Study on the Fast Transient Process of Primary Equipment Operation in UHV Fixed Series Capacitors Based on PEEC Method
Abstract
1. Introduction
2. Partial Elemental Equivalent Circuit Modeling of Multi-Conductor Systems
2.1. Electric Field Integral Equation
2.2. Cell-Based Discretization of Multi-Conductor Systems
2.3. Calculation of Partial Element Parameters
3. Modeling of the UHV Series Compensation Platform
3.1. Modeling of the Multi-Conductor System in the UHV FSC
3.2. Modeling Method for Lumped Elements in the UHV FSC
4. Study on the Fast Transient Processes Induced by Series Compensation Device Operations
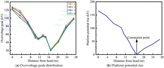
4.1. Simulation and Analysis of Fast Transient Processes in Primary Equipment
4.2. Simulation and Analysis of Electromagnetic Interference in the Secondary System
- (1)
- All conductors are considered ideal with uniform cross-sections and constant material properties (e.g., copper, σ = 5.8 × 107 S/m);
- (2)
- The spark gap is modeled as an idealized voltage-controlled switch, without accounting for arc channel dynamics or thermal effects;
- (3)
- The dielectric medium is assumed to be homogeneous and linear (i.e., air), and effects such as corona, space charge accumulation, or humidity are neglected;
- (4)
- The grounding network and platform support structures are simplified as ideal connections or lumped impedance elements.
5. Conclusions
Author Contributions
Funding
Institutional Review Board Statement
Informed Consent Statement
Data Availability Statement
Conflicts of Interest
References
- He, B.; Dong, Y.; Meng, F.; Lin, X.; Zhang, Q.; Liu, Y.; He, X.; Zhang, J. Research on TRV transient characteristics of EHV controllable series compensation line. Electr. Power Syst. Res. 2023, 220, 109186. [Google Scholar] [CrossRef]
- Xi, Y.; He, B.; Wang, L.; Jiang, R.; Mao, Y.; Zhou, Y. Influence of Series Compensation Degrees on Secondary Arc Current Characteristics under the Different Series Compensation Mode. Int. J. Emerg. Electr. Power Syst. 2020, 21, 1–14. [Google Scholar] [CrossRef]
- Han, X.; Sun, X.; Chen, H.; Qiu, N.; Lyu, D.; Wang, N.; Wang, X.; Zhang, J. The Overview of Development of UHV AC Transmission Technology in China. Proc. CSEE 2020, 40, 4371–4386+4719. [Google Scholar]
- Ma, Q.; Cui, X.; Hu, R.; Zhang, W.; Liu, H.; Zhan, X. Electromagnetic transient interference measurement system of UHV Fixed Series Capacitors at high potential and EMI characterization. In Proceedings of the International Symposium on Electromagnetic Compatibility, Rome, Italy, 17–21 September 2012. [Google Scholar]
- Zhang, W.; Zhang, G.; Mu, F.; Min, H.; Yao, D.; Zhou, G. Analysis of the Impact of Near-field Disturbance on Secondary Equipment of 500 kV Series Compensation. In Proceedings of the Joint International Symposium on Electromagnetic Compatibility, Signal & Power Integrity: EMC Japan/Asia Pacific International Symposium on Electromagnetic Compatibility (EMC/APEMC), Okinawa, Japan, 20–24 May 2024; pp. 517–520. [Google Scholar]
- Tan, J.; Wen, C.; Li, Y.; Cui, Z.; Lu, Y. Analysis on Common Faults of Phasor Measurement Unit Caused by Series-Compensation Isolation Switch. Electr. Power 2017, 50, 134–138. [Google Scholar]
- Qi, B.; Li, Y.; Ma, S.; Li, B.; Yu, J.; Da, K. In-depth Study on the Contact Fault of Ultra-high Voltage SC Measurement System. J. Electr. Eng. 2020, 15, 106–113. [Google Scholar]
