum leaf carbon during the year).
- the evaluation of model accuracy: daily and yearly GPP modeled after two-step optimization were compared to site observations.
2. Data
2.1. Experimental Field Site Information
2.2. Micrometeorological Data
2.3. Remotely Sensed Data
3. Methods
3.1. BIOME-BGC Description
3.2. PROSAILH-BGC Description
3.3. Basic Model Parameterization
3.4. PROSAILH-BGC Optimization
- In the first step the model was optimized against GPP observations to estimate the ecophysiological parameters (Figure 2) for poplars for a further large-scale application. The target variables selected for optimization were C:NLeaf, the percentage of leaf nitrogen in RUBISCO (PLNR), FRC:LC and gs,MAX. We selected these parameters because they exert a significant influence on the modeled carbon fluxes, as pointed out by the sensitivity analysis described in [25]. In this step phenological observations (ONDAY, OFFDAY) and LCMAX were fixed to the observed values.Model ecophysiological parameters and their relative standard errors were estimated by using a bootstrapping algorithm with N = 500 resampling as described in [49]. The median of the distribution generated by bootstrapping for each parameter represents the estimated parameter value, while the standard deviation is a good measure of the error associated with the parameters.
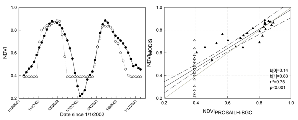
- In the second step we estimated phenological and standing biomass related parameters by inverting the model against remotely sensed NDVI time series. The algorithm determines ONDAY, OFFDAY and LCMAX which minimize the cost function calculated using NDVIMODIS as observation and the NDVIPROSAILH-BGC as modeled data (Figure 3). These parameters were chosen because of their importance for the model application at spatial scale. In fact, process-based models, and in particular BIOME-BGC, are sensitive to parameters describing the development of the canopy such as phenological data and parameters related to maximum LAI [25]. Thus, in this step we evaluate the accuracy of the proposed method in retrieving these important data, usually lacking over large areas.
3.5. Evaluation of Model Accuracy
4. Results and Discussion
4.1. Radiative Regime Description of PROSAILH-BGC
4.2. First-step Optimization - PROSAILH-BGC Eecophysiological Parameter Estimates
4.3. Second-Step Optimization - Phenological and Standing Biomass Parameter Estimates
5. Summary and Conclusions
Acknowledgments
Appendix I
| ECOPHYSIOLOGICAL PARAMETERS - Clone I-214 (Populus x canadensis Moench) | ||
|---|---|---|
| 78 | (yday) | yearday to start new growth (when phenology flag = 0) |
| 315 | (yday) | yearday to end litterfall (when phenology flag = 0) |
| 0.12 | (prop.) | transfer growth period as fraction of growing season |
| 0.38 | (prop.) | litterfall as fraction of growing season |
| 1.0 | (1/yr) | annual leaf and fine root turnover fraction |
| 0.70 | (1/yr) | annual live wood turnover fraction |
| 0.008 | (1/yr) | annual whole-plant mortality fraction |
| 0.0 | (1/yr) | annual fire mortality fraction |
| 1.2 | (ratio) | (ALLOCATION) new fine root C: new leaf C |
| 2.2 | (ratio) | (ALLOCATION) new stem C: new leaf C |
| 0.16 | (ratio) | (ALLOCATION) new live wood C: new total wood C |
| 0.22 | (ratio) | (ALLOCATION) new croot C: new stem C |
