Technical Validation of a Training Workstation for Magnet-Based Ultrasound Guidance of Fine-Needle Punctures
Abstract
1. Introduction
2. Materials and Methods
- Sterican 21G 40 mm (REF 4657527, B Braun SE, Melsungen, Germany);
- Sterican 27G 40 mm (REF 4657705, B Braun SE, Melsungen, Germany);
- Sterican 21G 80 mm (REF 4665465, B Braun SE, Melsungen, Germany).
2.1. Training Workstation
2.2. Puncture Procedures
- Injection type: Out-of-plane versus in-plane with or without readjustments.
- Puncture time [s]: the time between the insertion of the needle tip into the phantom surface and the needle tip’s penetration of the target.
- Total distance of needle tip movement [mm]: all forward and backward movements during the entire puncture procedure.
- Maximum penetration depth of needle tip [mm]: the deepest point of the penetration of the needle tip during the entire puncture procedure, perpendicular to the surface of the phantom.
- Needle tilt [degrees]: the average value of the angle between the needle and the phantom surface during the entire puncture procedure.
- Number of trajectory readjustments [n]: backward movements inside the phantom (given that the system is to be utilized in the fields of education and training, the readjustment parameter is intended to specify the frequency with which a change has been made; ideally, this would be 0).
- Total distance of reverse needle tip movement [mm]: only backward movements during the entire puncture procedure.
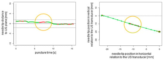
- Two-dimensional graphical plots of (a) the penetration depth of the needle tip (perpendicular to the surface of the phantom) over time and (b) the penetration depth of the needle tip (perpendicular to the surface of the phantom) over the horizontal needle tip position.
- All punctures were performed at a fixed angle of 45 degrees.
2.3. Puncture Application System (PAS)
2.4. Data Analyses and Statistics
3. Results
4. Discussion
Limitations
5. Conclusions
Supplementary Materials
Author Contributions
Funding
Institutional Review Board Statement
Informed Consent Statement
Data Availability Statement
Acknowledgments
Conflicts of Interest
References
- Parmar, R.A.; Patel, K.A. Fine Needle Aspiration Cytology’s Role in the Diagnosis of Ovarian Tumor. J. Midlife Health 2023, 14, 159–164. [Google Scholar] [CrossRef]
- Alzahrani, R.A.; Alghamdi, A.G. Diagnostic Accuracy of Fine-Needle Aspiration Cytology (FNAC) in Thyroid Nodule Excision Cases. Cureus 2024, 16, e60600. [Google Scholar] [CrossRef]
- Pedersen, M.R.V.; Ostergaard, M.L.; Nayahangan, L.J.; Nielsen, K.R.; Lucius, C.; Dietrich, C.F.; Nielsen, M.B. Simulation-based education in ultrasound-diagnostic and interventional abdominal focus. Ultraschall Med. 2024, 45, 348–366. [Google Scholar] [CrossRef]
