Reliable Communication in Distributed Photovoltaic Sensor Networks: A Large Language Model-Driven Approach
Abstract
1. Introduction
- 1.
- We propose a novel dynamic status labeling mechanism that functions as an active control signal for network resources. Distinct from traditional static threshold or event-triggered methods susceptible to priority oscillation namely flapping under environmental noise, our approach incorporates a hysteresis-based state locking mechanism. By enforcing temporal stability constraints on status transitions, this method effectively mitigates the impact of intermittent interference and facilitates cross-layer optimization of the communication protocol.
- 2.
- We introduce a priority-based scheduling strategy that fundamentally differs from standard MAC-layer Quality of Service (QoS) or edge-offloading frameworks. While traditional methods focus on reordering packets after they have been queued, namely congestion management, our algorithm implements source-side traffic shaping. By dynamically suppressing the data generation of normal nodes based on their semantic status, the system preemptively prevents bandwidth saturation, achieving a 46.08% to 49.87% reduction in P50 latency for critical data in bandwidth-constrained scenarios.
- 3.
- We integrate a domain-specialized LLM agent to replace conventional supervised classifiers. Unlike these black box models that depend on large-scale labeled datasets and face challenges with unseen fault types, our agent leverages zero-shot semantic reasoning. By synthesizing environmental context, physical metadata, and historical trends, the system automates root cause analysis for long-tail untrained fault scenarios, delivering actionable interpretable maintenance insights that bridge the divide between signal detection and operational decision-making.
2. DPV Monitoring Network Primer
2.1. DPV Monitoring Network Architecture
2.2. Data Volume and Transmission in DPV Monitoring Networks
3. Methodology
3.1. System Architecture
3.2. Dynamic Priority Scheduling Scheme
3.3. Zero-Shot Adaptation Mechanisms
4. Simulation
4.1. Photovoltaic Monitoring Data
4.2. DPV System Simulator
4.3. Baseline Comparison Schemes
5. Evaluation
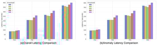
5.1. End-to-End Latency
5.2. Case Study: Automated Diagnostic Analysis of Panel 959
5.2.1. Environmental and Operational Context
5.2.2. Anomaly Detection and Severity Assessment
5.2.3. Root Cause Inference
5.2.4. Maintenance Recommendations
5.3. Practical Feasibility Analysis
5.4. Parameter Sensitivity Analysis
6. Conclusions
Author Contributions
Funding
Institutional Review Board Statement
Informed Consent Statement
Data Availability Statement
Conflicts of Interest
Abbreviations
| RF | Radio Frequency |
| DPV | Distributed Photovoltaic |
| EMI | Electromagnetic Interference |
| LLM | Large Language Model |
| ML | Machine Learning |
| SVM | Support Vector Machine |
| IoT | Internet of Things |
| WSN | Wireless Sensor Network |
| FIFO | First-In-First-Out |
| QoS | Quality of Service |
| DC | Direct Current |
| AC | Alternating Current |
| DAS | Data Acquisition System |
| LPWAN | Low-Power Wide-Area Network |
| MoE | Mixture-of-Experts |
| NTP | Network Time Protocol |
| P50 | 50th Percentile Latency (Median) |
| P90 | 90th Percentile Latency |
| P95 | 95th Percentile Latency |
| P99 | 99th Percentile Latency |
| API | Application Programming Interface |
References
- Asmelash, E.; Prakash, G. Future of Solar Photovoltaic: Deployment, Investment, Technology, Grid Integration and Socio-Economic Aspects; International Renewable Energy Agency: Abu Dhabi, United Arab Emirates, 2019; pp. 1–73. [Google Scholar]
