Performance and Energy Consumption Analysis for UWSNs with Priority Scheduling Based on Access Probability and Wakeup Threshold
Abstract
1. Introduction
- 1.
- A mixed packet forwarding mechanism is suggested to satisfy the diversity needs of data transmission while balancing average latency and network energy consumption.
- 2.
- A three−dimensional Markov−chain (3DMC) model with preemptive priority is established to evaluate the performance of the proposed mechanism.
- 3.
- Numerical results show how various parameters affect system performance and how effective the proposed method is.
2. Related Works
- 1.
- A packet grading mechanism with preemptive priority is proposed to satisfy the diversified latency tolerance of packets.
- 2.
- A hybrid packet forwarding mechanism is proposed to effectively balance latency and energy consumption.
- 3.
- A new performance quantitative analysis method using discrete−time queueing theory is provided.
3. System Model
3.1. Mechanism Description
3.2. Model Building
- 1.
- When , it indicates that the amount of packets is zero before the one−step transition, and the transition submatrices are given as follows.
- 2.
- When and , due to the special dimension of the submatrix, its form is given as follows.
- 3.
- When and , is expressed as follows.
- 4.
- When and , is expressed as follows.
- 5.
- When and , is expressed as follows.
- 6.
- When and , is expressed as follows.
- 7.
- When and , is expressed as follows.
- 8.
- When and , is expressed as follows.
- 9.
- When , is expressed as follows.
4. Performance Metrics
4.1. Performance Metrics for Emergency Packets
4.1.1. Emergency Packets’ Blocking Rate
4.1.2. Emergency Packets’ Throughput
4.2. Performance Metrics for Non−Emergency Packets
- 1.
- If , is expressed as follows.
- 2.
- If , is expressed as follows.
- 1.
- If , is expressed as follows.
- 2.
- If , is expressed as follows.
4.3. Performance Metrics for State Switching and Energy Consumption
- 1.
- If , is expressed as follows.
- 2.
- If , is expressed as follows.
- 1.
- If , is expressed as follows.
- 2.
- If , is expressed as follows.
5. Numerical Results
5.1. Performance Analysis
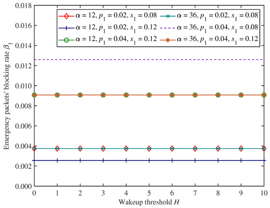
5.1.1. Performance Analysis for Emergency Packets
5.1.2. Performance Analysis for Non−Emergency Packets
5.1.3. Performance Analysis for State Switching and Energy Consumption
5.2. Performance Comparison
6. Conclusions
Author Contributions
Funding
Institutional Review Board Statement
Informed Consent Statement
Data Availability Statement
Conflicts of Interest
References
- Khan, M.U.; Otero, P.; Aamir, M. Underwater Acoustic Sensor Networks (UASN): Energy Efficiency Perspective of Cluster-Based Routing Protocols. In Proceedings of the 2022 Global Conference on Wireless and Optical Technologies (GCWOT), Malaga, Spain, 14–17 February 2022; pp. 1–6. [Google Scholar]
- Tian, W.; Zhao, Y.; Hou, R.; Dong, M.; Ota, K.; Zeng, D.; Zhang, J. A centralized control-based clustering scheme for energy efficiency in underwater acoustic sensor networks. IEEE Trans. Green Commun. Netw. 2023, 7, 668–679. [Google Scholar] [CrossRef]
- Khalid, M.; Ullah, Z.; Ahmad, N.; Arshad, M.; Jan, B.; Cao, Y.; Adnan, A. A survey of routing issues and associated protocols in underwater wireless sensor networks. J. Sens. 2017, 2017, 7539751. [Google Scholar] [CrossRef]
- Luo, J.; Chen, Y.; Wu, M.; Yang, Y. A survey of routing protocols for underwater wireless sensor networks. IEEE Commun. Surv. Tutorials 2021, 23, 137–160. [Google Scholar] [CrossRef]
