State-Based Fault Diagnosis of Finite-State Vector Discrete-Event Systems via Integer Linear Programming
Abstract
1. Introduction
- 1.
- We first investigate and formulate the definition of the state-based -diagnosability in a Vector DES. For the verification of state-based -diagnosability, a necessary and sufficient condition is introduced.
- 2.
- A standard mathematical tool is utilized to verify state-based -diagnosability and diagnose, preventing a full state enumeration. The presented method does not depend on the construction of a diagnoser, because it solves ILP problems to verify the state-based -diagnosability and achieve online diagnosis.
2. Preliminaries
3. Problem Formulation
4. Verification of State-Based -Diagnosability
4.1. Necessary and Sufficient Condition for State-Based -Diagnosability of Finite-State Vector DESs
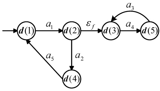
4.2. Illustrative Example
4.3. Complexity Analysis
5. State-Based Fault Online Diagnosis
5.1. State-Based Fault Online Diagnosis of Finite-State Vector DESs
| Algorithm 1: State-based online fault diagnosis of a finite-state Vector DES |
![]() |
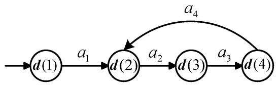
5.2. Illustrative Example
5.3. Complexity Analysis
6. Example: A Production Line Repairing Damaged Parts
7. Conclusions
Author Contributions
Funding
Institutional Review Board Statement
Informed Consent Statement
Data Availability Statement
Conflicts of Interest
Abbreviations
| DES | Discrete-event system |
| FSM | Finite-state machine |
| PN | Petri net |
| ILP | Integer linear programming |
| ILPP | Integer linear programming problem |
References
- Cassandras, C.G.; Lafortune, S. Introduction to Discrete Event Systems, 2nd ed.; Springer Science & Business Media: New York, NY, USA, 2009. [Google Scholar]
- Zaytoon, J.; Lafortune, S. Overview of fault diagnosis methods for discrete event systems. Annu. Rev. Control 2013, 37, 308–320. [Google Scholar] [CrossRef]
- Sampath, M.; Sengupta, R.; Lafortune, S.; Sinnamohideen, K.; Teneketzis, D. Diagnosability of discrete-event system. IEEE Trans. Autom. Control 1995, 40, 1555–1575. [Google Scholar] [CrossRef]
- Sampath, M.; Sengupta, R.; Lafortune, S.; Sinnamohideen, K.; Teneketzis, D. Failure diagnosis using discrete event models. IEEE Trans. Control Syst. Technol. 1996, 4, 105–124. [Google Scholar] [CrossRef]
- Lin, F.; Wonham, W.M. On observability of discrete-event systems. Inf. Sci. 1988, 44, 173–198. [Google Scholar] [CrossRef]
- Lin, F. Diagnosability of discrete event systems and its applications. Discret. Event Dyn. Syst. 1994, 4, 197–212. [Google Scholar] [CrossRef]
- Zad, S.H.; Kwong, R.H.; Wonham, W.M. Diagnosis in discrete-event systems: Incorporating timing information. IEEE Trans. Autom. Control 2005, 50, 1010–1015. [Google Scholar]
- Lunze, J.; Schroder, J. State observation and diagnosis of discrete-event systems described by stochastic automata. Discret. Event Dyn. Syst. 2001, 11, 319–369. [Google Scholar] [CrossRef]
- Debouk, R.; Lafortune, S.; Teneketzis, D. Coordinated decentralized protocols for failure diagnosis of discrete-event systems. Discret. Event Dyn. Syst. 2000, 10, 33–86. [Google Scholar] [CrossRef]
- Baroni, P.; Lamperti, G.; Pogliano, P.; Zanella, M. Diagnosis of a class of distributed discrete-event systems. IEEE Trans. Syst. Man Cybern.-Part A Syst. Hum. 2000, 30, 731–752. [Google Scholar] [CrossRef]
- Kang, T.; Hou, Y.; Liu, D. Sensor network attack synthesis against fault diagnosis of discrete event systems. Sensors 2024, 24, 4445. [Google Scholar] [CrossRef] [PubMed]
- Paoli, A.; Lafortune, S. Safe diagnosability for fault-tolerant supervision of discrete-event systems. Automatica 2005, 41, 1335–1347. [Google Scholar] [CrossRef]
- Lefebvre, D.; Delherm, C. Diagnosis of DES with Petri net models. IEEE Trans. Autom. Sci. Eng. 2007, 4, 114–118. [Google Scholar] [CrossRef]
- Dotoli, M.; Fanti, M.P.; Mangini, A.M.; Ukovich, W. On-line fault detection in discrete event systems by Petri nets and integer linear programming. Automatica 2009, 45, 2665–2672. [Google Scholar] [CrossRef]