- Koß, D.; Bytschkow, D.; Gupta, P.K.; Schätz, B.; Sellmayr, F.; Bauereiß, S. Establishing a smart grid node architecture and demonstrator in an office environment using the soa approach. In Proceedings of the 2012 First International Workshop on Software Engineering Challenges for the Smart Grid (SE-SmartGrids), Zurich, Switzerland, 3 June 2012; pp. 8–14. [Google Scholar]
- Wang, J.; Liu, X.; Xun, Y.; Yu, S. Common mode noise reduction of three-level active neutral point clamped inverters with uncertain parasitic capacitance of photovoltaic panels. IEEE Trans. Power Electron. 2019, 35, 6974–6988. [Google Scholar]
- Degner, T.; Enders, W.; Schülbe, A.; Daub, H. EMC and safety design for photovoltaic systems (ESDEPS). In Proceedings of the Sixteenth European Photovoltaic Solar Energy Conference, Glasgow, UK, 1–5 May 2020; pp. 2253–2256. [Google Scholar]
- Jiraprasertwong, J.; Jettanasen, C. Analysis and mitigation of conducted electromagnetic interference in a photovoltaic single-phase inverter. In Proceedings of the TENCON 2014—2014 IEEE Region 10 Conference, Bangkok, Thailand, 22–25 October 2014; pp. 1–5. [Google Scholar]
- Wada, T.; Mori, T.; Tokuda, M.; Suenaga, S.; Igarashi, H. Radiated electromagnetic field from a solar cell for CISPR radiated emission measurement method. In 2005 International Symposium on Electromagnetic Compatibility, 2005. EMC 2005; IEEE: New York, NY, USA, 2005; Volume 1, pp. 112–117. [Google Scholar]
- Wu, I.; Shinozuka, T.; Ishigami, S.; Matsumoto, Y. Evaluation of electromagnetic radiation from the DC side of a photovoltaic power generation system. IEEE Electromagn. Compat. Mag. 2015, 4, 73–81. [Google Scholar] [CrossRef]
- Stracqualursi, E.; Di Lorenzo, G.; Calcara, L.; Araneo, R. EMC Issues in High-Power Grid-Connected Photovoltaic Plants: An Update After 15 Years. IEEE Trans. Electromagn. Compat. 2024, 66, 1633–1645. [Google Scholar] [CrossRef]
- Kane, M.M.; Taylor, N.; Månsson, D. Electromagnetic interference from solar photovoltaic systems: A Review. Electronics 2024, 14, 31. [Google Scholar] [CrossRef]
- Qiu, W.; Zhang, L.; Yin, H.; Markel, L.C.; Liao, D.; McConnell, B.W.; Liu, Y. Modeling, testing, and mitigation of electromagnetic pulse on PV systems. Sol. Energy 2023, 264, 112010. [Google Scholar] [CrossRef]
- Pereira, R.I.; Dupont, I.M.; Carvalho, P.C.; Juca, S.C. IoT embedded linux system based on Raspberry Pi applied to real-time cloud monitoring of a decentralized photovoltaic plant. Measurement 2018, 114, 286–297. [Google Scholar] [CrossRef]
- Kota, V.R.; Kommula, B.N.; Afzal, A.; Asif, M.; Hui, L.T. Grid Integration of PV Systems with Advanced Control and Machine Learning Strategies. IEEE Access 2025, 13, 138820–138833. [Google Scholar] [CrossRef]
- Wirateruna, E.S.; Ashari, M.; Riawan, D.C. Estimation and Assessment of Partial Shading Patterns in Large PV Farms using ANN Algorithm. IEEE Access 2025, 13, 139189–139202. [Google Scholar] [CrossRef]
- Zarif, M.; Moghaddass, R. Advanced Anomaly Detection in Smart Grids Using Graph Convolutional Networks with Integrated Node and Line Sensor Data. IEEE Access 2025, 13, 141170–141186. [Google Scholar] [CrossRef]
- Khalilifar, M.; Shahrtash, S.M. Early Detection of Voltage Instability: A Transparent, Rule-Based Method for Cyber-Resilient Grids. IEEE Access 2025, 13, 142262–142273. [Google Scholar] [CrossRef]
- Shang, Y.; He, H.; Zhang, Z.; Zhang, X.; Shen, Z.; Yin, J.; Miao, X. Methods for Monitoring the Photovoltaic Panel: A Review. In Proceedings of the 2024 12th International Conference on Agro-Geoinformatics (Agro-Geoinformatics), Novi Sad, Serbia, 15–18 July 2024; pp. 1–5. [Google Scholar]
- Ge, L.; Du, T.; Li, C.; Li, Y.; Yan, J.; Rafiq, M.U. Virtual collection for distributed photovoltaic data: Challenges, methodologies, and applications. Energies 2022, 15, 8783. [Google Scholar] [CrossRef]
