From Chew Counts to Intake Amounts: An Evaluation of Acoustic Sensing in Browsing Goats
Abstract
1. Introduction
2. Materials and Methods
2.1. Overview
2.2. Experimental Animals and Their Management
2.3. Model Plant Species
2.4. Preparation of Bite-Sized Units
2.5. Hand-Constructed Patch
2.6. Acoustic Monitoring
2.7. Acoustically Augmented Video
2.8. General Experimental Protocol
2.9. Experiment 1: Bite Mass
2.9.1. Experimental Design of Experiment 1
2.9.2. Detailed Protocol of Experiment 1
2.10. Experiment 2: Satiety Level
2.10.1. Experimental Design of Experiment 2
2.10.2. Detailed Protocol of Experiment 2
2.11. Counting and Sequencing of Chews and Bites
2.12. Herbage Moisture Content and Chemical Analysis
2.13. Mechanistic Exploration of the Data
2.14. Statistical Analysis
3. Results
3.1. Carob Foliage Characteristics
3.2. Animal Welfare
3.3. Acoustic Signal Waveform
3.4. Bite Mass Experiment
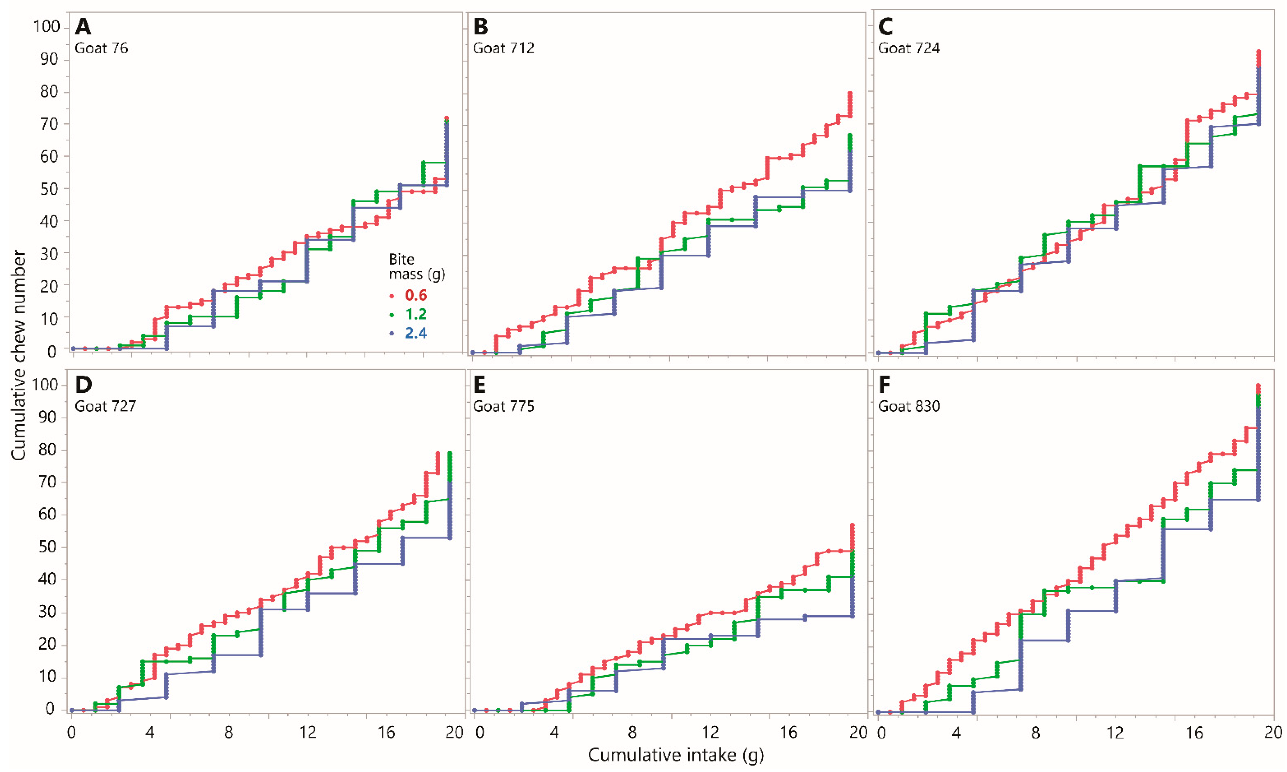
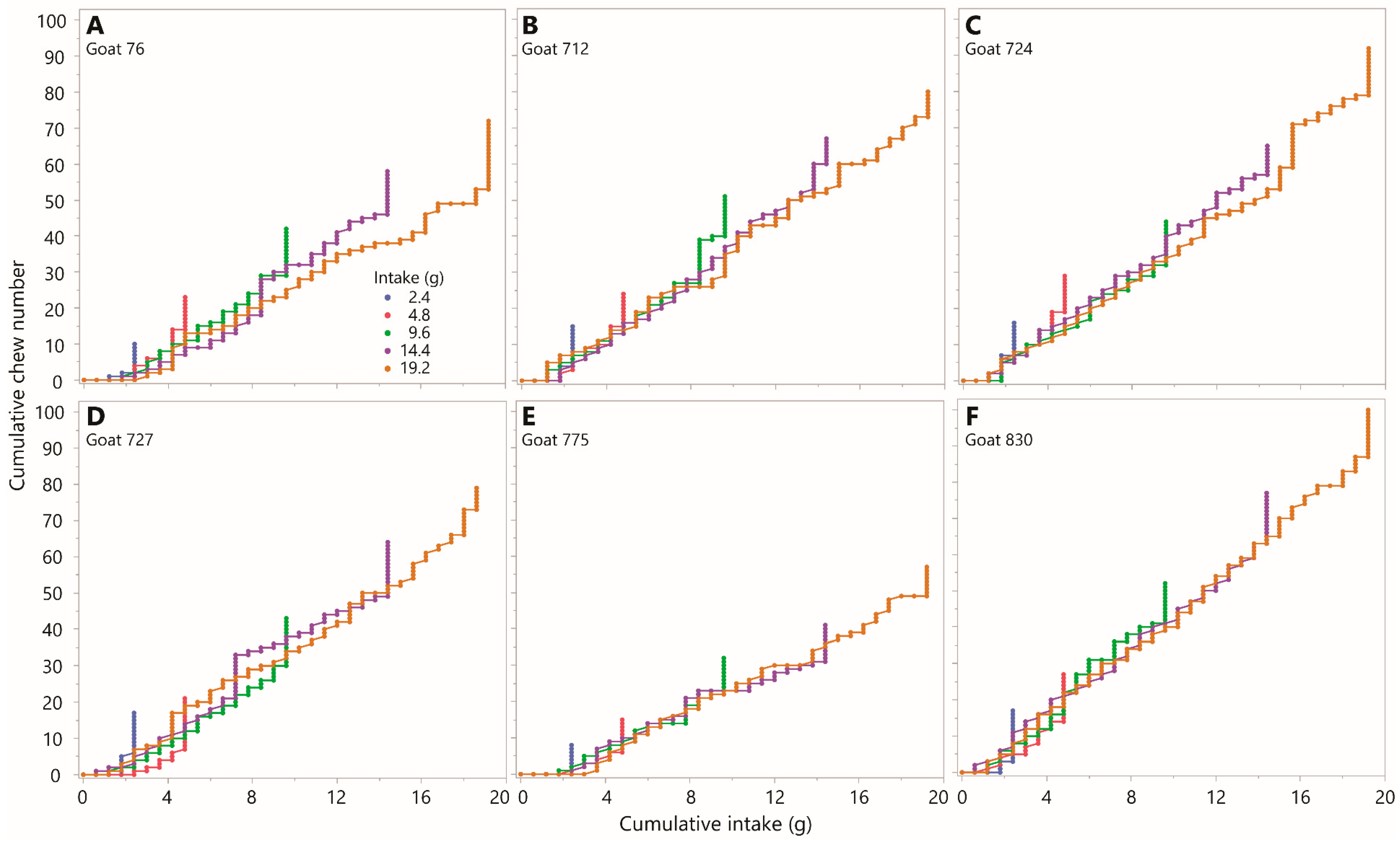
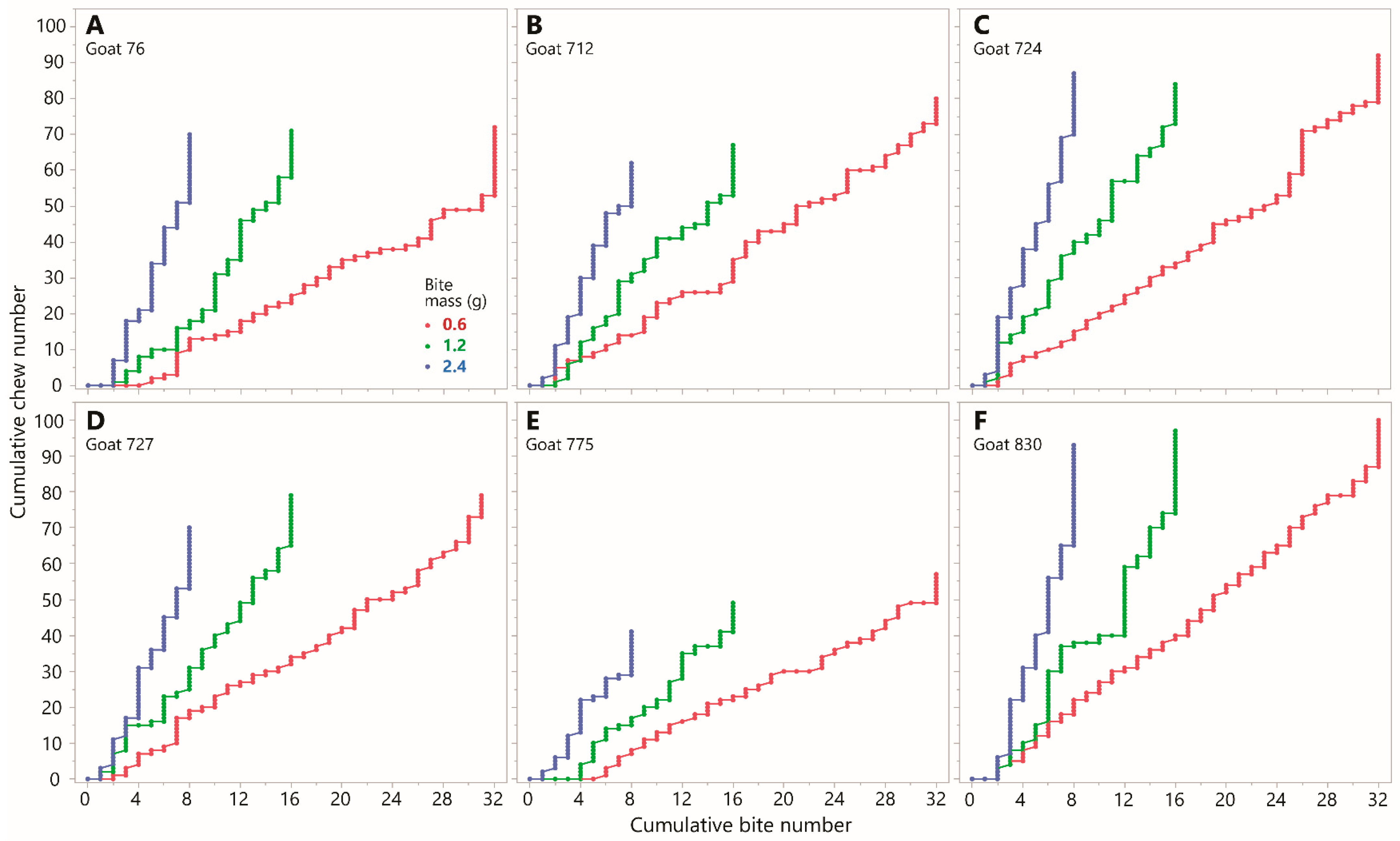
3.4.1. Data Overview of Experiment 1
3.4.2. Jaw Movement Types and Transitions
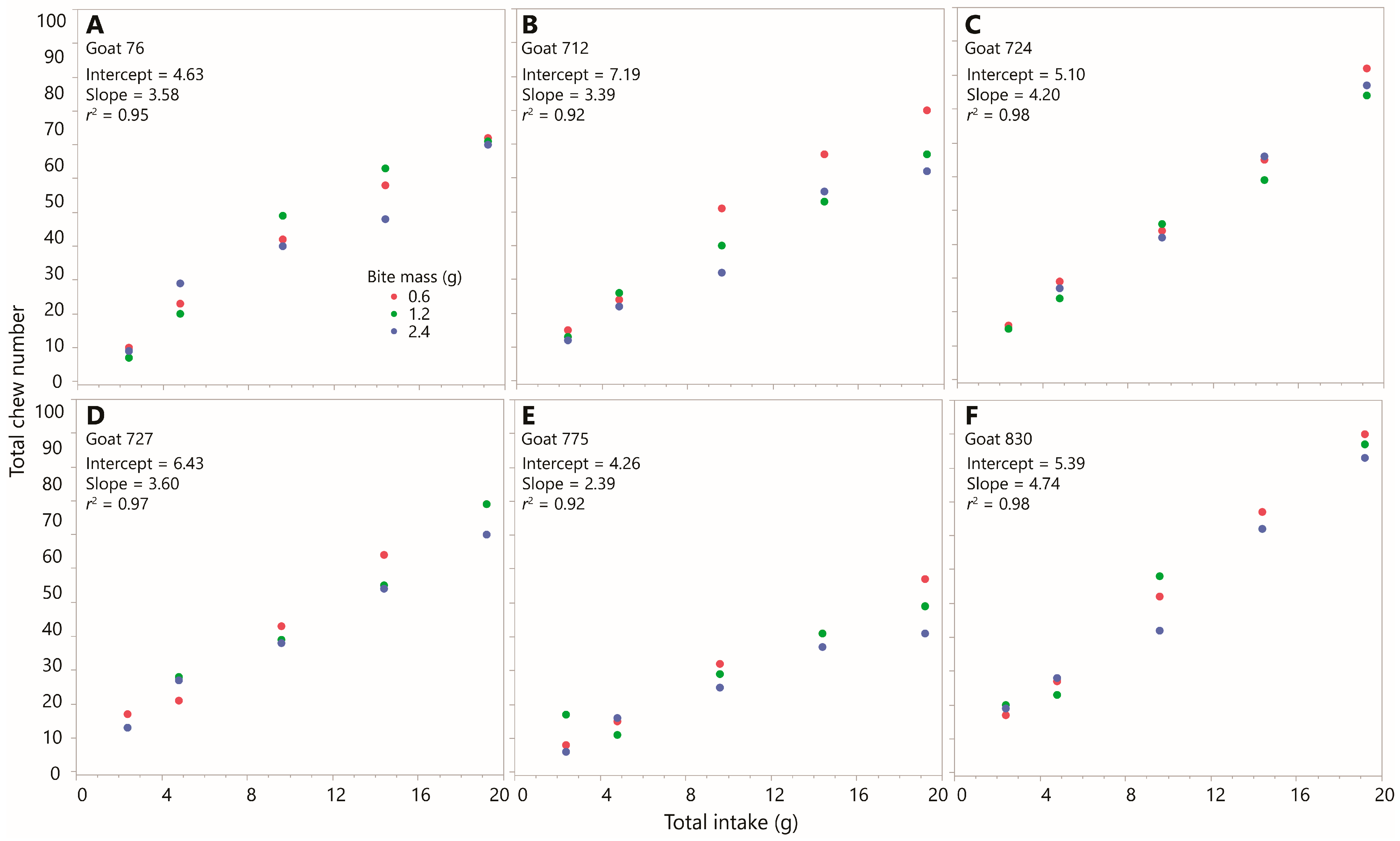
3.4.3. Simple Linear Regression
3.4.4. Mixed Model Analysis of Experiment 1
3.4.5. Jaw Movement Rhythm of Experiment 1
3.4.6. Rhythmicity and Its Deviations
3.5. Satiety-Level Experiment
3.5.1. Data Overview of Experiment 2
3.5.2. Jaw Movement Rhythm of Experiment 2
3.5.3. Mixed Model Analysis of Experiment 2
3.6. Intake Prediction
4. Discussion
4.1. Indicators of Stability
4.2. The Importance of Bite Mass
4.3. Importance of Mouth Filling and Emptying
4.4. Classic Interpretation of Chewing Coefficient
4.5. Emergent Interpretation of Chewing Coefficient
4.6. Reexamination of the Bite Mass Effect
4.7. The Importance of Satiety Level
4.8. Bite Masses in Broader Context
4.9. From Chews to Intake
5. Conclusions
Supplementary Materials
