Research on the Dynamic Mechanism and Multi-Parameter Collaborative Optimization of a Cantilevered Conveyor Trough in Combine Harvesters for Vibration Suppression
Abstract
1. Introduction
2. Materials and Methods
2.1. Output Response Test of the Cantilevered Conveyor Trough
2.1.1. Experimental Device and Instruments
2.1.2. Layout of Sensor Test Points
2.2. Theoretical Foundation and Model Construction for Structural Optimization Theoretical Foundation and Model Construction for Structural Optimization
2.2.1. Theoretical Model Development
2.2.2. Limit Inclination Angle Calculation and Parameter Validation
2.3. Orthogonal Experimental Design and Multi-Factor ANOVA Methodology
3. Results and Discussion
3.1. Multi-Factor ANOVA Results and Optimization Validation for the Cantilevered Conveyor Trough Structure
3.1.1. Influence Degree Analysis Under Multi-Parameter Combinations
3.1.2. Interaction Analysis Under Multi-Parameter Combinations
3.1.3. Optimization Validation Under Fixed Initial Angle
3.2. Field Validation and Dynamic Characteristic Analysis
4. Conclusions
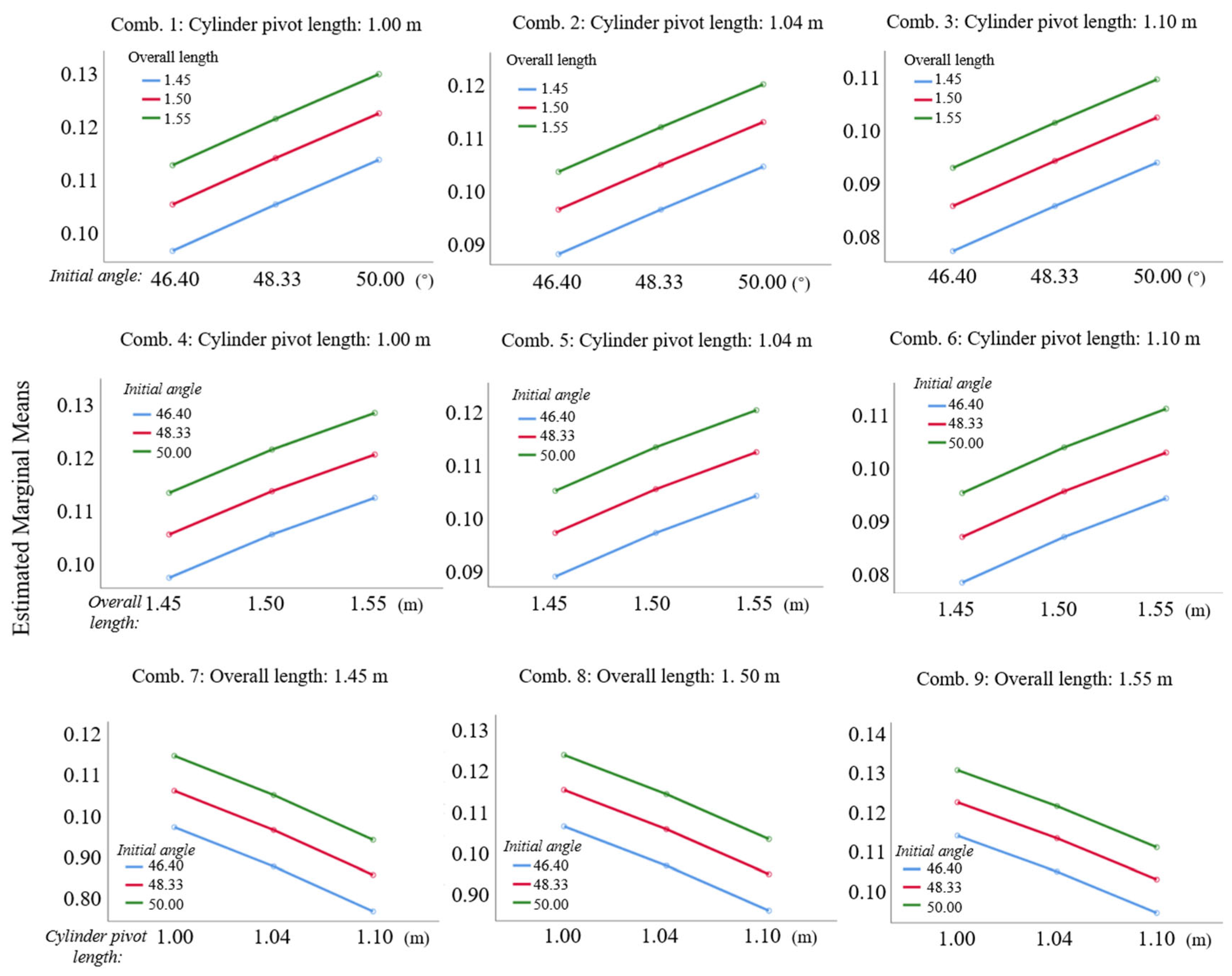
- Cylinder pivot length exerted the most significant influence on sway amplitude (F = 42.250, p = 0.023), surpassing the contributions of initial angle (F = 30.484) and overall length (F = 27.062). This confirms that repositioning the hydraulic cylinder pivot directly optimizes torque distribution, effectively suppressing vibration. Duncan’s post hoc test further validated statistically significant differences between factor levels, providing robust statistical foundations for engineering optimization.