- Rashidi, Y.; Moallem, M.; Vojdani, S. Wireless Zigbee system for perormance monitoring of photovoltaic panels. In Proceedings of the 2011 37th IEEE Photovoltaic Specialists Conference, Seattle, WA, USA, 19–24 June 2011; pp. 003205–003207. [Google Scholar]
- Kekre, A.; Gawre, S.K. Solar photovoltaic remote monitoring system using IOT. In Proceedings of the 2017 International Conference on Recent Innovations in Signal Processing and Embedded Systems (RISE), Bhopal, India, 27–29 October 2017; pp. 619–623. [Google Scholar]
- Wang, W.; He, S.; Sun, L.; Jiang, T.; Zhang, Q. Cross-technology communications for heterogeneous IoT devices through artificial doppler shifts. IEEE Trans. Wirel. Commun. 2018, 18, 796–806. [Google Scholar] [CrossRef]
- Wang, W.; Yang, L.; Zhang, Q.; Jiang, T. Securing on-body IoT devices by exploiting creeping wave propagation. IEEE J. Sel. Areas Commun. 2018, 36, 696–703. [Google Scholar] [CrossRef]
- Luo, Z.; Wang, W.; Huang, Q.; Jiang, T.; Zhang, Q. Securing IoT devices by exploiting backscatter propagation signatures. IEEE Trans. Mob. Comput. 2021, 21, 4595–4608. [Google Scholar] [CrossRef]
- Dong, H.; Wu, Y.; Li, F.; Kuang, W.; He, Y.; Zhang, Q.; Wang, W. PassiveBLE: Towards Fully Commodity-Compatible BLE Backscatter. In Proceedings of the 31th Annual International Conference on Mobile Computing and Networking, Hong Kong, China, 4–8 November 2025; pp. 1000–1014. [Google Scholar]
- Dong, H.; Xie, Y.; Zhang, X.; Wang, W.; Zhang, X.; He, J. Gpsmirror: Expanding accurate gps positioning to shadowed and indoor regions with backscatter. In Proceedings of the 29th Annual International Conference on Mobile Computing and Networking, Madrid, Spain, 2–6 October 2023; pp. 1–15. [Google Scholar]
- Dong, H.; Cui, M.; Wang, N.; Qiu, L.; Xiong, J.; Wang, W. Gpsense: Passive sensing with pervasive gps signals. In Proceedings of the 30th Annual International Conference on Mobile Computing And Networking, Washington, DC, USA, 30 September–4 October 2024; pp. 1000–1014. [Google Scholar]
- Ji, X.; Zhang, L.; Zhang, W.; Peng, F.; Mao, Y.; Liao, X.; Zhang, K. LEMAD: LLM-Empowered Multi-Agent System for Anomaly Detection in Power Grid Services. Electronics 2025, 14, 3008. [Google Scholar] [CrossRef]
- Li, H.; Liu, Z. An Intelligent Educational System: Analyzing Student Behavior and Academic Performance Using Multi-Source Data. Electronics 2025, 14, 3328. [Google Scholar] [CrossRef]
- Lee, K.; Yang, S.; Jeong, J.; Lee, Y.; Shin, D. Enhancing Security and Applicability of Local LLM-Based Document Retrieval Systems in Smart Grid Isolated Environments. Electronics 2025, 14, 3407. [Google Scholar] [CrossRef]
- Madeti, S.R.; Singh, S. Monitoring system for photovoltaic plants: A review. Renew. Sustain. Energy Rev. 2017, 67, 1180–1207. [Google Scholar] [CrossRef]
- Shandong University Power System Economic Operation Team. Energy & Meteorology Research Service Platform. 2023. Available online: https://energymeteo-pseo.sdu.edu.cn/dataset (accessed on 25 March 2025).
- Yadav, G.; Paul, K. Architecture and security of SCADA systems: A review. Int. J. Crit. Infrastruct. Prot. 2021, 34, 100433. [Google Scholar] [CrossRef]







| Metric | Latency (s) | ||||||||
|---|---|---|---|---|---|---|---|---|---|
| 50 Mbps | 10 Mbps | 5 Mbps | |||||||
| Our | Polling | Greedy | Our | Polling | Greedy | Our | Polling | Greedy | |
| P50 | 644.206 | 737.327 | 683.391 | 644.279 | 737.328 | 684.316 | 644.388 | 737.328 | 685.440 |
| (5.73%) | (−7.89%) | (0.00%) | (5.85%) | (−7.75%) | (0.00%) | (5.99%) | (−7.57%) | (0.00%) | |
| P90 | 1437.384 | 1325.396 | 1373.895 | 1437.430 | 1325.397 | 1374.965 | 1437.507 | 1325.397 | 1376.278 |
| (−4.62%) | (3.53%) | (0.00%) | (−4.54%) | (3.61%) | (0.00%) | (−4.45%) | (3.70%) | (0.00%) | |
