Optimizing the Empirical Parameters of the Data-Driven Algorithm for SIF Retrieval for SIFIS Onboard TECIS-1 Satellite
Abstract
1. Introduction
2. Materials and Methods
2.1. Simulation Datasets
2.2. The Data-Driven SIF Retrieval Algorithm
3. Results
3.1. Influence of Empirical Parameters on SIF Retrievals
3.1.1. Influences of Fitting Window and SNR on SIF Retrievals
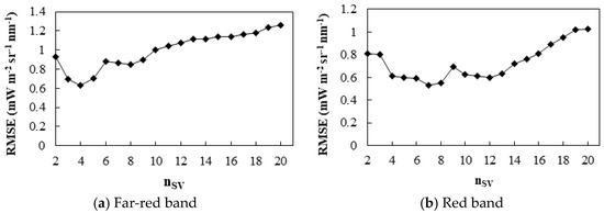
3.1.2. Influence of Polynomial Order and the Number of Feature Vectors on SIF Retrievals
3.2. End-to-end SIF Retrievals of the Optimal Empirical Parameters
4. Discussion
5. Conclusions
Author Contributions
Funding
Data Availability Statement
Conflicts of Interest
References
- Sara Tokhi, A.; Ryozo, N.; Shusuke, M.; Tofael, A. Prediction of grape yields from time-series vegetation indices using satellite remote sensing and a machine-learning approach. Remote Sens. Appl. Soc. Environ. 2021, 22, 100485. [Google Scholar] [CrossRef]
- Chung-Te, C.; Pei, J.; Hsiang-Hua, W.; Teng-Chiu, L. Resilience of a subtropical rainforest to annual typhoon disturbance: Lessons from 25-year data of leaf area index. For. Ecol. Manag. 2020, 470-471, 118210. [Google Scholar] [CrossRef]
- Zhang, L.; Shao, Z.; Liu, J.; Cheng, Q. Deep Learning Based Retrieval of Forest Aboveground Biomass from Combined LiDAR and Landsat 8 Data. Remote Sens. 2019, 11, 1459. [Google Scholar] [CrossRef]
- Mohammed, G.H.; Colombo, R.; Middleton, E.M.; Rascher, U.; van der Tol, C.; Nedbal, L.; Goulas, Y.; Pérez-Priego, O.; Damm, A.; Meroni, M.; et al. Remote sensing of solar-induced chlorophyll fluorescence (SIF) in vegetation: 50 years of progress. Remote Sens. Environ. 2019, 231, 111–177. [Google Scholar] [CrossRef]
- Joiner, J.; Yoshida, Y.; Gu, L.; Marchesini, L.B.; Vasilkov, A.P.; Schaefer, K. The seasonal cycle of satellite chlorophyll fluorescence observations and its relationship to vegetation phenology and ecosystem atmosphere carbon exchange. Remote Sens. Environ. 2014, 152, 375–391. [Google Scholar] [CrossRef]
- Sun, Y.; Frankenberg, C.; Wood, J.D.; Schimel, D.S.; Jung, M.; Guanter, L.; Drewry, D.T.; Verma, M.; Porcar-Castell, A.; Griffis, T.J. OCO-2 advances photosynthesis observation from space via solar-induced chlorophyll fluorescence. Science 2017, 358, eaam5747. [Google Scholar] [CrossRef] [PubMed]
- Walther, S.; Voigt, M.; Thum, T.; Gonsamo, A.; Zhang, Y.; Köhler, P.; Jung, M.; Varlagin, A.; Guanter, L. Satellite chlorophyll fluorescence measurements reveal large-scale decoupling of photosynthesis and greenness dynamics in boreal evergreen forests. Glob. Chang. Biol. 2016, 22. [Google Scholar] [CrossRef] [PubMed]
- Zhang, Y.; Xiao, X.; Zhang, Y.; Wolf, S.; Zhou, S.; Joiner, J.; Guanter, L.; Verma, M.; Sun, Y.; Yang, X. On the relationship between sub-daily instantaneous and daily total gross primary production: Implications for interpreting satellite-based SIF retrievals. Remote Sens. Environ. New York 2018, 276–289. [Google Scholar] [CrossRef]
- Zhang, Y.; Guanter, L.; Joiner, J.; Lian, S.; Guan, K. Spatially-explicit monitoring of crop photosynthetic capacity through the use of space-based chlorophyll fluorescence data. Remote Sens. Environ. 2018, 210, 362–374. [Google Scholar] [CrossRef]
- Köhler, P.; Guanter, L.; Kobayashi, H.; Walther, S.; Wei, Y. Assessing the potential of sun-induced fluorescence and the canopy scattering coefficient to track large-scale vegetation dynamics in Amazon forests. Remote Sens. Environ. 2017, 204, 769–785. [Google Scholar] [CrossRef]