Author Contributions
Funding
Institutional Review Board Statement
Informed Consent Statement
Data Availability Statement
Acknowledgments
Conflicts of Interest
Abbreviations
Appendix A. Explanation of Elevated Inter-Chew-Action Intervals
Appendix B. Elucidation of the Mechanics of the Ingestive Process Based on Acoustic Monitoring
Appendix B.1. Evaluation of an Alternative Model of Chewing






Appendix B.2. Simple Algebraic Formulation of the V-Based Model
Appendix B.3. Application of the V-Based Model to Experiment 1



Appendix B.4. Application of the V-Based Model More Widely

Appendix B.5. Chew Effectiveness and Mouth Fill
Appendix B.6. Explanations Under the V-Based Model
Appendix B.7. Qualitative Inferences from Chew and Bite Sequencing
Appendix B.8. Runs Analysis
| Bite Mass (g Fresh Mass) | ||||||||||||
|---|---|---|---|---|---|---|---|---|---|---|---|---|
| All | 0.6 | 1.2 | 2.4 | |||||||||
| Run Length | n Runs | n Bites | Prop. of Bites | n Runs | n Bites | Prop. of Bites | n Runs | n Bites | Prop. of Bites | n Runs | n Bites | Prop. of Bites |
| Singleton | 631 | 631 | 0.72 | 239 | 239 | 0.67 | 119 | 119 | 0.61 | 75 | 75 | 0.82 |
| Double | 82 | 164 | 0.19 | 27 | 54 | 0.15 | 33 | 66 | 0.34 | 8 | 16 | 0.18 |
| Triple | 14 | 42 | 0.05 | 11 | 33 | 0.09 | 2 | 6 | 0.03 | |||
| Quadruple | 8 | 32 | 0.04 | 6 | 24 | 0.07 | 1 | 4 | 0.02 | |||
| Quintuple | 1 | 5 | 0.01 | 1 | 5 | 0.01 | ||||||
| Sextuple | 1 | 6 | 0.01 | |||||||||
| All | 880 | 355 | 195 | 91 | ||||||||

Appendix B.9. In Summary
| Model of Herbage Processing | |||
|---|---|---|---|
| Result Observed | Single Bite | Batch-Feed Tank | Continuous-Feed Tank |
| Different intakes generated similar trajectories | Expected | Less likely | Expected |
| Fine interleaving of chews and bites at lowest bite mass | Expected | Incompatible | Expected |
| Extended terminal chewing | Incompatible | Unlikely | Expected |