| P95 | 1604.633 | 1398.929 | 1512.931 | 1604.671 | 1398.930 | 1513.990 | 1604.739 | 1398.930 | 1515.318 |
| (−6.06%) | (7.54%) | (0.00%) | (−5.99%) | (7.60%) | (0.00%) | (−5.90%) | (7.68%) | (0.00%) | |
| P99 | 1862.179 | 1457.838 | 1759.333 | 1862.216 | 1457.839 | 1760.411 | 1862.290 | 1457.839 | 1761.734 |
| (−5.85%) | (17.14%) | (0.00%) | (−5.78%) | (17.19%) | (0.00%) | (−5.71%) | (17.25%) | (0.00%) | |
| Metric | Latency (s) | ||||||||
|---|---|---|---|---|---|---|---|---|---|
| 50 Mbps | 10 Mbps | 5 Mbps | |||||||
| Our | Polling | Greedy | Our | Polling | Greedy | Our | Polling | Greedy | |
| P50 | 501.035 | 999.618 | 928.130 | 501.080 | 999.618 | 929.232 | 501.163 | 999.619 | 930.566 |
| (46.02%) | (−7.70%) | (0.00%) | (46.08%) | (−7.57%) | (0.00%) | (46.14%) | (−7.42%) | (0.00%) | |
| P90 | 1170.695 | 1386.238 | 1437.009 | 1170.770 | 1386.238 | 1438.072 | 1170.854 | 1386.239 | 1439.474 |
| (18.53%) | (3.53%) | (0.00%) | (18.59%) | (3.60%) | (0.00%) | (18.66%) | (3.70%) | (0.00%) | |
| P95 | 1373.558 | 1429.427 | 1561.892 | 1373.612 | 1429.427 | 1562.997 | 1373.655 | 1429.428 | 1564.342 |
| (12.06%) | (8.48%) | (0.00%) | (12.12%) | (8.55%) | (0.00%) | (12.19%) | (8.62%) | (0.00%) | |
| P99 | 1691.475 | 1463.977 | 1784.102 | 1691.539 | 1463.978 | 1785.182 | 1691.599 | 1463.978 | 1786.610 |
| (5.19%) | (17.94%) | (0.00%) | (5.25%) | (17.99%) | (0.00%) | (5.32%) | (18.06%) | (0.00%) | |
| Metric | Conventional Polling | Conventional Greedy | Proposed Framework |
|---|---|---|---|
| Communication Performance | High latency. Linear scaling; faults delayed by cycle. | Unstable. Low latency at light load; severe jitter under congestion. | Optimized. Priority reduces P50 latency by ∼49%; ensures reliable delivery. |
| Diagnostic Performance | None. Raw data only; manual analysis required. | None. Raw data only; manual analysis required. | Intelligent. Zero-shot, explainable; automates root cause analysis. |
| Computational Cost | Negligible. Minimal MCU overhead. | Negligible. Pure transmission; minimal processing. | Hybrid. Lightweight edge & cost-effective cloud API via caching. |
Disclaimer/Publisher’s Note: The statements, opinions and data contained in all publications are solely those of the individual author(s) and contributor(s) and not of MDPI and/or the editor(s). MDPI and/or the editor(s) disclaim responsibility for any injury to people or property resulting from any ideas, methods, instructions or products referred to in the content. |
© 2026 by the authors. Licensee MDPI, Basel, Switzerland. This article is an open access article distributed under the terms and conditions of the Creative Commons Attribution (CC BY) license.
Share and Cite
Dong, W.; Liu, X.; Liu, Q.; Zhang, G.; Shi, J.; Zhao, X.; Lei, Z.; Wang, W. Reliable Communication in Distributed Photovoltaic Sensor Networks: A Large Language Model-Driven Approach. Sensors 2026, 26, 838. https://doi.org/10.3390/s26030838
Dong W, Liu X, Liu Q, Zhang G, Shi J, Zhao X, Lei Z, Wang W. Reliable Communication in Distributed Photovoltaic Sensor Networks: A Large Language Model-Driven Approach. Sensors. 2026; 26(3):838. https://doi.org/10.3390/s26030838
Chicago/Turabian StyleDong, Wu, Xu Liu, Qing Liu, Guanghui Zhang, Ji Shi, Xun Zhao, Zhongming Lei, and Wei Wang. 2026. "Reliable Communication in Distributed Photovoltaic Sensor Networks: A Large Language Model-Driven Approach" Sensors 26, no. 3: 838. https://doi.org/10.3390/s26030838
APA StyleDong, W., Liu, X., Liu, Q., Zhang, G., Shi, J., Zhao, X., Lei, Z., & Wang, W. (2026). Reliable Communication in Distributed Photovoltaic Sensor Networks: A Large Language Model-Driven Approach. Sensors, 26(3), 838. https://doi.org/10.3390/s26030838