- Guanter, L.; Frankenberg, C.; Dudhia, A.; Lewis, P.E.; Gómez-Dans, J.; Kuze, A.; Suto, H.; Grainger, R.G. Retrieval and global assessment of terrestrial chlorophyll fluorescence from GOSAT space measurements. Remote Sens. Environ. 2012, 121, 236–251. [Google Scholar] [CrossRef]
- Joiner, J.; Guanter, L.; Lindstrot, R.; Voigt, M.; Vasilkov, A.P.; Middleton, E.M.; Huemmrich, K.F.; Yoshida, Y.; Frankenberg, C. Global monitoring of terrestrial chlorophyll fluorescence from moderate-spectral-resolution near-infrared satellite measurements: Methodology, simulations, and application to GOME-2. Atmos. Meas. Tech. 2013, 6, 2803–2823. [Google Scholar] [CrossRef]
- Köhler, P.; Guanter, L.; Joiner, J. A linear method for the retrieval of sun-induced chlorophyll fluorescence from GOME-2 and SCIAMACHY data. Atmos. Meas. Tech. 2015, 8, 2589–2608. [Google Scholar] [CrossRef]
- Guanter, L.; Aben, I.; Tol, P.; Krijger, J.M.; Hollstein, A.; Köhler, P.; Damm, A.; Joiner, J.; Frankenberg, C.; Landgraf, J. Potential of the TROPOspheric Monitoring Instrument (TROPOMI) onboard the Sentinel-5 Precursor for the monitoring of terrestrial chlorophyll fluorescence. Atmos. Meas. Tech. 2015, 8, 1337–1352. [Google Scholar] [CrossRef]
- Frankenberg, C.; O’Dell, C.; Berry, J.; Guanter, L.; Joiner, J.; Köhler, P.; Pollock, R.; Taylor, T.E. Prospects for chlorophyll fluorescence remote sensing from the Orbiting Carbon Observatory-2. Remote Sens. Environ. 2014, 147, 1–12. [Google Scholar] [CrossRef]
- Taylor, T.E.; Eldering, A.; Merrelli, A.; Kiel, M.; Yu, S. OCO-3 early mission operations and initial (vEarly) XCO2 and SIF retrievals. Remote Sens. Environ. 2020, 251, 112032. [Google Scholar] [CrossRef]
- Du, S.; Liu, L.; Liu, X.; Zhang, X.; Zhang, X.; Bi, Y.; Zhang, L. Retrieval of global terrestrial solar-induced chlorophyll fluorescence from TanSat satellite. Sci. Bull. 2018, 63, 1502–1512. [Google Scholar] [CrossRef]
- Du, S.; Liu, L.; Liu, X.; Zhang, X.; Gao, X.; Wang, W. The Solar-Induced Chlorophyll Fluorescence Imaging Spectrometer (SIFIS) Onboard the First Terrestrial Ecosystem Carbon Inventory Satellite (TECIS-1): Specifications and Prospects. Sensors 2020, 20, 815. [Google Scholar] [CrossRef]
- Guanter, L.; Rossini, M.; Colombo, R.; Meroni, M.; Frankenberg, C.; Lee, J.-E.; Joiner, J. Using field spectroscopy to assess the potential of statistical approaches for the retrieval of sun-induced chlorophyll fluorescence from ground and space. Remote Sens. Environ. 2013, 133, 52–61. [Google Scholar] [CrossRef]
- Joiner, J.; Yoshida, Y.; Guanter, L.; Middleton, E.M. New methods for the retrieval of chlorophyll red fluorescence from hyperspectral satellite instruments: Simulations and application to GOME-2 and SCIAMACHY. Atmos. Meas. Tech. 2016, 9, 3939–3967. [Google Scholar] [CrossRef]
- Wang, S.; Huang, C.; Zhang, L. Designment and Assessment of Far-Red Solar-Induced Chlorophyll Fluorescence Retrieval Method for the Terrestrial Ecosystem Carbon Inventory Satellite. Remote Sens. Technol. Appl. 2019, 3, 476–487. [Google Scholar]
- Guanter, L.; Alonso, L.; Gómez-Chova, L.; Meroni, M.; Preusker, R.; Fischer, J.; Moreno, J. Developments for vegetation fluorescence retrieval from spaceborne high-resolution spectrometry in the O2-A and O2-B absorption bands. J. Geophys. Res. 2010. [Google Scholar] [CrossRef]
