A Study on the Gas/Humidity Sensitivity of the High-Frequency SAW CO Gas Sensor Based on Noble-Metal-Modified Metal Oxide Film
Abstract
1. Introduction
2. Experimental Part
2.1. Sensing Mechanism
2.1.1. Elastic Loading Effect
2.1.2. Conductivity Loading Effect
2.1.3. Mass Loading Effect
2.2. Preparation and Characterization of Sensitive Films
3. Results
3.1. Construction of SAW Gas Sensor Performance Test System
3.2. Sensitive Film RESPONSE Test
3.3. Gas Sensitivity Test
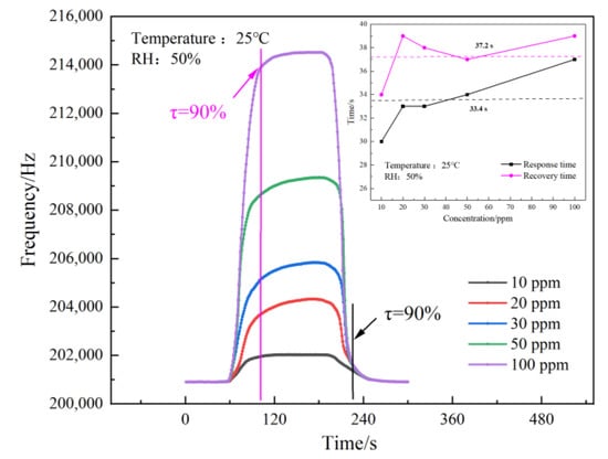
3.4. Response Recovery Characteristic Test
3.5. Stability Test
3.6. Humidity Test
4. Conclusions
Author Contributions
Funding
Institutional Review Board Statement
Informed Consent Statement
Data Availability Statement
Conflicts of Interest
References
- Ding, B. Characteristics of Major Disasters and Accidents in China’s Coal Mines and Prevention Measures. Coal Sci. Technol. 2017, 45, 109–114. [Google Scholar] [CrossRef]
- Zhang, D.; Nie, B.; Wang, L. Analysis of disaster–causing factors of coal mine safety production accidents in my country. China Saf. Prod. Sci. Technol. 2013, 9, 136–140. [Google Scholar] [CrossRef]
- Li, F. Research on Analysis and Prevention Measures of Coal Mine Water Accidents. China Coal 2022, 48, 14–19. [Google Scholar] [CrossRef]
- Li, K.; Wang, L.; Chen, X. An analysis of gas accidents in Chinese coal mines, 2009–2019. Extr. Ind. Soc. 2022, 9, 101049. [Google Scholar] [CrossRef]
- Wang, B.; Hu, Z. Statistical analysis of the status quo and regularity of gas explosion accidents in coal mines. Coal Technol. 2022, 41, 148–151. [Google Scholar] [CrossRef]
- Sun, P. Research on Mass–Sensitive Toxic and Harmful Gas Sensors and Arrays. Ph.D. Thesis, University of Electronic Science and Technology, Chengdu, China, 2010. [Google Scholar] [CrossRef]
- Long, Y. Study on the Sensitive Mechanism and Characteristics of Surface Acoustic Wave Trace Gas Sensor. Ph.D. Thesis, University of Electronic Science and Technology, Chengdu, China, 2019. [Google Scholar]
- Pohl, A. A review of wireless SAW sensors. IEEE Trans. Ultrason. Ferroelectr. Freq. Control. 2000, 47, 317–332. [Google Scholar] [CrossRef] [PubMed]
- Bulst, W.-E.; Fischerauer, G.; Reindl, L. State of the art in wireless sensing with surface acoustic waves. IEEE Trans. Ind. Electron. 2001, 48, 265–271. [Google Scholar] [CrossRef]
- Li, F.; Xiang, D.; Chiang, S.; Tittmann, B.R.; Searfass, C. Wireless surface acoustic wave radio frequency identification (SAW-RFID) sensor system for temperature and strain measurements. In Proceedings of the 2011 IEEE International Ultrasonics Symposium, Orlando, FL, USA, 18–21 October 2011. [Google Scholar] [CrossRef]
- Ballantine, D.S.; Rose, S.L.; Grate, J.W.; Wohltjen, H. Correlation of surface acoustic wave device coating responses with solubility properties and chemical structure using pattern recognition. Anal. Chem. 1986, 58, 3058–3066. [Google Scholar] [CrossRef]
- Bârsan, N.; Weimar, U. Understanding the fundamental principles of metal oxide based gas sensors; the example of CO sensing with SnO2 sensors in the presence of humidity. J. Phys. Condens. Matter 2003, 15, 20. [Google Scholar] [CrossRef]
- Huang, G.; Chen, M.; Zhang, P. Research on high precision frequency measurement of SAW CO gas sensor. Comput. Meas. Control. 2009, 17, 1033–1035+1038. [Google Scholar] [CrossRef]
- Wang, Q. Research on High Performance Modified SnO2 Semiconductor Oxide Type Gas Sensors; Jilin University: Changchun, China, 2017. [Google Scholar]
- Wang, P. Doped/Supported Nano Tin Dioxide–Structural Regulation and Toxic Gas Sensing; Northwest University: Xi’an, China, 2019. [Google Scholar]
