Wetland Restoration Response Analysis using MODIS and Groundwater Data
Abstract
:1. Introduction
1.1 Role of Remote Sensing
1.2 Kissimmee River Basin
1.3. Restoration Activities at Kissimmee River Basin
2. Methodology, Study area and Datasets
2.1 Study Area
2.2. Data Sets
2.2.1 Groundwater Data
2.2.2. Remotely-sensed Data
2.3. NDVI-TS-Albedo Relationship
2.4. Fractional Vegetation Cover (FVC) Mapping
2.5 Latent Heat Mapping
3. Results and Discussion
3.1. NDVI-TS-Albedo Relationship
3.2. Fractional Vegetation Cover Changes
3.3. Latent Heat Flux Dynamics
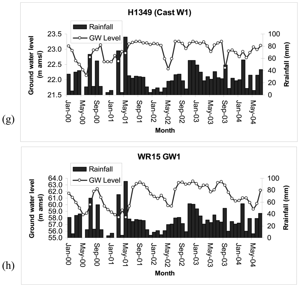
3.4. Groundwater Data
4. Concussions and Summary
Acknowledgments
References
- Baret, F.; Guyot, G.; Begue, A.; Maurel, P.; Podaire, A. Complimentarily of middle-infrared reflectance for monitoring wheat canopies. Remote Sensing of Environment 1988, 26, 213–215. [Google Scholar]
- Bastiaanssen, W.G.M. SEBAL-based sensible and latent heat fluxes in the irrigated ediz Basin, Turkey. Journal of Hydrology 2000, 229, 87–100. [Google Scholar]
- Bastiaanssen, W.G.M.; Menenti, M.; Feddes, R.A.; Holtslag, A. A. M. The Surface Energy Balance Algorithm for Land (SEBAL): Part 1 formulation. Journal of Hydrology 1998a, 212-213, 198–212. [Google Scholar]
- Bastiaanssen, W.G.M.; Pelgrum, H.; Wang, J.; Ma, Y.; Moreno, J.; Roerink, G.J.; van der Wal, T. The Surface Energy Balance Algorithm for Land (SEBAL): Part 2 validation. Journal of Hydrology 1998b, 212-213, 213–229. [Google Scholar]
- Boyd, D.S.; Foody, G.M.; Curran, P.J.; Lucas, R.M.; Honzaks, M. An Assessment of radiance in Landsat TM middle and thermal infrared wave bands for the detection of tropical regeneration. Int. J. of Remote Sensing 1996, 17, 249–261. [Google Scholar]
- Carlson, T.N.; Arthur, S.T. The impact of land use-land cover changes due to urbanization on surface microclimate and hydrology: a Satellite Perspective. Global and Planetary Change 2000, 25, 49–65. [Google Scholar]
- Carlson, T.N.; Ripley, A.J. On the relationship between fractional vegetation cover, leaf area Index and NDVI. Remote Sensing of Environment 1997, 62, 241–252. [Google Scholar]
- Che, N.; Price, J.C. Survey of radiometric calibration results and methods for visible and near-infrared channels of NOAA-7,-9 and −11 AVHRRs. Remote Sensing of Environment 1992, 41, 19–27. [Google Scholar]
- Clewell, A.F.; Lea, R. 1989; Creation and restoration of forested wetland vegetation in the southeastern United States. Kusler, J.A., Kentula, M.E., Eds.; 1989; In Wetland Creation and Restoration: The Status of the Science; Island Press: Washington, DC; pp. 195–232. [Google Scholar]
- Cole, C.A.; Brooks, R.P. A comparison of the hydrologic characteristics of natural and created mainstem floodplain wetlands in Pennsylvania. Ecological Engineering 2000, 14, 221–231. [Google Scholar]
- Curran, P.J.; Dungan, J.L.; Gholz, H.L. Seasonal LAI in slash pine estimated with Landsat TM. Remote Sensing of Environment 1992, 39, 3–13. [Google Scholar]
- Danson, F.M.; Curran, P.J. Factors affecting the remotely sensed response of coniferous forest plantations. Remote Sensing of Environment 1993, 43, 55–65. [Google Scholar]
- Earth Resources Data Analysis System (ERDAS). 1999; ERDAS Field guide; ERDAS Inc: Atlanta, GA. [Google Scholar]
- French, A.N.; Schmugge, T.J.; Kustas, W.P. Estimating surface fluxes over the SGP site with remotely sensed data. Phys. Chem. Earth 2000, 25(2), 167–172. [Google Scholar]
- Gurnell, A.M.; Hupp, C.R.; Gregory, S.V. Linking hydrology and ecology. Hydrological Processes 2000, 14, 2813–2815. [Google Scholar]
- Hemakumara, H. M.; Chandrapala, L.; Moene, A. F. Evapotranspiration fluxes over mixed vegetation areas measured from large aperture scintillometer. Agricultural Water Management 2003, 58(2), 109–122. [Google Scholar]