- The optimal parameter combination identified via orthogonal design (initial angle 48.33°, overall length 1.45 m, cylinder pivot length 1.10 m) reduced the theoretical sway amplitude to 0.088 mm, representing a significant 11.62% decrease compared to the original configuration, which had an amplitude of 0.099 mm. Field validation confirmed an actual sway amplitude of 0.0875 mm under this combination, yielding a negligible 0.57% deviation from theoretical predictions. This demonstrates the exceptional robustness and reliability of the optimization framework.
- Setting the initial angle to 48.33° achieved dual objectives: sway amplitude reduction and seamless geometric transition between header and trough. This configuration minimized rice stalk blockage risks by ensuring continuous alignment between the grain auger base plate and cantilevered conveyor trough base plate. The optimized design exemplifies feasible engineering trade-offs under multi-constraint conditions, validating the practicality of integrated structural optimization for agricultural machinery.
- The study emphasizes the application of sensor data for structural optimization. The dynamic model incorporated simplifications under ideal assumptions, such as neglecting elastic deformation and nonlinear effects; however, the conclusions verify its effectiveness within the engineering scope. The applicable parameter ranges are initial angle 46.4–50°, overall length 1.45–1.55 m, and cylinder pivot length 1.00–1.10 m, which are suitable for combine harvesters operating at constant speed on relatively flat terrain. Deviations beyond these ranges may require revalidation. Future work will address actual device characteristics and complex field conditions to enhance model generality.
Author Contributions
Funding
Data Availability Statement
Conflicts of Interest
References
- Chen, T.; Xu, L.; Ahn, H.S.; Lu, E.; Liu, Y.; Xu, R. Evaluation of headland turning types of adjacent parallel paths for combine harvesters. Biosyst. Eng. 2023, 233, 93–113. [Google Scholar] [CrossRef]
- Chen, J.; Ji, J.; Ji, K.; Chen, Y. Deep learning-driven predictive control method for optimizing combine harvester operation speed. Eng. Agrícola 2025, 45, e20240150. [Google Scholar] [CrossRef]
- Liang, Z.; Li, Y.; Xu, L.; Zhao, Z. Sensor for monitoring rice grain sieve losses in combine harvesters. Biosyst. Eng. 2016, 147, 51–66. [Google Scholar] [CrossRef]
- Hu, J.; Yu, Y.; Ma, T.; Liu, P.; Xu, L. Design of attitude-adjustable chassis and dynamic stress analysis of key components for crawler combine harvester. J. Agric. Eng. 2024, 56, 1685. [Google Scholar] [CrossRef]
- Zhao, J.; Fan, S.; Zhang, B.; Wang, A.; Zhang, L.; Zhu, Q. Research Status and Development Trends of Deep Reinforcement Learning in the Intelligent Transformation of Agricultural Machinery. Agriculture 2025, 15, 1223. [Google Scholar] [CrossRef]
