Carbon Dioxide Gas Sensor Based on Terahertz Metasurface with Asymmetric Cross-Shaped Holes Empowered by Quasi-Bound States in the Continuum
Abstract
1. Introduction
2. Structural Design and Simulation
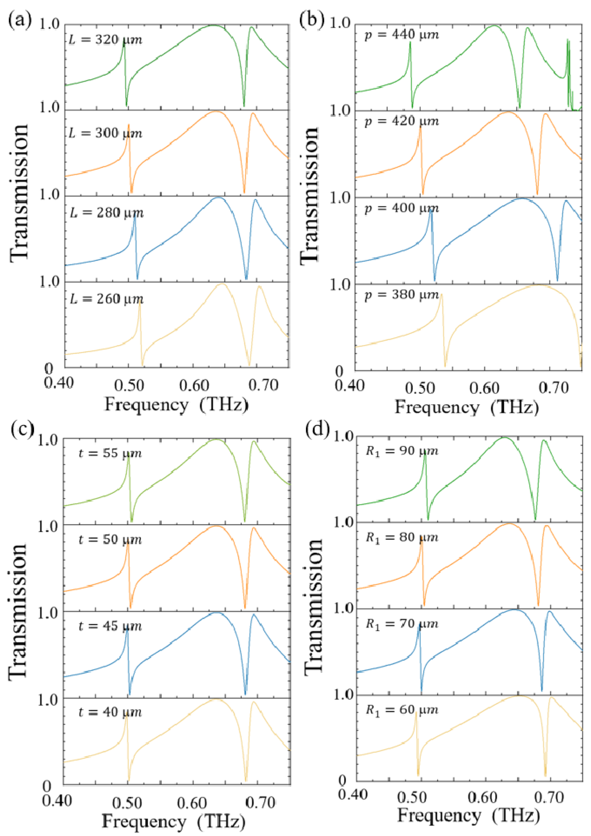
3. Analysis and Discussion
4. Conclusions
Author Contributions
Funding
Institutional Review Board Statement
Informed Consent Statement
Data Availability Statement
Conflicts of Interest
References
- Von Neumann, J.; Wigner, E.P.; Wightman, A.S. Uber Das Verhalten von Eigenwerten Bei Adiabatischen Prozessen. In The Collected Works of Eugene Paul Wigner; Springer: Berlin/Heidelberg, Germany, 1993. [Google Scholar]
- Hong, W.; Liu, S.; Sui, X.; Hu, X.; Gu, W. Ultra-Sensitive Refractive Index Sensor Based on Quasi-BIC Formed in Rectangular-Split Solid-Ring Metasurface with Thin Film Lithium Niobate. Opt. Laser Technol. 2024, 175, 110776. [Google Scholar] [CrossRef]
- Hu, H.; Lu, W.; Antonov, A.; Berté, R.; Maier, S.A.; Tittl, A. Environmental Permittivity-Asymmetric BIC Metasurfaces with Electrical Reconfigurability. Nat. Commun. 2024, 15, 7050. [Google Scholar] [CrossRef]
- Kupriianov, A.S.; Xu, Y.; Sayanskiy, A.; Dmitriev, V.; Kivshar, Y.S.; Tuz, V.R. Metasurface Engineering through Bound States in the Continuum. Phys. Rev. Appl. 2019, 12, 014024. [Google Scholar] [CrossRef]
- Gao, J.; Liu, H.; Zhang, M.; Liu, M.; Zhang, H.; Zhang, Y. Dynamic Switching between Bound States in the Continuum (BIC) and Quasi-BIC Based on a Dirac Semimetal Terahertz Metasurface. Phys. Chem. Chem. Phys. 2022, 24, 25571–25579. [Google Scholar] [CrossRef]
- Gorkunov, M.V.; Antonov, A.A.; Tuz, V.R.; Kupriianov, A.S.; Kivshar, Y.S. Bound States in the Continuum Underpin Near-Lossless Maximum Chirality in Dielectric Metasurfaces. Adv. Opt. Mater. 2021, 9, 2100797. [Google Scholar] [CrossRef]
- Li, J.; Li, J.; Zheng, C.; Yue, Z.; Wang, S.; Li, M.; Zhao, H.; Zhang, Y.; Yao, J. Free Switch between Bound States in the Continuum (BIC) and Quasi-BIC Supported by Graphene-Metal Terahertz Metasurfaces. Carbon 2021, 182, 506–515. [Google Scholar] [CrossRef]
- Zhou, C.; Pu, T.; Huang, J.; Fan, M.; Huang, L. Manipulating Optical Scattering of Quasi-BIC in Dielectric Metasurface with Off-Center Hole. Nanomaterials 2021, 12, 54. [Google Scholar] [CrossRef]
- Wang, M.; Li, B.; Wang, W. Symmetry-Protected Dual Quasi-Bound States in the Continuum with High Tunability in Metasurface. J. Opt. 2020, 22, 125102. [Google Scholar] [CrossRef]
- Niu, J.; Zhai, Y.; Han, Q.; Liu, J.; Yang, B. Resonance-Trapped Bound States in the Continuum in Metallic THz Metasurfaces. Opt. Lett. 2021, 46, 162. [Google Scholar] [CrossRef]
- van Loon, T.; Liang, M.; Delplace, T.; Maes, B.; Murai, S.; Zijlstra, P.; Gómez Rivas, J. Refractive Index Sensing Using Quasi-Bound States in the Continuum in Silicon Metasurfaces. Opt. Express 2024, 32, 14289. [Google Scholar] [CrossRef]
- Peng, J.; Lin, X.; Yan, X.; Yan, X.; Hu, X.; Yao, H.; Liang, L.; Ma, G. Terahertz Biosensor Engineering Based on Quasi-BIC Metasurface with Ultrasensitive Detection. Nanomaterials 2024, 14, 799. [Google Scholar] [CrossRef]
