Best Water Vapor Information Layer of Himawari-8-Based Water Vapor Bands over East Asia
Abstract
1. Introduction
2. Model and Data
3. Results and Discussion
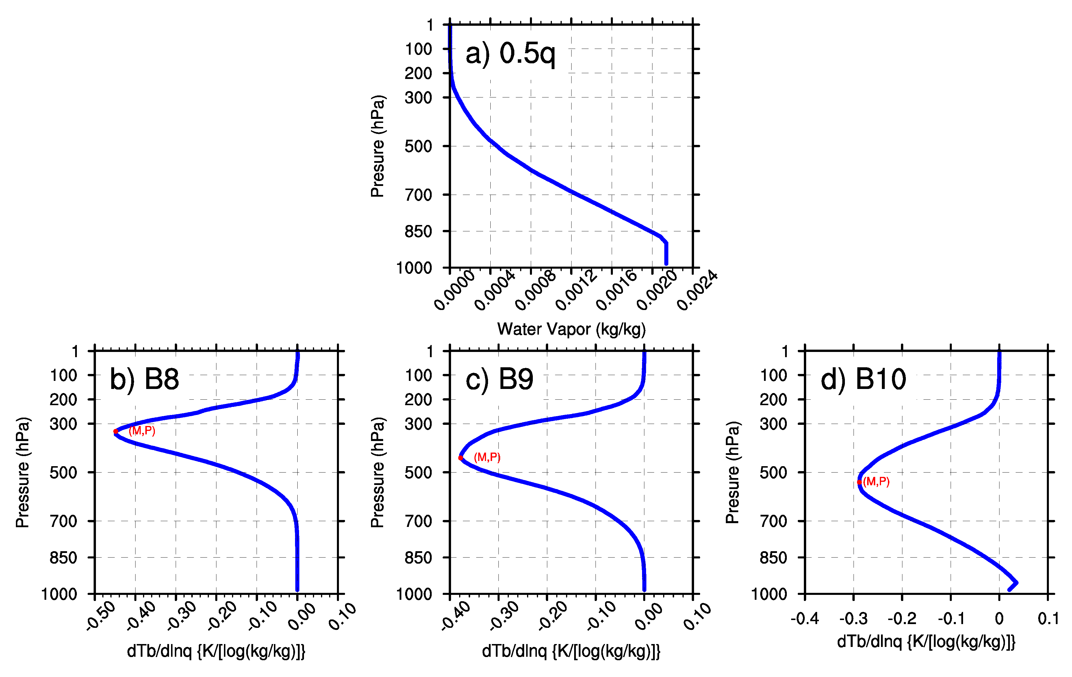
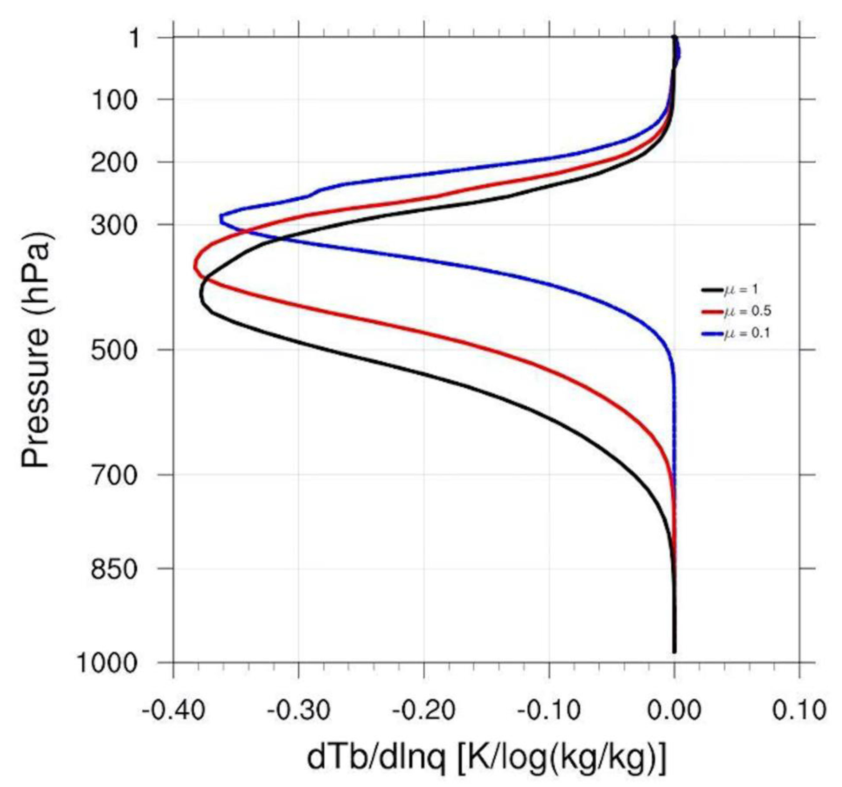
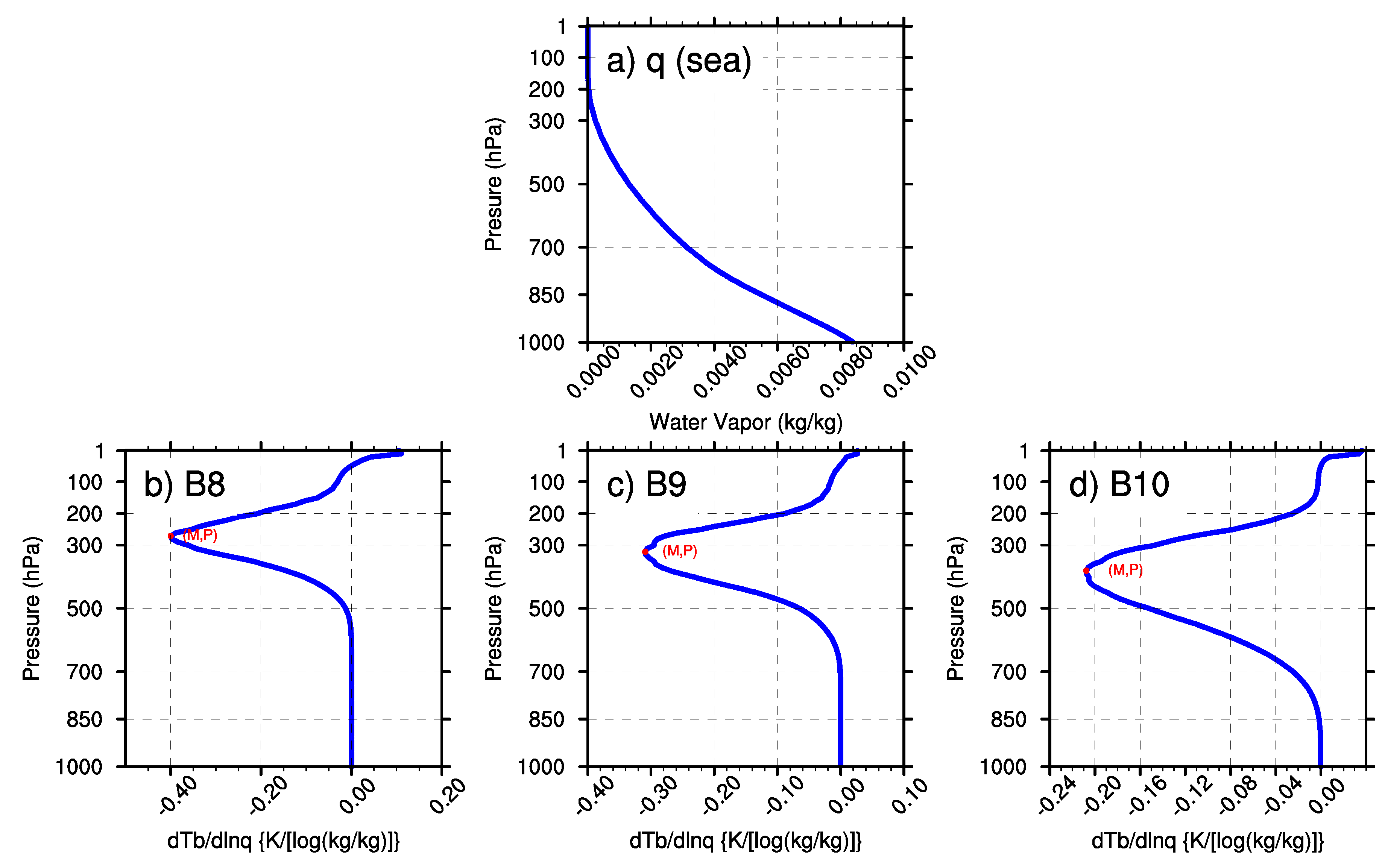
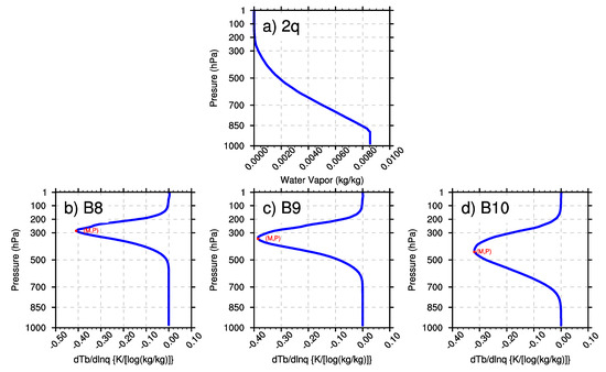
3.1. Impact Factors on BWIL
3.2. Seasonal Characteristics of Himawari-8 BWIL
3.3. Land-Sea Variation of BWIL
3.4. The Assessment of ERA-interim
4. Conclusions and Future Work
- (1)
- The height of BWIL descends from Band 8 to Band 10 because of the different absorption effects of different WV bands. Furthermore, P and |M| are influenced by the water vapor profile and satellite zenith angle, yet the surface IR emissivity hardly affects the two parameters.
- (2)
- The height of BWIL rises from winter to summer and falls from summer to autumn due to moisture transport by monsoon. Furthermore, with more water vapor, the BWIL over the sea area is higher than that over the land area.
- (3)
- The ERA-interim water vapor profile has different performances in different pressure layers. In this study, for July 2016, ERA-interim performs well at 320 ~ 260 hPa according to the assessment of Band 9. However, ERA-interim tends to underestimate the water vapor content at 280~240 hPa and overestimate moisture at 394~328 hPa.
Author Contributions
Funding
Acknowledgments
Conflicts of Interest
References
- Held, I.M.; Soden, B.J. Water Vapor Feedback and Global Warming. Annu. Rev. Energy Environ. 2000, 25, 441–475. [Google Scholar] [CrossRef]
- Pierrehumbert, T.R. The hydrologic cycle in deep-time climate problems. Nature 2002, 419, 191–198. [Google Scholar] [CrossRef] [PubMed]
- Trenberth, K.E.; Fasullo, J.T.; Kiehl, J. Earth’s Global Energy Budget. Bull. Am. Meteorol. Soc. 2009, 90, 311–323. [Google Scholar] [CrossRef]
- Soden, B.J.; Held, I.M. An Assessment of Climate Feedbacks in Coupled Ocean–Atmosphere Models. J. Clim. 2006, 19, 3354–3360. [Google Scholar] [CrossRef]