| 0.5 | (prop.) | (ALLOCATION) current growth proportio |
| 25.06 | (kgC/kgN) | C:N of leaves |
| 55.0 | (kgC/kgN) | C:N of leaf litter, after retranslocation |
| 42.0 | (kgC/kgN) | C:N of fine roots |
| 50.0 | (kgC/kgN) | C:N of live wood |
| 550.0 | (kgC/kgN) | C:N of dead wood |
| 0.38 | (DIM) | leaf litter labile proportion |
| 0.44 | (DIM) | leaf litter cellulose proportion |
| 0.18 | (DIM) | leaf litter lignin proportion |
| 0.34 | (DIM) | fine root labile proportion |
| 0.44 | (DIM) | fine root cellulose proportion |
| 0.22 | (DIM) | fine root lignin proportion |
| 0.77 | (DIM) | dead wood cellulose proportion |
| 0.23 | (DIM) | dead wood lignin proportion |
| 0.041 | (1/LAI/d) | canopy water interception coefficient |
| 0.54 | (DIM) | canopy light extinction coefficient |
| 2.0 | (DIM) | all-sided to projected leaf area ratio |
| 12.30 | (m2/kgC) | canopy average specific leaf area (projected area basis) |
| 2.0 | (DIM) | ratio of shaded SLA:sunlit SLA |
| 0.038 | (DIM) | fraction of leaf N in Rubisco |
| 0.006 | (m/s) | maximum stomatal conductance (projected area basis) |
| 6E-5 | (m/s) | cuticular conductance (projected area basis) |
| 0.01 | (m/s) | boundary layer conductance (projected area basis) |
| -0.34 | (MPa) | leaf water potential: start of conductance reduction |
| -2.2 | (MPa) | leaf water potential: complete conductance reduction |
| 1100.0 | (Pa) | vapor pressure deficit: start of conductance reduction |
| 3600.0 | (Pa) | vapor pressure deficit: complete conductance reduction |
References and Notes
- Trenberth, K.E. Storm tracks in the southern-hemisphere. J. Atmos. Sci. 1991, 48, 2159–2178. [Google Scholar]
- Easterling, W.E.; Aggarwal, P.; Batima, P.; Brander, K.; Erda, L.; Howden, M.; Kirilenko, A.; Morton, J.; Soussana, J.-F.; Schmidhuber, J.; Tubiello, F. Food, Fibre, and Forest Products. In Climate Change 2007: Impacts, Adaptation and Vulnerability. Contribution of Working Group II to the Fourth Assessment Report of the Intergovernmental Panel on Climate Change; Parry, M.L., Canziani, O.F., Palutikof, J.P., van der Linden, P.J., Hanson, C.E., Eds.; Cambridge University Press: Cambridge, UK, 2007; pp. 273–313. [Google Scholar]
- ISTAT (Istituto Nazionale di Statistica). 5° Censimento Generale Dell' Agricoltura; Censimenti, n. 103: Roma, 2002. [Google Scholar]
- Sitch, S.; Smith, B.; Prentice, I.C.; Arneth, A.; Bondeau, A.; Cramer, W.; Kaplan, J.O.; Levis, S.; Lucht, W.; Sykes, M.T.; Thonicke, K.; Venevsky, S. Evaluation of ecosystem dynamics, plant geography and terrestrial carbon cycling in the LPJ dynamic global vegetation model. Glob. Change Biol. 2003, 9, 161–185. [Google Scholar]
- Running, S.W.; Coughlan, J.C. A general model of forest ecosystem processes for regional applications. I. Hydrologic balance, canopy gas exchange and primary production processes. Ecol. Model. 1988, 42, 125–154. [Google Scholar]
- Thornton, P.E.; Law, B.E.; Gholz, H.L.; Clark, K.L.; Falge, E.; Ellsworth, D.S.; Golstein, A.H.; Monson, R.K.; Hollinger, D.; Falk, M.; Chen, J.; Sparks, J.P. Modeling and measuring the effects of disturbance history and climate on carbon and water budgets in evergreen needleleaf forests. Agr. Forest Meteorol. 2002, 113, 85–222. [Google Scholar]
