Performance Analysis of Dual-Hop AF Relaying with Non-Linear/Linear Energy Harvesting
Abstract
:1. Introduction
Related Works
2. Methods
- Theoretical derivation of BEP expressions considering both linear and non-linear EH models is performed.
- Throughputs of the considered system for both linear and non-linear EH models are derived.
- Simulation and theoretical results of the considered system are provided for different system parameters, such as distance, power, and achievable rate.
3. System Model
Linear and Non-Linear EH Models
4. BEP Analysis
4.1. BEP Analysis of the Non-Linear EH Model
4.2. Linear EH Model
5. Throughput Analysis
5.1. Outage Probability for the Non-Linear EH Model
5.2. Outage Probability for the Linear EH Model
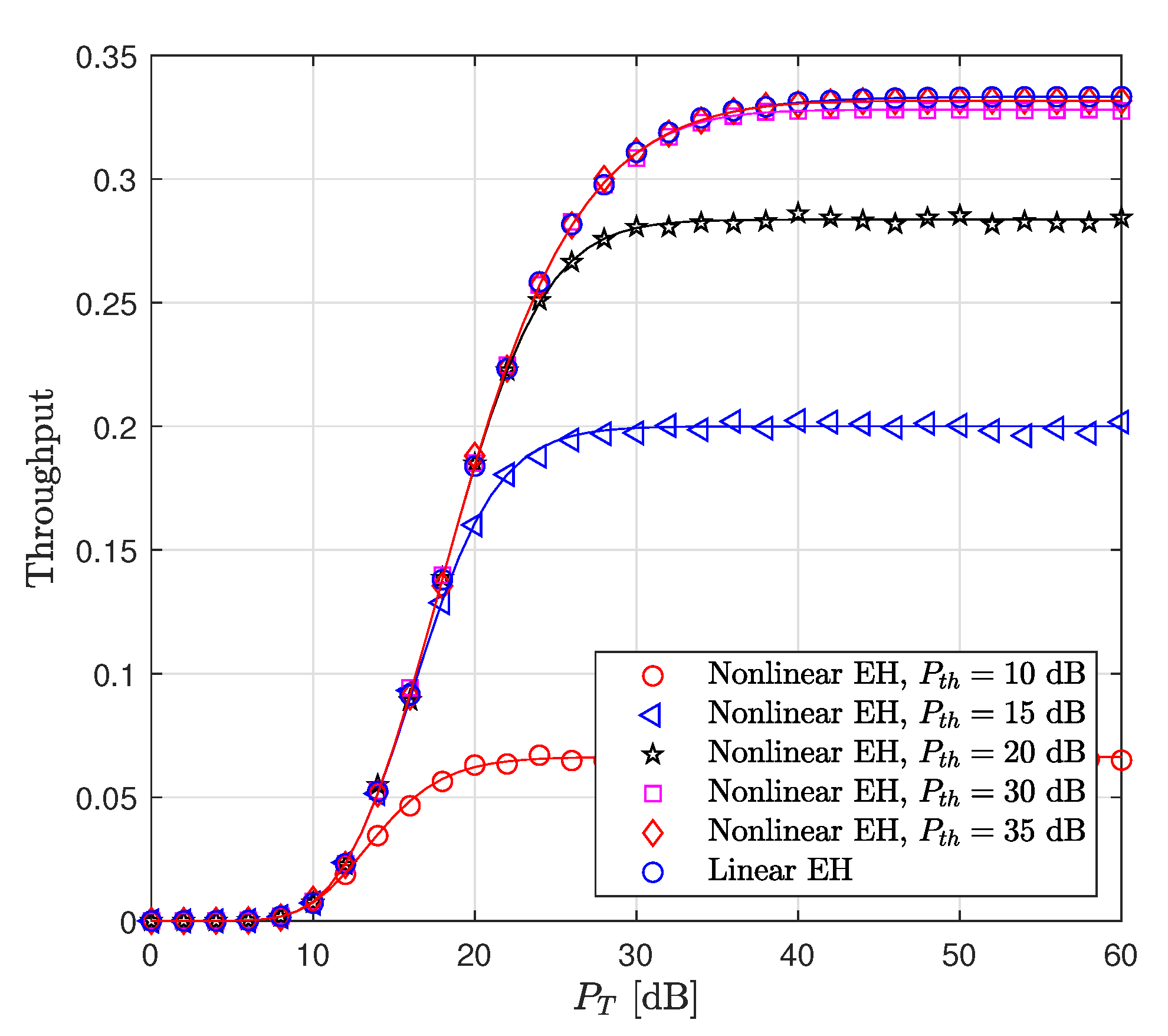
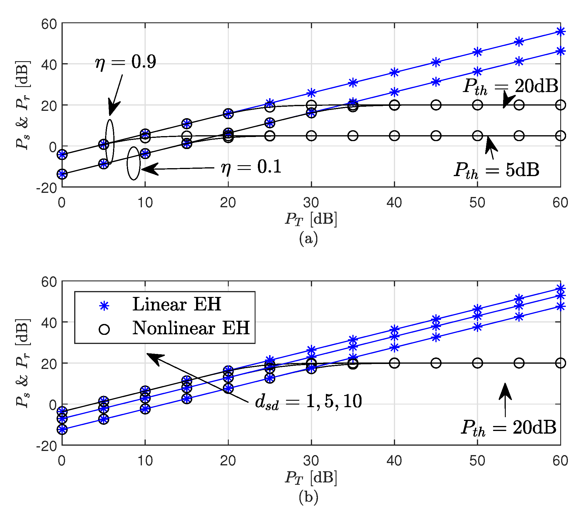
6. Results and Discussion
7. Conclusions
Author Contributions
Funding
Institutional Review Board Statement
Informed Consent Statement
Data Availability Statement
Conflicts of Interest
Abbreviations
| AF | Amplify-and-forward |
| AWGN | Additive white Gaussian noise |
| BEP | Bit error probability |
| BER | Bit error rate |
| CDF | Cumulative distribution function |
| CR | Cognitive radio |
| CSI | Channel state information |
| D | Destination |
| DF | Decode-and-forward |
| DH | Dual-hop |
| EH | Energy harvesting |
| ER | Energy receiver |
| FD | Full-duplex |
| IoT | Internet of Things |
| i.i.d | Independent and identically distributed |
| LoS | Line of sight |
| MIMO | Multiple-input multiple-output |
| NOMA | Non-orthogonal multiple access |
| OFDM | Orthogonal frequency-division multiplexing |
| PB | Power beacon |
| Probability distribution function | |
| PS | Power-splitting |
| PT | Primary transmitter |
| R | Relay |
| RF | Radio frequency |
| r.v | Random variables |
| S | Source |
| SEP | Symbol error probability |
| ST | Secondary transmitter |
| SWIPT | Simultaneous wireless information and power transfer |
| TS | Time-switching |
| TW | Two-way |
| UAV | Unmanned aerial vehicle |
| WP | Wireless powered |
| WPC | Wireless-powered communication. |
Appendix A. Calculation of A(w)
Appendix B. Calculation of Ps1
Appendix C. Calculation of A(z)
Appendix D. Calculation of Average Powers
References
- Ding, Z.; Krikidis, I.; Sharif, B.; Poor, H.V. Wireless Information and Power Transfer in Cooperative Networks with Spatially Random Relays. IEEE Trans. Wirel. Commun. 2014, 13, 4440–4453. [Google Scholar] [CrossRef] [Green Version]