- Zhang, L.; Zhang, B.; Zhang, H.; Yang, W.; Hu, X.; Cai, J.; Wu, C.; Wang, X. Multi-Source Feature Fusion Network for LAI Estimation from UAV Multispectral Imagery. Agronomy 2025, 15, 988. [Google Scholar] [CrossRef]
- Xu, B.; Liu, J.; Jin, Y.; Yang, K.; Zhao, S.; Peng, Y. Vibration–Collision Coupling Modeling in Grape Clusters for Non-Damage Harvesting Operations. Agriculture 2025, 15, 154. [Google Scholar] [CrossRef]
- Liang, Z.; Liu, J.; Yang, D.; Ouyang, K. Modeling and Simulation of Reel Motion in a Foxtail Millet Combine Harvester. Agriculture 2025, 15, 19. [Google Scholar] [CrossRef]
- Hussain, S.; Jianjun, H.; Yong, C.; Ali, A.; Song, H.; Zheng, D.; Farid, M.U.; Ghafoor, A.; Ahmed, M. CFD study of self-cleaning system of multi-stage tangential roller threshing unit for precise buckwheat breeding. Heliyon 2024, 10, e27180. [Google Scholar] [CrossRef]
- Tian, K.; Zhang, B.; Ji, A.; Huang, J.; Liu, H.; Shen, C. Design and experiment of the bionic disc cutter for kenaf harvesters. Int. J. Agric. Biol. Eng. 2023, 16, 116–123. [Google Scholar] [CrossRef]
- Yu, Z.; Li, Y.; Du, X.; Liu, Y. Threshing cylinder unbalance detection using a signal extraction method based on parameter-adaptive variational mode decomposition. Biosyst. Eng. 2024, 244, 26–41. [Google Scholar] [CrossRef]
- Qian, Y.; Quan, L. Cooperative Control Strategy of Multi-Component Speed of Distributed Electric Drive Combine Harvester. Appl. Eng. Agric. 2025, 41, 205–215. [Google Scholar] [CrossRef]
- Liu, Y.; Li, Y.; Ji, K.; Yu, Z.; Ma, Z.; Xu, L.; Niu, C. Development of a hydraulic variable-diameter threshing drum control system for combine harvester part II: Controller design and field performance. Biosyst. Eng. 2025, 254, 104160. [Google Scholar] [CrossRef]
- Li, Y.; Liu, Y.; Ji, K.; Zhu, R. A Fault Diagnosis Method for a Differential Inverse Gearbox of a Crawler Combine Harvester Based on Order Analysis. Agriculture 2022, 12, 1300. [Google Scholar] [CrossRef]
- Zheng, M.; Min, H.; Yaoming, L.; Shuncheng, Y.; Farman Ali, C. Comparing kernel damage of different threshing components using high-speed cameras. Int. J. Agric. Biol. Eng. 2020, 13, 215–219. [Google Scholar] [CrossRef]
- Cunegatto, E.H.T.; Zinani, F.S.F.; Rigo, S.J. Multi-objective optimisation of micromixer design using genetic algorithms and multi-criteria decision-making algorithms. Int. J. Hydromechatron. 2024, 7, 224–249. [Google Scholar] [CrossRef]
- Guo, Z.; Xiao, H.; Dai, Z.; Wang, C.; Sun, C.; Watson, N.; Povey, M.; Zou, X. Identification of apple variety using machine vision and deep learning with multi-head attention mechanism and GLCM. J. Food Meas. Charact. 2025, 19, 6540–6558. [Google Scholar] [CrossRef]