- Ebner, F.; De Gregorio, A.; Schochter, F.; Bekes, I.; Janni, W.; Lato, K. Effect of an Augmented Reality Ultrasound Trainer App on the Motor Skills Needed for a Kidney Ultrasound: Prospective Trial. JMIR Serious Games 2019, 7, e12713. [Google Scholar] [CrossRef]
- Kuok, C.I.; Leung, A.S.H.; Lee, J.C.Y.; Chan, W.K.Y. Evaluation of simulation-based ultrasound course for pediatricians: A starting point for future training curriculum. Clin. Exp. Pediatr. 2022, 65, 53–55. [Google Scholar] [CrossRef]
- Fulton, N.; Buethe, J.; Gollamudi, J.; Robbin, M. Simulation-Based Training May Improve Resident Skill in Ultrasound-Guided Biopsy. AJR Am. J. Roentgenol. 2016, 207, 1329–1333. [Google Scholar] [CrossRef]
- Ungi, T.; Sargent, D.; Moult, E.; Lasso, A.; Pinter, C.; McGraw, R.C.; Fichtinger, G. Perk Tutor: An open-source training platform for ultrasound-guided needle insertions. IEEE Trans. Biomed. Eng. 2012, 59, 3475–3481. [Google Scholar] [CrossRef]
- Law, M.T.; Bennett, I.C. SE08 Prospective Controlled Study of the Effectiveness of Structured Training in Ultrasound Guided Percutaneous Breast Needle Biopsy. ANZ J. Surg. 2009, 79, A71. [Google Scholar] [CrossRef]
- Horvath, S.; Arikatla, S.; Cleary, K.; Sharma, K.; Rosenberg, A.; Enquobahrie, A. Towards an Advanced Virtual Ultrasound-guided Renal Biopsy Trainer. Proc. SPIE Int. Soc. Opt. Eng. 2019, 10951, 109511W. [Google Scholar] [CrossRef]
- Seifert, P.; Schenke, S.; Zimny, M.; Stahl, A.; Grunert, M.; Klemenz, B.; Freesmeyer, M.; Kreissl, M.C.; Herrmann, K.; Gorges, R. Diagnostic Performance of Kwak, EU, ACR, and Korean TIRADS as Well as ATA Guidelines for the Ultrasound Risk Stratification of Non-Autonomously Functioning Thyroid Nodules in a Region with Long History of Iodine Deficiency: A German Multicenter Trial. Cancers 2021, 13, 4467. [Google Scholar] [CrossRef]
- Polyzos, S.A.; Anastasilakis, A.D. Clinical complications following thyroid fine-needle biopsy: A systematic review. Clin. Endocrinol. 2009, 71, 157–165. [Google Scholar] [CrossRef]
- Freesmeyer, M.; Kuhnel, C.; Guhne, F.; Seifert, P. Standard Needle Magnetization for Ultrasound Needle Guidance: First Clinical Experiences in Fine-Needle Aspiration Cytology of Thyroid Nodules. J. Ultrasound Med. 2019, 38, 3311–3319. [Google Scholar] [CrossRef]
- Gadsden, J.; Latmore, M.; Levine, D.M. Evaluation of the eZono 4000 with eZGuide for ultrasound-guided procedures. Expert Rev. Med. Devices 2015, 12, 251–261. [Google Scholar] [CrossRef] [PubMed]
- Auyong, D.B.; Yuan, S.C.; Rymer, A.N.; Green, C.L.; Hanson, N.A. A randomized crossover study comparing a novel needle guidance technology for simulated internal jugular vein cannulation. Anesthesiology 2015, 123, 535–541. [Google Scholar] [CrossRef] [PubMed]
