Characterization and Neural Modeling of a Microwave Gas Sensor for Oxygen Detection Aimed at Healthcare Applications †
Abstract
1. Introduction
2. Studied Sensor and Experimental Set-up
3. ANN-Based Model
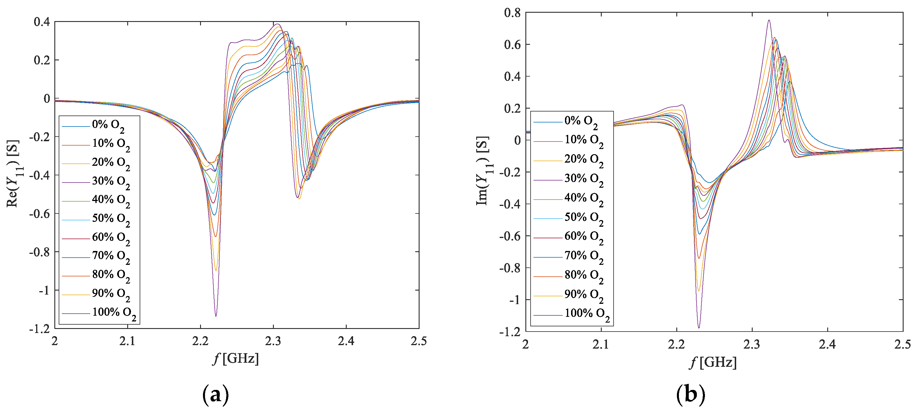
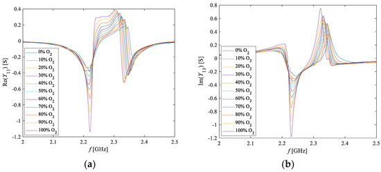
4. Results and Discussion
5. Conclusions
Author Contributions
Funding
Conflicts of Interest
References
- Martínez Madrid, N.; Martínez Fernández, J.; Seepold, R.; Augusto Wrede, J.C.A. Sensors for ambient assisted living and smart homes. In Autonomous Sensor Networks; Filippini, D., Ed.; Springer: Berlin/Heidelberg, Germany, 2012; pp. 39–71. [Google Scholar] [CrossRef]
- Jao, Y.-T.; Yang, P.-K.; Chiu, C.-M.; Lin, Y.-J.; Chen, S.-W.; Choi, D.; Lin, Z.-H. A textile-based triboelectric nanogenerator with humidity-resistant output characteristic and its applications in self-powered healthcare sensors. Nano Energy 2018, 50, 513–520. [Google Scholar] [CrossRef]
- Alfian, G.; Syafrudin, M.; Ijaz, M.F.; Syaekhoni, M.A.; Fitriyani, N.L.; Rhee, J. A personalized healthcare monitoring system for diabetic patients by utilizing BLE-based sensors and real-time data processing. Sensors 2018, 18, 2183. [Google Scholar] [CrossRef] [PubMed]
- Yao, S.; Swetha, P.; Zhu, Y. Nanomaterial-enabled wearable sensors for healthcare. Adv. Healthc. Mater. 2018, 7, 1700889. [Google Scholar] [CrossRef] [PubMed]
- Kumar, S.; Bukkitgar, S.D.; Singh, S.; Pratibha; Singh, V.; Reddy, K.R.; Shetti, N.P.; Reddy, C.V.; Sadhu, V.; Naveen, S. Electrochemical sensors and biosensors based on graphene functionalized with metal oxide nanostructures for healthcare applications. Chem. Sel. 2019, 14, 5322–5337. [Google Scholar] [CrossRef]
- Hu, W.; Wan, L.; Jian, Y.; Ren, C.; Jin, K.; Su, X.; Bai, X.; Haick, H.; Yao, M.; Wu, W. Electronic noses: From advanced materials to sensors aided with data processing. Adv. Mater. Technol. 2019, 4, 1800488. [Google Scholar] [CrossRef]
- Hatamie, A.; Angizi, S.; Kumar, S.; Mouli Pandey, C.; Simchi, A.; Willander, M.; Malhotra, B.D. Review—Textile based chemical and physical sensors for healthcare monitoring. J. Electrochem. Soc. 2020, 167, 037546. [Google Scholar] [CrossRef]
- Jalal, A.H.; Alam, F.; Roychoudhury, S.; Umasankar, Y.; Pala, N.; Bhansali, S. Prospects and challenges of volatile organic compound sensors in human healthcare. ACS Sens. 2018, 3, 1246–1263. [Google Scholar] [CrossRef]
- Xu, W.; Ravichandran, D.; Jambhulkar, S.; Franklin, R.; Zhu, Y.; Song, K. Bioinspired, mechanically robust chemiresistor for inline volatile organic compounds sensing. Adv. Mater. Technol. 2020, 5, 2000440. [Google Scholar] [CrossRef]
- Yoon, I.; Eom, G.; Lee, S.; Kyeong Kim, B.; Kyung Kim, S.; Lee, H.J. A capacitive micromachined ultrasonic transducer-based resonant sensor array for portable volatile organic compound detection with wireless systems. Sensors 2019, 19, 1401. [Google Scholar] [CrossRef]
- Gasparri, R.; Sedda, G.; Spaggiari, L. The Electronic nose’s emerging role in respiratory medicine. Sensors 2018, 18, 3029. [Google Scholar] [CrossRef]
- Gaggiotti, S.; Della Pelle, F.; Mascini, M.; Cichelli, A.; Compagnone, D. Peptides DNA and MIPs in gas sensing. from the realization of the sensors to sample analysis. Sensors 2020, 20, 4433. [Google Scholar] [CrossRef] [PubMed]
- Hurot, C.; Scaramozzino, N.; Buhot, A.; Hou, Y. Bio-inspired strategies for improving the selectivity and sensitivity of artificial noses: A review. Sensors 2020, 20, 1803. [Google Scholar] [CrossRef]