- Janssen, R.; Goosen, H.; Verhoeren, M.L.; Verhoeren, J.T.A.; Omtzigt, A.Q.A.; Maltby, E. Decision support for integrated wetland management. Environmental Modeling & Software 2004. [Google Scholar] [CrossRef]
- Kustas, W.P. Estimates of evapotranspiration with a one- and two-layer model of heat transfer over partial canopy cover. J. Appl. Meteorology 1990, 29, 704–715. [Google Scholar]
- Kustas, W.P.; Norman, J. Evaluation of soil and vegetation heat flux predictions using simple two-source model with radiometric temperatures for partial canopy cover, Agric. Forest Meteorology 1999, 94, 13–29. [Google Scholar]
- Kustas, W.P.; Norman, J.M.; Anderson, M.C.; French, A.N. Estimating sub-pixel surface temperatures and energy fluxes from the vegetation index–radiometric temperature relationship. Remote Sensing of Environment 2003, 85(4), 429–440. [Google Scholar]
- Kustas, W.P.; Li, F.; Jackson, T.J.; Prueger, J.H.; MacPherson, J.I.; Wolde, M. Effects of remote sensing pixel resolution on modeled energy flux variability of croplands in Iowa. Remote Sensing of Environment 2004, 92(4), 535–547. [Google Scholar]
- Kustas, W.P.; Perry, E.M.; Doraiswamy, P.C.; Moran, M.S. Using satellite remote sensing to extrapolate evapotranspiration estimates in time and space over a semiarid Rangeland basin. Remote Sensing of Environment 1994, 49(3), 275–286. [Google Scholar]
- Lambin, E.F.; Strahler, A.H. Indicators of land cover change - vector analysis in multi-temporal space at coarse spatial scale. Int. J. of Remote Sensing 1994, 15, 2099–2119. [Google Scholar]
- Land Processes Distributed Active Archive Center (LP DAAC). http://lpdaac.usgs.gov/modis/dataproducts.asp accessed on January 24, 2005.
- Loiselle, S.; Bracchini, L.; Bonechi, C.; Rossi, C. Modeling energy fluxes in remote wetland ecosystems with the help of remote sensing. Ecological Modeling 2001, 45(2), 243–261. [Google Scholar]
- Melesse, A.M.; Jordan, J.D. A Comparison of fuzzy vs. augmented-ISODATA classification algorithm for cloud and cloud-shadow discrimination in Landsat imagery. Photogrammetric Engineering and Remote Sensing 2002, 68(9), 905–911. [Google Scholar]
- Melesse, A.M.; Oberg, J.; Beeri, O.; Nangia, V.; Baumgartner, D. Spatiotemporal Dynamic of Evapotranspiration and Vegetation at the Glacial Ridge Prairie Restoration. Hydrological Processes 2006, 20(7), 1451–1464. [Google Scholar]
- Melesse, A.M.; Nangia, V. Spatially distributed surface energy flux estimation using remotely-sensed data from agricultural fields. Hydrological Processes 2005, 19(14), 2653–2670. [Google Scholar]
- Mitsch, W.J.; Gosselink, J.G. 2000; Wetlands; John Wiley & Sons: New York. [Google Scholar]
- Mohamed, Y.A.; Bastiaanssen, W.G.M.; Savenije, H.H.G. Spatial variability of evaporation and moisture storage in the swamps of the upper Nile studied by remote sensing techniques. Journal of Hydrology 2004, 289, 145–164. [Google Scholar]
- Morse, A.; Tasumi, M.; Allen, R.G.; Kramber, W. 2000; Application of the SEBAL methodology for estimating consumptive use of water and streamflow depletion in the Bear River basin of Idaho through remote sensing. Final report submitted to the Raytheon Systems Company; In Earth Observation System Data and Information system Project; by Idaho Department of Water Resources and University of Idaho; p. 107pp. [Google Scholar]
- Myers, R.S.; Shaffer, G.P.; Llewellyn, D.W. Bald Cypress restoration in Southeast Louisiana: the relative effects of herbivory, flooding, competition, and macronutrients. Wetlands 1995, 15(2), 141–148. [Google Scholar]
- National Climatic Data Center (NCDC). 2005. http://climvis.ncdc.noaa.gov/cgi-bin/ginterface accessed on June 13, 2005.