- Xu, X. Research on SAW Gas/Humidity Sensor Based on Metal Oxide Film. Master’s Thesis, University of Electronic Science and Technology, Chengdu, China, 2020. [Google Scholar] [CrossRef]
- Yuan, T.; Ma, Z.; Nekouei, F.; Zhang, W.; Xu, J. Zeolitic imidazolate framework-derived n-ZnO/p-Co3O4 heterojunction by ion-etching method for superior CO toxic gas sensor. Sens. Actuators B Chem. 2023, 374, 132717. [Google Scholar] [CrossRef]
- Tang, Q. Preparation and Performance of Surface Acoustic Wave Ammonia Sensor; University of Electronic Science and Technology of China: Chengdu, China, 2019. [Google Scholar]
- Li, D. Preparation and Performance Study of H2S and Other Toxic and Harmful Gas Sensors; University of Electronic Science and Technology: Chengdu, China, 2019. [Google Scholar]
- Zhang, H.; Shen, B.; Hu, W.; Liu, X. Research on a Fast-Response Thermal Conductivity Sensor Based on Carbon Nanotube Modification. Sensors 2018, 18, 2191. [Google Scholar] [CrossRef] [PubMed]










| Element | Line Type | Wt% | Wt% Sigma | At% |
|---|---|---|---|---|
| O | K Line System | 32.94 | 0.52 | 59.85 |
| Al | K Line System | 13.29 | 0.15 | 16.58 |
| Pd | L Line System | 0.28 | 0.11 | 0.04 |
| Sn | L Line System | 53.42 | 0.75 | 23.44 |
| Pt | M Line System | 0.07 | 0.27 | 0.09 |
| Total volume | 100.00 | 100.00 |
| Instrument Name | Model | Manufacturers |
|---|---|---|
| Frequency counter | SS7200A | Shijiazhuang Digital English Instruments Co, Shijiazhuang, China. |
| Mass flow meters | D08–4F | Beijing Seven Star Huachuang Co, Beijing, China. |
| Mass flow controllers (MFCs) | D07–19B | Beijing Seven Star Huachuang Co, Beijing, China. |
| DC regulated power supplies | WYK–303 | Huatai Power Supply Co, Henan, China. |
| Differential frequency test modules | SDL2101 | Beijing Zhongxun Sifang Technology Co, Beijing, China. |
| Two-way valves | K06–06 | Beijing Zhongxun Sifang Technology Co, Beijing, China. |
| Gas storage cylinders | – | Shanghai Shenyuan Scientific Instruments Co, Shanghai, China. |
Disclaimer/Publisher’s Note: The statements, opinions and data contained in all publications are solely those of the individual author(s) and contributor(s) and not of MDPI and/or the editor(s). MDPI and/or the editor(s) disclaim responsibility for any injury to people or property resulting from any ideas, methods, instructions or products referred to in the content. |
© 2023 by the authors. Licensee MDPI, Basel, Switzerland. This article is an open access article distributed under the terms and conditions of the Creative Commons Attribution (CC BY) license (https://creativecommons.org/licenses/by/4.0/).
Share and Cite
Yang, H.; Shen, B.; Liu, X.; Jin, C.; Zhou, T. A Study on the Gas/Humidity Sensitivity of the High-Frequency SAW CO Gas Sensor Based on Noble-Metal-Modified Metal Oxide Film. Sensors 2023, 23, 2487. https://doi.org/10.3390/s23052487
Yang H, Shen B, Liu X, Jin C, Zhou T. A Study on the Gas/Humidity Sensitivity of the High-Frequency SAW CO Gas Sensor Based on Noble-Metal-Modified Metal Oxide Film. Sensors. 2023; 23(5):2487. https://doi.org/10.3390/s23052487
Chicago/Turabian StyleYang, Haiyang, Bin Shen, Xinlei Liu, Chunbo Jin, and Tianshun Zhou. 2023. "A Study on the Gas/Humidity Sensitivity of the High-Frequency SAW CO Gas Sensor Based on Noble-Metal-Modified Metal Oxide Film" Sensors 23, no. 5: 2487. https://doi.org/10.3390/s23052487
APA StyleYang, H., Shen, B., Liu, X., Jin, C., & Zhou, T. (2023). A Study on the Gas/Humidity Sensitivity of the High-Frequency SAW CO Gas Sensor Based on Noble-Metal-Modified Metal Oxide Film. Sensors, 23(5), 2487. https://doi.org/10.3390/s23052487

