Electrochemical Behavior of Epinephrine at a Glassy Carbon Electrode Modified by Electrodeposited Films of Caffeic Acid
Abstract
:1. Introduction
2. Results and Discussion
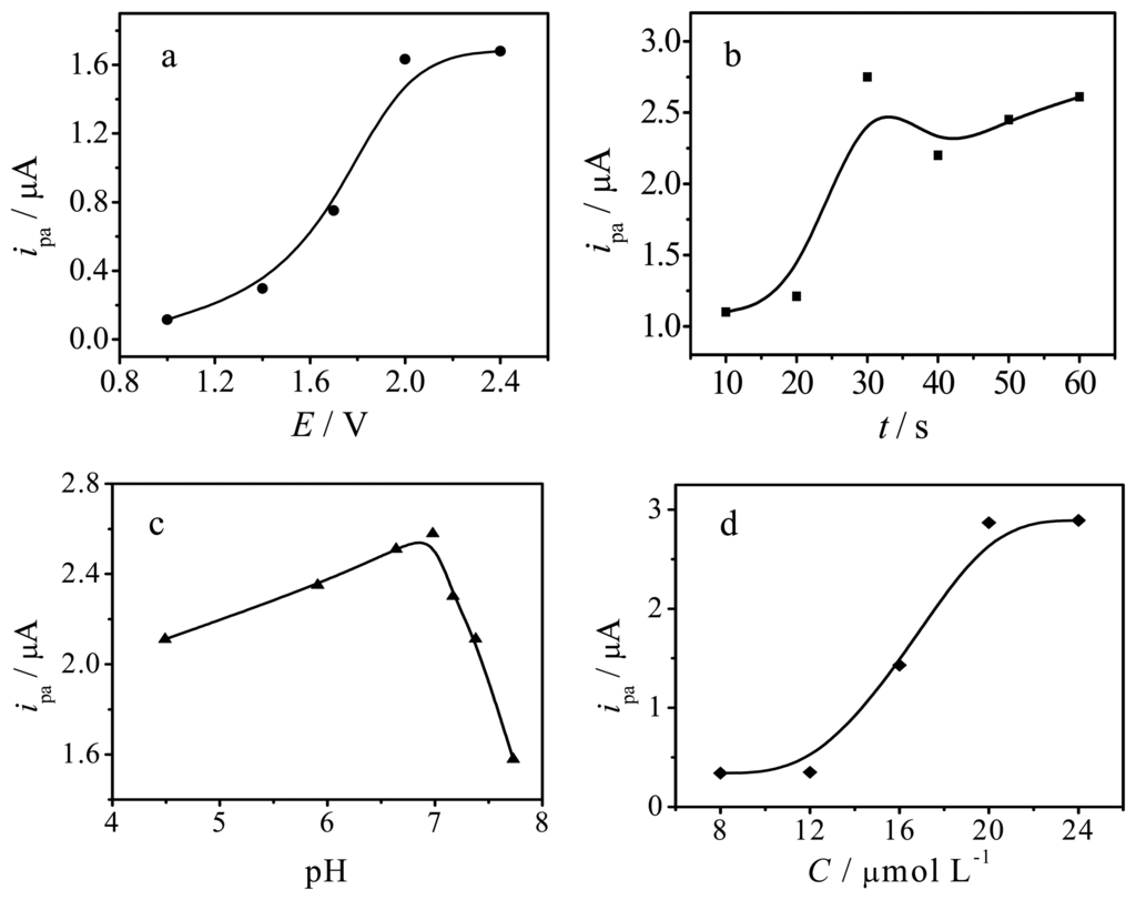
2.1. Characteristics of the Deposited Film Modified Electrode
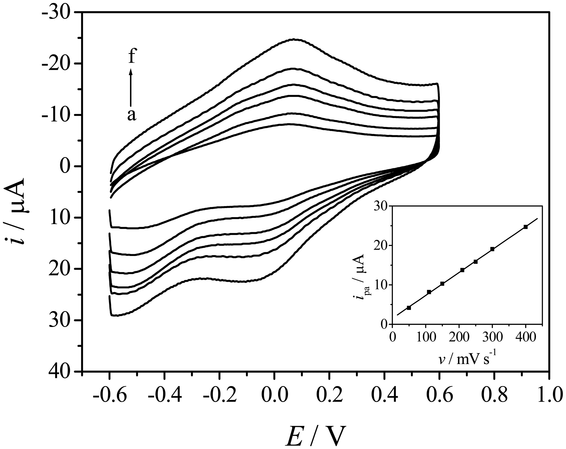
2.2. Electrochemical Oxidation of EP at the Poly(caffeic acid) Modified Electrode
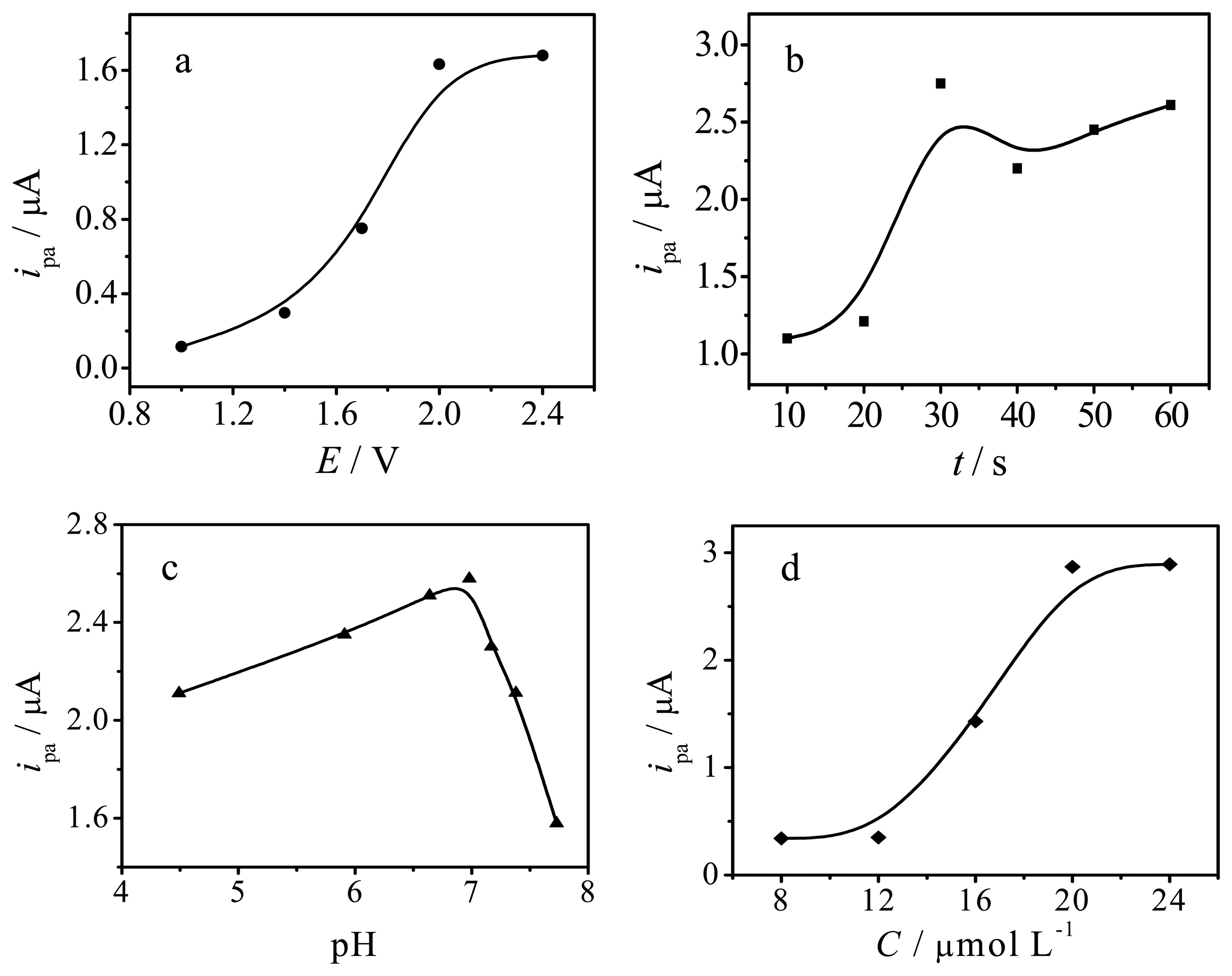
2.3. Optimum Conditions for the Electrochemical Deposition of Caffeic Acid on the Glassy Carbon Electrode
2.4. Effects of pH of EP Solution and Scan Rate
2.5. Calibration Curve
2.6. Interference Study
2.7. Analytical Application
3. Experimental Section
3.1. Reagents and Apparatus
3.2. Electrode Preparation
4. Conclusion
Acknowledgments
References and Notes
- Li, H.; Luo, W.; Hu, X. M. Determination of Enantiomeric Purity for Epinephrine by High Performance Liquid Chromatography. Chin. J. Chromatogr. 1999, 17, 403–405. [Google Scholar]
- Zheng, X. W.; Guo, Z. H.; Zhang, Z. J. Flow-injection Electrogenerated Chemiluminescence Determination of Epinephrine using Luminol. Anal. Chim. Acta 2001, 441, 81–86. [Google Scholar]
- Philip, B. M.; Andrea, R. K.; Alison, P.; David, D.Y. C. Quantitative Assay for Epinephrine in Dental Anesthetic Solutions by Capillary Electrophoresis. Analyst 1998, 123, 1461–1463. [Google Scholar]