- Cong, X.; Fanti, M.P.; Mangini, A.M.; Li, Z. Decentralized diagnosis by Petri nets and integer linear programming. IEEE Trans. Syst. Man Cybern. Syst. 2017, 48, 1689–1700. [Google Scholar] [CrossRef]
- Su, R.; Wonham, W.M. Global and local consistencies in distributed fault diagnosis for discrete-event systems. IEEE Trans. Autom. Control 2005, 50, 1923–1935. [Google Scholar] [CrossRef]
- Su, R.; Wonham, W.M. Hierarchical fault diagnosis for discrete-event systems under global consistency. Discret. Event Dyn. Syst. 2006, 16, 39–70. [Google Scholar] [CrossRef]
- Sun, X.; Li, R.; Yuan, Z. Anomaly detection in discrete manufacturing systems by pattern relation table approaches. Sensors 2020, 20, 5766. [Google Scholar] [CrossRef] [PubMed]
- Qin, H.; Ding, W.; Xu, L.; Ruan, C. Petri-Net-based charging scheduling optimization in rechargeable sensor networks. Sensors 2024, 24, 6316. [Google Scholar] [CrossRef]
- Ushio, T.; Onishi, L.; Okuda, K. Fault detection based on Petri net models with faulty behaviors. In Proceedings of the IEEE International Conference on Systems, Man, and Cybernetics, San Diego, CA, USA, 11–14 October 1998; pp. 113–118. [Google Scholar]
- Cabasino, M.; Giua, A.; Lafortune, S.; Seatzu, C. Diagnosability analysis of unbounded Petri nets. In Proceedings of the 48th IEEE Conference on Decision and Control, Shanghai, China, 16–18 December 2009; pp. 1267–1272. [Google Scholar]
- Basile, F.; Chiacchio, P.; Tommasi, G.D. On K-diagnosability of Petri nets via integer linear programming. Automatica 2012, 48, 2047–2058. [Google Scholar] [CrossRef]
- Lefebvre, D. On-line fault diagnosis with partially observed Petri nets. IEEE Trans. Autom. Control 2014, 59, 1919–1924. [Google Scholar] [CrossRef]
- Chung, S.L. Diagnosing PN-based models with partial observable transitions. Int. J. Comput. Integr. Manuf. 2005, 18, 158–169. [Google Scholar] [CrossRef]
- Yoo, T.S.; Lafortune, S. Polynomial-time verification of diagnosability of partially observed discrete-event systems. IEEE Trans. Autom. Control 2002, 47, 1491–1495. [Google Scholar]
- Zhu, G.; Feng, L.; Li, Z.; Wu, N. An Efficient fault diagnosis approach based on integer linear programming for labeled Petri nets. IEEE Trans. Autom. Control 2021, 66, 2393–2398. [Google Scholar] [CrossRef]
- Zad, S.H.; Kwong, R.H.; Wonham, W.M. Fault diagnosis in discrete-event systems: Framework and model reduction. IEEE Trans. Autom. Control 2003, 48, 1199–1212. [Google Scholar] [CrossRef]
- Wang, D.; Wang, X.; Li, Z. State-based fault diagnosis of discrete-event systems with partially observable outputs. Inf. Sci. 2020, 529, 87–100. [Google Scholar] [CrossRef]
- Wen, Y.; Jeng, M. Diagnosability analysis based on T-invariants of Petri nets. In Proceedings of the 2005 IEEE Networking, Sensing and Control, Tucson, AZ, USA, 19–22 March 2005; pp. 371–376. [Google Scholar]
- Zhu, G.; Li, Z.; Wu, N. Model-based fault identification of discrete event systems using partially observed Petri nets. Automatica 2018, 96, 201–212. [Google Scholar] [CrossRef]
- Chen, Q.; Yin, L.; Wu, N.; El-Meligy, M.A.; Sharaf, M.A.F.; Li, Z. Diagnosability of vector discrete-event systems using predicates. IEEE Access 2019, 7, 147143–147155. [Google Scholar] [CrossRef]
- Jiao, T.; Chang, R.; Nan, X. On the invariance property of reduced supervisors from the perspective of vector discrete-event systems. Int. J. Control 2021, 94, 2541–2550. [Google Scholar] [CrossRef]
- Li, Y.; Wonham, W.M. Control of vector discrete-event systems I—The base model. IEEE Trans. Autom. Control 1993, 38, 1214–1227. [Google Scholar] [CrossRef]
- Li, Y.; Wonham, W.M. Control of vector discrete-event systems II—Controller synthesis. IEEE Trans. Autom. Control 1994, 39, 512–531. [Google Scholar]
- Wonham, W.M.; Cai, K. Supervisory Control of Discrete-Event Systems; Springer Science & Business Media: New York, NY, USA, 2019. [Google Scholar]
- Deng, W.; Qiu, D. State-based fault diagnosis of discrete-event systems. In Proceedings of the 28th Chinese Control and Decision Conference, Xuzhou, China, 26–28 May 2016; pp. 5470–5475. [Google Scholar]
- Petrinet-Tool Netlab. Available online: https://www.irt.rwth-aachen.de/cms/irt/studium/downloads/~osru/petrinetz-tool-netlab/?lidx=1 (accessed on 18 December 2024).