- Meiser, V.C.; Kreysa, H.; Guntinas-Lichius, O.; Volk, G.F. Comparison of in-plane and out-of-plane needle insertion with vs. without needle guidance. Eur. Arch. Otorhinolaryngol. 2016, 273, 2697–2705. [Google Scholar] [CrossRef]
- Kim, E.J.; Min, J.; Song, J.; Song, K.; Song, J.H.; Byon, H.J. The effect of electromagnetic guidance system on early learning curve of ultrasound for novices. Korean J. Anesthesiol. 2016, 69, 15–20. [Google Scholar] [CrossRef] [PubMed]
- Lee, H.; Cho, Y.J.; Ha, E.J.; Moon, J.; Kim, Y.N.; Kim, M.; Lee, K.M.; An, S.H. Technical feasibility and efficacy of a standard needle magnetization system for ultrasound needle guidance in thyroid nodule-targeting punctures: A phantom study. Ultrasonography 2022, 41, 473–479. [Google Scholar] [CrossRef]
- Gharib, H.; Papini, E. Thyroid nodules: Clinical importance, assessment, and treatment. Endocrinol. Metab. Clin. N. Am. 2007, 36, 707–735. [Google Scholar] [CrossRef]
- Wu, M.; Burstein, D.E. Fine needle aspiration. Cancer Investig. 2004, 22, 620–628. [Google Scholar] [CrossRef]
- Munirama, S.; McLeod, G. Novel Applications in Ultrasound Technology for Regional Anesthesia. Curr. Anesthesiol. Rep. 2013, 3, 230–235. [Google Scholar] [CrossRef]
- Ferre, R.M.; Mercier, M. Novel ultrasound guidance system for real-time central venous cannulation: Safety and efficacy. West J. Emerg. Med. 2014, 15, 536–540. [Google Scholar] [CrossRef]
- Werner, A.; Seifert, P.; Theis, B.; Freesmeyer, M.; Leder, T. Image-Guided Fine-Needle Aspiration Cytology for BRCA Mutation Assessment of PSMA-Positive Lymph Node Metastases in a Patient With Metastatic Castration-Resistant Prostate Cancer. Clin. Nucl. Med. 2023, 48, 1049–1050. [Google Scholar] [CrossRef] [PubMed]
- Werner, C.; Lupp, A.; Mtuka-Pardon, G.; Kloos, C.; Wolf, G.; Aschenbach, R.; Biermann, A.; Freesmeyer, M.; Seifert, P. Case report of a cystic parathyroidal adenoma with rapid growth induced by cinacalcet. BMC Endocr. Disord. 2020, 20, 53. [Google Scholar] [CrossRef] [PubMed]
- Fornage, B.D. Fine-Needle Aspiration. In Interventional Ultrasound of the Breast: From Biopsy to Ablation; Springer Publishing: Cham, Switzerland, 2020; pp. 69–87. [Google Scholar] [CrossRef]
- Sinha, S.; Prabhakar Rao, V.V.S.; Bhuvan L P, B.; R E A, M.; Bora, M. Real time ultrasound guided fine needle aspiration cytology of intra-abdominal and intra-pelvic masses—Synergistic approach of radiologist and cytopathologist for better cellular yield. Indian J. Pathol. Oncol. 2021, 8, 32–44. [Google Scholar] [CrossRef]
- Scholten, H.J.; Pourtaherian, A.; Mihajlovic, N.; Korsten, H.H.M.; R, A.B. Improving needle tip identification during ultrasound-guided procedures in anaesthetic practice. Anaesthesia 2017, 72, 889–904. [Google Scholar] [CrossRef]