- Yang, J. H.; Zhang, G. L.; Wu, X.; Huang, F.; Lin, C. G.; Cao, X. H.; Sun, L. M.; Ding, Y. J. Fluorimetric Determination of Epinephrine with o-phenylenediamine. Anal. Chim. Acta 1998, 363, 105–110. [Google Scholar]
- Fatma, B. S. Spectrophotometric and Fluorimetric Determination of Catecholamines. Anal. Lett. 1993, 26, 281–294. [Google Scholar]
- Lisdat, F.; Wollenberger, U. Trienzyme Amplification System for the Detection of Catechol and Catecholamines using Internal Co-substrate Regeneration. Anal. Lett. 1998, 31, 1275–1285. [Google Scholar]
- Atsushi, K.; Kentaro, H.; Takehiko, S.; Akio, M.; Masaaki, Y. Chemiluminescence Sensor with Mn(III)-tetrakis(4-Sulfonatophyl)-porphyrin Immobilized on Dioctadecyldimethylammonium Chloride Bilayer Membranes Incorporated into PVC Film. Anal. Lett. 1996, 29, 673–685. [Google Scholar]
- Niu, L. M.; Luo, H. Q.; Li, N. B. Electrochemical Behavior of Epinephrine at a Penicillamine Self-Assembled Gold Electrode and Its Analytical Application. Microchim. Acta 2005, 150, 87–93. [Google Scholar]
- Pariente, F.; Lorenzo, E.; Abruña, H. D. Electrocatalysis of NADH Oxidation with Electrpolymerized Films of 3,4-Dihydroxybenzaldehyde. Anal. Chem. 1994, 66, 4337–4344. [Google Scholar]
- Gong, J. M.; Lin, X. Q. A Glassy Carbon Supported Bilayer Lipid-like Membrane of 5,5-ditetradecyl-2-(2-trimethyl-ammonioethyl)-1,3-dioxane Bromide for Electrochemical Sensing of Epinephrine. Electrochim. Acta 2004, 49, 4351–4357. [Google Scholar]