- Schmetz, J.; Klaes, D.; König, M.; Holmlund, K. Monitoring weather and climate with the Meteosat and Metop satellites. Revista de Teledetección 2007, 27, 5–16. [Google Scholar]
- Morel, P.; Desbois, M.; Szejwach, G. A new insight into the troposphere with water vapor channel of MeteoSatt. Bull. Am. Meteorol. Soc. 1978, 59, 711–714. [Google Scholar]
- Zhang, W.; Xu, J.; Dong, C.; Yang, J. China’s Current and Future Meteorological Satellite Systems. Earth Sci. Satell. Remote Sens. 2006, 1, 392–413. [Google Scholar]
- Kurino, T. Future Plan and Recent Activities for the Japanese Follow-on Geostationary Meteorological Satellite Himawari-8/9. In Proceedings of the 2012 AGU Fall Meeting, San Francisco, CA, USA; 2012. [Google Scholar]
- Iwabuchi, H.; Putri, N.S.; Saito, M.; Tokoro, Y.; Sekiguchi, M.; Yang, P.; Baum, B.A. Cloud Property Retrieval from Multiband Infrared Measurements by Himawari-8. J. Meteor. Soc. Jpn 2018, 96, 27–42. [Google Scholar] [CrossRef]
- Bessho, K.; Date, K.; Hayashi, M.; Ikeda, A.; Imai, T.; Inoue, H.; Kumagai, Y.; Miyakawa, T.; Murata, H.; Ohno, T.; et al. An Introduction to Himawari-8/9—Japan’s New-Generation Geostationary Meteorological Satellites. J. Meteorol. Soc. Jpn. 2016, 94, 151–183. [Google Scholar] [CrossRef]
- Min, M.; Li, J.; Wang, F.; Liu, Z.; Menze, W.P. Retrieval of cloud top properties from advanced geostationary satellite imager measurements based on machine learning algorithms. Remote Sens. Environ. 2020, 239, 111616. [Google Scholar] [CrossRef]
- Min, M.; Bai, C.; Guo, J.; Sun, F.; Liu, C.; Wang, F.; Xu, H.; Tang, S.; Li, B.; Di, D.; et al. Estimating Summertime Precipitation from Himawari-8 and Global Forecast System Based on Machine Learning. IEEE Trans. Geosci. Remote Sens. 2019, 57, 2557–2570. [Google Scholar] [CrossRef]
- Zhang, T.; Zang, L.; Wan, Y.; Wang, W.; Zhang, Y. Ground-level PM2.5 estimation over urban agglomerations in China with high spatiotemporal resolution based on Himawari-8. Sci. Total. Environ. 2019, 676, 535–544. [Google Scholar] [CrossRef] [PubMed]