- Kaushik, A.; Kumar, R.; Jayant, R.; Nair, M. Nanostructured gas sensors for health care: An overview. J Pers. Nanomed. 2015, 1, 10–23. [Google Scholar] [PubMed]
- Lu, K.; Aung, T.; Guo, N.; Weichselbaum, R.R.; Lin, W. Nanoscale metal–organic frameworks for therapeutic, imaging, and sensing applications. Adv. Mater. 2018, 30, 1707634. [Google Scholar] [CrossRef] [PubMed]
- Petani, L.; Koker, L.; Herrmann, J.; Hagenmeyer, V.; Gengenbach, U.; Pylatiuk, C. Recent developments in ozone sensor technology for medical applications. Micromachines 2020, 11, 624. [Google Scholar] [CrossRef]
- Bogner, A.; Steiner, C.; Walter, S.; Kita, J.; Hagen, G.; Moos, R. Planar microstrip ring resonators for microwave-based gas sensing: Design aspects and initial transducers for humidity and ammonia sensing. Sensors 2017, 17, 2422. [Google Scholar] [CrossRef]
- Comini, E.; Faglia, G.; Sberveglieri, G. (Eds.) Solid State Gas Sensing; Springer: Boston, MA, USA, 2009. [Google Scholar]
- Barochi, G.; Rossignol, J.; Bouvet, M. Development of microwave gas sensors. Sens. Actuators B Chem. 2011, 157, 374–379. [Google Scholar] [CrossRef]
- Rossignol, J.; Barochi, G.; de Fonseca, B.; Brunet, J.; Bouvet, M.; Pauly, A.; Markey, L. Microwave-based gas sensor with phthalocyanine film at room temperature. Sens. Actuators B Chem. 2013, 189, 213–216. [Google Scholar] [CrossRef]
- Rydosz, A.; Maciak, E.; Wincza, K.; Gruszczynski, S. Microwave-based sensors with phthalocyanine films for acetone, ethanol and methanol detection. Sens. Actuators B Chem. 2016, 237, 876–886. [Google Scholar] [CrossRef]
- Kim, B.-H.; Lee, Y.-J.; Lee, H.-J.; Hong, Y.; Yook, J.-G.; Chung, M.H.; Cho, W.; Choi, H.H. A gas sensor using double split-ring resonator coated with conducting polymer at microwave frequencies. In Proceedings of the SENSORS, 2014 IEEE, Valencia, Spain, 2–5 November 2014; pp. 1815–1818. [Google Scholar] [CrossRef]
- Gugliandolo, G.; Aloisio, D.; Leonardi, S.G.; Campobello, G.; Donato, N. Resonant devices and gas sensing: From low frequencies to microwave range. In Proceedings of the 2019 14th International Conference on Advanced Technologies, Systems and Services in Telecommunications (TELSIKS), Nis, Serbia, 23–25 October 2019; pp. 21–28. [Google Scholar] [CrossRef]
- Wu, B.; Zhang, X.; Huang, B.; Zhao, Y.; Cheng, C.; Chen, H. High-performance wireless ammonia gas sensors based on reduced graphene oxide and nano-silver ink hybrid material loaded on a patch antenna. Sensors 2017, 17, 2070. [Google Scholar] [CrossRef]
- Lee, H.; Shaker, G.; Naishadham, K.; Song, X.; McKinley, M.; Wagner, B.; Tentzeris, M. Carbon-nanotube loaded antenna-based ammonia gas sensor. IEEE Trans. Microw. Theory Tech. 2011, 59, 2665–2673. [Google Scholar] [CrossRef]
- Gugliandolo, G.; Naishadham, K.; Donato, N.; Neri, G.; Fernicola, V. Sensor-integrated aperture coupled patch antenna. In Proceedings of the 2019 IEEE International Symposium on Measurements & Networking (M&N), Catania, Italy, 8–10 July 2019; pp. 1–5. [Google Scholar] [CrossRef]
- Chopra, S.; Natarajan, S.; Rao, A.M. Gas sensing using carbon nanotube-based resonator. In Proceedings of the SENSORS, 2004 IEEE, Vienna, Austria, 24–27 October 2004; pp. 399–402. [Google Scholar] [CrossRef]
- Aloisio, D.; Donato, N. Development of gas sensors on microstrip disk resonators. Procedia Eng. 2014, 87, 1083–1086. [Google Scholar] [CrossRef]