- Biswas, S.K.; Adi, W.; Beisenova, A.; Rosas, S.; Arvelo, E.R.; Yesilkoy, F. From Weak to Strong Coupling: Quasi-BIC Metasurfaces for Mid-Infrared Light–Matter Interactions. Nanophotonics 2024, 13, 2937–2949. [Google Scholar] [CrossRef]
- Koshelev, K.; Tang, Y.; Li, K.; Choi, D.-Y.; Li, G.; Kivshar, Y. Nonlinear Metasurfaces Governed by Bound States in the Continuum. ACS Photon. 2019, 6, 1639–1644. [Google Scholar] [CrossRef]
- Liu, B.; Peng, Y.; Jin, Z.; Wu, X.; Gu, H.; Wei, D.; Zhu, Y.; Zhuang, S. Terahertz Ultrasensitive Biosensor Based on Wide-Area and Intense Light-Matter Interaction Supported by QBIC. Chem. Eng. J. 2023, 462, 142347. [Google Scholar] [CrossRef]
- Melik-Gaykazyan, E.; Koshelev, K.; Choi, J.-H.; Kruk, S.S.; Bogdanov, A.; Park, H.-G.; Kivshar, Y. From Fano to Quasi-BIC Resonances in Individual Dielectric Nanoantennas. Nano Lett. 2021, 21, 1765–1771. [Google Scholar] [CrossRef]
- Ma, T.; Li, J.; Luo, Z. High Q-Factor Toroidal Resonances Driven by Bound States in the Continuum in All-Dielectric Metamaterial at Terahertz Frequencies. Opt. Laser Technol. 2023, 157, 108745. [Google Scholar] [CrossRef]
- Huang, Y.; Kaj, K.; Yang, Z.; Alvarado, E.; Man, W.; Zhang, Y.; Ramaprasad, V.; Averitt, R.D.; Zhang, X. All-Silicon Active Bound States in the Continuum Terahertz Metamaterials. Opt. Laser Technol. 2024, 179, 111176. [Google Scholar] [CrossRef]
- Lam, K.-S.; George, T.F. Laser-Induced Bound and Metastable States in Bound-Continuum Systems. Phys. Rev. A 1986, 33, 2491–2503. [Google Scholar] [CrossRef]
- Wang, D.; Li, J.; GUO, F. Bidirectional Chiral Terahertz Metasurface with Circular Dichroism and Asymmetric Transmission. J. Opt. Soc. Am. B 2025, 42, 541–552. [Google Scholar] [CrossRef]
- Yang, S.; Zhang, X.; Liu, J.; Feng, H.; Meng, H.; Jia, Y.; Gao, Y. Phase-Detection-Based High-Sensitivity Refractive Index Sensing via Chiral BIC Metasurfaces. Phys. Lett. A 2025, 547, 130540. [Google Scholar] [CrossRef]
- Wang, D.; Tian, J.; Ma, T.; Zhang, Y.; Yue, S. Terahertz Modulators Based on VO2–Metal Hybridized Metamaterials for Free Switching between BIC and Quasi-BIC States. Opt. Commun. 2024, 551, 130040. [Google Scholar] [CrossRef]
- Sun, W.; Liang, Z.; Shi, X.; Yang, F.; Dong, Y.; Dai, R.; Jia, Y.; Xin, W.; Hou, E.; Wu, Z. Potential of High Q Dual Band Mid-Infrared Metasurfaces with Quasi-BIC for Refractive Index Sensing. Opt. Laser Technol. 2024, 174, 110631. [Google Scholar] [CrossRef]
- Yang, W.; Zhou, J.; Din, P.; Tsai; Xiao, S. Advanced Manufacturing of Dielectric Metadevices. SPIE 2024, 3, R04. [Google Scholar] [CrossRef]
- Dohi, M.; Momose, W.; Yamashita, K.; Hakomori, T.; Sato, S.; Noguchi, S.; Terada, K. Application of Terahertz Attenuated Total Reflection Spectroscopy to Detect Changes in the Physical Properties of Lactose during the Lubrication Process Required for Drug Formulation. Chem. Pharm. Bull. 2016, 65, 186–193. [Google Scholar] [CrossRef]