- Rehell, M.; Le Bourlout, Y.; Kelppe, J.; Rautava, J.; Perra, E.; Rantanen, J.; Ehnholm, G.; Hayward, N.; Nyman, K.; Pritzker, K.P.H.; et al. Ultrasound-enhanced fine-needle biopsy improves tissue yield in head and neck tumors ex vivo. Sci. Rep. 2025, 15, 10503. [Google Scholar] [CrossRef] [PubMed]
- Du, H.; Zhang, Y.; Jiang, J.; Zhao, Y. Needle Deflection during Insertion into Soft Tissue Based on Virtual Spring Model. Int. J. Multimed. Ubiquitous Eng. 2015, 10, 209–218. [Google Scholar] [CrossRef]
- Jun, C.; Lim, S.; Petrisor, D.; Chirikjian, G.; Kim, J.S.; Stoianovici, D. A simple insertion technique to reduce the bending of thinbevel-point needles. Minim. Invasive Ther. Allied Technol. 2019, 28, 199–205. [Google Scholar] [CrossRef]
- Riopelle, J.M.; Kozmenko, V.V.; Wyche, M.Q., 3rd; Yapuncich, M.L.; Pitre, E.J., 3rd. Lower Double-Wall Puncture Rate During Ultrasound-Guided Internal Jugular Vein Cannulation Using Sharper, Narrower-Gauge, and/or Length-Optimized Needles: A 6-Year Quality Improvement Clinical Series in Adult Patients. Ochsner J. 2023, 23, 232–242. [Google Scholar] [CrossRef]
- Asadian, A.; Kermani, M.R.; Patel, R.V. An analytical model for deflection of flexible needles during An analytical model for deflection of flexible needles during needle insertion. IEEE/RSJ Inter. Conf. Intell. Robots Systems 2011, 2551–2556. [Google Scholar] [CrossRef]
- Moreira, P.; Grimble, J.; Iftimia, N.; Bay, C.P.; Tuncali, K.; Park, J.; Tokuda, J. In vivo evaluation of angulated needle-guide template for MRI-guided transperineal prostate biopsy. Med. Phys. 2021, 48, 2553–2565. [Google Scholar] [CrossRef]
- Qurash, M.T.; Yaacob, N.Y.; Azuan, N.; Khaleel, Y.S.; Zakaria, R. Special Ultrasound Phantom for Interventional Training: Construction, Advantages, and Application. J. Med. Ultrasound 2018, 26, 210–214. [Google Scholar] [CrossRef] [PubMed]
- Zhou, T.; Xu, L.; Shi, J.; Zhang, Y.; Lin, X.; Wang, Y.; Hu, T.; Xu, R.; Xie, L.; Sun, L.; et al. US of thyroid nodules: Can AI-assisted diagnostic system compete with fine needle aspiration? Eur. Radiol. 2024, 34, 1324–1333. [Google Scholar] [CrossRef] [PubMed]
- Shaulian, S.Y.; Gala, D.; Makaryus, A.N. Integration of artificial intelligence into cardiac ultrasonography practice. Exp. Rev. Med. Devices 2025, 11, 1–11. [Google Scholar] [CrossRef] [PubMed]
- Dayan, R.R.; Karni, O.; Shitrit, I.B.; Gaufberg, R.; Ilan, K.; Fuchs, L. Principles for Developing a Large-Scale Point-of-Care Ultrasound Education Program: Insights from a Tertiary University Medical Center in Israel. Perspect. Med. Educ. 2025, 14, 319–327. [Google Scholar] [CrossRef]







| Parameters | Type | Setup | 21G, 40 mm Needle | 27G, 40 mm Needle | 21G, 80 mm Needle | |||||
|---|---|---|---|---|---|---|---|---|---|---|