- Bailly, G.; Harrabi, A.; Rossignol, J.; Michel, M.; Stuerga, D.; Pribetich, P. Microstrip spiral resonator for microwave-based gas sensing. IEEE Sens. Lett. 2017, 1, 1–4. [Google Scholar] [CrossRef]
- Bailly, G.; Harrabi, A.; Rossignol, J.; Domenichini, B.; Bellat, J.P.; Bezverkhyy, I.; Pribetich, P.; Stuerga, D. Influence of the design in microwave-based gas sensors: Ammonia detection with titania nanoparticles. Procedia Eng. 2016, 168, 264–267. [Google Scholar] [CrossRef]
- Gugliandolo, G.; Mirzaei, A.; Bonyani, M.; Neri, G.; Latino, M.; Donato, N. Electrical characterization of microstrip resonators based on nanostructured sensing materials. In Sensors and Microsystems; Springer: Cham, Switzerland, 2018; Volume 457, pp. 29–34. [Google Scholar] [CrossRef]
- Walter, S.; Bogner, A.; Hagen, G.; Moos, R. Novel radio-frequency-based gas sensor with integrated heater. J. Sens. Sens. Syst. 2019, 8, 49–56. [Google Scholar] [CrossRef]
- Bailly, G.; Harrabi, A.; Rossignol, J.; Stuerga, D.; Pribetich, P. Microwave gas sensing with a microstrip interDigital capacitor: Detection of NH3 with TiO2 nanoparticles. Sens. Actuators B Chem. 2016, 236, 554–564. [Google Scholar] [CrossRef]
- Wang, H.; Yao, Y.; Wu, G.; Sun, Q.; Wang, M.; Chen, X.; Wang, J. A room temperature oxygen gas sensor based on hierarchical TiO2. In Proceedings of the 2016 IEEE International Conference on Manipulation, Manufacturing and Measurement on the Nanoscale (3M-NANO), Chongqing, China, 18–22 July 2016; pp. 199–202. [Google Scholar] [CrossRef]
- Sorocki, J.; Rydosz, A.; Staszek, K. Wideband microwave multiport-based system for low gas concentration sensing and its application for acetone detection. Sens. Actuators B Chem. 2020, 323, 128710. [Google Scholar] [CrossRef]
- Li, F.; Zheng, Y.; Hua, C.; Jian, J. Gas sensing by microwave transduction: Review of progress and challenges. Front. Mater. 2019, 6. [Google Scholar] [CrossRef]
- Gugliandolo, G.; Latino, M.; Campobello, G.; Marinkovic, Z.; Crupi, G.; Donato, N. On the gas sensing properties of microwave transducers. In Proceedings of the IEEE International Scientific Conference on Information, Communication and Energy Systems and Technologies (ICEST), Niš, Serbia, 10–12 September 2020; pp. 191–194. [Google Scholar] [CrossRef]
- Marinkovic, Z.; Gugliandolo, G.; Latino, M.; Campobello, G.; Crupi, G.; Donato, N. Artificial neural network modeling of interdigital capacitor sensor for oxygen detection. In Proceedings of the IEEE International Scientific Conference on Information, Communication and Energy Systems and Technologies (ICEST), Niš, Serbia, 10–12 September 2020; pp. 195–198. [Google Scholar] [CrossRef]
- Campobello, G.; Cannatà, G.; Donato, N.; Famulari, A.; Serrano, S. A novel low-complex and low-memory method for accurate single-tone frequency estimation. In Proceedings of the 4th International Symposium on Communications, Control and Signal Processing, ISCCSP 2010, Limassol, Cyprus, 3–5 March 2010. [Google Scholar] [CrossRef]
- Campobello, G.; Cannatà, G.; Donato, N.; Galeano, M.; Serrano, S. An accurate and simple frequency estimation method for sensor applications. In Sensors and Microsystems. Lecture Notes in Electrical Engineering; D’Amico, A., Di Natale, C., Mosiello, L., Zappa, G., Eds.; Springer: Boston, MA, USA, 2012; Volume 109. [Google Scholar]