| Dominance of bite singletons across bite masses | Expected | Incompatible | Expected |
| Longer chew runs with increasing bite mass | Compatible | Incompatible | Expected |
References
- Andriamandroso, A.L.H.; Bindelle, J.; Mercatoris, B.; Lebeau, F. A review on the use of sensors to monitor cattle jaw movements and behavior when grazing. Biotechnol. Agron. Soc. Environ. 2016, 20, 273–286. [Google Scholar] [CrossRef]
- Tzanidakis, C.; Tzamaloukas, O.; Simitzis, P.; Panagakis, P. Precision livestock farming Applications (PLF) for grazing animals. Agriculture 2023, 13, 288. [Google Scholar] [CrossRef]
- Laca, E.A.; WallisDeVries, M.F. Acoustic measurement of intake and grazing behaviour of cattle. Grass Forage Sci. 2000, 55, 97–104. [Google Scholar] [CrossRef]
- Clapham, W.M.; Fedders, J.M.; Beeman, K.; Neel, J.P.S. Acoustic monitoring system to quantify ingestive behavior of free-grazing cattle. Comput. Electron. Agric. 2011, 76, 96–104. [Google Scholar] [CrossRef]
- Milone, D.H.; Rufiner, H.L.; Galli, J.R.; Laca, E.A.; Cangiano, C.A. Computational method for segmentation and classification of ingestive sounds in sheep. Comput. Electron. Agric. 2009, 65, 228–237. [Google Scholar] [CrossRef]
- Galli, J.R.; Cangiano, C.A.; Milone, D.H.; Laca, E.A. Acoustic monitoring of short-term ingestive behavior and intake in grazing sheep. Livest. Sci. 2011, 140, 32–41. [Google Scholar] [CrossRef]
- Ungar, E.D.; Horn, R. What is grazing time? Insights from the acoustic signature of goat jaw activity in wooded landscapes. Sensors 2025, 25, 8. [Google Scholar] [CrossRef]
- Navon, S.; Mizrach, A.; Hetzroni, A.; Ungar, E.D. Automatic recognition of jaw movements in free-ranging cattle, goats and sheep, using acoustic monitoring. Biosyst. Eng. 2013, 114, 474–483. [Google Scholar] [CrossRef]