| Readjustments | Reference | Measured Value (n = 80) mean ± SD (Median, min–max) | Rel. Deviation [%] | Measured Values (n = 80) mean ± SD (Median, min–max) | Rel. Deviation [%] | Measured Value (n = 80) mean ± SD (Median, min–max) | Rel. Deviation [%] | ANOVA | ||
| Puncture time [s] | Out-of- plane | no | 10 | 9.8 ± 0.2 (10.0, 9.4–11.2) | −2.0 | 10.1 ± 0.3 (10.1, 9.7–10.6) | +1.0 | 10.0 ± 0.2 (10.0, 9.8–10.3) | ±0.0 | p < 0.001 |
| yes | 15 | 15.3 ± 0.3 (15.1, 14.4–15.9) | +2.0 | 14.7 ± 0.5 (15.0, 14.4–15.5) | −2.0 | 15.5 ± 0.6 (15.1, 14.8–16.0) | +3.2 | p < 0.001 | ||
| In- plane | no | 10 | 10.1 ± 0.2 (10.0, 9.8–10.4) | +1.0 | 9.8 ± 0.3 (9.8, 9.4–10.5) | −2.0 | 9.7 ± 0.4 (10.0, 9.4–10.3) | −3.1 | p < 0.001 | |
| yes | 15 | 14.6 ± 0.5 (14.9, 14.1–15.4) | −2.7 | 15.3 ± 0.5 (15.2, 14.6–16.2) | −2.0 | 15.4 ± 0.5 (15.1, 14.7–15.6) | +2.6 | p < 0.001 | ||
| Total distance of needle tip movement [mm] | Out-of- plane | no | 30 | 30.3 ± 0.3 (30.1, 29.6–30.7) | +1.0 | 29.0 ± 1.0 (29.8, 28.6–30.5) | −3.4 | 29.3 ± 0.8 (29.8, 28.9–30.5) | −2.4 | p < 0.001 |
| yes | 40 | 39.8 ± 0.3 (39.9, 39.5–40.8) | −0.5 | 40.9 ± 0.9 (40.1, 39.5–41.7) | +2.2 | 40.2 ± 0.3 (40.0, 39.7–40.8) | +0.5 | p < 0.001 | ||
| In- plane | no | 30 | 29.8 ± 0.3 (30.0, 29.6–30.5) | −0.3 | 30.8 ± 0.9 (29.9, 29.3–31.2) | +2.6 | 30.6 ± 0.6 (29.9, 29.3–30.9) | +2.0 | p < 0.001 | |
| yes | 40 | 40.3 ± 0.4 (40.1, 39.6–40.9) | +0.7 | 38.5 ± 1.5 (39.6, 38.2–40.2) | +3.9 | 39.0 ± 1.0 (39.8, 38.6–40.4) | +2.6 | p < 0.001 | ||
| Maximum penetration depth of needle tip [mm] | Out-of- plane | no | 20 | 20.0 ± 0.7 (19.9, 18.4–21.3) | ±0.0 | 20.5 ± 0.5 (20.5, 19.3–21.1) | +2.5 | 19.7 ± 0.3 (19.9, 18.9–20.7) | −1.5 | p < 0.001 |
| yes | 20 | 19.8 ± 0.3 (20.0, 19.5–20.3) | −1.0 | 18.5 ± 0.1 (18.5, 18.3–18.7) | −7.5 | 20.2 ± 0.4 (19.9, 19.8–20.9) | +1.0 | p < 0.001 | ||
| In- plane | no | 20 | 20.1 ± 0.2 (20.1, 19.8–20.5) | +0.5 | 20.8 ± 0.9 (21.0, 19.7–22.4) | +4.0 | 20.3 ± 0.4 (20.1; 19.6–21.0) | +1.5 | p < 0.001 | |
| yes | 20 | 20.2 ± 0.3 (20.2, 19.7–20.6) | +1.0 | 20.9 ± 0.8 (21.0, 20.4–22.6) | +4.5 | 19.7 ± 0.6 (20.1, 19.0–21.0) | −1.5 | p < 0.001 | ||
| Needle tilt [degrees] | Out-of- plane | no | 45 | 45.5 ± 0.7 (45.1, 44.0–45.8) | +1.1 | 48.1 ± 2.4 (46.0, 43.1–50.8) | +6.4 | 44.0 ± 1.1 (44.3, 43.8–47.9) | −2.2 | p < 0.001 |
| yes | 45 | 44.5 ± 1.0 (44.9, 43.9–46.2) | −1.1 | 48.4 ± 2.1 (46.0, 44.8–49.3) | +7.0 | 43.3 ± 1.6 (44.8, 42.9–48.7) | −3.9 | p < 0.001 | ||
| In- plane | no | 45 | 44.8 ± 0.4 (45.0, 44.0–45.6) | −0.4 | 42.3 ± 1.8 (42.5, 40.0–46.0) | −6.4 | 46.0 ± 1.2 (45.0, 44.0–47.1) | +2.2 | p < 0.001 | |
| yes | 45 | 45.7 ± 0.9 (45.3, 44.1–47.2) | +1.3 | 49.8 ± 2.6 (48.3, 44.8–51.1) | +9.6 | 43.8 ± 1.5 (44.7, 43.0–47.4) | −2.7 | p < 0.001 | ||
| Number of trajectory readjustments [n] | Out-of- plane | no | 0 | 0.0 ± 0.0 (0.0, 0.0–0.0) | ±0.0 | 0.1 ± 0.2 (0.0, 0.0–1.0) | ±0.0 | 0.0 ± 0.0 (0.0, 0.0–0.0) | ±0.0 | p > 0.999 |