- National Research Council. 1995; Wetlands Characteristics and Boundaries.; National Academy Press: Washington, DC. [Google Scholar]
- Niswander, S.F.; Mitsch, W.J. Functional analysis of a two-year-old created in-stream wetland: hydrology, phosphorus retention, and vegetation survival and growth. Wetlands 1995, 15(3), 212–225. [Google Scholar]
- Panigrahy, S.; Parohar, J.S. Role of middle-infrared bands of Landsat Thematic Mapper in determining the classification accuracy of rice. Int. J. of Remote Sensing 1992, 13, 2943–2949. [Google Scholar]
- Price, J.C. Calibration of satellite Radiometers and the comparison of vegetation indices. Remote Sensing of Environment 1987, 21, 15–27. [Google Scholar]
- Price, J.S.; Waddington, J.M. Advances in Canadian wetland hydrology and biogeochemistry. Hydrological Processes 2000, 14, 1579–1589. [Google Scholar]
- Oberg, J.; Melesse, A.M. Wetland Evapotranspiration Dynamics vs. Ecohydrological Restoration: An Energy Balance and Remote Sensing Approach. J. of American Water Resources Association 2006, 42(3), 565–582. [Google Scholar]
- Quinn, N.W.T.; Hanna, W.M. A decision support system for adaptive real-time management of seasonal wetlands in California. Environmental Modeling & Software 2003, 18, 503–511. [Google Scholar]
- Raghunathan, R.; Slawecki, T.; Chen, Z.Q.; Dilks, D.W.; Bierman, V.J.; Wade, S. Exploring the dynamics and fate of total phosphorus in the Florida Everglades using a calibrated mass balance model. Ecological Modeling 2001, 142, 247–259. [Google Scholar]
- Rouse, J.W.; Haas, R.H.; Schell, J.A.; Deering, D.W. Monitoring vegetation systems in the Great Plains with ERTS. Proc. Third Earth Resources Technology Satellite-1 Symposium, Greenbelt: NASA SP 1974, 351, 3010–3017. [Google Scholar]
- Williams, G.E.; Anderson, D.; H Bousquin, S. G.; Carlson, C.; Colangeleo, D.J.; Glenn, J.L.; Jones, B.L.; Koebel, J.W.; Jorge, J. 2007; Chapter11: Kissimmee River Restoration and Upper Basin Initiation; Redfield, G., Ed.; The 2007 South Florida Environmental report; South Florida Water Management District: West Palm Beach Florida. [Google Scholar]
- Spanner, M.A.; Pierce, L.L.; Running, S.W.; Peterson, D.L. The seasonality of AVHRR data of temperate coniferous forests: Relationship with LAI. Remote Sensing of Environment 1990, 33, 97–112. [Google Scholar]
- Stone, T.A.; Schleeinger, P.; Houghton, R.A.; Woodwell, G.M. A map of the vegetation of South America based on satellite imagery. Photogrammetric Engineering and Remote Sensing 1994, 60, 541–551. [Google Scholar]
- Stover, D. Engineering the Everglades. Popular Science 1992. [Google Scholar]