- Nasir, A.A.; Zhou, X.; Durrani, S.; Kennedy, R.A. Relaying Protocols for Wireless Energy Harvesting and Information Processing. IEEE Trans. Wirel. Commun. 2013, 12, 3622–3636. [Google Scholar] [CrossRef] [Green Version]
- Varshney, L.R. Transporting information and energy simultaneously. In Proceedings of the 2008 IEEE International Symposium on Information Theory, Toronto, ON, Canada, 6–11 July 2008; pp. 1612–1616. [Google Scholar] [CrossRef] [Green Version]
- Babaei, M.; Aygölü, Ü.; Basar, E. BER Analysis of Dual-Hop Relaying With Energy Harvesting in Nakagami-m Fading Channel. IEEE Trans. Wirel. Commun. 2018, 17, 4352–4361. [Google Scholar] [CrossRef]
- Zheng, L.; Zhai, C. Two-hop cognitive DF relaying with wireless power transfer in time and power domains. EURASIP J. Wirel. Commun. Netw. 2021, 2021, 182. [Google Scholar] [CrossRef]
- Mahmood, N.H.; Böcker, S.; Moerman, I.; López, O.A.; Munari, A.; Mikhaylov, K.; Clazzer, F.; Bartz, H.; Park, O.S.; Mercier, E.; et al. Machine type communications: Key drivers and enablers towards the 6G era. EURASIP J. Wirel. Commun. Netw. 2021, 2021, 134. [Google Scholar] [CrossRef]
- Munir, D.; Shah, S.T.; Choi, K.W.; Lee, T.J.; Chung, M.Y. Performance analysis of wireless-powered cognitive radio networks with ambient backscatter. EURASIP J. Wirel. Commun. Netw. 2019, 2019, 45. [Google Scholar] [CrossRef]
- Zhang, J.; Pan, G. Outage Analysis of Wireless-Powered Relaying MIMO Systems with Non-Linear Energy Harvesters and Imperfect CSI. IEEE Access 2016, 4, 7046–7053. [Google Scholar] [CrossRef]
- Xu, X.; Özçelikkale, A.; McKelvey, T.; Viberg, M. Simultaneous information and power transfer under a non-linear RF energy harvesting model. In Proceedings of the 2017 IEEE International Conference on Communications Workshops (ICC Workshops), Paris, France, 21–25 May 2017; pp. 179–184. [Google Scholar] [CrossRef] [Green Version]
- Chen, Y.; Zhao, N.; Alouini, M. Wireless Energy Harvesting Using Signals From Multiple Fading Channels. IEEE Trans. Commun. 2017, 65, 5027–5039. [Google Scholar] [CrossRef] [Green Version]
- Dong, Y.; Hossain, M.J.; Cheng, J. Performance of Wireless Powered Amplify and Forward Relaying over Nakagami-m Fading Channels With Nonlinear Energy Harvester. IEEE Commun. Lett. 2016, 20, 672–675. [Google Scholar] [CrossRef]