- Gao, Z.; Xu, L.; Li, Y.; Wang, Y.; Sun, P. Vibration measure and analysis of crawler-type rice and wheat combine harvester in field harvesting condition. Trans. Chin. Soc. Agric. Eng. (Trans. CSAE) 2017, 33, 48–55. [Google Scholar] [CrossRef]
- Popescu, F.; Radu, S.; Kotwica, K.; Andras, A.; Brînaș, I.; Dinescu, S. Vibration analysis of a bucket wheel excavator boom using rayleigh’s damping model. New Trends Prod. Eng. 2019, 2, 233–241. [Google Scholar] [CrossRef]
- Jia, Y.; Qian, S.; Zhang, Z.; Zhou, H.; Liu, L.; Li, X.; Páez, L.M.R.; Qian, P. Intelligent selection of parameters for air-floating piston based on improved multi-objective grey wolf optimisation algorithm. Int. J. Hydromechatron. 2025, 8, 121–147. [Google Scholar] [CrossRef]
- Nariman, N.A. Crack propagation control for a pre-stressed concrete beam utilising coupled sensitivity indices-Pareto optimisation method. Int. J. Hydromechatron. 2024, 7, 328–346. [Google Scholar] [CrossRef]
- Cieplok, G. Influence of vibratory conveyor design parameters on the trough motion and the self-synchronization of inertial vibrators. OPEN Eng. 2024, 14, 20220434. [Google Scholar] [CrossRef]
- Hrabovský, L.; Pravda, Š.; Fries, M. Sensor Monitoring of Conveyor Working Operation with Oscillating Trough Movement. Sensors 2025, 25, 2466. [Google Scholar] [CrossRef]
- Jing, J.; Sun, H.; Liang, R.; Chen, S.; Tang, Z.; He, X.; Chen, Y. Noise Testing of the Conveyor Trough Sprocket and Surface Noise Reduction Performance Evaluation of the Cavity Structure in a Combine Harvester. Agriculture 2025, 15, 1299. [Google Scholar] [CrossRef]
- Li, Y.; Xu, L.; Gao, Z.; Lu, E.; Li, Y. Effect of Vibration on Rapeseed Header Loss and Optimization of Header Frame. Trans. ASABE 2021, 64, 1247–1258. [Google Scholar] [CrossRef]
- Cong, C.; Cao, G.; Zhang, J.; Hu, J. Dynamic monitoring of harvester working progress based on traveling trajectory and header status. Eng. Agrícola 2023, 43, e20220196. [Google Scholar] [CrossRef]
- Yu, Z.; Li, Y.; Xu, L.; Du, X.; Ji, K. Unbalanced variation after assembly and double-speed influence coefficient method in the threshing drum. Int. J. Agric. Biol. Eng. 2023, 16, 1–10. [Google Scholar] [CrossRef]
- Jeyanthi, S.; Venkatakrishnaiah, R.; Raju, K.V.B. Multilayer geocell-reinforced soils using mayfly optimisation predicts circular foundation load settlement. Int. J. Hydromechatron. 2024, 7, 31–48. [Google Scholar] [CrossRef]
- Pu, C.; Jia, Y.; Zhang, Z.; Luo, H.; Ren, M.; Wang, J.; Qian, P. Intelligent optimization of air-floating piston core parameters for homemade frictionless pneumatic actuators based on a new multi-objective particle swarm optimization algorithm with Gaussian mutation and fuzzy logic. Eng. Appl. Artif. Intell. 2025, 154, 111053. [Google Scholar] [CrossRef]