- Chiesi, M.; Maselli, F.; Moriondo, M.; Fibbi, L.; Bindi, M.; Running, S.W. Application of BIOME-BGC to simulate Mediterranean forest processes. Ecol. Model. 2007, 206, 179–190. [Google Scholar]
- Churkina, G.; Tenhunen, J.; Thornton, P.; Falge, E.M.; Elbers, J.A.; Erhard, M.; Grunwald, T.; Kowalski, A.S.; Rannik, U.; Sprinz, D. Analyzing the ecosystem carbon dynamics of four European coniferous forests using a biogeochemistry model. Ecosystems 2003, 6, 168–184. [Google Scholar]
- Wang, Q.; Watanabe, M.; Ouyang, Z. Simulation of water and carbon fluxes using BIOME-BGC model over crops in China. Agr. Forest Meteorol. 2005, 131, 209–224. [Google Scholar]
- Mollicone, D.; Matteucci, G.; Köble, R.; Masci, A.; Chiesi, M.; Smits, P.C. A model-based approach for the estimation of carbon sinks in European forests. Valentini, R., Ed.; Fluxes of Carbon, Water and Energy in European Forests; In Ecological Studies; Springer-Verlay: Berlin, 2003; Volume 163, pp. 179–206. [Google Scholar]
- Jung, M.; Vetter, M.; Herold, M.; Churkina, G.; Reichstein, M.; Zaehle, S.; Ciais, P.; Viovy, N.; Bondeau, A.; Chen, Y.; Trusilova, K.; Feser, F.; Heimann, M. Uncertainties of modeling gross primary productivity over Europe: a systematic study on the effects of using different drivers and terrestrial biosphere models. Global Biogeochem. Cycle. 2007, 21, GB4021. [Google Scholar]
- Vetter, M.; Churkina, G.; Jung, M.; Reichstein, M.; Zaehle, S.; Bondeau, A.; Chen, Y.; Ciais, P.; Feser, F.; Freibauer, A.; Geyer, R.; Jones, C.; Papale, D.; Tenhunen, J.; Tomelleri, E.; Trusilova, K.; Viovy, N.; Heimann, M. Analyzing the causes and spatial pattern of the European 2003 carbon flux anomaly using seven models. Biogeosciences 2008, 5, 561–583. [Google Scholar]
- Baldocchi, D.; Meyers, T. On using eco-physiological, micrometeorological and biogeochemical theory to evaluate carbon dioxide, water vapor and trace gas fluxes over vegetation: a perspective. Agr. Forest Meteorol. 1998, 90, 1–25. [Google Scholar]
- Reichstein, M.; Tenhunen, J.D.; Roupsard, O.; Ourcival, J.M.; Rambal, S.; Miglietta, F.; Peressotti, A.; Pecchiari, M.; Tirone, G.; Valentini, R. Severe drought effects on ecosystem CO2 and H2O fluxes at three Mediterranean evergreen sites: revision of current hypotheses? Glob. Change Biol. 2002, 8, 999–1017. [Google Scholar]
- Kimes, D.S.; Knyazikhin, Y.; Privette, J.L.; Abuelgasim, A.A.; Gao, F. Inversion of physically-based models. Remote Sens. Rev. 2000, 18, 381–439. [Google Scholar]
- Tarantola, A. Inverse Problem Theory and Methods for Model Parameter Estimation; Society of Industrial and Applied Mathematics (SIAM): Philadelphia, 2005. [Google Scholar]
- Meroni, M.; Colombo, R.; Panigada, C. Inversion of a radiative transfer model with hyperspectral observations for LAI mapping in poplar plantations. Remote Sens. Environ. 2004, 92, 195–206. [Google Scholar]
- Pinty, B.; Lavergne, T.; Widlowski, J.L.; Gobron, N.; Verstraete, M.M. On the need to observe vegetation canopies in the near-infrared to estimate visible light absorption. Remote Sens. Environ. 2009, 113, 10–23. [Google Scholar]
- Jacquemoud, S.; Bacour, C.; Poilve, H.; Frangi, J.P. Comparison of four radiative transfer models to simulate plant canopies reflectance direct and inverse mode. Remote Sens. Environ. 2000, 74, 471–481. [Google Scholar]