- Wang, K.; Wu, P.; Cui, H.; Xuan, C.; Su, H. Identification and classification for sheep foraging behavior based on acoustic signal and deep learning. Comput. Electron. Agric. 2021, 187, 106275. [Google Scholar] [CrossRef]
- Martinez-Rau, L.S.; Chelotti, J.O.; Vanrell, S.R.; Galli, J.R.; Utsumi, S.A.; Planisich, A.M.; Rufiner, H.L.; Giovanini, L.L. A robust computational approach for jaw movement detection and classification in grazing cattle using acoustic signals. Comput. Electron. Agric. 2022, 192, 106569. [Google Scholar] [CrossRef]
- Galli, J.R.; Milone, D.H.; Cangiano, C.A.; Martínez, C.E.; Laca, E.A.; Chelotti, J.O.; Rufiner, H.L. Discriminative power of acoustic features for jaw movement classification in cattle and sheep. Bioacoustics 2020, 29, 602–616. [Google Scholar] [CrossRef]
- Ungar, E.D.; Nevo, Y. Rhythms, patterns and styles in the jaw movement activity of beef cattle on rangeland as revealed by acoustic monitoring. Sensors 2025, 25, 1210. [Google Scholar] [CrossRef] [PubMed]
- Chelotti, J.O.; Vanrell, S.R.; Milone, D.H.; Utsumi, S.A.; Galli, J.R.; Rufiner, H.L.; Giovanini, L.L. A real-time algorithm for acoustic monitoring of ingestive behavior of grazing cattle. Comput. Electron. Agric. 2016, 127, 64–75. [Google Scholar] [CrossRef]
- Galli, J.R.; Cangiano, C.A.; Pece, M.A.; Larripa, M.J.; Milone, D.H.; Utsumi, S.A.; Laca, E.A. Monitoring and assessment of ingestive chewing sounds for prediction of herbage intake rate in grazing cattle. Animal 2018, 12, 973–982. [Google Scholar] [CrossRef] [PubMed]
- Wang, K.; Xuan, C.; Wu, P.; Liu, F.; Fan, X. Feeding intake estimation in sheep based on ingestive chewing sounds. Comput. Electron. Agric. 2022, 194, 106698. [Google Scholar] [CrossRef]
- Prache, S. Intake rate, intake per bite and time per bite of lactating ewes on vegetative and reproductive swards. Appl. Anim. Behav. Sci. 1997, 52, 53–64. [Google Scholar] [CrossRef]
