Meniscus-Corrected Method for Broadband Liquid Permittivity Measurements with an Uncalibrated Vector Network Analyzer
Abstract
1. Introduction
2. Theory
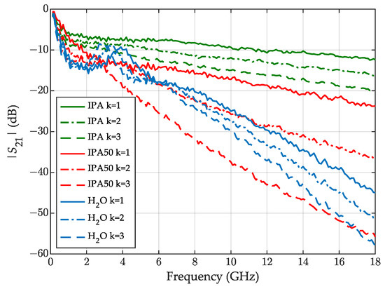
3. Experimental Results
3.1. Determination of the Column Height Increment
3.2. Propan-2-ol
3.3. 50% Aqueous Solution of IPA
3.4. Distilled Water
4. Discussion and Conclusions
Author Contributions
Funding
Institutional Review Board Statement
Informed Consent Statement
Data Availability Statement
Acknowledgments
Conflicts of Interest
Abbreviations
| CI | Calibration-independent |
| H2O | Distilled water |
| IPA | Propan-2-ol |
| IPA50 | 50% aqueous solution of propan-2-ol |
| Lit. | Literature |
| LPC-7 | 7 mm laboratory precision connector |
| MR | Meniscus removal |
| NPL | National Physical Laboratory (the United Kingdom) |
| NRW | Nicolson–Ross–Weir |
| PTFE | Polytetrafluoroethylene |
| Soln | Solution |
| T/R | Transmission–reflection |
| TEM | Transverse electromagnetic |
| TRM | Thru–reflect–match |
| VNA | Vector network analyzer |
Appendix A. Solution Algorithm for Equation (13)




References
- Kaatze, U. Perspectives in dielectric measurement techniques for liquids. Meas. Sci. Technol. 2008, 19, 112001. [Google Scholar] [CrossRef]
- Kaatze, U. Techniques for measuring the microwave dielectric properties of materials. Metrologia 2010, 47, S91–S113. [Google Scholar] [CrossRef]
- Kremer, F. Dielectric spectroscopy—Yesterday, today and tomorrow. J. Non. Cryst. Solids 2002, 305, 1–9. [Google Scholar] [CrossRef]
- Krupka, J. Frequency domain complex permittivity measurements at microwave frequencies. Meas. Sci. Technol. 2006, 17, R55–R70. [Google Scholar] [CrossRef]
- Tereshchenko, O.V.; Buesink, F.J.K.; Leferink, F.B.J. An overview of the techniques for measuring the dielectric properties of materials. In Proceedings of the 2011 XXXth URSI General Assembly and Scientific Symposium, Istanbul, Turkey, 13–20 August 2011; pp. 1–4. [Google Scholar] [CrossRef]
- Li, C.; Wu, C.; Shen, L. Complex Permittivity Measurement of Low-Loss Anisotropic Dielectric Materials at Hundreds of Megahertz. Electronics 2022, 11, 1769. [Google Scholar] [CrossRef]
- Karpisz, T.; Salski, B.; Kopyt, P.; Krupka, J. Measurement of Dielectrics from 20 to 50 GHz with a Fabry-Pérot Open Resonator. IEEE Trans. Microw. Theory Tech. 2019, 67, 1901–1908. [Google Scholar] [CrossRef]
- Costa, F.; Borgese, M.; Degiorgi, M.; Monorchio, A. Electromagnetic Characterisation of Materials by Using Transmission/Reflection (T/R) Devices. Electronics 2017, 6, 95. [Google Scholar] [CrossRef]
- Nicolson, A.M.; Ross, G.F. Measurement of the Intrinsic Properties of Materials by Time-Domain Techniques. IEEE Trans. Instrum. Meas. 1970, 19, 377–382. [Google Scholar] [CrossRef]
- Weir, W. Automatic measurement of complex dielectric constant and permeability at microwave frequencies. Proc. IEEE 1974, 62, 33–36. [Google Scholar] [CrossRef]
- Rumiantsev, A.; Ridler, N. VNA calibration. IEEE Microw. Mag. 2008, 9, 86–99. [Google Scholar] [CrossRef]
- Bonaguide, G.; Jarvis, N. The VNA Applications Handbook; Artech House: Norwood, MA, USA, 2019. [Google Scholar]
- Wan, C.; Nauwelaers, B.; De Raedt, W.; Van Rossum, M. Complex permittivity measurement method based on asymmetry of reciprocal two-ports. Electron. Lett. 1996, 32, 1497. [Google Scholar] [CrossRef]
- Wan, C.; Nauwelaers, B.; de Raedt, W.; van Rossum, M. Two new measurement methods for explicit determination of complex permittivity. IEEE Trans. Microw. Theory Tech. 1998, 46, 1614–1619. [Google Scholar] [CrossRef]
- Janezic, M.; Jargon, J. Complex permittivity determination from propagation constant measurements. IEEE Microw. Guid. Wave Lett. 1999, 9, 76–78. [Google Scholar] [CrossRef]
- Huynen, I.; Steukers, C.; Duhamel, F. A wideband line-line dielectrometric method for liquids, soils, and planar substrates. IEEE Trans. Instrum. Meas. 2001, 50, 1343–1348. [Google Scholar] [CrossRef]