- Li, N. B.; Duan, J. P.; Chen, G. N. Electrochemical Polymerization of Azure Blue II and Its Electrocatalytic Activity toward NADH Oxidation. Chin. J. Chem. 2003, 21, 1191–1197. [Google Scholar]
- Sun, J. J.; Zhou, D. M.; Fang, H. Q.; Chen, H. Y. The Electrochemical Copolymerization of 3,4-dihydroxybenzoic Acid and Aniline at Microdisk Gold Electrode and Its Amperometric Determination for Ascorbic Acid. Talanta 1998, 45, 851–856. [Google Scholar]
- Ni, J. A.; Ju, H. X.; Chen, H. Y.; Leech, D. Amperometric Determination of Epinephrine with an Osmium Complex and Nafion Double-layer Membrane Modified Electrode. Anal. Chim. Acta 1999, 378, 151–157. [Google Scholar]
- Chen, S. M.; Peng, K. T. The Electrochemical Properties of Dopamine, Epinephrine, Norepinephrine, and Their Electrocatalytic Reactions on Cobalt(II) Hexacyanoferrate Films. J. Electroanal. Chem. 2003, 547, 179–189. [Google Scholar]
- Nardini, M.; Pisu, P.; Gentili, V.; Natella, F.; Di, M.; Piccolella, F.; Scaccini, C. Effect of Caffeic Acid on Tert-butyl Hydroperoxide-induced Oxidative Stress in U937. Free Radical Biology Medicine 1998, 25, 1098–1105. [Google Scholar]
- Zhang, Y. Z.; Zhao, H.; Yuan, Z. B. Electrocatalytic Oxidation of Dihydronicotinamide Adenine Dinucleotide at Caffeic Acid Glassy Carbon Modified Electrodes. Chin. J. Anal. Chem. 2003, 11, 1380–1384. [Google Scholar]






| No. | Specified* (mg mL−1 ) | Found (mg mL−1) | RSD (%) |
|---|---|---|---|
| 1 | 1.00 | 0.98 0.97 0.98 1.04 | 3.2 |