- Liu, X.; Liu, L. Assessing Band Sensitivity to Atmospheric Radiation Transfer for Space-Based Retrieval of Solar-Induced Chlorophyll Fluorescence. Remote Sens. 2014, 6, 10656–10675. [Google Scholar] [CrossRef]
- Tol, V.D.C.; Verhoef, W.; Timmermans, J.; Verhoef, A.; Su, Z. An integrated model of soil-canopy spectral radiances, photosynthesis, fluorescence, temperature and energy balance. Biogeosciences 2009, 6, 3109–3129. [Google Scholar] [CrossRef]
- Clark, R.; Swayze, G. Automated Spectral Analysis: Mapping Minerals, Amorphous Materials, Environmental Materials, Vegetation, Water, Ice and Snow, and Other Materials: The USGS Tricorder Algorithm. Lunar Planet. Sci. Conf. 1995, 26, 255. [Google Scholar]
- Berk, A.; Bernstein, L.S.; Anderson, G.P.; Acharya, P.K.; Robertson, D.C.; Chetwynd, J.H.; Adler-Golden, S.M. MODTRAN Cloud and Multiple Scattering Upgrades with Application to AVIRIS. Remote Sens. Environ. 1998, 65, 367–375. [Google Scholar] [CrossRef]
- Berk, A.; Acharya, P.K.; Bernstein, L.S.; Anderson, G.P.; Chetwynd, J.H.; Hoke, M.L. Reformulation of the MODTRAN band model for higher spectral resolution. In Proceedings of the AeroSense 2000, Orlando, FL, USA, 24–26 April 2000; Volume 4049, pp. 190–198. [Google Scholar] [CrossRef]
- Ji, M.; Tang, B.; Li, Z. Review of Solar-induced Chlorophyll Fluorescence Retrieval Methodsfrom Satellite Data. Remote Sensing Technol. Appl. 2019, 3, 455–466. [Google Scholar]
- Parazoo, N.C.; Frankenberg, C.; Köhler, P.; Joiner, J.; Yoshida, Y.; Magney, T.; Sun, Y.; Yadav, V. Towards a Harmonized Long-term Spaceborne Record of Far-red Solar-induced Fluorescence. J. Geophys. Res. Biogeosci. 2019, 124. [Google Scholar] [CrossRef]
- Damm, A.; Erler, A.; Hillen, W.; Meroni, M.; Schaepman, M.E.; Verhoef, W.; Rascher, U. Modeling the impact of spectral sensor configurations on the FLD retrieval accuracy of sun-induced chlorophyll fluorescence. Remote Sens. Environ. 2011, 115, 1882–1892. [Google Scholar] [CrossRef]
- Wolanin, A.; Rozanov, V.V.; Dinter, T.; No?L, S.; Vountas, M.; Burrows, J.P.; Bracher, A. Global retrieval of marine and terrestrial chlorophyll fluorescence at its red peak using hyperspectral top of atmosphere radiance measurements: Feasibility study and first results. Remote Sens. Environ. 2015, 166, 243–261. [Google Scholar] [CrossRef]
- Kohler, P.; Guanter, L.; Frankenberg, C. Simplified Physically Based Retrieval of Sun-Induced Chlorophyll Fluorescence From GOSAT Data. IEEE Geosci. Remote Sens. Lett. 2015, 12, 1446–1450. [Google Scholar] [CrossRef]
- Drusch, M.; Moreno, J.; Del Bello, U. The FLuorescence EXplorer Mission Concept—ESA’s Earth Explorer 8. IEEE Trans. Geosci. Remote Sens. 2017, 55, 1273–1284. [Google Scholar] [CrossRef]
- Zoogman, P.; Liu, X.; Suleiman, R.M. Tropospheric emissions: Monitoring of pollution (TEMPO)—ScienceDirect. J. Quant. Spectrosc. Radiat. Transf. 2017, 186, 17–39. [Google Scholar] [CrossRef]











| Parameter | Spectral Resolution (nm) | Sampling Interval (nm) | Spectral Range (nm) | Signal-to-Noise Ratio |
|---|---|---|---|---|
| Value | 0.3 | 0.1 | 670–780 | 322 * |
| Parameters of MODTRAN5 | Value |
| Atmospheric temperature profile | middle latitude summer/winter |
| Total column water vapor (g cm−2) | 0.5, 1.5, 2.5, 4 |