- Vallés, F.G. Contributions to the Structural and Symbolic Analysis of Place/Transition Nets with Applications to Flexible Manufacturing Systems and Asynchronous Circuits. Ph.D. Thesis, University of Zaragoza, Zaragoza, Spain, 1999. [Google Scholar]
- Löfberg, J. YALMIP: A toolbox for modeling and optimization in MATLAB. In Proceedings of the 2004 IEEE International Conference on Robotics and Automation, New Orleans, LA, USA, 26 April–1 May 2004; pp. 284–289. [Google Scholar]




| State | State Vector |
|---|---|
| State | State Vector |
|---|---|
| Event | Meaning | Fault |
|---|---|---|
| A damaged part is separated | No | |
| A metallic plate is inserted in the slab | No | |
| Right line is grinding | No | |
| Right line is milling | No | |
| Right line is painting | No | |
| Right line is fitting | No | |
| Left line is grinding | No | |
| Left line is milling | No | |
| Left line is painting | No | |
| Left line is fitting | No | |
| Load a supplementary slab from Buffer 1 | No | |
| Load a supplementary plate from Buffer 1 | No | |
| Load a supplementary plate from Buffer 3 | No | |
| Load a supplementary slab from Buffer 2 | No | |
| c | Repeat the whole process | No |
| Self-replenish pigment | No | |
| Pigment deficiency response | No | |
| There is not enough pigment to paint | Yes |
| State Component | Meaning | Observability |
|---|---|---|
| A damaged part is ready to be repaired | Observable | |
| A plate separated from the damaged part | Observable | |
| Grinding is finished in the right line | Observable | |
| Milling is finished in the right line | Observable | |
| Painting is finished in the right line | Observable | |
| Fitting is finished in the right line | Observable | |
| A slab separated from the damaged part | Observable | |
| Grinding is finished in the left line | Observable | |
| Milling is finished in the left line | Observable | |
| Painting is finished in the left line | Observable | |
| Fitting is finished in the left line | Observable | |
| One metallic plate inserted in the slab | Observable | |
| Buffer 1 is available | Observable | |
| Buffer 3 is available | Observable | |
| Painting is unavailable | Observable | |
| Pigment deficiency | Unobservable | |
| Buffer 2 is available | Observable |
Disclaimer/Publisher’s Note: The statements, opinions and data contained in all publications are solely those of the individual author(s) and contributor(s) and not of MDPI and/or the editor(s). MDPI and/or the editor(s) disclaim responsibility for any injury to people or property resulting from any ideas, methods, instructions or products referred to in the content. |
© 2025 by the authors. Licensee MDPI, Basel, Switzerland. This article is an open access article distributed under the terms and conditions of the Creative Commons Attribution (CC BY) license (https://creativecommons.org/licenses/by/4.0/).
Share and Cite
Chen, Q.; Garayev, M.; Liu, D. State-Based Fault Diagnosis of Finite-State Vector Discrete-Event Systems via Integer Linear Programming. Sensors 2025, 25, 1452. https://doi.org/10.3390/s25051452
Chen Q, Garayev M, Liu D. State-Based Fault Diagnosis of Finite-State Vector Discrete-Event Systems via Integer Linear Programming. Sensors. 2025; 25(5):1452. https://doi.org/10.3390/s25051452
Chicago/Turabian StyleChen, Qinrui, Mubariz Garayev, and Ding Liu. 2025. "State-Based Fault Diagnosis of Finite-State Vector Discrete-Event Systems via Integer Linear Programming" Sensors 25, no. 5: 1452. https://doi.org/10.3390/s25051452
APA StyleChen, Q., Garayev, M., & Liu, D. (2025). State-Based Fault Diagnosis of Finite-State Vector Discrete-Event Systems via Integer Linear Programming. Sensors, 25(5), 1452. https://doi.org/10.3390/s25051452