- Bonnet, O.J.F.; Meuret, M.; Tischler, M.R.; Cezimbra, I.M.; Azambuja, J.C.R.; Carvalho, P.C.F. Continuous bite monitoring: A method to assess the foraging dynamics of herbivores in natural grazing conditions. Anim. Prod. Sci. 2015, 55, 339–349. [Google Scholar] [CrossRef]
- Hu, S.; Arablouei, R.; Bishop-Hurley, G.J.; Reverter, A.; Ingham, A. Predicting bite rate of grazing cattle from accelerometry data via semi-supervised regression. Smart Agric. Technol. 2023, 5, 100256. [Google Scholar] [CrossRef]
- Boval, M.; Sauvant, D. Ingestive behaviour of grazing ruminants: Meta-analysis of the components of bite mass. Anim. Feed Sci. Technol. 2019, 251, 96–111. [Google Scholar] [CrossRef]
- Flores, E.R.; Laca, E.A.; Griggs, T.C.; Demment, M.W. Sward height and vertical morphological differentiation determine cattle bite dimensions. Agron. J. 1993, 85, 527–532. [Google Scholar] [CrossRef]
- Hongo, A. Selective grazing in pure leaf and leaf/culm mixtures of herbage grasses by sheep. J. Agric. Sci. 1998, 131, 353–359. [Google Scholar] [CrossRef][Green Version]
- Ginnett, T.F.; Dankosky, J.A.; Deo, G.; Demment, M.W. Patch depression in grazers: The roles of biomass distribution and residual stems. Funct. Ecol. 1999, 13, 37–44. [Google Scholar] [CrossRef]
- Trudell, J.; White, R.G. The effect of forage structure and availability on food intake, biting rate, bite size and daily eating time of reindeer. J. Appl. Ecol. 1981, 18, 63–81. [Google Scholar] [CrossRef]
- Pérez-Barbería, F.J.; Gordon, I.J. Factors affecting food comminution during chewing in ruminants: A review. Biol. J. Linn. Soc. 1998, 63, 233–256. [Google Scholar] [CrossRef]
- Gross, J.E.; Shipley, L.A.; Hobbs, N.T.; Spalinger, D.E.; Wunder, B.A. Functional response of herbivores in food-concentrated patches: Tests of a mechanistic model. Ecology 1993, 74, 778–791. [Google Scholar] [CrossRef]