- Toth, L.A. 1996; Restoring the hydrogeomorphology of the channelized Kissimmee River. pp. 369–383. Brookes, A., Shields, F.D., Jr., Eds.; In River channel restoration: guiding principles for sustainable projects.; John Wiley & Sons, Ltd.: Chichester, England. [Google Scholar]
- Tucker, C.J.; Dregne, H.E.; Newcomb, W.W. Expansion and contraction of the Sahara desert from 1980 to 1990. Science 1991, 253, 299–302. [Google Scholar]
- Wang, J.; Bastiaanssen, W.G.M.; Ma, Y.; Pelgrum, H. Aggregation of land surface parameters in the oasis-desert systems of Northwest China. Hydrological Processes 1998, 12, 2133–2147. [Google Scholar]
- Wilson, R.F.; Mitsch, W.J. Functional assessment of five wetlands constructed to mitigate wetland loss in Ohio. Wetlands 1996, 16(4), 436–451. [Google Scholar]









| Average April FVC | ||||
|---|---|---|---|---|
| Year | Min | Max | Mean | Std. Dev. |
| 2000 | 0 | 0.97 | 0.15 | 0.20 |
| 2002 | 0 | 0.81 | 0.16 | 0.21 |
| 2004 | 0 | 0.90 | 0.17 | 0.21 |
| April LE (W/m2) | ||||
| Year | Min | Max | Mean | Std. Dev. |
| 2000 | 0 | 594 | 128 | 189 |
| 2002 | 0 | 597 | 135 | 166 |
| 2004 | 0 | 664 | 139 | 169 |
| Year | 5040 | 5078 | 5082 | 5094 | F1294 | KRFNNS | H1349 | WR15 | Ave. Mon. GW Level (m amsl) | Ave. Mon. Rainfall (mm) |
|---|---|---|---|---|---|---|---|---|---|---|
| 2000 | 27.09 | 21.72 | 21.49 | 41.85 | 12.33 | 15.11 | 22.72 | 19.80 | 22.76 | 23.98 |
| 2001 | 26.80 | 21.83 | 17.90 | 41.92 | 11.83 | 15.01 | 23.02 | 19.92 | 22.28 | 28.87 |
| 2002 | 27.31 | 21.91 | 21.61 | 42.16 | 11.89 | 15.30 | 23.03 | 20.26 | 22.93 | 24.83 |
| 2003 | 27.87 | 21.90 | 21.72 | 42.14 | 12.28 | 15.40 | 23.04 | 20.47 | 23.10 | 30.79 |
| 2004 | 27.73 | 21.82 | 21.57 | 42.00 | 12.28 | 15.29 | 23.00 | 20.17 | 22.96 | 34.73 |
| Ave. | 27.36 | 21.84 | 20.86 | 42.02 | 12.12 | 15.22 | 22.96 | 20.12 | 22.81 | 28.64 |
© 2007 by MDPI ( http://www.mdpi.org). Reproduction is permitted for noncommercial purposes.
Share and Cite
Melesse, A.M.; Nangia, V.; Wang, X.; McClain, M. Wetland Restoration Response Analysis using MODIS and Groundwater Data. Sensors 2007, 7, 1916-1933. https://doi.org/10.3390/s7091916
Melesse AM, Nangia V, Wang X, McClain M. Wetland Restoration Response Analysis using MODIS and Groundwater Data. Sensors. 2007; 7(9):1916-1933. https://doi.org/10.3390/s7091916
Chicago/Turabian StyleMelesse, Assefa M., Vijay Nangia, Xixi Wang, and Michael McClain. 2007. "Wetland Restoration Response Analysis using MODIS and Groundwater Data" Sensors 7, no. 9: 1916-1933. https://doi.org/10.3390/s7091916
APA StyleMelesse, A. M., Nangia, V., Wang, X., & McClain, M. (2007). Wetland Restoration Response Analysis using MODIS and Groundwater Data. Sensors, 7(9), 1916-1933. https://doi.org/10.3390/s7091916