| View zenith angle (degree) | 0, 16 |
| Final altitude (km) | 0.01, 0.05, 1, 2 |
| Aerosol optical thickness at 550 nm (km) | 0.05, 0.12, 0.2, 0.3, 0.4 |
| Solar zenith angle (degree) | 15, 30, 45, 70 |
| Parameters of SCOPE | Value |
| Leaf area index (LAI) | 0.5, 1, 2, 3, 4, 5, 7 |
| Fluorescence quantum efficiency (fqe) | 0.01, 0.02, 0.04 |
| Chlorophyll content (Cab) (μg cm−2) | 20, 30, 40, 50, 60, 80 |
| Exp. | w1 | w2 | np | nSV | RMSE * | bias * | r | slope | Intercept * |
|---|---|---|---|---|---|---|---|---|---|
| 1 | 755 | 778 | 2 | 7 | 1.18 | −0.34 | 0.77 | 0.87 | −0.03 |
| 2 | 747 | 780 | 4 | 7 | 0.86 | 0.01 | 0.87 | 0.99 | 0.03 |
| 3 | 724 | 747 | 2 | 10 | 0.80 | 0.33 | 0.91 | 1.01 | 0.29 |
| 4 | 715 | 748 | 3 | 9 | 0.69 | 0.14 | 0.93 | 0.95 | 0.25 |
| 5 | 720 | 758 | 3 | 11 | 0.61 | 0.24 | 0.96 | 0.98 | 0.29 |
| 6 | 735 | 758 | 2 | 4 | 0.63 | −0.03 | 0.93 | 1.00 | −0.01 |
| 7 | 735 | 758 | 4 | 4 | 0.78 | 0.25 | 0.91 | 1.04 | 0.16 |
| 8 | 735 | 758 | 2 | 15 | 0.84 | −0.01 | 0.88 | 1.03 | −0.07 |
| 9 | 735 | 758 | 2 | 20 | 0.92 | −0.01 | 0.87 | 1.03 | −0.09 |
| 10 | 682 | 697 | 2 | 5 | 0.60 | 0.19 | 0.57 | 1.24 | 0.06 |
| 11 | 682 | 697 | 2 | 7 | 0.53 | 0.11 | 0.60 | 1.08 | −0.14 |
| 12 | 682 | 697 | 2 | 10 | 0.62 | 0.26 | 0.53 | 1.10 | 0.20 |
| 13 | 682 | 697 | 5 | 4 | 0.53 | 0.01 | 0.57 | 1.13 | −0.03 |
| 14 | 682 | 697 | 1 | 15 | 0.56 | −0.18 | 0.51 | 0.98 | −0.17 |
| Parameter | Description | Range | Step |
|---|---|---|---|
| λ1 (nm) | Starting wavelength of far-red fitting window | [715,745] | 5 |
| λ2 (nm) | Ending wavelength of red fitting window | [685,697] | 2 |
| np | Polynomial order | [1,5] | 1 |
| nSV | Number of feature vectors | [2,20] | 1 |
| μh1 (nm) | The central wavelength of hf at the far-red band | [735,745] | 1 |
| σh1 (nm) | The standard deviation of hf at the far-red band | [20,40] | 1 |
| μh2 (nm) | The central wavelength of hf at the red band | [683,693] | 1 |
| σh2 (nm) | The standard deviation of hf at the red band | [9,11] | 0.5 |
Publisher’s Note: MDPI stays neutral with regard to jurisdictional claims in published maps and institutional affiliations. |
© 2021 by the authors. Licensee MDPI, Basel, Switzerland. This article is an open access article distributed under the terms and conditions of the Creative Commons Attribution (CC BY) license (https://creativecommons.org/licenses/by/4.0/).
Share and Cite
Zou, C.; Du, S.; Liu, X.; Liu, L.; Wang, Y.; Li, Z. Optimizing the Empirical Parameters of the Data-Driven Algorithm for SIF Retrieval for SIFIS Onboard TECIS-1 Satellite. Sensors 2021, 21, 3482. https://doi.org/10.3390/s21103482
Zou C, Du S, Liu X, Liu L, Wang Y, Li Z. Optimizing the Empirical Parameters of the Data-Driven Algorithm for SIF Retrieval for SIFIS Onboard TECIS-1 Satellite. Sensors. 2021; 21(10):3482. https://doi.org/10.3390/s21103482
Chicago/Turabian StyleZou, Chu, Shanshan Du, Xinjie Liu, Liangyun Liu, Yuyang Wang, and Zhen Li. 2021. "Optimizing the Empirical Parameters of the Data-Driven Algorithm for SIF Retrieval for SIFIS Onboard TECIS-1 Satellite" Sensors 21, no. 10: 3482. https://doi.org/10.3390/s21103482
APA StyleZou, C., Du, S., Liu, X., Liu, L., Wang, Y., & Li, Z. (2021). Optimizing the Empirical Parameters of the Data-Driven Algorithm for SIF Retrieval for SIFIS Onboard TECIS-1 Satellite. Sensors, 21(10), 3482. https://doi.org/10.3390/s21103482