- Chen, Y.; Sabnis, K.T.; Abd-Alhameed, R.A. New Formula for Conversion Efficiency of RF EH and Its Wireless Applications. IEEE Trans. Veh. Technol. 2016, 65, 9410–9414. [Google Scholar] [CrossRef] [Green Version]
- Boshkovska, E.; Ng, D.W.K.; Zlatanov, N.; Schober, R. Practical Non-Linear Energy Harvesting Model and Resource Allocation for SWIPT Systems. IEEE Commun. Lett. 2015, 19, 2082–2085. [Google Scholar] [CrossRef] [Green Version]
- Babaei, M.; Aygölü, Ü.; Durak-Ata, L. Performance of Selective Decode-and-Forward SWIPT Network in Nakagami-m Fading Channel. In Proceedings of the 2018 26th Telecommunications Forum (TELFOR), Belgrade, Serbia, 20–21 November 2018; pp. 1–4. [Google Scholar] [CrossRef]
- Wang, J.; Wang, G.; Li, B.; Yang, H.; Hu, Y.; Schmeink, A. Massive MIMO Two-Way Relaying Systems with SWIPT in IoT Networks. IEEE Internet Things J. 2021, 8, 15126–15139. [Google Scholar] [CrossRef]
- Sahu, H.K.; Padhan, A.K.; Sahu, P.R. Smart Devices Performance with SSK-BPSK Modulation and Energy Harvesting in Smart Cities. IEEE Commun. Lett. 2021, 25, 637–640. [Google Scholar] [CrossRef]
- Agrawal, K.; Prakriya, S.; Flanagan, M.F. Optimization of SWIPT with Battery-Assisted Energy Harvesting Full-Duplex Relays. IEEE Trans. Green Commun. Netw. 2021, 5, 243–260. [Google Scholar] [CrossRef]
- Lu, W.; Si, P.; Huang, G.; Han, H.; Qian, L.; Zhao, N.; Gong, Y. SWIPT Cooperative Spectrum Sharing for 6G-Enabled Cognitive IoT Network. IEEE Internet Things J. 2021, 8, 15070–15080. [Google Scholar] [CrossRef]
- Le, Q.N.; Yadav, A.; Nguyen, N.P.; Dobre, O.A.; Zhao, R. Full-Duplex Non-Orthogonal Multiple Access Cooperative Overlay Spectrum-Sharing Networks with SWIPT. IEEE Trans. Green Commun. Netw. 2021, 5, 322–334. [Google Scholar] [CrossRef]
- Li, X.; Wang, Q.; Liu, M.; Li, J.; Peng, H.; Piran, J.; Li, L. Cooperative Wireless-Powered NOMA Relaying for B5G IoT Networks with Hardware Impairments and Channel Estimation Errors. IEEE Internet Things J. 2021, 8, 5453–5467. [Google Scholar] [CrossRef]
- Ge, L.; Chen, G.; Zhang, Y.; Tang, J.; Wang, J.; Chambers, J.A. Performance Analysis for Multihop Cognitive Radio Networks With Energy Harvesting by Using Stochastic Geometry. IEEE Internet Things J. 2020, 7, 1154–1163. [Google Scholar] [CrossRef]
- Chen, G.; Xiao, P.; Kelly, J.R.; Li, B.; Tafazolli, R. Full-Duplex Wireless-Powered Relay in Two Way Cooperative Networks. IEEE Access 2017, 5, 1548–1558. [Google Scholar] [CrossRef] [Green Version]