- Campobello, G.; Segreto, A.; Donato, N. A new frequency estimation algorithm for IoT applications and low-cost instrumentation. In Proceedings of the 2020 IEEE International Instrumentation and Measurement Technology Conference (I2MTC), Dubrovnik, Croatia, 25–28 May 2020; pp. 1–5. [Google Scholar] [CrossRef]
- Campobello, G.; Castano, M.; Fucile, A.; Segreto, A. WEVA: A complete solution for industrial Internet of Things. In Ad-hoc, Mobile, and Wireless Networks. ADHOC-NOW 2017. Lecture Notes in Computer Science; Puliafito, A., Bruneo, D., Distefano, S., Longo, F., Eds.; Springer: Cham, Switzerland, 2017; p. 10517. [Google Scholar] [CrossRef]
- Torun, H.; Cagri Top, F.; Dundar, G.; Yalcinkaya, A.D. An antenna-coupled split-ring resonator for biosensing. J. Appl. Phys. 2014, 116, 124701. [Google Scholar] [CrossRef]
- Grenier, K.; Dubuc, D.; Poleni, P.-E.; Kumemura, M.; Toshiyoshi, H.; Fujii, T.; Fujita, H. Integrated broadband microwave and microfluidic sensor dedicated to bioengineering. IEEE Trans. Microw. Theory Tech. 2009, 57, 3246–3253. [Google Scholar] [CrossRef]
- Bao, X.; Ocket, I.; Crupi, G.; Schreurs, D.M.M.-P.; Bao, J.; Kil, D.; Puers, B.; Nauwelaers, B. A planar one-port microwave microfluidic sensor for microliter liquids characterization. IEEE J. Electromagn. RF Microw. Med. Biol. 2018, 2, 10–17. [Google Scholar] [CrossRef]
- Crupi, G.; Bao, X.; Babarinde, O.J.; Schreurs, D.M.M.-P.; Nauwelaers, B. Biosensor using a one-port interdigital capacitor: A resonance-based investigation of the permittivity sensitivity for microfluidic broadband bioelectronics applications. Electronics 2020, 9, 340. [Google Scholar] [CrossRef]
- Bao, J.; Maenhout, G.; Markovic, T.; Ocket, I.; Nauwelaers, B. A microwave platform for reliable and instant interconnecting combined with microwave-microfluidic interdigital capacitor chips for sensing applications. Sensors 2020, 20, 1687. [Google Scholar] [CrossRef] [PubMed]
- Bao, X.; Crupi, G.; Ocket, I.; Bao, J.; Ceyssens, F.; Kraft, M.; Nauwelaers, B.; Schreurs, D.M.M.-P. Numerical modeling of two microwave sensors for biomedical applications. Int. J. Numer. Model. Electron. Netw. Devices Fields 2020, e2810. [Google Scholar] [CrossRef]
- Borecki, M.; Gęca, M.; Duk, M.; Korwin-Pawlowski, M.L. Miniature gas sensors heads and gas sensing devices for environmental working conditions—A review. J. Electron. Commun. Eng. Res. 2017, 1, 1–11. [Google Scholar]
- Ramamoorthy, R.; Dutta, P.K.; Akbar, S.A. Oxygen sensors: Materials, methods, designs and applications. J. Mat. Sci. 2003, 38, 4271–4282. [Google Scholar] [CrossRef]
- Schwank, J.; DiBattista, M. Oxygen sensors: Materials and applications. MRS Bull. 1999, 24, 44–48. [Google Scholar] [CrossRef]
- Trocino, S.; Donato, A.; Latino, M.; Donato, N.; Leonardi, S.G.; Neri, G. Pt-TiO2/MWCNTs hybrid composites for monitoring low hydrogen concentrations in air. Sensors 2012, 12, 12361–12373. [Google Scholar] [CrossRef]
- Marichy, C.; Donato, N.; Latino, M.; Willinger, M.G.; Tessonnier, J.-P.; Neri, G.; Pinna, N. Gas sensing properties and p-type response of ALD TiO2 coated carbon nanotubes. Nanotechnology 2014, 26, 024004. [Google Scholar] [CrossRef]
- Tobaldi, D.M.; Leonardi, S.G.; Pullar, R.C.; Seabra, M.P.; Neri, G.; Labrincha, J.A. Sensing properties and photochromism of Ag–TiO2 nano-heterostructures. J. Mater. Chem. A 2016, 4, 9600–9613. [Google Scholar] [CrossRef]
- Cortright, E.M. Apollo Expeditions to the Moon; Government Printing Office: Washington, DC, USA, 1975.