- Reichstein, M.; Tenhunen, J.; Roupsard, O.; Ourcival, J.M.; Rambal, S.; Miglietta, F.; Peressotti, A.; Pecchiari, M.; Tirone, G.; Valentini, R. Inverse modeling of seasonal drought effects on canopy CO2/H2O exchange in three Mediterranean ecosystems. J. Geophys. Res.-Atmos. 2003, 108, 4726. [Google Scholar]
- Medlyn, B.E.; Robinson, A.P.; Clement, R.; McMurtrie, R.E. On the validation of models of forest CO2 exchange using eddy covariance data: some perils and pitfalls. Tree Physiol. 2005, 25, 839–857. [Google Scholar]
- Migliavacca, M.; Cremonese, E.; Colombo, R.; Busetto, L.; Galvagno, M.; Ganis, L.; Meroni, M.; Pari, E.; Rossini, M.; Siniscalco, C.; Morra, di Cella, U. European larch phenology in the Alps: can we grasp the role of ecological factors by combining field observations and inverse modelling? Int. J. Biometeorol. 2008, 52, 587–605. [Google Scholar]
- Schaber, J.; Badeck, F.W. Physiology-based phenology models for forest tree species in Germany. Int. J. Biometeorol. 2003, 47, 193–201. [Google Scholar]
- Olioso, A.; Chauki, H.; Courault, D.; Wigneron, J.P. Estimation of evapotranspiration and photosynthesis by assimilation of remote sensing data into SVAT models. Remote Sens. Environ. 1999, 68, 341–356. [Google Scholar]
- White, M.A.; Thornton, P.E.; Running, S.W.; Nemani, R.R. Parameterization and Sensitivity Analysis of the BIOME-BGC Terrestrial Ecosystem Model: Net Primary Production Controls. Earth Interaction. 2000, 4, 1–85. [Google Scholar]
- Köppen, W. Das geographisca system der klimate. In Handbuch der Klimatologie; Köpen, W., Geiger, G., Eds.; Gebrüder, Borntraeger: Berlin, 1936; Volume 1, pp. 1–44. [Google Scholar]
- Mosello, R.; Brizzio, M.C.; Kotzias, D.; Marchetto, A.; Rembges, D.; Tartari, G. The chemistry of atmospheric deposition in Italy in the framework of the National Programme for Forest Ecosystems Control (CONECOFOR). J. Limnol. 2002, 61 Suppl. 1, 77–92. [Google Scholar]
- Colombo, R.; Meroni, M.; Marchesi, A.; Busetto, L.; Rossini, M.; Giardino, C.; Panigada, C. Estimation of leaf and canopy water content in poplar plantations by means of hyperspectral indices and inverse modeling. Remote Sens. Environ. 2008, 112, 1820–1834. [Google Scholar]
- Teobaldelli, M.; Puig, A.D.; Zenone, T.; Matteucci, M.; Seufert, G.; Sequeira, V. Building a topological and geometrical model of poplar tree using portable on-ground scanning LIDAR. Funct. Plant Biol. 2008, 35, 1080–1090. [Google Scholar]
- Aubinet, M.; Grelle, A.; Ibrom, A.; Rannik, U.; Moncrieff, J.; Foken, T.; Kowalski, A.S.; Martin, P.H.; Berbigier, P.; Bernhofer, C.; Clement, R.; Elbers, J.; Granier, A.; Grunwald, T.; Morgenstern, K.; Pilegaard, K.; Rebmann, C.; Snijders, W.; Valentini, R.; Vesala, T. Estimates of the annual net carbon and water exchange of forests: The EUROFLUX methodology. Advan. Ecol. Res. 2000, 30, 113–175. [Google Scholar]
- Foken, T.; Wichura, B. Tools for quality assessment of surface-based flux measurements. Agr. Forest Meteorol. 1996, 78, 83–105. [Google Scholar]
- Greco, S.; Baldocchi, D.D. Seasonal variations of CO2 and water vapour exchange rates over a temperate deciduous forest. Glob. Change Biol. 1996, 2, 183–197. [Google Scholar]