- Cohen, Y.; Pastor, J.; Moen, R. Bite, chew, and swallow. Ecol. Model. 1999, 116, 1–14. [Google Scholar] [CrossRef]
- Cannam, C.; Landone, C.; Sandler, M. Sonic Visualiser: An open source application for viewing, analysing, and annotating music audio files. In Proceedings of the 18th ACM International Conference on Multimedia, ACM, Firenze, Italy, 25–29 October 2010; pp. 1467–1468. [Google Scholar] [CrossRef]
- Landau, S.; Dvash, L.; Decandia, M.; Cabiddu, A.; Shapiro, F.; Molle, G.; Silanikove, N. Determination of poly(ethylene glycol)-binding to browse foliage, as an assay of tannin, by near-infrared reflectance spectroscopy. J. Agric. Food Chem. 2004, 52, 638–642. [Google Scholar] [CrossRef]
- Glasser, T.; Landau, S.; Ungar, E.D.; Perevolotsky, A.; Dvash, L.; Muklada, H.; Kababya, D.; Walker, J.W. A fecal near-infrared reflectance spectroscopy-aided methodology to determine goat dietary composition in a Mediterranean shrubland. J. Anim. Sci. 2008, 86, 1345–1356. [Google Scholar] [CrossRef]
- Williams, S.H.; Vinyard, C.J.; Wall, C.E.; Hylander, W.L. Masticatory motor patterns in ungulates: A quantitative assessment of jaw-muscle coordination in goats, alpacas and horses. J. Exp. Zool. 2007, 307A, 226–240. [Google Scholar] [CrossRef]
- Sanson, G. The biomechanics of browsing and grazing. Am. J. Bot. 2006, 93, 1531–1545. [Google Scholar] [CrossRef]
- Virot, E.; Ma, G.; Clanet, C.; Jung, S. Physics of chewing in terrestrial mammals. Sci. Rep. 2017, 7, 43967. [Google Scholar] [CrossRef]
- Maekawa, M.; Beauchemin, K.A.; Christensen, D.A. Chewing activity, saliva production, and ruminal pH of primiparous and multiparous lactating dairy cows. J. Dairy Sci. 2002, 85, 1176–1182. [Google Scholar] [CrossRef]
- Boval, M.; Sauvant, D. Ingestive behaviour of grazing ruminants: Meta-analysis of the components linking bite mass to daily intake. Anim. Feed Sci. Technol. 2021, 278, 115014. [Google Scholar] [CrossRef]