- Liu, Z.; Min, M.; Li, J.; Sun, F.; Di, D.; Ai, Y.; Li, Z.; Qin, D.; Li, G.; Lin, Y.; et al. Local Severe Storm Tracking and Warning in Pre-Convection Stage from the New Generation Geostationary Weather Satellite Measurements. Remote Sens. 2019, 11, 383. [Google Scholar] [CrossRef]
- Kai-lin, L.; Chun-gui, Z.; Hong, W.; Xiao-chen, C.; Li, C. Spatial and temporal distribution and variation of aerosol optical depth in coastal southeast China based on Himawari-8 satellite. J. Appl. Oceanogr. 2019, 38, 318–328. [Google Scholar]
- Bai, W.; Wu, C.; Li, J.; Wang, W. Impact of Terrain Altitude and Cloud Height on Ozone Remote Sensing from Satellite. J. Atmos. Oceanic Technol. 2014, 31, 903–912. [Google Scholar] [CrossRef]
- Li, J. Temperature and water vapor weighting functions from radiative transfer equation with surface emissivity and solar reflectivity. Adv. Atmos. Sci. 1994, 11, 421–426. [Google Scholar]
- Li, J.; Wolf, W.W.; Menzel, W.P.; Zhang, W.; Huang, H.-L.; Achtor, T.H. Global Soundings of the Atmosphere from ATOVS Measurements: The Algorithm and Validation. J. Appl. Meteorol. 2000, 39, 1248–1268. [Google Scholar] [CrossRef]
- Chen, Y.; Han, Y.; Delst, P.V.; Weng, F. On water vapor Jacobian in fast radiative transfer model. J. Geophys. Res. Atmos. 2010, 115, D12303. [Google Scholar] [CrossRef]
- Zeng, Q. Principle of Atmospheric Infrared Remote Sensing; Science Press: Beijing, China, 1974. [Google Scholar]
- Soden, B.J.; Bretherton, F.P. Upper tropospheric relative humidity from the GOES 6.7 µm channel: Method and climatology for July 1987. J. Geophys. Res. Atmos. 1993, 98, 16669–16688. [Google Scholar] [CrossRef]
- Soden, B.J.; Bretherton, F.P. Evaluation of water vapor distribution in general circulation models using satellite observations. J. Geophys. Res. Atmos. 1994, 99, 1187–1210. [Google Scholar] [CrossRef]