- Chen, S.; Qi, J.; Gao, J.; Chen, W.; Fei, J.; Meng, H.; Ma, Z. Research on the Control System for the Conveying and Separation Experimental Platform of Tiger Nut Harvester Based on Sensing Technology and Control Algorithms. Agriculture 2025, 15, 115. [Google Scholar] [CrossRef]
- Song, Z.; Du, C.; Chen, Y.; Han, D.; Wang, X. Development and test of a spring-finger roller-type hot pepper picking header. J. Agric. Eng. 2024, 55, 1562. [Google Scholar] [CrossRef]
- Yu, Z.; Yang, K.; Hu, Z.; Peng, B.; Gu, F.; Yang, L.; Yang, M. Parameter optimization and simulation analysis of floating root cutting mechanism for garlic harvester. Comput. Electron. Agric. 2023, 204, 107521. [Google Scholar] [CrossRef]
- Huang, J.; Tian, K.; Shen, C.; Zhang, B.; Liu, H.; Chen, Q.; Li, X.; Ji, A. Design and parameters optimization for cutting-conveying mechanism of ramie combine harvester. Int. J. Agric. Biol. Eng. 2020, 13, 94–103. [Google Scholar] [CrossRef]
- Glad Stephen, J.D.; Banerjee, A.; Lahiri, A.; Mehta, I. Optimization of cross section of mobile crane boom using lagrange multiplier’s method. IOP Conf. Ser. Mater. Sci. Eng. 2018, 402, 012134. [Google Scholar] [CrossRef]
- Liu, S.; Liu, J.; Zhang, K.; Meng, L. The dynamic stability analysis of telescopic booms of the crane based on the energy method. IOP Conf. Ser. Mater. Sci. Eng. 2018, 399, 012033. [Google Scholar] [CrossRef]
- Balasubramani, M.A.; Venkatakrishnaiah, R.; Raju, K.V.B. A mayfly optimisation method to predict load settlement of reinforced railway tracks on soft subgrade with multi-layer geogrid. Int. J. Hydromechatron. 2023, 6, 159–176. [Google Scholar] [CrossRef]
- Yu, C.; Bao, Y.; Li, Q. Finite element analysis of excavator mechanical behavior and boom structure optimization. Measurement 2021, 173, 108637. [Google Scholar] [CrossRef]
- Li, J.; Bai, L.; Gao, W.; Shi, N.; Wang, N.; Ye, M.; Gu, H.; Xu, X.; Liu, J. Reliability-based design optimization for the lattice boom of crawler crane. Structures 2021, 29, 1111–1118. [Google Scholar] [CrossRef]
- Andryukhov, N.M.; Pavlov, S.A.; Mikhailov, K.D. Changing the spatial structure of the rocker arm of the tipping mechanism in a garbage truck. IOP Conf. Ser. Mater. Sci. Eng. 2021, 1159, 012051. [Google Scholar] [CrossRef]
- Bortnowski, P.; Król, R.; Ozdoba, M. Modelling of transverse vibration of conveyor belt in aspect of the trough angle. Sci. Rep. 2023, 13, 19897. [Google Scholar] [CrossRef]
- Popescu, F.D.; Radu, S.M.; Kotwica, K.; Andraș, A.; Kertesz, I. Simulation of the Time Response of the ERc 1400-30/7 Bucket Wheel Excavator’s Boom during the Excavation Process. Sustainability 2019, 11, 4357. [Google Scholar] [CrossRef]
- Ma, H.; Wang, X.; Li, B.; Liu, Z.; Bi, W.; Wei, X. Study on the mechanical effect and wear behaviour of middle trough of a scraper conveyor based on DEM–MBD. Proc. Inst. Mech. Eng. Part J J. Eng. Tribol. 2021, 236, 135065012110592. [Google Scholar] [CrossRef]