- Murgod, T.R.; Sundaram, S.M.; Manchaiah, S.; Kumar, S. Priority based energy efficient hybrid cluster routing protocol for underwater wireless sensor network. Int. J. Electr. Comput. Eng. (IJECE) 2023, 13, 3161–3169. [Google Scholar] [CrossRef]
- Sun, Y.; Zheng, M.; Han, X.; Li, S.; Yin, J. Adaptive clustering routing protocol for underwater sensor networks. Ad Hoc Netw. 2022, 136, 102953. [Google Scholar] [CrossRef]
- Liu, G.; Yan, S.; Mao, L. Receiver-Only-Based Time Synchronization Under Exponential Delays in Underwater Wireless Sensor Networks. IEEE Internet Things J. 2020, 7, 9995–10009. [Google Scholar] [CrossRef]
- Gomathi, R.; Manickam, J.M.L.; Sivasangari, A.; Ajitha, P. Energy efficient dynamic clustering routing protocol in underwater wireless sensor networks. Int. J. Netw. Virtual Organ. 2020, 22, 415–432. [Google Scholar] [CrossRef]
- Subramani, N.; Mohan, P.; Alotaibi, Y.; Alghamdi, S.; Khalaf, O.I. An efficient metaheuristic-based clustering with routing protocol for underwater wireless sensor networks. Sensors 2022, 22, 415. [Google Scholar] [CrossRef] [PubMed]
- Raina, V.; Jha, M.K.; Bhattacharya, P.P. The Alive-in-Range Medium Access Control Protocol to Optimize Queue Performance in Underwater Wireless Sensor Networks. J. Telecommun. Inf. Technol. 2017, 4, 31–46. [Google Scholar] [CrossRef]
- Domingo, M.C. Marine communities based congestion control in underwater wireless sensor networks. Inf. Sci. 2013, 228, 203–221. [Google Scholar] [CrossRef]
- Goyal, N.; Dave, M.; Verma, A.K. Congestion control and load balancing for cluster based underwater wireless sensor networks. In Proceedings of the 2016 Fourth International Conference on Parallel, Distributed and Grid Computing (PDGC), Waknaghat, India, 22–24 December 2016; IEEE: New York, NY, USA, 2016; pp. 462–467. [Google Scholar]
- Luo, Y.; Dong, Y.; Zhu, X.; Chen, Y.; Wu, J. AUV-Assisted Data Collection Based on Queuing Theory and Genetic Algorithm for Underwater Acoustic Cooperative Sensor Networks. In Proceedings of the 2023 IEEE International Conference on Signal Processing, Communications and Computing (ICSPCC), Zhengzhou, China, 14–17 November 2023; IEEE: New York, NY, USA, 2023; pp. 1–5. [Google Scholar]
- Al-Halafi, A.; Alghadhban, A.; Shihada, B. Queuing Delay Model for Video Transmission Over Multi-Channel Underwater Wireless Optical Networks. IEEE Access 2019, 7, 10515–10522. [Google Scholar] [CrossRef]
- Lin, C.; Wang, K.; Chu, Z.; Wang, K.; Deng, J.; Obaidat, M.S.; Wu, G. Hybrid charging scheduling schemes for three-dimensional underwater wireless rechargeable sensor networks. J. Syst. Softw. 2018, 146, 42–58. [Google Scholar] [CrossRef]
- Alfa, A.S. Queueing Theory for Telecommunications: Discrete Time Modelling of a Single Node System; Springer: New York, NY, USA, 2010. [Google Scholar]
- Ye, D.; Zhang, M. A Self-Adaptive Sleep/Wake-Up Scheduling Approach for Wireless Sensor Networks. IEEE Trans. Cybern. 2018, 48, 979–992. [Google Scholar] [CrossRef] [PubMed]
- Poostpasand, M.; Javidan, R. An adaptive target tracking method for 3D underwater wireless sensor networks. Wirel. Netw. 2018, 24, 2797–2810. [Google Scholar] [CrossRef]
- Zhang, C.; Yang, J.; Wang, N. An active queue management for wireless sensor networks with priority scheduling strategy. J. Parallel Distrib. Comput. 2024, 187, 104848. [Google Scholar] [CrossRef]