- Zhang, Q.J.; Gupta, K.C. Neural Networks for RF and Microwave Design; Artech House: Boston, MA, USA, 2000. [Google Scholar]
- Koziel, S.; Bandler, J.W. Modeling of microwave devices with space mapping and radial basis functions. Int. J. Numer. Model. Electron. Netw. Devices Fields 2007, 21, 187–203. [Google Scholar] [CrossRef]
- Kabir, H.; Zhang, L.; Yu, M.; Aaen, P.H.; Wood, J.; Zhang, Q.-J. Smart modeling of microwave devices. IEEE Microw. Mag. 2010, 11, 105–118. [Google Scholar] [CrossRef]
- Schreurs, D.; O’Droma, M.; Goacher, A.A.; Gadringer, M. RF Power Amplifier Behavioral Modeling; Cambridge University: New York, NY, USA, 2008. [Google Scholar]
- Marinković, Z.; Crupi, G.; Schreurs, D.; Caddemi, A.; Marković, V. Microwave. FinFET modeling based on artificial neural networks including lossy silicon substrate. Microelectron. Eng. 2011, 88, 3158–3163. [Google Scholar] [CrossRef]
- Marinković, Z.; Crupi, G.; Schreurs, D.; Caddemi, A.; Marković, V. Microwave neural modeling for silicon FinFET varactor. Int. J. Numer. Model. Electron. Netw. Devices Fields 2014, 27, 834–845. [Google Scholar] [CrossRef]
- Marinković, Z.; Crupi, G.; Caddemi, A.; Avolio, G.; Raffo, A.; Marković, V.; Vannini, G.; Schreurs, D. Neural approach for temperature dependent modeling of GaN HEMTs. Int. J. Numer. Model. Electron. Netw. Devices Fields 2015, 28, 359–370. [Google Scholar] [CrossRef]
- Ćirić, T.; Dhuri, R.; Marinković, Z.; Pronić-Rančić, O.; Marković, V.; Vietzorreck, L. Neural based lumped element model of capacitive RF MEMS switches. Frequenz 2018, 72, 539–546. [Google Scholar] [CrossRef]
- Marinković, Z.; Crupi, G.; Caddemi, A.; Marković, V.; Schreurs, D. A review on the artificial neural network applications for small-signal modeling of microwave FETs. Int. J. Numer. Model. Electron. Netw. Devices Fields 2020, 33, e2668. [Google Scholar] [CrossRef]
- Jin, J.; Feng, F.; Na, W.C.; Yan, S.X.; Liu, W.Y.; Zhu, L.; Zhang, Q.J. Recent advances in neural network-based inverse modeling techniques for microwave applications. Int. J. Numer. Model. Electron. Netw. Devices Fields 2020, 33, e2732. [Google Scholar] [CrossRef]
- Liu, W.; Zhu, L.; Feng, F.; Zhang, W.; Zhang, Q.-J.; Lin, Q.; Liu, G. A time delay neural network based technique for nonlinear microwave device modeling. Micromachines 2020, 11, 831. [Google Scholar] [CrossRef]
- Lamamra, K.; Rechem, D. Artificial neural network modelling of a gas sensor for liquefied petroleum gas detection. In Proceedings of the 2016 8th International Conference on Modelling, Identification and Control (ICMIC), Algiers, Algeria, 15–17 November 2016; pp. 163–168. [Google Scholar] [CrossRef]
- Zhao, L.; Li, X.; Wang, J.; Yao, P.; Akbar, S.A. Detection of formaldehyde in mixed VOCs gases using sensor array with neural networks. IEEE Sens. J. 2016, 16, 6081–6086. [Google Scholar] [CrossRef]
- Abdolrazzaghi, M.; Hossein Zarifi, M.; Pedrycz, W.; Daneshmand, M. Robust ultra-high resolution microwave planar sensor using fuzzy neural network approach. IEEE Sens. J. 2017, 17, 323–332. [Google Scholar] [CrossRef]