- Hasar, U.C. A calibration-independent method for accurate complex permittivity determination of liquid materials. Rev. Sci. Instrum. 2008, 79, 086114. [Google Scholar] [CrossRef]
- Guoxin, C. Calibration-independent measurement of complex permittivity of liquids using a coaxial transmission line. Rev. Sci. Instrum. 2015, 86, 014704. [Google Scholar] [CrossRef]
- Hasar, U.C.; Barroso, J.J. Comment on “Calibration-independent measurement of complex permittivity of liquids using a coaxial transmission line” [Rev. Sci. Instrum. 86, 014704 (2015)]. Rev. Sci. Instrum. 2015, 86, 077101. [Google Scholar] [CrossRef]
- Hasar, U. Calibration-independent method for complex permittivity determination of liquid and granular materials. Electron. Lett. 2008, 44, 585. [Google Scholar] [CrossRef]
- Hasar, U.C.; Simsek, O.; Zateroglu, M.K.; Ekinci, A.E. A microwave method for unique and non-ambiguous permittivity determination of liquid materials from measured uncalibrated scattering parameters. Prog. Electromagn. Res. 2009, 95, 73–85. [Google Scholar] [CrossRef]
- Baker-Jarvis, J. Transmission/Reflection and Short-Circuit Line Permittivity Measurements; NIST Technical Report; NIST: Boulder, CO, USA, 1990.
- Somlo, P. A convenient self-checking method for the automated microwave measurement of mu and epsilon. IEEE Trans. Instrum. Meas. 1993, 42, 213–216. [Google Scholar] [CrossRef]
- Wiatr, W.; Ciamulski, T. Applicability of the transmission-reflection method for broadband characterization of seawater permittivity in a semi-open coaxial test cell. In Proceedings of the 2014 20th International Conference on Microwaves, Radar, and Wireless Communication (MIKON), Gdansk, Poland, 16–18 June 2014; pp. 1–4. [Google Scholar] [CrossRef]
- Qaddoumi, N.; Ganchev, S.; Zoughi, R. Microwave diagnosis of low-density fiberglass composites with resin binder. Res. Nondestruct. Eval. 1996, 8, 177–188. [Google Scholar] [CrossRef]
- Zoughi, R. Microwave Non-Destructive Testing and Evaluation; Non-Destructive Evaluation Series; Springer: Dordrecht, The Netherlands, 2000; Volume 4. [Google Scholar] [CrossRef]
- Paffi, A.; Apollonio, F.; Liberti, M.; Balzano, Q. Effect of the meniscus at the solid-liquid interface on the microwave exposure of biological samples. In Proceedings of the 2014 44th European Microwave Conference, Rome, Italy, 6–9 October 2014; pp. 691–694. [Google Scholar] [CrossRef]
- Bois, K.; Handjojo, L.; Benally, A.; Mubarak, K.; Zoughi, R. Dielectric plug-loaded two-port transmission line measurement technique for dielectric property characterization of granular and liquid materials. IEEE Trans. Instrum. Meas. 1999, 48, 1141–1148. [Google Scholar] [CrossRef]
- Hasar, U.C.; Cansiz, A. Simultaneous complex permittivity and thickness evaluation of liquid materials from scattering parameter measurements. Microw. Opt. Technol. Lett. 2010, 52, 75–78. [Google Scholar] [CrossRef]
- Ogunlade, O.; Pollard, R.; Hunter, I. A new method of obtaining the permittivity of liquids using in-waveguide technique. IEEE Microw. Wirel. Components Lett. 2006, 16, 363–365. [Google Scholar] [CrossRef]
- Wang, Y.; Afsar, M.N. Measurement of Complex Permittivity of Liquids Using Waveguide Techniques. Prog. Electromagn. Res. 2003, 42, 131–142. [Google Scholar] [CrossRef]
- Keysight Technologies. Basics of Measuring the Dielectric Properties of Materials; Technical Report; Keysight Technologies: Santa Rosa, CA, USA, 2020. [Google Scholar]
- Kalisiak, M.; Wiatr, W. Errors in Broadband Permittivity Determination Due to Liquid Surface Distortions in Semi-Open Test Cell. Remote Sens. 2021, 13, 983. [Google Scholar] [CrossRef]
- Kalisiak, M.; Wiatr, W. Complete meniscus removal method for broadband liquid characterization in a semi-open coaxial test cell. Sensors 2019, 19, 2092. [Google Scholar] [CrossRef]
- Chen, L.; Ong, C.; Neo, C.; Varadan, V.; Varadan, V. Microwave Electronics: Measurement and Materials Characterization; Wiley: Hoboken, NJ, USA, 2004. [Google Scholar] [CrossRef]