- Soden, B.J.; Bretherton, F.P. Interpretation of TOVS water vapor radiances in terms of layer-average relative humidities: Method and climatology for the upper, middle, and lower troposphere. J. Geophys. Res. Atmos. 1996, 101, 9333–9343. [Google Scholar] [CrossRef]
- Soden, J.B. The diurnal cycle of convection, clouds, and water vapor in the tropical upper troposphere. Geophys. Res. Lett. 2000, 27, 2173–2176. [Google Scholar] [CrossRef]
- Huang, Y.; Wang, M.; Mao, J. Retrieval of upper tropospheric relative humidity by the GMS-5 water vapor channel: A study of the technique. Adv. Atmos. Sci. 2004, 21, 53–60. [Google Scholar] [CrossRef]
- Petersen, A.R.; Uccellini, L.W.; Chesters, D.; Mostek, A.; Keyser, D. The use of VAS satellite data in weather analysis, prediction, and diagnosis. Nat. Weather Dig. 1983, 8, 12–23. [Google Scholar]
- Poc, M.M.; Roulleau, M.; Scott, N.A.; Chedin, A. Quantitative Studies of Meteosat Water-Vapor Channel Data. J. Appl. Meteorol. 1980, 19, 868–876. [Google Scholar] [CrossRef][Green Version]
- Di, D.; Li, J.; Ai, Y.; Lu, N.; Shi, W. Geostationary satellite-based 6.7 μm band best water vapor information layer analysis over the Tibetan Plateau. J. Geophys. Res. Atmos. 2016, 121, 4600–4613. [Google Scholar] [CrossRef]
- Zhang, F.; Zhu, M.; Li, J.; Li, W.; Di, D.; Shi, Y.-N.; Wu, K. Alternate Mapping Correlated k-Distribution Method for Infrared Radiative Transfer Forward Simulation. Remote Sens. 2019, 11, 994. [Google Scholar] [CrossRef]
- Dee, D.P.U.S.; Simmons, A.; Berrisford, P.; Poli, P.; Kobayashi, S.; Andrae, U.; Balmaseda, M.; Balsamo, G.; Bauer, D.P. The ERA-Interim reanalysis: Configuration and performance of the data assimilation system. Q. J. Roy. Meteor. Soc. 2011, 137, 553–597. [Google Scholar] [CrossRef]
- Wan, Z.L.Z.-L. A physics-based algorithm for retrieving land-surface emissivity and temperature from EOS/MODIS data. IEEE Trans. Geosci. Remote Sens. 1997, 35, 980–996. [Google Scholar]
- Wan, Z.H.S.; Hulley, G. MYD11C2 MODIS/Aqua Land Surface Temperature/Emissivity 8-Day L3 Global 0.05 Deg CMG V006. NASA EOSDIS LP DAAC: 2015. Available online: https://lpdaac.usgs.gov/products/myd11c2v006/ (accessed on 25 October 2018).