- Zhang, Q.; Wang, Z.; Zhang, P.; Zhang, H.; Wan, X.; Fan, Z. Sum energy maximization for UAV-enabled wireless power transfer networks with non-linear energy harvesting model. In Proceedings of the 2020 IEEE 4th Information Technology, Networking, Electronic and Automation Control Conference (ITNEC), Chongqing, China, 12–14 June 2020; Volume 1, pp. 1417–1420. [Google Scholar] [CrossRef]
- Parvez, S.; Kumar, D.; Bhatia, V. On Performance of SWIPT Enabled Two-Way Relay System with Non-Linear Power Amplifier. In Proceedings of the 2020 National Conference on Communications (NCC), Kharagpur, India, 21–23 February 2020; pp. 1–6. [Google Scholar] [CrossRef]
- Huang, Y.; Duong, T.Q.; Wang, J.; Zhang, P. Performance of Multi-Antenna Wireless-Powered Communications with Nonlinear Energy Harvester. In Proceedings of the 2017 IEEE 86th Vehicular Technology Conference (VTC-Fall), Toronto, ON, Canada, 24–27 September 2017; pp. 1–6. [Google Scholar] [CrossRef]
- Feng, Y.; Wen, M.; Ji, F.; Leung, V.C.M. Performance Analysis for BDPSK Modulated SWIPT Cooperative Systems with Nonlinear Energy Harvesting Model. IEEE Access 2018, 6, 42373–42383. [Google Scholar] [CrossRef]
- Wang, K.; Li, Y.; Ye, Y.; Zhang, H. Dynamic Power Splitting Schemes for Non-Linear EH Relaying Networks: Perfect and Imperfect CSI. In Proceedings of the 2017 IEEE 86th Vehicular Technology Conference (VTC-Fall), Toronto, ON, Canada, 24–27 September 2017; pp. 1–5. [Google Scholar] [CrossRef]
- Xu, K.; Shen, Z.; Zhang, M.; Wang, Y.; Xia, X.; Xie, W.; Zhang, D. Beam-Domain SWIPT for mMIMO System With Nonlinear Energy Harvesting Legitimate Terminals and a Non-Cooperative Terminal. IEEE Trans. Green Commun. Netw. 2019, 3, 703–720. [Google Scholar] [CrossRef]
- Wei, Z.; Sun, S.; Zhu, X.; In Kim, D.; Ng, D.W.K. Resource Allocation for Wireless-Powered Full-Duplex Relaying Systems with Nonlinear Energy Harvesting Efficiency. IEEE Trans. Veh. Technol. 2019, 68, 12079–12093. [Google Scholar] [CrossRef]
- Babaei, M.; Aygölü, Ü.; Başaran, M.; Durak-Ata, L. BER Performance of Full-Duplex Cognitive Radio Network with Nonlinear Energy Harvesting. IEEE Trans. Green Commun. Netw. 2020, 4, 448–460. [Google Scholar] [CrossRef]
- Hakimi, A.; Mohammadi, M.; Mobini, Z.; Ding, Z. Full-Duplex Non-Orthogonal Multiple Access Cooperative Spectrum-Sharing Networks with Non-Linear Energy Harvesting. IEEE Trans. Veh. Technol. 2020, 69, 10925–10936. [Google Scholar] [CrossRef]