| 2 | 1.00 | 1.00 0.98 0.96 1.03 | 2.9 |
| No. | Specified (10−6 mol L−1) | Found (10−6 mol L−1) | Add (10−6 mol L−1) | Found (10−6 mol L−1) | Recovery (%) |
|---|---|---|---|---|---|
| 1 | 9.10 | 8.88 | 50.00 | 60.31 | 102.4 |
| 2 | 9.10 | 8.79 | 80.00 | 86.12 | 96.3 |
| 3 | 9.10 | 8.90 | 100.00 | 106.66 | 97.6 |
| 4 | 9.10 | 9.37 | 50.00 | 58.47 | 98.7 |
| 5 | 9.10 | 8.87 | 80.00 | 84.86 | 94.7 |
| 6 | 9.10 | 8.67 | 100.00 | 105.29 | 96.2 |
© 2006 by MDPI ( http://www.mdpi.org). Reproduction is permitted for noncommercial purposes.
Share and Cite
Ren, W.; Luo, H.Q.; Li, N.B. Electrochemical Behavior of Epinephrine at a Glassy Carbon Electrode Modified by Electrodeposited Films of Caffeic Acid. Sensors 2006, 6, 80-89. https://doi.org/10.3390/s6020080
Ren W, Luo HQ, Li NB. Electrochemical Behavior of Epinephrine at a Glassy Carbon Electrode Modified by Electrodeposited Films of Caffeic Acid. Sensors. 2006; 6(2):80-89. https://doi.org/10.3390/s6020080
Chicago/Turabian StyleRen, Wang, Hong Qun Luo, and Nian Bing Li. 2006. "Electrochemical Behavior of Epinephrine at a Glassy Carbon Electrode Modified by Electrodeposited Films of Caffeic Acid" Sensors 6, no. 2: 80-89. https://doi.org/10.3390/s6020080
APA StyleRen, W., Luo, H. Q., & Li, N. B. (2006). Electrochemical Behavior of Epinephrine at a Glassy Carbon Electrode Modified by Electrodeposited Films of Caffeic Acid. Sensors, 6(2), 80-89. https://doi.org/10.3390/s6020080
