Pathogen Detection via Impedance Spectroscopy-Based Biosensor
Abstract
1. Introduction
2. Materials and Methods
2.1. Materials
2.2. Design
2.2.1. IDE Fabrication
2.2.2. Hydrogel
2.2.3. Antibody and Analyte Preparation
2.3. Laboratory Setup
2.4. Impedance Measurements
3. Results
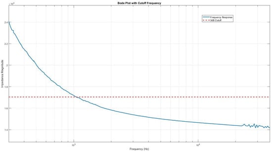
3.1. Frequency Sweep and Operational Frequency
3.2. Voltage Sweep Measurements
3.3. Time Scan Measurements
4. Discussion
4.1. Sensitivity Analysis
4.2. Comparison and Novelty
4.3. Selectivity of AB ab21297 and Its Impact on Impedance Variation
5. Conclusions and Future Work
5.1. Conclusions
5.2. Future Steps
Author Contributions
Funding
Institutional Review Board Statement
Informed Consent Statement
Data Availability Statement
Conflicts of Interest
Abbreviations
| IDE | Interdigitated Electrodes |
| AB | Antibody |
| PEGDA | Poly(ethylene glycol) diacrylate |
| PI | Photo-Initiator |
| PBS | Phosphate Buffered Saline |
References
- Lelieveld, J.; Klingmüller, K.; Pozzer, A.; Pöschl, U.; Fnais, M.; Daiber, A.; Münzel, T. Cardiovascular disease burden from ambient air pollution in Europe reassessed using novel hazard ratio functions. Eur. Heart J. 2019, 40, 1590–1596. [Google Scholar] [CrossRef]
- Mehmood, K.; Saifullah; Iqbal, M.; Abrar, M.M. Can exposure to PM2.5 particles increase the incidence of coronavirus disease 2019 (COVID-19)? Sci. Total Environ. 2020, 741, 140441. [Google Scholar] [CrossRef]
- Arbeitskreis, B. Untergruppe «Bewertung Blutassoziierter Krankheitserreger». Influenza Virus. Transfus. Med. Hemother. 2009, 36, 32–39. [Google Scholar] [CrossRef]
- Oluwasanya, P.W.; Rughoobur, G.; Occhipinti, L.G. Comparison of analytical and numerical methods of obtaining coplanar capacitance of microelectrodes for particulate matter detection. IEEE Sens. J. 2020, 20, 8631–8636. [Google Scholar] [CrossRef]
- Comunian, S.; Dongo, D.; Milani, C.; Palestini, P. Air pollution and COVID-19: The role of particulate matter in the spread and increase of COVID-19’s morbidity and mortality. Int. J. Environ. Res. Public Health 2020, 17, 4487. [Google Scholar] [CrossRef] [PubMed]
- Oluwasanya, P.; Alzahrani, A.; Kumar, V.; Abdul Samad, Y.; Occhipinti, L. Portable multi-sensor air quality monitoring platform for personal exposure studies. IEEE Instrum. Meas. Mag. 2019, 22, 36–44. [Google Scholar] [CrossRef]
- Oluwasanya, P.W.; Rughoobur, G.; Occhipinti, L.G. Design, modeling and simulation of a capacitive size-discriminating particulate matter sensor for personal air quality monitoring. IEEE Sens. J. 2020, 20, 1971–1979. [Google Scholar] [CrossRef]
- Occhipinti, L.G.; Oluwasanya, P. Particulate Matter Sensor. U.S. Patent 11630037B2, 18 April 2023. [Google Scholar]
- Radhakrishnan, R.; Suni, I.I.; Bever, C.S.; Hammock, B.D. Impedance Biosensors: Applications to Sustainability and Remaining Technical Challenges. ACS Sustain. Chem. Eng. 2014, 2, 1649–1655. [Google Scholar] [CrossRef] [PubMed]
- Laschi, S.; Mascini, M. Planar electrochemical sensors for biomedical applications. Med. Eng. Phys. 2006, 28, 934–943. [Google Scholar] [CrossRef]
- Banakar, M.; Hamidi, M.; Khurshid, Z.; Zafar, M.S.; Sapkota, J.; Azizian, R.; Rokaya, D. Electrochemical Biosensors for Pathogen Detection: An Updated Review. Biosensors 2022, 12, 927. [Google Scholar] [CrossRef]