- Li, Y.; Xu, L.; Lv, L.; Shi, Y.; Yu, X. Study on Modeling Method of a Multi-Parameter Control System for Threshing and Cleaning Devices in the Grain Combine Harvester. Agriculture 2022, 12, 1483. [Google Scholar] [CrossRef]
- Liu, Z.; Wang, E.; Mao, H.; Zuo, Z.; Peng, H.; Zhao, M.; Yu, Y.; Li, Z. Design and Testing of an Electric Side-Mounted Cabbage Harvester. Agriculture 2024, 14, 1741. [Google Scholar] [CrossRef]
- Yao, M.; Hu, J.; Liu, W.; Shi, J.; Jin, Y.; Lv, J.; Sun, Z.; Wang, C. Precise Servo-Control System of a Dual-Axis Positioning Tray Conveying Device for Automatic Transplanting Machine. Agriculture 2024, 14, 1431. [Google Scholar] [CrossRef]
- Wei, W.; Zhu, H.; Li, Y.; Jin, P. Finite element analysis of the vertical roller mill based on ANSYS Workbench. Int. J. Eng. Syst. Model. Simul. 2019, 11, 102–111. [Google Scholar] [CrossRef]
- Huang, Z.; Xu, Z.; Liang, C.; Mu, X.; Huang, L. Multi-objective optimization design of rocker arm on crown-mounted compensator. IOP Conf. Ser. Earth Environ. Sci. 2017, 64, 012018. [Google Scholar] [CrossRef]
- Qian, P.; Luo, H.; Liu, L.; Lv, P.; Pu, C.; Meng, D.; Páez, L.M.R. A hybrid Gaussian mutation PSO with search space reduction and its application to intelligent selection of piston seal grooves for homemade pneumatic cylinders. Eng. Appl. Artif. Intell. 2023, 122, 106156. [Google Scholar] [CrossRef]
- Zhang, H.; Tang, Z.; Gu, X.; Zhang, B. Understanding the Lubrication and Wear Behavior of Agricultural Components Under Rice Interaction: A Multi-Scale Modeling Study. Lubricants 2025, 13, 388. [Google Scholar] [CrossRef]
- Shen, Y.; Gao, J.; Jin, Z. Research on Acoustic Signal Identification Mechanism and Denoising Methods of Combine Harvesting Loss. Agronomy 2024, 14, 1816. [Google Scholar] [CrossRef]
- Shuping, Z.; Zengjie, Y.; Lei, X. Research on the Topology Optimization of the rocker arm of compression garbage truck based on Rigid-Flexible coupling. IOP Conf. Ser. Mater. Sci. Eng. 2018, 423, 012107. [Google Scholar] [CrossRef]
- Pu, C.; Jia, Y.; Zhang, Z.; Zhou, H.; Liu, L.; Qian, P.; Iqbal, N.; Emzir, M.F. A fuzzy adaptive particle swarm optimization algorithm with Gaussian mutation for constrained engineering problems. Appl. Soft Comput. 2025, 185, 113908. [Google Scholar] [CrossRef]
- Qian, P.; Pu, C.; Liu, L.; Luo, H.; Wu, J.; Jia, Y.; Liu, B.; Ruiz Páez, L.M. Ultra-high-precision pneumatic force servo system based on a novel improved particle swarm optimization algorithm integrating Gaussian mutation and fuzzy theory. ISA Trans. 2024, 152, 453–466. [Google Scholar] [CrossRef] [PubMed]
- He, Q.; Tian, L.; Qian, P.; Tang, Z.; Zhang, Z.; Lu, T. Vibration Characteristics Analysis of the Header Assembly of Combine Harvester Under Multi-Source Coupled Excitation. Agriculture 2025, 15, 2488. [Google Scholar] [CrossRef]


