- Feng, J.; Chen, X.; Wu, L.-S.; Mao, J.-F. Broadband Electrically Tunable Linear Polarization Converter Based on a Graphene Metasurface. Opt. Express 2023, 31, 1420. [Google Scholar] [CrossRef]
- Kazanskiy, N.L.; Butt, M.A.; Khonina, S.N. Carbon Dioxide Gas Sensor Based on Polyhexamethylene Biguanide Polymer Deposited on Silicon Nano-Cylinders Metasurface. Sensors 2021, 21, 378. [Google Scholar] [CrossRef]
- Butt, M.A.; Degtyarev, S.A.; Khonina, S.N.; Kazanskiy, N.L. An Evanescent Field Absorption Gas Sensor at Mid-IR 3.39 Μm Wavelength. J. Mod. Opt. 2017, 64, 1892–1897. [Google Scholar] [CrossRef]
- Hansen, J.; Sato, M.; Kharecha, P.; Beerling, D.; Berner, R.; Masson-Delmotte, V.; Pagani, M.; Raymo, M.; Royer, D.L.; Zachos, J.C. Target Atmospheric CO: Where Should Humanity Aim? TOASCJ 2008, 2, 217–231. [Google Scholar] [CrossRef]
- Green, W.M.J.; Zhang, E.J.; Xiong, C.; Martin, Y.; Orcutt, J.; Glodde, M.; Schares, L.; Barwicz, T.; Teng, C.C.; Marchack, N.; et al. Silicon Photonic Gas Sensing. In Proceedings of the Optical Fiber Communication Conference (OFC), San Diego, CA, USA, 3–7 March 2019; OSA: Washington, DC, USA, 2019; p. M2J.5. [Google Scholar]
- Kazanskiy, N.L.; Khonina, S.N.; Butt, M.A. Polarization-Insensitive Hybrid Plasmonic Waveguide Design for Evanescent Field Absorption Gas Sensor. Photonic Sens. 2020, 11, 279–290. [Google Scholar] [CrossRef]
- Stewart, G.; Jin, W.; Culshaw, B. Prospects for Fibre-Optic Evanescent-Field Gas Sensors Using Absorption in the near-Infrared. Sens. Actuators B Chem. 1997, 38, 42–47. [Google Scholar] [CrossRef]
- Antonacci, G.; Goyvaerts, J.; Zhao, H.; Baumgartner, B.; Lendl, B.; Baets, R. Ultra-Sensitive Refractive Index Gas Sensor with Functionalized Silicon Nitride Photonic Circuits. APL Photonics 2020, 5, 081301. [Google Scholar] [CrossRef]
- El Shamy, R.S.; Khalil, D.; Swillam, M.A. Mid Infrared Optical Gas Sensor Using Plasmonic Mach-Zehnder Interferometer. Sci. Rep. 2020, 10, 1293. [Google Scholar] [CrossRef]
- Li, J.; Ma, T. Magnetic Toroidal Dipole Resonances with High Quality Factor in All-Dielectric Metamaterial. Opt. Commun. 2022, 507, 127621. [Google Scholar] [CrossRef]
- Savinov, V.; Fedotov, V.A.; Zheludev, N.I. Toroidal Dipolar Excitation and Macroscopic Electromagnetic Properties of Metamaterials. Phys. Rev. B 2014, 89, 205112. [Google Scholar] [CrossRef]
- Chen, X.; Fan, W. Ultrahigh-Q Toroidal Dipole Resonance in All-Dielectric Metamaterials for Terahertz Sensing. Opt. Lett. 2019, 44, 5876. [Google Scholar] [CrossRef]
- Ma, T.; Huang, Q.; He, H.; Zhao, Y.; Lin, X.; Lu, Y. All-Dielectric Metamaterial Analogue of Electromagnetically Induced Transparency and Its Sensing Application in Terahertz Range. Opt. Express 2019, 27, 16624. [Google Scholar] [CrossRef]
- Chen, X.; Fan, W.; Song, C. Multiple Plasmonic Resonance Excitations on Graphene Metamaterials for Ultrasensitive Terahertz Sensing. Carbon 2018, 133, 416–422. [Google Scholar] [CrossRef]