- Peng, P.; Zhao, X.; Pan, X.; Ye, W. Gas classification using deep convolutional neural networks. Sensors 2018, 18, 157. [Google Scholar] [CrossRef] [PubMed]
- Szulczyński, B.; Armiński, K.; Namieśnik, J.; Gębicki, J. Determination of odour interactions in gaseous mixtures using electronic nose methods with artificial neural networks. Sensors 2018, 18, 519. [Google Scholar] [CrossRef] [PubMed]
- Mason, A.; Korostynska, O.; Louis, J.; Cordova-Lopez, L.E.; Abdullah, B.; Greene, J.; Connell, R.; Hopkins, J. Noninvasive in-situ measurement of blood lactate using microwave sensors. IEEE Trans. Biomed. Eng. 2018, 65, 698–705. [Google Scholar] [CrossRef] [PubMed]
- Essiet, I.; Sun, Y.; Wang, Z. Big data analysis for gas sensor using convolutional neural network and ensemble of evolutionary algorithms. Procedia Manuf. 2019, 35, 629–634. [Google Scholar] [CrossRef]
- Gordon Casey, J.; Collier-Oxandale, A.; Hannigan, M. Performance of artificial neural networks and linear models to quantify 4 trace gas species in an oil and gas production region with low-cost sensors. Sens. Actuators B Chem. 2019, 283, 504–514. [Google Scholar] [CrossRef]
- Xibilia, M.G.; Latino, M.; Marinković, Z.; Atanasković, A.; Donato, N. Soft sensors based on deep neural networks for applications in security and safety. IEEE Trans. Instrum. Meas. 2020, 69, 7869–7876. [Google Scholar] [CrossRef]
- Pozar, D.M. Microwave Engineering; John Wiley and Sons: New York, NY, USA, 1998; p. 211. [Google Scholar]
- Frickey, D.A. Conversions between S, Z, Y, H, ABCD, and T parameters which are valid for complex source and load impedances. IEEE Trans. Microw. Theory Tech. 1994, 42, 205–211. [Google Scholar] [CrossRef]
















Publisher’s Note: MDPI stays neutral with regard to jurisdictional claims in published maps and institutional affiliations. |
© 2020 by the authors. Licensee MDPI, Basel, Switzerland. This article is an open access article distributed under the terms and conditions of the Creative Commons Attribution (CC BY) license (http://creativecommons.org/licenses/by/4.0/).
Share and Cite
Marinković, Z.; Gugliandolo, G.; Latino, M.; Campobello, G.; Crupi, G.; Donato, N. Characterization and Neural Modeling of a Microwave Gas Sensor for Oxygen Detection Aimed at Healthcare Applications. Sensors 2020, 20, 7150. https://doi.org/10.3390/s20247150
Marinković Z, Gugliandolo G, Latino M, Campobello G, Crupi G, Donato N. Characterization and Neural Modeling of a Microwave Gas Sensor for Oxygen Detection Aimed at Healthcare Applications. Sensors. 2020; 20(24):7150. https://doi.org/10.3390/s20247150
Chicago/Turabian StyleMarinković, Zlatica, Giovanni Gugliandolo, Mariangela Latino, Giuseppe Campobello, Giovanni Crupi, and Nicola Donato. 2020. "Characterization and Neural Modeling of a Microwave Gas Sensor for Oxygen Detection Aimed at Healthcare Applications" Sensors 20, no. 24: 7150. https://doi.org/10.3390/s20247150
APA StyleMarinković, Z., Gugliandolo, G., Latino, M., Campobello, G., Crupi, G., & Donato, N. (2020). Characterization and Neural Modeling of a Microwave Gas Sensor for Oxygen Detection Aimed at Healthcare Applications. Sensors, 20(24), 7150. https://doi.org/10.3390/s20247150