- Reichstein, M.; Falge, E.; Baldocchi, D.; Papale, D.; Aubinet, M.; Berbigier, P.; Bernhofer, C.; Buchmann, N.; Gilmanov, T.; Granier, A.; Grunwald, T.; Havrankova, K.; Ilvesniemi, H.; Janous, D.; Knohl, A.; Laurila, T.; Lohila, A.; Loustau, D.; Matteucci, G.; Meyers, T.; Miglietta, F.; Ourcival, J.M.; Pumpanen, J.; Rambal, S.; Rotenberg, E.; Sanz, M.; Tenhunen, J.; Seufert, G.; Vaccari, F.; Vesala, T.; Yakir, D.; Valentini, R. On the separation of net ecosystem exchange into assimilation and ecosystem respiration: review and improved algorithm. Glob. Change Biol. 2005, 11, 1424–1439. [Google Scholar]
- Moffat, A.M.; Papale, D.; Reichstein, M.; Hollinger, D.Y.; Richardson, A.D.; Barr, A.G.; Beckstein, C.; Braswell, B.H.; Churkina, G.; Desai, A.R.; Falge, E.; Gove, J.H.; Heimann, M.; Hui, D.F.; Jarvis, A.J.; Kattge, J.; Noormets, A.; Stauch, V.J. Comprehensive comparison of gap-filling techniques for eddy covariance net carbon fluxes. Agr. Forest Meteorol. 2007, 147, 209–232. [Google Scholar]
- Papale, D.; Reichstein, M.; Aubinet, M.; Canfora, E.; Bernhofer, C.; Kutsch, W.; Longdoz, B.; Rambal, S.; Valentini, R.; Vesala, T.; Yakir, D. Towards a standardized processing of Net Ecosystem Exchange measured with eddy covariance technique: algorithms and uncertainty estimation. Biogeosciences 2006, 3, 571–583. [Google Scholar]
- Chen, J.; Jönsson, P.; Tamura, M.; Gu, Z.; Matsushita, B.; Eklundh, L. A simple method for reconstructing a high-quality NDVI time-series data set based on the Savitzky-Golay filter. Remote Sens. Environ. 2004, 91, 332–344. [Google Scholar]
- Savitzky, A.; Golay, M.J.E. Smoothing and differentiation of data by simplified least squares procedures. Anal. Chem. 1964, 36, 1627–1639. [Google Scholar]
- Farquhar, G.D.; Sharkey, T.D. Stomatal conductance and photosynthesis. Ann. Rev. Plant Physiol. 1982, 33, 317–345. [Google Scholar]
- Ryan, M.G. Effects of climate change on plant respiration. Ecol. Appl. 1991, 1, 157–167. [Google Scholar]
- Kimball, J.S.; White, M.A.; Running, S.W. BIOME-BGC simulations of stand hydrologic processes for BOREAS. J. Geophys. Re.-Atmos. 1997, 102, 29043–29051. [Google Scholar]
- Knohl, A.; Schulze, E.D.; Kolle, O.; Buchmann, N. Large carbon uptake by an unmanaged 250-year-old deciduous forest in Central Germany. Agr. Forest Meteorol. 2003, 118, 151–167. [Google Scholar]
- Jacquemoud, S.; Baret, F. PROSPECT: A model of leaf optical properties spectra. Remote Sens. Environ. 1990, 34, 75–91. [Google Scholar]
- Kuusk, A. A fast, invertible canopy reflectance model. Remote Sens. Environ. 1995, 51, 342–350. [Google Scholar]
- Ferré, C.; Leip, A.; Matteucci, G.; Previtali, F.; Seufert, G. Impact of 40 years poplar cultivation on soil carbon stocks and greenhouse gas fluxes. Biogeosci. Discuss 2003, 2, 897–931. [Google Scholar]
- Calfapietra, C.; Gielen, B.; Sabatti, M.; De Angelis, P.; Miglietta, F.; Scarascia-Mugnozza, G.; Ceulemans, R. Do above-ground growth dynamics of poplar change with time under CO2 enrichment? New Phytol. 2003, 160, 305–318. [Google Scholar]
- Calfapietra, C.; Tulva, I.; Eensalu, E.; Perez, M.; De Angelis, P.; Scarascia-Mugnozza, G.; Kull, O. Canopy profiles of photosynthetic parameters under elevated CO2 and N fertilization in a poplar plantation. Environ. Pollut. 2005, 137, 525–535. [Google Scholar]
- Craig Markwardt IDL Library, TNMIN.PRO. http://cow.physics.wisc.edu/~craigm/idl/fitting.html (accessed 2007).