| Total Intake (g Fresh [Dry] Mass) | Bite Mass (g Fresh [Dry] Mass) | ||
|---|---|---|---|
| 0.6 [0.25] | 1.2 [0.5] | 2.4 [1] | |
| n bites removed | |||
| 2.4 [1] | 4 | 2 | 1 |
| 4.8 [2] | 8 | 4 | 2 |
| 9.6 [4] | 16 | 8 | 4 |
| 14.4 [6] | 24 | 12 | 6 |
| 19.2 [8] | 32 | 16 | 8 |
| Joint Probability Matrices | Transition Matrices | |||||||
|---|---|---|---|---|---|---|---|---|
| Bite | From jaw | To jaw movement | To jaw movement | |||||
| mass (g) | movement | n | Chew–bite | Pure bite | Pure chew | Chew–bite | Pure bite | Pure chew |
| % | % | |||||||
| All | Chew–bite | 239 | 0.2 | 0.2 | 5.1 | 3.8 | 3.3 | 92.9 |
| Pure bite | 641 | 0.2 | 2.7 | 11.9 | 1.1 | 18.6 | 80.3 | |
| Pure chew | 3461 | 5.1 | 9.8 | 64.8 | 6.4 | 12.3 | 81.3 | |
| 0.6 | Chew–bite | 148 | 0.5 | 0.4 | 8.0 | 6.1 | 4.1 | 89.9 |
| Pure bite | 355 | 0.4 | 4.3 | 16.7 | 2.0 | 20.0 | 78.0 | |
| Pure chew | 1160 | 7.9 | 14.9 | 46.9 | 11.4 | 21.4 | 67.2 | |
| 1.2 | Chew–bite | 57 | 0 | 0.1 | 3.8 | 0.0 | 3.5 | 96.5 |
| Pure bite | 195 | 0 | 2.8 | 10.8 | 0.0 | 20.5 | 79.5 | |
| Pure chew | 1181 | 4.0 | 8.6 | 69.9 | 4.8 | 10.4 | 84.8 | |
| 2.4 | Chew–bite | 34 | 0 | 0 | 2.7 | 0.0 | 0.0 | 100.0 |
| Pure bite | 91 | 0 | 0.6 | 6.7 | 0.0 | 8.8 | 91.2 | |
| Pure chew | 1120 | 2.7 | 4.3 | 82.9 | 3.0 | 4.8 | 92.1 | |
| Goat | Bite Mass | Intercept | p of Intercept | Slope | p of Slope | r2 |
|---|---|---|---|---|---|---|
| 76 | 0.6 | 4.25 | 0.18 | 3.65 | 0.0004 | 0.987 |
| 1.2 | 2.69 | 0.70 | 3.90 | 0.0055 | 0.927 | |
| 2.4 | 6.96 | 0.27 | 3.20 | 0.0054 | 0.928 | |
| 712 | 0.6 | 7.24 | 0.15 | 3.98 | 0.0011 | 0.974 |
| 1.2 | 8.66 | 0.03 | 3.09 | 0.0005 | 0.986 | |
| 2.4 | 5.66 | 0.23 | 3.09 | 0.0023 | 0.959 | |
| 724 | 0.6 | 5.30 | 0.17 | 4.35 | 0.0004 | 0.987 |
| 1.2 | 5.21 | 0.12 | 4.01 | 0.0003 | 0.989 | |
| 2.4 | 4.50 | 0.33 | 4.25 | 0.0039 | 0.988 | |
| 727 | 0.6 | 5.59 | 0.10 | 3.89 | 0.0003 | 0.990 |