- Ulijn, R.V.; Bibi, N.; Jayawarna, V.; Thornton, P.D.; Todd, S.J.; Mart, R.J.; Smith, A.M.; Gough, J.E. Bioresponsive hydrogels. Mater. Today 2007, 10, 40–48. [Google Scholar] [CrossRef]
- Lei, C.; Yang, J.; Hu, J.; Sun, X. On the Calculation of TCID50 for Quantitation of Virus Infectivity. Virol. Sin. 2021, 36, 141–144. [Google Scholar] [CrossRef]
- Wang, S.; Shan, X.; Patel, U.; Huang, X.; Lu, J.; Li, J.; Tao, N. Label-free imaging, detection, and mass measurement of single viruses by surface plasmon resonance. Proc. Natl. Acad. Sci. USA 2010, 107, 16028–16032. [Google Scholar] [CrossRef]
- Yip, L.; Finn, M.; Granados, A.; Prost, K.; McGeer, A.; Gubbay, J.B.; Scott, J.; Mubareka, S. Influenza virus RNA recovered from droplets and droplet nuclei emitted by adults in an acute care setting. J. Occup. Environ. Hyg. 2019, 16, 341–348. [Google Scholar] [CrossRef] [PubMed]
- Nidzworski, D.; Pranszke, P.; Grudniewska, M.; Król, E.; Gromadzka, B. Universal biosensor for detection of influenza virus. Biosens. Bioelectron. 2014, 59, 239–242. [Google Scholar] [CrossRef] [PubMed]
- Huy, T.Q.; Hanh, N.T.; Thuy, N.T.; Chung, P.V.; Nga, P.T.; Tuan, M.A. A novel biosensor based on serum antibody immobilization for rapid detection of viral antigens. Talanta 2011, 86, 271–277. [Google Scholar] [CrossRef] [PubMed]
- Nguyen, B.T.; Peh, A.E.; Chee, C.Y.; Fink, K.; Chow, V.T.; Ng, M.M.; Toh, C.S. Electrochemical impedance spectroscopy characterization of nanoporous alumina dengue virus biosensor. Bioelectrochemistry 2012, 88, 15–21. [Google Scholar] [CrossRef] [PubMed]
- Muharemagic, D.; Labib, M.; Ghobadloo, S.M.; Zamay, A.S.; Bell, J.C.; Berezovski, M.V. Anti-Fab aptamers for shielding virus from neutralizing antibodies. J. Am. Chem. Soc. 2012, 134, 17168–17177. [Google Scholar] [CrossRef] [PubMed]
- Baek, S.H.; Kim, M.W.; Park, C.Y.; Choi, C.S.; Kailasa, S.K.; Park, J.P.; Park, T.J. Development of a rapid and sensitive electrochemical biosensor for detection of human norovirus via novel specific binding peptides. Biosens. Bioelectron. 2019, 123, 223–229. [Google Scholar] [CrossRef] [PubMed]
- Adnane, A. Electrochemical Biosensors for Virus Detection. In Biosensors for Health, Environment and Biosecurity; InTech: London, UK, 2011. [Google Scholar] [CrossRef][Green Version]
- Diouani, M.F.; Helali, S.; Hafaid, I.; Hassen, W.M.; Snoussi, M.A.; Ghram, A.; Jaffrezic-Renault, N.; Abdelghani, A. Miniaturized biosensor for avian influenza virus detection. Mater. Sci. Eng. C 2008, 28, 580–583. [Google Scholar] [CrossRef]
- Hassen, W.M.; Duplan, V.; Frost, E.; Dubowski, J.J. Quantitation of influenza A virus in the presence of extraneous protein using electrochemical impedance spectroscopy. Electrochim. Acta 2011, 56, 8325–8328. [Google Scholar] [CrossRef]
- Tuan, C.V.; Huy, T.Q.; Hieu, N.V.; Tuan, M.A.; Trung, T. Polyaniline Nanowires-Based Electrochemical Immunosensor for Label-Free Detection of Japanese Encephalitis Virus. Anal. Lett. 2013, 46, 1229–1240. [Google Scholar] [CrossRef]
- [abcam]. Anti-Avian Influenza a Hemagglutinin Antibody ab21297. Available online: https://www.abcam.com/products/primary-antibodies/avian-influenza-a-hemagglutinin-antibody-ab21297.html (accessed on 17 January 2024).