- Wan, Z. New refinements and validation of the MODIS land-surface temperature/emissivity products. Remote Sens. Environ. 2008, 112, 59–74. [Google Scholar] [CrossRef]
- McClatchey, R.A.; Fenn, R.W.; Selby, J.E.A.; Volz, F.E.; Garing, J.S. Optical Properties of the Atmosphere. Air Force Rep. 1972, AFCRL-71-0279, 85. [Google Scholar]
- Xi, W.; Min, M.; Wang, F.; Guo, J.; Li, B.; Tang, S. Intercomparisons of Cloud Mask Products Among Fengyun-4A, Himawari-8, and MODIS. IEEE Trans. Geosci. Remote Sens. 2019, 57, 8827–8839. [Google Scholar]
- Fischer, H.; Eigenwillig, N.; Müller, H. Information Content of METEOSAT and Nimbus/THIR Water Vapor Channel Data: Altitude Association of Observed Phenomena. J. Appl. Meteorol. 1989, 20, 1344–1352. [Google Scholar] [CrossRef][Green Version]
- Li, J.; Zhou, F.; Zeng, Q. Simultaneous Non-linear Retrieval of Atmospheric Temperature and Absorbing Constituent Profiles from Satellite Infrared under Radiances. Adv. Atmos. Sci. 1994, 11, 128–138. [Google Scholar]
- Zhou, W.; Chan, J.C.L.; Chen, W.; Ling, J. Synoptic-scale controls of persistent low temperature and icy weather over southern China in January 2008. Mon. Wea. Rev. 2009, 137, 3978–3991. [Google Scholar] [CrossRef]
- Yihui, D.; Chan, J.C.L. The East Asian summer monsoon: An overview. Meteorol. Atmos. Phys. 2005, 89, 117–142. [Google Scholar] [CrossRef]
- Agarwal, S.; Al Biltar, A.; An, L.; Arvidson, T. Comprehensive Remote Sensing; Liang, S., Ed.; Elsevier: Amsterdam, The Netherlands, 2018. [Google Scholar]
- Kishore, P.; Ratnam, M.V.; Namboothiri, S.P.; Velicogna, I.; Basha, G.; Jiang, J.H.; Igarashi, K.; Rao, S.V.B.; Sivakumar, V. Global (50°S–50°N) distribution of water vapor observed by COSMIC GPS RO: Comparison with GPS radiosonde, NCEP, ERA-Interim, and JRA-25 reanalysis data sets. J. Atmos. Solar Terr. Phys. 2011, 73, 1849–1860. [Google Scholar] [CrossRef]