- Abualhaj, M.M.; Abu-Shareha, A.A.; Al-Tahrawi, M.M. FLRED: An efficient fuzzy logic based network congestion control method. Neural Comput. Appl. 2018, 30, 925–935. [Google Scholar] [CrossRef]
- Karmeshu; Patel, S.; Bhatnagar, S. Adaptive mean queue size and its rate of change: Queue management with random dropping. Telecommun. Syst. 2017, 65, 281–295. [Google Scholar] [CrossRef]
- Feng, C.W.; Huang, L.F.; Xu, C.; Chang, Y.C. Congestion control scheme performance analysis based on nonlinear RED. IEEE Syst. J. 2015, 11, 2247–2254. [Google Scholar] [CrossRef]
- Xu, Y.; Qi, H.; Xu, T.; Hua, Q.; Yin, H.; Hua, G. Queue models for wireless sensor networks based on random early detection. Peer-Netw. Appl. 2019, 12, 1539–1549. [Google Scholar] [CrossRef]
- Zhang, X.; Li, D.; Zhang, Y. Maximum throughput under admission control with unknown queue-length in wireless sensor networks. IEEE Sens. J. 2020, 20, 11387–11399. [Google Scholar] [CrossRef]
- Huang, D.C.; Lee, J.H. A dynamic N threshold prolong lifetime method for wireless sensor nodes. Math. Comput. Model. 2013, 57, 2731–2741. [Google Scholar] [CrossRef]
- Keshtgary, M.; Mohammadi, R.; Mahmoudi, M.; Mansouri, M.R. Energy consumption estimation in cluster based underwater wireless sensor networks using m/m/1 queuing model. Int. J. Comput. Appl. 2012, 43, 6–10. [Google Scholar]
- Zhao, Y.; Li, H.; Liu, J. Performance analysis and optimization of CRNs based on fixed feedback probability mechanism with two classes of secondary users. Math. Probl. Eng. 2019, 2019, 9385693. [Google Scholar] [CrossRef]
- Tian, N.; Zhang, Z.G. Vacation Queueing Models: Theory and Applications; Springer Science & Business Media: Berlin/Heidelberg, Germany, 2006; Volume 93. [Google Scholar]
- Zhao, Y.; Xiang, Z.; Lu, Q. Performance evaluation for secondary users in finite-source cognitive radio networks with dynamic preemption limit. AEU-Int. J. Electron. Commun. 2022, 149, 154183. [Google Scholar] [CrossRef]
- You, S.; Eshraghian, J.K.; Iu, H.C.; Cho, K. Low-power wireless sensor network using fine-grain control of sensor module power mode. Sensors 2021, 21, 3198. [Google Scholar] [CrossRef] [PubMed]














| Symbols | Means |
|---|---|
| K | Cache capacity |
| f | Access probability |
| N | Amount of packets in the system |
| Minimum value of f | |
| Adjustment factor for the f | |
| H | Wakeup threshold |
| t | Index of time slots |
| Emergency packets’ arrival rate at the CH | |
| Non−emergency packets’ arrival rate at the CH | |
| Emergency packets’ service rate at the CH | |
| Non−emergency packets’ service rate at the CH | |
| Amount of total packets at time | |
| Amount of emergency packets at time | |
| CH’s state at time | |
| i, j, k | Three indexes of the system state |
| State space | |
| One−step transition probability matrix | |
| m | Amount of total packets before one−step transition |
| n | Amount of total packets after one−step transition |
| Block matrix where the total number of packets changes from m to n in one−step transition | |
| x, y, z | Indexes of the steady−state probability distribution |
| Steady−state probability distribution | |
| Steady−state vector | |
| , | Two intermediate vectors for solving |
| , | Two intermediate matrixes for solving |
| Emergency packets’ blocking rate | |
| Emergency packets’ throughput | |
| Non−emergency packets’ blocking rate | |
| Non−emergency packets’ outage and loss rate | |
| Non−emergency packets’ throughput | |
| Non−emergency packets’ average latency | |
| State switching rate | |
| E | Energy consumption |