- Liu, Y.; Ye, Y.; Ding, H.; Gao, F.; Yang, H. Outage Performance Analysis for SWIPT-Based Incremental Cooperative NOMA Networks with Non-Linear Harvester. IEEE Commun. Lett. 2020, 24, 287–291. [Google Scholar] [CrossRef]
- Solanki, S.; Upadhyay, P.K.; da Costa, D.B.; Ding, H.; Moualeu, J.M. Non-Linear Energy Harvesting Based Cooperative Spectrum Sharing Networks. In Proceedings of the 2019 16th International Symposium on Wireless Communication Systems (ISWCS), Oulu, Finland, 27–30 August 2019; pp. 566–570. [Google Scholar] [CrossRef]
- Zhang, Y.; Jiang, R.; Gao, S.; Xiong, K.; Zhou, L.; Liu, T. Outage Performance of Two-hop Networks with Multiple SWIPT Relays under Nonlinear EH Model. In Proceedings of the 2018 14th IEEE International Conference on Signal Processing (ICSP), Beijing, China, 12–16 August 2018; pp. 752–757. [Google Scholar] [CrossRef]
- Nguyen, T.L.N.; Shin, Y. Outage Probability Analysis for SWIPT Systems with Nonlinear Energy Harvesting Model. In Proceedings of the 2019 International Conference on Information and Communication Technology Convergence (ICTC), Jeju, Korea, 16–18 October 2019; pp. 196–199. [Google Scholar] [CrossRef]
- Ma, G.; Xu, J.; Zeng, Y.; Moghadam, M.R.V. A Generic Receiver Architecture for MIMO Wireless Power Transfer with Nonlinear Energy Harvesting. IEEE Signal Process. Lett. 2019, 26, 312–316. [Google Scholar] [CrossRef] [Green Version]
- Kang, J.; Chun, C.; Kim, I.; Kim, D.I. Dynamic Power Splitting for SWIPT With Nonlinear Energy Harvesting in Ergodic Fading Channel. IEEE Internet Things J. 2020, 7, 5648–5665. [Google Scholar] [CrossRef] [Green Version]
- Nguyen, T.T.; Nguyen, V.D.; Pham, Q.V.; Lee, J.H.; Kim, Y.H. Resource Allocation for AF Relaying Wireless-Powered Networks with Nonlinear Energy Harvester. IEEE Commun. Lett. 2021, 25, 229–233. [Google Scholar] [CrossRef]
- Yang, H.; Ye, Y.; Chu, X.; Dong, M. Resource and Power Allocation in SWIPT-Enabled Device-to-Device Communications Based on a Nonlinear Energy Harvesting Model. IEEE Internet Things J. 2020, 7, 10813–10825. [Google Scholar] [CrossRef]
- Shi, L.; Ye, Y.; Chu, X.; Lu, G. Computation Bits Maximization in a Backscatter Assisted Wirelessly Powered MEC Network. IEEE Commun. Lett. 2021, 25, 528–532. [Google Scholar] [CrossRef]