| Factors/Levels | Initial Angle (A)/° | Overall Length (B)/m | Cylinder Pivot Length (C)/m |
|---|---|---|---|
| 1 | 48.33 | 1.50 | 1.04 |
| 2 | 46.40 | 1.45 | 1.00 |
| 3 | 50.00 | 1.55 | 1.10 |
| Run Number | Level Combination | Initial Angle/° | Overall Length/m | Cylinder Pivot Length/m |
|---|---|---|---|---|
| 1 | A1B1C1 | 48.33 | 1.50 | 1.04 |
| 2 | A1B2C2 | 48.33 | 1.45 | 1.00 |
| 3 | A1B3C3 | 48.33 | 1.55 | 1.10 |
| 4 | A2B1C2 | 46.40 | 1.50 | 1.00 |
| 5 | A2B2C3 | 46.40 | 1.45 | 1.10 |
| 6 | A2B3C1 | 46.40 | 1.55 | 1.04 |
| 7 | A3B1C3 | 50.00 | 1.50 | 1.10 |
| 8 | A3B2C1 | 50.00 | 1.45 | 1.04 |
| 9 | A3B3C2 | 50.00 | 1.55 | 1.00 |
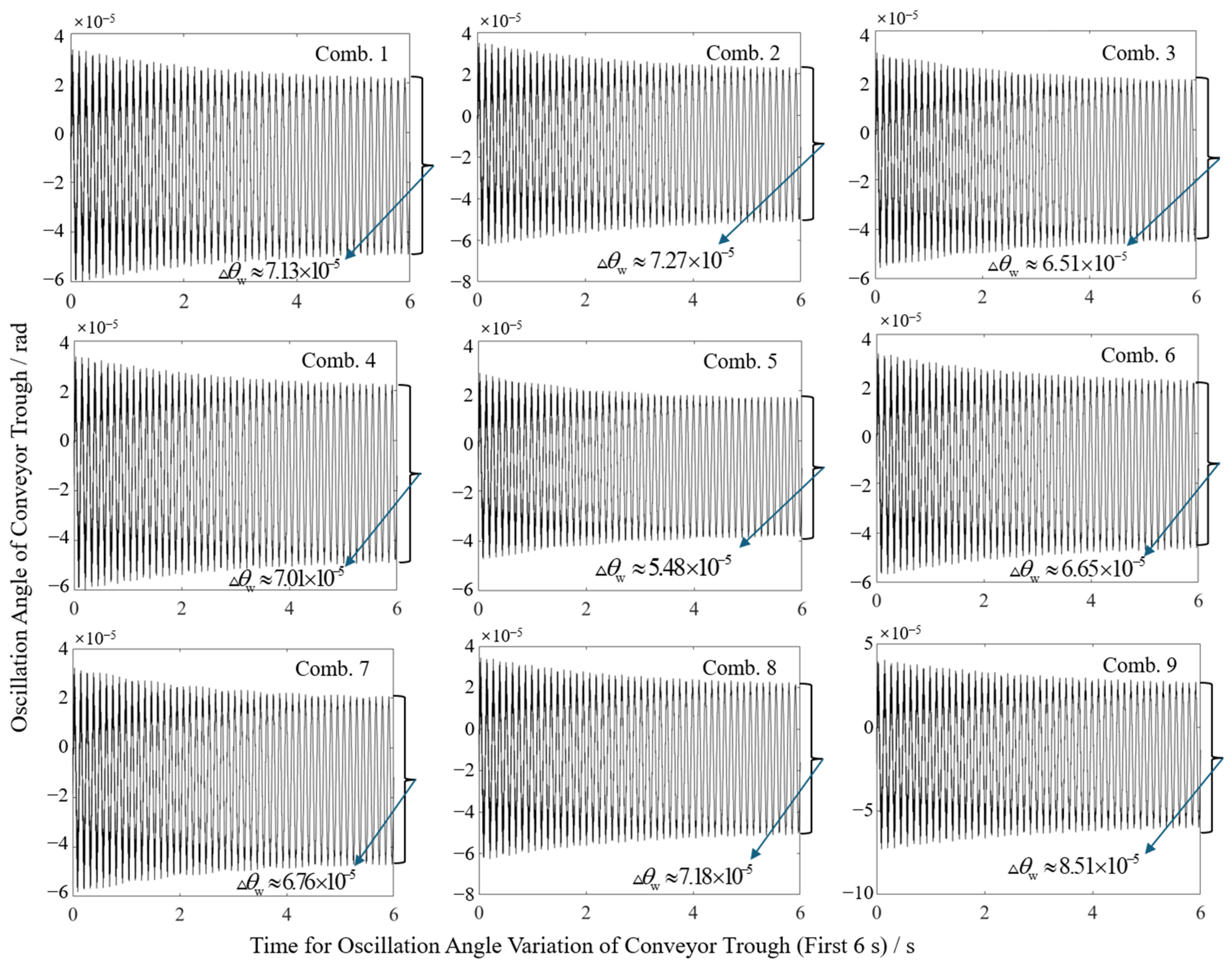
| Level Combination | A1B1C1 | A1B2C2 | A1B3C3 | A2B1C2 | A2B2C3 | A2B3C1 | A3B1C3 | A3B2C1 | A3B3C2 |
|---|---|---|---|---|---|---|---|---|---|
| Swing angle (×10−5 rad) | 7.13 | 7.27 | 6.51 | 7.01 | 5.48 | 6.65 | 6.76 | 7.18 | 8.51 |
| Swing amplitude/mm | 0.107 | 0.105 | 0.101 | 0.105 | 0.079 | 0.103 | 0.102 | 0.104 | 0.132 |
| Initial Angle/° | Overall Length/m | Cylinder Pivot Length/m | Swing Amplitude/mm | CARD | Number of Configurations | |||
|---|---|---|---|---|---|---|---|---|
| 1 | 48.33 | 1.50 | 1.04 | 0.107 | 1 | Initial angle | 46.40 | 3 |
| 2 | 48.33 | 1.45 | 1.00 | 0.105 | 2 | 48.33 | 3 | |
| 3 | 48.33 | 1.55 | 1.10 | 0.101 | 3 | 50.00 | 3 | |
| 4 | 46.40 | 1.50 | 1.00 | 0.105 | 4 | Overall length | 1.45 | 3 |
| 5 | 46.40 | 1.45 | 1.10 | 0.079 | 5 | 1.50 | 3 | |
| 6 | 46.40 | 1.55 | 1.04 | 0.103 | 6 | 1.55 | 3 | |
| 7 | 50.00 | 1.50 | 1.10 | 0.102 | 7 | Cylinder pivot length | 1.00 | 3 |
| 8 | 50.00 | 1.45 | 1.04 | 0.104 | 8 | 1.04 | 3 | |
| 9 | 50.00 | 1.55 | 1.00 | 0.132 | 9 | 1.10 | 3 | |
| Tests of Between-Subject Effects | Grand Mean | ||||||
|---|---|---|---|---|---|---|---|
| Type III sum of squares | Degrees of freedom | Mean square | F-value | Significance | Mean | 0.104 | |
| Modified model | 0.001 | 6 | 0.000 | 33.266 | 0.029 | ||
| Intercept | 0.098 | 1 | 0.098 | 13,747.563 | 0.000 | Standard error | 0.001 |
| Initial angle | 0.000 | 2 | 0.000 | 30.484 | 0.032 | ||
| Overall length | 0.000 | 2 | 0.000 | 27.062 | 0.036 | Lower bound | 0.100 |
| Cylinder pivot length | 0.001 | 2 | 0.000 | 42.250 | 0.023 | ||
| Error | 1.422 × 10−7 | 2 | 7.111 × 10−6 | Upper bound | 0.108 | ||
| Total | 0.099 | 9 | |||||
| Group | Parameter | Number of Configurations | Subset | |
|---|---|---|---|---|
| 1 | 2 | |||
| Group 1 (Initial angle) | 46.40 | 3 | 0.09567 | / |
| 48.33 | 3 | 0.10433 | 0.10433 | |
| 50.00 | 3 | / | 0.11267 | |
| Group 2 (Overall length) | 1.45 | 3 | 0.09600 | / |
| 1.50 | 3 | 0.10467 | 0.10467 | |
| 1.55 | 3 | / | 0.11200 | |
| Group 3 (Cylinder pivot length) | 1.10 | 3 | 0.09400 | / |
| 1.04 | 3 | / | 0.10467 | |
| 1.00 | 3 | / | 0.11400 | |
| Run Number | Initial Angle/° | Overall Length/m | Cylinder Pivot Length/m |