- Magar, H.S.; Hassan, R.Y.A.; Mulchandani, A. Electrochemical Impedance Spectroscopy (EIS): Principles, Construction, and Biosensing Applications. Sensors 2021, 21, 6578. [Google Scholar] [CrossRef] [PubMed]







| Mean Impedance | Std Dev | Avg Percent Fluct | Max Fluctuation% | Diff MaxFluct Mean | Device State |
|---|---|---|---|---|---|
| 4527.3 | 31.277 | 0.60411 | 1.2448 | 56.357 | AB 50 g/mL |
| 2730.5 | 4.9103 | 0.12299 | 0.59146 | 10.939 | 0.5 g/mL Influenza A |
| 2493.8 | 5.1328 | 0.15799 | 0.551 | 11.662 | 1 g/mL Influenza A |
| 2421.3 | 2.9141 | 0.080546 | 0.42141 | 4.0774 | 5 g/mL Influenza A |
| 2350.3 | 4.0663 | 0.14494 | 0.36798 | 7.6768 | 10 g/mL Influenza A |
| 2274.9 | 4.3498 | 0.16243 | 0.4339 | 9.8708 | 50 g/mL Influenza A |
| Sample | Sensitivity/Time | Range |
|---|---|---|
| JEV Antigen | 0.75 g /20 min | 1–10.0 g [17] |
| Dengue Virus | 1 pfu /1 h 30 min | 1 to 900 pfu [18] |
| VSV (Virus) | pfu /– | to pfu [19] |
| Influenza | 20 pg /30 min | 20–100 pg [16] |
| Norovirus | 1.7 copies /1.5 h | 0 to copies [20] |
| RABV | 0.5 g /1 h | 0.1–4 g [21] |
| A/H7N1 Virus | 5 g /– | – [22] |
| Influenza A Virus (IAV) | 8 ng /1 h | 0 to 64 ng [23] |
| Japanese Encephalitis Virus (PANI NWs) | <10 ng /10 min | – [24] |
| Influenza A | 500 ng /1 min | 500 ng to 50 g /This Paper |
Disclaimer/Publisher’s Note: The statements, opinions and data contained in all publications are solely those of the individual author(s) and contributor(s) and not of MDPI and/or the editor(s). MDPI and/or the editor(s) disclaim responsibility for any injury to people or property resulting from any ideas, methods, instructions or products referred to in the content. |
© 2024 by the authors. Licensee MDPI, Basel, Switzerland. This article is an open access article distributed under the terms and conditions of the Creative Commons Attribution (CC BY) license (https://creativecommons.org/licenses/by/4.0/).
Share and Cite
Kandukuri, T.R.; Prattis, I.; Oluwasanya, P.; Occhipinti, L.G. Pathogen Detection via Impedance Spectroscopy-Based Biosensor. Sensors 2024, 24, 856. https://doi.org/10.3390/s24030856
Kandukuri TR, Prattis I, Oluwasanya P, Occhipinti LG. Pathogen Detection via Impedance Spectroscopy-Based Biosensor. Sensors. 2024; 24(3):856. https://doi.org/10.3390/s24030856
Chicago/Turabian StyleKandukuri, Tharun Reddy, Ioannis Prattis, Pelumi Oluwasanya, and Luigi G. Occhipinti. 2024. "Pathogen Detection via Impedance Spectroscopy-Based Biosensor" Sensors 24, no. 3: 856. https://doi.org/10.3390/s24030856
APA StyleKandukuri, T. R., Prattis, I., Oluwasanya, P., & Occhipinti, L. G. (2024). Pathogen Detection via Impedance Spectroscopy-Based Biosensor. Sensors, 24(3), 856. https://doi.org/10.3390/s24030856