| , , , | Energy consumption in different states |
| Step 1 | Create unit matrix . |
| Step 2 | Create column vector . |
| Step 3 | Create matrix . |
| Step 4 | Create row vector , which contains zeros. |
| Step 5 | Resolve . |
| Fixed Parameters | Symbols | Values |
|---|---|---|
| Cache capacity | K | 10 |
| Non−emergency packets arrival rate at CH | 0.10 | |
| Non−emergency packets’ service rate at CH | 0.15 | |
| Energy consumption for keeping CH in sleep state | 0.20 (W) | |
| Energy consumption for changing CH from sleep state to working state | 2 (W) | |
| Energy consumption for changing CH from working state to sleep state | 1.50 (W) | |
| Energy consumption for keeping CH in working state | 1 (W) |
| Mechanism Names | Tail−Drop | Sleep/ Wakeup Mode | Wakeup Threshold | Dynamic Access Probability |
|---|---|---|---|---|
| Traditional mechanism | Yes | Yes | No | No |
| Dynamic access probability mechanism | Yes | Yes | No | Yes |
| Wakeup threshold mechanism | Yes | Yes | Yes | No |
| Mixed mechanism | Yes | Yes | Yes | Yes |
| Mechanism Names | Wakeup Threshold H | Adjustment Factor | Access Probability f |
|---|---|---|---|
| Traditional mechanism | 0 | ∞ | 1 |
| Dynamic access probability mechanism | 0 | 12 | auto |
| Wakeup threshold mechanism | 5 | ∞ | 1 |
| Mixed mechanism | 5 | 12 | auto |
| Fixed Parameters | Symbols | Values |
|---|---|---|
| ine Cache capacity | K | 10 |
| Emergency packets’ arrival rate | 0.04 | |
| Emergency packets’ service rate at CH | 0.10 | |
| Non−emergency packets’ service rate at CH | 0.15 | |
| Energy consumption for keeping CH in sleep state | 0.20 (W) | |
| Energy consumption for changing CH from sleep state to working state | 2 (W) | |
| Energy consumption for changing CH from working state to sleep state | 1.50 (W) | |
| Energy consumption for keeping CH in working state | 1 (W) |
Disclaimer/Publisher’s Note: The statements, opinions and data contained in all publications are solely those of the individual author(s) and contributor(s) and not of MDPI and/or the editor(s). MDPI and/or the editor(s) disclaim responsibility for any injury to people or property resulting from any ideas, methods, instructions or products referred to in the content. |
© 2025 by the authors. Licensee MDPI, Basel, Switzerland. This article is an open access article distributed under the terms and conditions of the Creative Commons Attribution (CC BY) license (https://creativecommons.org/licenses/by/4.0/).
Share and Cite
Li, N.; Xiang, Z.; Feng, L.; Gao, Z.; Liu, J.; Gu, H. Performance and Energy Consumption Analysis for UWSNs with Priority Scheduling Based on Access Probability and Wakeup Threshold. Sensors 2025, 25, 570. https://doi.org/10.3390/s25020570
Li N, Xiang Z, Feng L, Gao Z, Liu J, Gu H. Performance and Energy Consumption Analysis for UWSNs with Priority Scheduling Based on Access Probability and Wakeup Threshold. Sensors. 2025; 25(2):570. https://doi.org/10.3390/s25020570
Chicago/Turabian StyleLi, Ning, Zhiyu Xiang, Liang Feng, Zhiqiang Gao, Jiaqi Liu, and Haitao Gu. 2025. "Performance and Energy Consumption Analysis for UWSNs with Priority Scheduling Based on Access Probability and Wakeup Threshold" Sensors 25, no. 2: 570. https://doi.org/10.3390/s25020570
APA StyleLi, N., Xiang, Z., Feng, L., Gao, Z., Liu, J., & Gu, H. (2025). Performance and Energy Consumption Analysis for UWSNs with Priority Scheduling Based on Access Probability and Wakeup Threshold. Sensors, 25(2), 570. https://doi.org/10.3390/s25020570