|---|---|---|---|
| 1 | 48.33 | 1.50 | 1.04 |
| 2 | 48.33 | 1.50 | 1.00 |
| 3 | 48.33 | 1.50 | 1.10 |
| 4 | 48.33 | 1.45 | 1.04 |
| 5 | 48.33 | 1.45 | 1.00 |
| 6 | 48.33 | 1.45 | 1.10 |
| 7 | 48.33 | 1.55 | 1.04 |
| 8 | 48.33 | 1.55 | 1.00 |
| 9 | 48.33 | 1.55 | 1.10 |
| Run No. | 1 | 2 | 3 | 4 | 5 | 6 | 7 | 8 | 9 |
|---|---|---|---|---|---|---|---|---|---|
| Swing angle (×10−5 rad) | 7.13 | 7.56 | 6.21 | 6.66 | 7.24 | 6.06 | 7.14 | 7.84 | 6.42 |
| Swing amplitude/mm | 0.107 | 0.114 | 0.093 | 0.097 | 0.105 | 0.088 | 0.111 | 0.122 | 0.100 |
| Combination | Initial Angle/° | Overall Length/m | Cylinder Pivot Length/m | Theoretical Amplitude/mm | Actual Amplitude/mm | Optimization Effectiveness | Error |
|---|---|---|---|---|---|---|---|
| Original parameter | 46.40 | 1.45 | 1.0 | 0.0979 | 0.0990 | \ | 1.11% |
| Optimized combination 1 | 48.33 | 1.45 | 1.0 | 0.1050 | 0.1015 | \ | 3.33% |
| Optimized combination 2 | 48.33 | 1.45 | 1.1 | 0.0880 | 0.0875 | 11.62% | 0.57% |
Disclaimer/Publisher’s Note: The statements, opinions and data contained in all publications are solely those of the individual author(s) and contributor(s) and not of MDPI and/or the editor(s). MDPI and/or the editor(s) disclaim responsibility for any injury to people or property resulting from any ideas, methods, instructions or products referred to in the content. |
© 2025 by the authors. Licensee MDPI, Basel, Switzerland. This article is an open access article distributed under the terms and conditions of the Creative Commons Attribution (CC BY) license (https://creativecommons.org/licenses/by/4.0/).
Share and Cite
He, Q.; Su, Z.; Qian, P.; Tang, Z.; Zhang, Z.; Shen, J.; Lu, T. Research on the Dynamic Mechanism and Multi-Parameter Collaborative Optimization of a Cantilevered Conveyor Trough in Combine Harvesters for Vibration Suppression. Sensors 2025, 25, 7397. https://doi.org/10.3390/s25237397
He Q, Su Z, Qian P, Tang Z, Zhang Z, Shen J, Lu T. Research on the Dynamic Mechanism and Multi-Parameter Collaborative Optimization of a Cantilevered Conveyor Trough in Combine Harvesters for Vibration Suppression. Sensors. 2025; 25(23):7397. https://doi.org/10.3390/s25237397
Chicago/Turabian StyleHe, Qi, Zhan Su, Pengfei Qian, Zhong Tang, Zhaoming Zhang, Jiahao Shen, and Ting Lu. 2025. "Research on the Dynamic Mechanism and Multi-Parameter Collaborative Optimization of a Cantilevered Conveyor Trough in Combine Harvesters for Vibration Suppression" Sensors 25, no. 23: 7397. https://doi.org/10.3390/s25237397
APA StyleHe, Q., Su, Z., Qian, P., Tang, Z., Zhang, Z., Shen, J., & Lu, T. (2025). Research on the Dynamic Mechanism and Multi-Parameter Collaborative Optimization of a Cantilevered Conveyor Trough in Combine Harvesters for Vibration Suppression. Sensors, 25(23), 7397. https://doi.org/10.3390/s25237397