| JAN | APR | JUL | OCT | |||||
|---|---|---|---|---|---|---|---|---|
| Land | Ocean | Land | Ocean | Land | Ocean | Land | Ocean | |
| Band 8 | 0.27 | 0.34 | 0.39 | 0.47 | 0.56 | 0.58 | 0.39 | 0.47 |
| Band 9 | 0.20 | 0.26 | 0.29 | 0.34 | 0.42 | 0.42 | 0.30 | 0.36 |
| Band 10 | 0.10 | 0.16 | 0.19 | 0.21 | 0.26 | 0.27 | 0.18 | 0.23 |
| JAN | APR | JUL | OCT | |||||
|---|---|---|---|---|---|---|---|---|
| Land | Ocean | Land | Ocean | Land | Ocean | Land | Ocean | |
| Band 8 | 413.41 | 372.34 | 351.22 | 317.82 | 258.79 | 251.97 | 336.17 | 303.99 |
| Band 9 | 469.26 | 433.21 | 409.05 | 366.13 | 295.05 | 289.44 | 397.27 | 347.27 |
| Band 10 | 560.57 | 563.01 | 520.99 | 451.42 | 359.26 | 359.42 | 483.31 | 427.96 |
| Band 8 | Band 9 | Band 10 | |
|---|---|---|---|
| Mean | 18.70 | –0.63 | –8.42 |
| Max | 43.14 | 32.43 | 25.50 |
| Min | 3.82 | –15.54 | –20.75 |
| RMSE | 18.78 | 1.66 | 9.36 |
© 2020 by the authors. Licensee MDPI, Basel, Switzerland. This article is an open access article distributed under the terms and conditions of the Creative Commons Attribution (CC BY) license (http://creativecommons.org/licenses/by/4.0/).
Share and Cite
Wu, Y.; Zhang, F.; Wu, K.; Min, M.; Li, W.; Liu, R. Best Water Vapor Information Layer of Himawari-8-Based Water Vapor Bands over East Asia. Sensors 2020, 20, 2394. https://doi.org/10.3390/s20082394
Wu Y, Zhang F, Wu K, Min M, Li W, Liu R. Best Water Vapor Information Layer of Himawari-8-Based Water Vapor Bands over East Asia. Sensors. 2020; 20(8):2394. https://doi.org/10.3390/s20082394
Chicago/Turabian StyleWu, You, Feng Zhang, Kun Wu, Min Min, Wenwen Li, and Renqiang Liu. 2020. "Best Water Vapor Information Layer of Himawari-8-Based Water Vapor Bands over East Asia" Sensors 20, no. 8: 2394. https://doi.org/10.3390/s20082394
APA StyleWu, Y., Zhang, F., Wu, K., Min, M., Li, W., & Liu, R. (2020). Best Water Vapor Information Layer of Himawari-8-Based Water Vapor Bands over East Asia. Sensors, 20(8), 2394. https://doi.org/10.3390/s20082394