- Illi, E.; El Bouanani, F.; Sofotasios, P.C.; Muhaidat, S.; da Costa, D.B.; Ayoub, F.; Al-Fuqaha, A. Analysis of Asymmetric Dual-Hop Energy Harvesting-Based Wireless Communication Systems in Mixed Fading Environments. IEEE Trans. Green Commun. Netw. 2021, 5, 261–277. [Google Scholar] [CrossRef]
- Zhu, Z.; Wang, N.; Hao, W.; Wang, Z.; Lee, I. Robust Beamforming Designs in Secure MIMO SWIPT IoT Networks with a Non-Linear Channel Model. IEEE Internet Things J. 2021, 1–6. [Google Scholar] [CrossRef]
- Raut, P.; Singh, K.; Li, C.P.; Alouini, M.S.; Huang, W.J. Nonlinear EH-Based UAV-Assisted FD IoT Networks: Infinite and Finite Blocklength Analysis. IEEE Internet Things J. 2021, 8, 17655–17668. [Google Scholar] [CrossRef]
- Wang, S.; Xia, M.; Huang, K.; Wu, Y.C. Wirelessly Powered Two-Way Communication With Nonlinear Energy Harvesting Model: Rate Regions Under Fixed and Mobile Relay. IEEE Trans. Wirel. Commun. 2017, 16, 8190–8204. [Google Scholar] [CrossRef]
- Kang, J.; Kim, I.; Kim, D.I. Joint Tx Power Allocation and Rx Power Splitting for SWIPT System With Multiple Nonlinear Energy Harvesting Circuits. IEEE Wirel. Commun. Lett. 2019, 8, 53–56. [Google Scholar] [CrossRef] [Green Version]
- Li, Z.; Chen, H.; Li, Y.; Vucetic, B. Wireless Energy Harvesting Cooperative Communications with Direct Link and Energy Accumulation. arXiv 2016, arXiv:1608.04165. [Google Scholar]
- Zhong, C.; Chen, X.; Zhang, Z.; Karagiannidis, G.K. Wireless-Powered Communications: Performance Analysis and Optimization. IEEE Trans. Commun. 2015, 63, 5178–5190. [Google Scholar] [CrossRef] [Green Version]
- Gu, Y.; Chen, H.; Li, Y.; Liang, Y.; Vucetic, B. Distributed Multi-Relay Selection in Accumulate-Then-Forward Energy Harvesting Relay Networks. IEEE Trans. Green Commun. Netw. 2018, 2, 74–86. [Google Scholar] [CrossRef] [Green Version]
- Zhang, R.; Chen, H.; Yeoh, P.L.; Li, Y.; Vucetic, B. Full-duplex cooperative cognitive radio networks with wireless energy harvesting. In Proceedings of the 2017 IEEE International Conference on Communications (ICC), Paris, France, 21–25 May 2017; pp. 1–6. [Google Scholar] [CrossRef] [Green Version]
- Gradshteyn, I.S.; Ryzhik, I.M.; Romer, R.H. Tables of Integrals, Series, and Products; Academic Press: Cambridge, MA, USA, 2014. [Google Scholar]
- Abramowitz, M. Handbook of Mathematical Functions, with Formulas, Graphs, and Mathematical Tables; Dover Publications, Inc.: Mineola, NY, USA, 1974. [Google Scholar]
- Wolfram. The Wolfram Functions Site. 2001. Available online: http://functions.wolfram.com (accessed on 25 April 2022).