| 1.2 | 5.90 | 0.19 | 3.66 | 0.0011 | 0.975 | |
| 2.4 | 7.80 | 0.04 | 3.23 | 0.0005 | 0.986 | |
| 775 | 0.6 | 1.74 | 0.39 | 2.86 | 0.0003 | 0.990 |
| 1.2 | 6.91 | 0.20 | 2.23 | 0.0081 | 0.906 | |
| 2.4 | 4.13 | 0.24 | 2.07 | 0.0032 | 0.949 | |
| 830 | 0.6 | 4.10 | 0.02 | 5.01 | <0.0001 | 0.999 |
| 1.2 | 6.37 | 0.26 | 4.73 | 0.0012 | 0.973 | |
| 2.4 | 5.70 | 0.23 | 4.47 | 0.0009 | 0.980 |
Disclaimer/Publisher’s Note: The statements, opinions and data contained in all publications are solely those of the individual author(s) and contributor(s) and not of MDPI and/or the editor(s). MDPI and/or the editor(s) disclaim responsibility for any injury to people or property resulting from any ideas, methods, instructions or products referred to in the content. |
© 2026 by the authors. Licensee MDPI, Basel, Switzerland. This article is an open access article distributed under the terms and conditions of the Creative Commons Attribution (CC BY) license.
Share and Cite
Navon, S.; Bellalu, A.; Ben-Moshe, E.; Voet, H.; Ungar, E.D. From Chew Counts to Intake Amounts: An Evaluation of Acoustic Sensing in Browsing Goats. Sensors 2026, 26, 719. https://doi.org/10.3390/s26020719
Navon S, Bellalu A, Ben-Moshe E, Voet H, Ungar ED. From Chew Counts to Intake Amounts: An Evaluation of Acoustic Sensing in Browsing Goats. Sensors. 2026; 26(2):719. https://doi.org/10.3390/s26020719
Chicago/Turabian StyleNavon, Shilo, Aharon Bellalu, Ezra Ben-Moshe, Hillary Voet, and Eugene David Ungar. 2026. "From Chew Counts to Intake Amounts: An Evaluation of Acoustic Sensing in Browsing Goats" Sensors 26, no. 2: 719. https://doi.org/10.3390/s26020719
APA StyleNavon, S., Bellalu, A., Ben-Moshe, E., Voet, H., & Ungar, E. D. (2026). From Chew Counts to Intake Amounts: An Evaluation of Acoustic Sensing in Browsing Goats. Sensors, 26(2), 719. https://doi.org/10.3390/s26020719