- Nash, S.G.; Sofer, A. A general-purpose parallel algorithm for unconstrained optimization. SIAM J. Optimization 1991, 1, 530–547. [Google Scholar]
- Efron, B.; Tibshirani, R. An Introduction to the Bootstrap; Chapman & Hall: New York, 1993. [Google Scholar]
- Janssen, P.H.M.; Heuberger, P.S.C. Calibration of process-oriented models. Ecol. Model. 1995, 83, 55–66. [Google Scholar]
- Reichstein, M.; Rey, A.; Freibauer, A.; Tenhunen, J.; Valentini, R.; Banza, J.; Casals, P.; Cheng, Y.F.; Grunzweig, J.M.; Irvine, J.; Joffre, R.; Law, B.E.; Loustau, D.; Miglietta, F.; Oechel, W.; Ourcival, J.M.; Pereira, J.S.; Peressotti, A.; Ponti, F.; Qi, Y.; Rambal, S.; Rayment, M.; Romanya, J.; Rossi, F.; Tedeschi, V.; Tirone, G.; Xu, M.; Yakir, D. Modeling temporal and large-scale spatial variability of soil respiration from soil water availability, temperature and vegetation productivity indices. Global Biogeochem. Cycle. 2003, 17, 1104. [Google Scholar]
- Jolly, W.M.; Nemani, R.; Running, S.W. A generalized, bioclimatic index to predict foliar phenology in response to climate. Glob. Change Biol. 2005, 11, 619–632. [Google Scholar]






| PROSAIL Parameters | Values | |
|---|---|---|
| N | - | 1.37 |
| CAB | μg cm-2 | 45 |
| Cw | g cm-2 | 0.0092 |
| CM | g cm-2 | 0.0065 |
| LAI | m2 m-2 | variable |
| θL | deg | 56.5 |
| SL | - | 0.005 |
| αs | - | 1 |
| Parameter | Unit | θor | θopt |
|---|---|---|---|
| FRC:LC | - | 0.333 | 1.969 (±0.420) |
| Leaf C:N | kgC kgN-1 | 15.59 | 20.93 (±2.50) |
| PLNR | - | 0.088 | 0.1050 (±0.011) |
| gs,MAX | m s-1 | 0.006 | 0.0041 (±0.001) |
| Year | ONDAY. | OFFDAY | LCMAX | |
|---|---|---|---|---|
| DOY | DOY | kgCm-2 | ||
| 2002 | Obs. | 91 | 267 | 0.164 |
| Second-step | 88 | 260 | 0.159 | |
| Internal phenology | 100 | 289 | - | |
| 2003 | Obs. | 78 | 315 | 0.155 |
| Second-step | 70 | 309 | 0.147 | |
| Internal phenology | 107 | 297 | - | |
| Year | GPPmeasured gC m-2yr-1 | GPPReference Model 1 gC m-2yr-1 | GPPReference Model 2 gC m-2yr-1 | GPPPROSAILH-BGC 1-step gC m-2yr-1 | GPPPROSAILH-BGC 2-step gC m-2yr-1 |
|---|---|---|---|---|---|
| 2002 | 1,578 | 1,253 | 1,330 | 1,414 | 1,550 |
| 2003 | 1,473 | 1,084 | 1,265 | 1,299 | 1,391 |
© 2009 by the authors; licensee Molecular Diversity Preservation International, Basel, Switzerland. This article is an open access article distributed under the terms and conditions of the Creative Commons Attribution license (http://creativecommons.org/licenses/by/3.0/).
Share and Cite
Migliavacca, M.; Meroni, M.; Busetto, L.; Colombo, R.; Zenone, T.; Matteucci, G.; Manca, G.; Seufert, G. Modeling Gross Primary Production of Agro-Forestry Ecosystems by Assimilation of Satellite-Derived Information in a Process-Based Model. Sensors 2009, 9, 922-942. https://doi.org/10.3390/s90200922
Migliavacca M, Meroni M, Busetto L, Colombo R, Zenone T, Matteucci G, Manca G, Seufert G. Modeling Gross Primary Production of Agro-Forestry Ecosystems by Assimilation of Satellite-Derived Information in a Process-Based Model. Sensors. 2009; 9(2):922-942. https://doi.org/10.3390/s90200922
Chicago/Turabian StyleMigliavacca, Mirco, Michele Meroni, Lorenzo Busetto, Roberto Colombo, Terenzio Zenone, Giorgio Matteucci, Giovanni Manca, and Guenther Seufert. 2009. "Modeling Gross Primary Production of Agro-Forestry Ecosystems by Assimilation of Satellite-Derived Information in a Process-Based Model" Sensors 9, no. 2: 922-942. https://doi.org/10.3390/s90200922
APA StyleMigliavacca, M., Meroni, M., Busetto, L., Colombo, R., Zenone, T., Matteucci, G., Manca, G., & Seufert, G. (2009). Modeling Gross Primary Production of Agro-Forestry Ecosystems by Assimilation of Satellite-Derived Information in a Process-Based Model. Sensors, 9(2), 922-942. https://doi.org/10.3390/s90200922