- Le, T.; Mayaram, K.; Fiez, T. Efficient Far-Field Radio Frequency Energy Harvesting for Passively Powered Sensor Networks. IEEE J. Solid-State Circuits 2008, 43, 1287–1302. [Google Scholar] [CrossRef]
- Papoulis, A.; Pillai, S. Probability, Random Variables, and Stochastic Processes; McGraw-Hill: Boston, MA, USA, 2002. [Google Scholar]
- Simon, M.; Alouini, M. Digital Communication over Fading Channels; Wiley McGraw-Hill: New York, NY, USA, 2005. [Google Scholar]
- Adamchik, V.S.; Marichev, O.I. The Algorithm for Calculating Integrals of Hypergeometric Type Functions and Its Realization in REDUCE System. In Proceedings of the International Symposium on Symbolic and Algebraic Computation (ISSAC), Tokyo, Japan, 20–24 August 1990; pp. 212–224. [Google Scholar] [CrossRef]
- Meyr, H.; Moeneclaey, M.; Fechtel, S. Digital Communication Receivers: Synchronization, Channel Estimation, and Signal Processing; John Wiley & Sons, Inc.: New York, NY, USA, 1997. [Google Scholar]











| Notation | Description |
|---|---|
| Upper incomplete Gamma function ([50], 8.350) | |
| Cumulative distribution function (CDF) | |
| Probability distribution function (PDF) | |
| Gamma function ([50], 8.310). | |
| Lower incomplete Gamma function ([50], 8.350) | |
| Pochhammer’s symbol ([51], 6.1-22) | |
| Kummer Confluent Hyper-geometric function ([52], 07.20.07.0001.01) | |
| Meijer-G function ([50], 9.301) | |
| Modified Bessel function of the second kind with order x [50] |
| Parameters | Description |
|---|---|
| PB transmit power | |
| Energy conversion coefficient | |
| Energy conversion coefficient | |
| Harvested power at node S | |
| Harvested power at node R | |
| x | Transmitted signal from S with |
| Modulation specific constants [4] | |
| Channel fading gains, | |
| Channel fading gains, | |
| Threshold (saturation) power at source and relay nodes | |
| Path loss exponent | |
| Pathloss [1,4] | |
| S→R link distance | |
| R→D link distance | |
| Distances from PB to S | |
| Distances from PB to R | |
| Vertical distance from PB to node S | |
| Horizontal distance from S to PB | |
| Noise power spectral density | |
| Number of bits per symbol | |
| M | Modulation order |
Publisher’s Note: MDPI stays neutral with regard to jurisdictional claims in published maps and institutional affiliations. |
© 2022 by the authors. Licensee MDPI, Basel, Switzerland. This article is an open access article distributed under the terms and conditions of the Creative Commons Attribution (CC BY) license (https://creativecommons.org/licenses/by/4.0/).
Share and Cite
Babaei, M.; Durak-Ata, L.; Aygölü, Ü. Performance Analysis of Dual-Hop AF Relaying with Non-Linear/Linear Energy Harvesting. Sensors 2022, 22, 5987. https://doi.org/10.3390/s22165987
Babaei M, Durak-Ata L, Aygölü Ü. Performance Analysis of Dual-Hop AF Relaying with Non-Linear/Linear Energy Harvesting. Sensors. 2022; 22(16):5987. https://doi.org/10.3390/s22165987
Chicago/Turabian StyleBabaei, Mohammadreza, Lütfiye Durak-Ata, and Ümit Aygölü. 2022. "Performance Analysis of Dual-Hop AF Relaying with Non-Linear/Linear Energy Harvesting" Sensors 22, no. 16: 5987. https://doi.org/10.3390/s22165987
APA StyleBabaei, M., Durak-Ata, L., & Aygölü, Ü. (2022). Performance Analysis of Dual-Hop AF Relaying with Non-Linear/Linear Energy Harvesting. Sensors, 22(16), 5987. https://doi.org/10.3390/s22165987