- Zhong, Y.; Du, L.; Liu, Q.; Zhu, L.; Meng, K.; Zou, Y.; Zhang, B. Ultrasensitive Specific Sensor Based on All-Dielectric Metasurfaces in the Terahertz Range. RSC Adv. 2020, 10, 33018–33025. [Google Scholar] [CrossRef]
- Ma, W.; Xing, J.; Wang, R.; Rong, Q.; Zhang, W.; Li, Y.; Zhang, J.; Qiao, X. Optical Fiber Fabry–Perot Interferometric CO2 Gas Sensor Using Guanidine Derivative Polymer Functionalized Layer. IEEE Sens. J. 2018, 18, 1924–1929. [Google Scholar] [CrossRef]
- Mi, G.; Horvath, C.; Aktary, M.; Van, V. Silicon Microring Refractometric Sensor for Atmospheric CO2 Gas Monitoring. Opt. Express 2016, 24, 1773. [Google Scholar] [CrossRef]
- Lang, T.; Hirsch, T.; Fenzl, C.; Brandl, F.; Wolfbeis, O.S. Surface Plasmon Resonance Sensor for Dissolved and Gaseous Carbon Dioxide. Anal. Chem. 2012, 84, 9085–9088. [Google Scholar] [CrossRef]
- Koushik, K.P.; Malathi, S. Optical Micro-Ring Resonator for Detection of Carbon Dioxide Gas. In Lecture Notes in Electrical Engineering; Springer: Singapore, 2020; pp. 157–161. [Google Scholar]











| Sample | Material of Structured Layer | Frequency | Sensitivity (THz/RIU) | Sensitivity (Hz/RIU/F) | Reference |
|---|---|---|---|---|---|
| 1 | LaTiO3 | 2.170 THz | 0.438 | 0.2018 | [37] |
| 2 | Gold | 2.020 THz | 0.420 | 0.2079 | [15] |
| 3 | Silicon | 0.773 THz | 0.231 | 0.2988 | [38] |
| 4 | Graphene | 4.200 THz | 1.687 | 0.4017 | [39] |
| 5 | Graphene | 0.950 THz | 0.770 | 0.8105 | [40] |
| 6 | Tungsten | 0.500 THz 0.670 THz | 0.405 0.579 | 0.8092 0.8635 | Our work |
Disclaimer/Publisher’s Note: The statements, opinions and data contained in all publications are solely those of the individual author(s) and contributor(s) and not of MDPI and/or the editor(s). MDPI and/or the editor(s) disclaim responsibility for any injury to people or property resulting from any ideas, methods, instructions or products referred to in the content. |
© 2025 by the authors. Licensee MDPI, Basel, Switzerland. This article is an open access article distributed under the terms and conditions of the Creative Commons Attribution (CC BY) license (https://creativecommons.org/licenses/by/4.0/).
Share and Cite
He, K.; Ma, T. Carbon Dioxide Gas Sensor Based on Terahertz Metasurface with Asymmetric Cross-Shaped Holes Empowered by Quasi-Bound States in the Continuum. Sensors 2025, 25, 4178. https://doi.org/10.3390/s25134178
He K, Ma T. Carbon Dioxide Gas Sensor Based on Terahertz Metasurface with Asymmetric Cross-Shaped Holes Empowered by Quasi-Bound States in the Continuum. Sensors. 2025; 25(13):4178. https://doi.org/10.3390/s25134178
Chicago/Turabian StyleHe, Kai, and Tian Ma. 2025. "Carbon Dioxide Gas Sensor Based on Terahertz Metasurface with Asymmetric Cross-Shaped Holes Empowered by Quasi-Bound States in the Continuum" Sensors 25, no. 13: 4178. https://doi.org/10.3390/s25134178
APA StyleHe, K., & Ma, T. (2025). Carbon Dioxide Gas Sensor Based on Terahertz Metasurface with Asymmetric Cross-Shaped Holes Empowered by Quasi-Bound States in the Continuum. Sensors, 25(13), 4178. https://doi.org/10.3390/s25134178