| yes | 1 | 1.0 ± 0.0 (1.0, 1.0–1.0) | ±0.0 | 1.0 ± 0.0 (1.0, 1.0–1.0) | ±0.0 | 1.0 ± 0.0 (1.0, 1.0–1.0) | ±0.0 | p > 0.999 | ||
| In- plane | no | 0 | 0.0 ± 0.0 (0.0, 0.0–0.0) | ±0.0 | 0.0 ± 0.0 (0.0, 0.0–0.0) | ±0.0 | 0.0 ± 0.0 (0.0, 0.0–0.0) | ±0.0 | p > 0.999 | |
| yes | 1 | 1.0 ± 0.0 (1.0, 1.0–1.0) | ±0.0 | 1.1 ± 0.3 (1.0, 1.0–2.0) | +10.0 | 1.0 ± 0.0 (1.0, 1.0–1.0) | ±0.0 | p > 0.999 | ||
| Total distance of reverse needle tip movement [mm] | Out-of- plane | no | 0 | 0.0 ± 0.0 (0.0, 0.0–0.0) | ±0.0 | 0.1 ± 0.1 (0.0, 0.0–0.3) | ±0.0 | 0.0 ± 0.0 (0.0, 0.0–0.0) | ±0.0 | p > 0.999 |
| yes | 5 | 5.1 ± 0.2 (5.0, 4.8–5.3) | +2.0 | 4.8 ± 0.3 (5.0, 4.3–5.4) | −4.2 | 4.9 ± 0.2 (5.0, 4.7–5.2) | −2.0 | p < 0.001 | ||
| In- plane | no | 0 | 0.0 ± 0.0 (0.0, 0.0–0.0) | ±0.0 | 0.0 ± 0.0 (0.0, 0.0–0.0) | ±0.0 | 0.0 ± 0.0 (0.0, 0.0–0.0) | ±0.0 | p > 0.999 | |
| yes | 5 | 4.9 ± 0.1 (5.0, 4.9–5.2) | −2.0 | 5.3 ± 0.4 (5.0, 4.7–5.6) | +6.7 | 4.8 ± 0.3 (5.0, 4.5–5.3) | +4.2 | p < 0.001 | ||
Disclaimer/Publisher’s Note: The statements, opinions and data contained in all publications are solely those of the individual author(s) and contributor(s) and not of MDPI and/or the editor(s). MDPI and/or the editor(s) disclaim responsibility for any injury to people or property resulting from any ideas, methods, instructions or products referred to in the content. |
© 2025 by the authors. Licensee MDPI, Basel, Switzerland. This article is an open access article distributed under the terms and conditions of the Creative Commons Attribution (CC BY) license (https://creativecommons.org/licenses/by/4.0/).
Share and Cite
Kühnel, C.; Freesmeyer, M.; Gühne, F.; Schreiber, L.; Schrott, S.; Popp, R.; Seifert, P. Technical Validation of a Training Workstation for Magnet-Based Ultrasound Guidance of Fine-Needle Punctures. Sensors 2025, 25, 4102. https://doi.org/10.3390/s25134102
Kühnel C, Freesmeyer M, Gühne F, Schreiber L, Schrott S, Popp R, Seifert P. Technical Validation of a Training Workstation for Magnet-Based Ultrasound Guidance of Fine-Needle Punctures. Sensors. 2025; 25(13):4102. https://doi.org/10.3390/s25134102
Chicago/Turabian StyleKühnel, Christian, Martin Freesmeyer, Falk Gühne, Leonie Schreiber, Steffen Schrott, Reno Popp, and Philipp Seifert. 2025. "Technical Validation of a Training Workstation for Magnet-Based Ultrasound Guidance of Fine-Needle Punctures" Sensors 25, no. 13: 4102. https://doi.org/10.3390/s25134102
APA StyleKühnel, C., Freesmeyer, M., Gühne, F., Schreiber, L., Schrott, S., Popp, R., & Seifert, P. (2025). Technical Validation of a Training Workstation for Magnet-Based Ultrasound Guidance of Fine-Needle Punctures. Sensors, 25(13), 4102. https://doi.org/10.3390/s25134102