- Skinner, D. Guidance on Using Precision Coaxial Connectors in Measurement; Technical Report August; NPL, ANAMET: Teddington, UK, 2007. [Google Scholar]
- Marks, R.B. Formulations of the Basic Vector Network Analyzer Error Model including Switch-Terms. In Proceedings of the 50th ARFTG Conference Digest, Portland, OR, USA, 4–5 December 1997; pp. 115–126. [Google Scholar] [CrossRef]
- Eul, H.J.; Schiek, B. Thru-Match-Reflect: One Result of a Rigorous Theory for De-Embedding and Network Analyzer Calibration. In Proceedings of the 1988 18th European Microwave Conference, Stockholm, Sweden, 12–15 September 1988; pp. 909–914. [Google Scholar] [CrossRef]
- Pulido-Gaytan, M.A.; Reynoso-Hernandez, J.A.; Loo-Yau, J.R.; Zarate-de Landa, A.; Maya-Sanchez, M.d.C. Generalized Theory of the Thru-Reflect-Match Calibration Technique. IEEE Trans. Microw. Theory Tech. 2015, 63, 1693–1699. [Google Scholar] [CrossRef]
- Gregory, A.P.; Clarke, R.N. Tables of the Complex Permittivity of Dielectric Reference Liquids at Frequencies up to 5GHz. NPL Report MAT 23. 2012. Available online: https://eprintspublications.npl.co.uk/4347/ (accessed on 12 April 2023).
- McNaught, A.D.; Wilkinson, A.; International Union of Pure and Applied Chemistry. Compendium of Chemical Terminology: IUPAC Recommendations; IUPAC Chemical Data Series; Blackwell Science: Hoboken, NJ, USA, 1997. [Google Scholar] [CrossRef]
- Park, J.G.; Lee, S.H.; Ryu, J.S.; Hong, Y.K.; Kim, T.G.; Busnaina, A.A. Interfacial and Electrokinetic Characterization of IPA Solutions Related to Semiconductor Wafer Drying and Cleaning. J. Electrochem. Soc. 2006, 153, G811. [Google Scholar] [CrossRef]
- Ellison, W.J. Permittivity of Pure Water, at Standard Atmospheric Pressure, over the Frequency Range 0–25 THz and the Temperature Range 0–100 °C. J. Phys. Chem. Ref. Data 2007, 36, 1–18. [Google Scholar] [CrossRef]
- Ball, J.; Horsfield, B. Resolving ambiguity in broadband waveguide permittivity measurements on moist materials. IEEE Trans. Instrum. Meas. 1998, 47, 390–392. [Google Scholar] [CrossRef]








| IPA | IPA50 | H2O | ||||
|---|---|---|---|---|---|---|
| Number of knob rotations | 12 | 12 | 6 | 9 | 2 | 2 |
| Length l | 4512 | 4512 | 2256 | 3384 | 752 | 752 |
| Uncertainty | 55 | 55 | 31 | 43 | 15 | 15 |
| Length MR | 4528 | 4531 | 2253 | 3383 | 747 | 749 |
| 16 | 19 | 3 | 1 | 5 | 3 | |
Disclaimer/Publisher’s Note: The statements, opinions and data contained in all publications are solely those of the individual author(s) and contributor(s) and not of MDPI and/or the editor(s). MDPI and/or the editor(s) disclaim responsibility for any injury to people or property resulting from any ideas, methods, instructions or products referred to in the content. |
© 2023 by the authors. Licensee MDPI, Basel, Switzerland. This article is an open access article distributed under the terms and conditions of the Creative Commons Attribution (CC BY) license (https://creativecommons.org/licenses/by/4.0/).
Share and Cite
Kalisiak, M.; Lewandowski, A.; Wiatr, W. Meniscus-Corrected Method for Broadband Liquid Permittivity Measurements with an Uncalibrated Vector Network Analyzer. Sensors 2023, 23, 5401. https://doi.org/10.3390/s23125401
Kalisiak M, Lewandowski A, Wiatr W. Meniscus-Corrected Method for Broadband Liquid Permittivity Measurements with an Uncalibrated Vector Network Analyzer. Sensors. 2023; 23(12):5401. https://doi.org/10.3390/s23125401
Chicago/Turabian StyleKalisiak, Michał, Arkadiusz Lewandowski, and Wojciech Wiatr. 2023. "Meniscus-Corrected Method for Broadband Liquid Permittivity Measurements with an Uncalibrated Vector Network Analyzer" Sensors 23, no. 12: 5401. https://doi.org/10.3390/s23125401
APA StyleKalisiak, M., Lewandowski, A., & Wiatr, W. (2023). Meniscus-Corrected Method for Broadband Liquid Permittivity Measurements with an Uncalibrated Vector Network Analyzer. Sensors, 23(12), 5401. https://doi.org/10.3390/s23125401