- Jiao, L.; Guo, J.; Lie, J.; Liu, H.; Liu, J. Research on Operation Conditions and Transient Load Distribution of 500 kV Series Compensation MOV. Insul. Surge Arresters 2017, 3, 71–76. [Google Scholar]
- Zheng, B. Study on Post-Fault Electromagnetic Transient Issues for UHV Series Compensation Lines. Ph.D. Thesis, North China Electric Power University, Beijing, China, 2017. [Google Scholar]
- Chen, G.; Lin, J.; Guo, J.; Yu, Y.; Tu, S.; Wang, S.; Li, J. Overvoltage Protection for 500 kV Series Compensation Station. Power Syst. Technol. 2001, 25, 21–24+29. [Google Scholar] [CrossRef]
- Zhang, Y.; Ban, L.; Han, B.; Xiang, Z. Research on power frequency overvoltage of UHV double-circuit transmission system with series compensation. In Proceedings of the 2010 International Conference on Power System Technology: Technological Innovations Making Power Grid Smarter, POWERCON2010, Hangzhou, China, 24–28 October 2010. [Google Scholar]
- Gao, F.; Chen, W.; Li, G.; Liu, Z. Protection of Series Compensation Station Against Lightning Intruded Wave in 1000 kV AC Transmission System. High Volt. Eng. 2010, 36, 2199–2205. [Google Scholar]
- Huangfu, Y.; Di Rienzo, L.; Wang, S. FDTD Formulation Based on High-Order Surface Impedance Boundary Conditions for Frequency-Dependent Lossy Multi-Conductor Transmission Lines. IEEE Trans. Magn. 2020, 62, 194–203. [Google Scholar] [CrossRef]
- Zhang, G.; Wang, L.; Liu, C. A Multiconductor Reduction 3D Full-Wave Method for High Frequency Crosstalk Problem and Its Validation. Trans. China Electrotech. Soc. 2012, 27, 140–145. [Google Scholar]
- Ruehli, A.E. Equivalent circuit models for three-dimensional multi-conductors systems. IEEE Trans. Microw. Theory Tech. 1974, 22, 216–221. [Google Scholar] [CrossRef]
- Qi, R.; Du, Y.; Chen, M. Lightning-Generated Transients in Buildings With an Efficient PEEC Method. IEEE Trans. Magn. 2019, 55, 1–5. [Google Scholar] [CrossRef]
- Lyu, J.; Chen, H.; Zhang, Y.; Du, Y.; Cheng, Q.S. Litz Wire and Uninsulated Twisted Wire Assessment Using a Multilevel PEEC Method. IEEE Trans. Power Electron. 2022, 37, 2372–2381. [Google Scholar] [CrossRef]
- Shulzhenko, E.; Brocke, R.; Hannig, M.; Puttkammer, J. Efficiency of the earthing system in a large-scale solar power plant during lightning. In Proceedings of the 2023 12th Asia-Pacific International Conference on Lightning (APL), Langkawi, Malaysia, 12–15 June 2023; pp. 1–6. [Google Scholar]
- Gao, F.; Chen, W.; Li, G.; Qu, K. Calculating Method of Multi-conductor Partial Inductance Based on Complete Set Theory. Proc. CSEE 2011, 31, 127–134. [Google Scholar]
- Ma, Q.; Cui, X.; Hu, R.; Zhang, W.; Liu, H.; Zhan, X.; Yu, J. Experimental study on electromagnetic transient interference characteristics in the secondary side of UHV fixed series capacitors. In Proceedings of the 2012 6th International Conference on Electromagnetic Field Problems and Applications, ICEF’2012, Dalian, China, 19–21 June 2012; pp. 1–4. [Google Scholar]
- Zhang, Z. Research on the Interference Characteristics of CVT Secondary Cables by Series Compensation Devices Under Adverse Working Conditions. Master’s Thesis, Shandong University, Jinan, China, 2022. [Google Scholar]
- Liu, B.; Zou, G.; Wei, X. Modeling Method of High-frequency Equivalent Circuit of Current Transformer for Overvoltage Detection. High Volt. Appar. 2023, 59, 156–162. [Google Scholar]
- Zhao, P.; Wang, J.; Sun, L.; Li, Y.; Xia, H.; He, W. Optimal Electrode Configuration and System Design of Compactly-Assembled Industrial Alkaline Water Electrolyzer. Energy Convers. Manag. 2024, 299, 117875. [Google Scholar] [CrossRef]














| Parameter | Value |
|---|---|
| Capacitor Banks | 164.6 μF |
| Nominal Operating Voltage | 98.4 kV |
| Minimum Spark Gap Triggering Voltage | 1.8 p.u. |
| MOV Overvoltage Protection Level | 2.3 p.u. |
| Platform Length | 27 m |
| Platform Width | 12 m |
| Platform Height from the Ground | 11.87 m |
| Low Voltage Bus Height above Platform | 1.5 m |
| Conductor Cross-section | 30 mm × 5 mm |
| Conductor-to-Conductor Spacing | 200 mm |
| PEEC Cell Length Δl | 100 mm |
| Partial Self-inductance | 1.3 μH/m(BUS) |
| Partial Mutual Capacitance | 20~50 pF/m |
| Group | Ub/kV | τ/ns |
|---|---|---|
| 1 | 320 | 1 |
| 2 | 320 | 10 |
| 3 | 300 | 1 |
| 4 | 300 | 10 |
| U1 | U2 | U3 | |
|---|---|---|---|
| Peak-to-Peak Value (V) | 523 | 1146 | 674 |
| Maximum Rise Time (μs) | 5.1 | 4.3 | 6.8 |
| Duration (μs) | 6.5 | 11.2 | 10.5 |
| Main Frequency (MHz) | 0.3, 1.48, 2.6 | 0.5, 1.9, 2.6, 8.7 | 0.04, 1.32, 1.9 |
| U1 | U2 | U3 | |
|---|---|---|---|
| Peak-to-Peak Value (V) | 104 | 232 | 149 |
| Maximum Rise Time (μs) | 3.7 | 2.5 | 1.06 |
| Duration (μs) | 4.5 | 8.1 | 9.4 |
| Main Frequency (MHz) | 0.05, 0.4, 1.2 | 0.4, 1.2, 2.5 | 0.05, 0.4, 1.3 |
| Spark Gap Trigger Overvoltage Peak (kV) | Isolated Switch-Off Closing Overvoltage Peak (kV) | |
|---|---|---|
| Measuring box energy extraction CT | 65.39 | 48.16 |
| Trigger control box energy extraction CT | 74.57 | 50.34 |
Disclaimer/Publisher’s Note: The statements, opinions and data contained in all publications are solely those of the individual author(s) and contributor(s) and not of MDPI and/or the editor(s). MDPI and/or the editor(s) disclaim responsibility for any injury to people or property resulting from any ideas, methods, instructions or products referred to in the content. |
© 2025 by the authors. Licensee MDPI, Basel, Switzerland. This article is an open access article distributed under the terms and conditions of the Creative Commons Attribution (CC BY) license (https://creativecommons.org/licenses/by/4.0/).
Share and Cite
Tian, B.; Xu, K.; Wang, Y.; Guo, P.; Xiao, C.; Han, W.; Dong, Y.; Wang, J. Study on the Fast Transient Process of Primary Equipment Operation in UHV Fixed Series Capacitors Based on PEEC Method. Sensors 2025, 25, 4662. https://doi.org/10.3390/s25154662
Tian B, Xu K, Wang Y, Guo P, Xiao C, Han W, Dong Y, Wang J. Study on the Fast Transient Process of Primary Equipment Operation in UHV Fixed Series Capacitors Based on PEEC Method. Sensors. 2025; 25(15):4662. https://doi.org/10.3390/s25154662
Chicago/Turabian StyleTian, Baojiang, Kai Xu, Yingying Wang, Pei Guo, Chao Xiao, Wei Han, Yiran Dong, and Jingang Wang. 2025. "Study on the Fast Transient Process of Primary Equipment Operation in UHV Fixed Series Capacitors Based on PEEC Method" Sensors 25, no. 15: 4662. https://doi.org/10.3390/s25154662
APA StyleTian, B., Xu, K., Wang, Y., Guo, P., Xiao, C., Han, W., Dong, Y., & Wang, J. (2025). Study on the Fast Transient Process of Primary Equipment Operation in UHV Fixed Series Capacitors Based on PEEC Method. Sensors, 25(15), 4662. https://doi.org/10.3390/s25154662

