Demosaicing of CFA 3.0 with Applications to Low Lighting Images
Abstract
1. Introduction
2. Demosaicing Algorithms
2.1. Demosaicing Algorithms for CFA 2.0
2.2. Demosaicing Algorithms for CFA 3.0
2.3. Performance Metrics
- Peak Signal-to-Noise Ratio (PSNR) [33]Separate PSNRs in dBs are computed for each band. A combined PSNR is the average of the PSNRs of the individual bands. Higher PSNR values imply higher image quality.
- Structural SIMilarity (SSIM)In [34], SSIM was defined to measure the closeness between two images. An SSIM value of 1 means that the two images are the same.
- Human Visual System (HVS) metricDetails of HVS metric in dB can be found in [35].
- HVSm (HVS with masking) [36]Similar to HVS, HVS incorporates the visual masking effects in computing the metrics.
- CIELABWe also used CIELAB [37] for assessing demosaicing and denoising performance in our experiments.
3. Experiments
3.1. Data
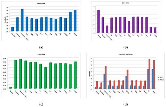
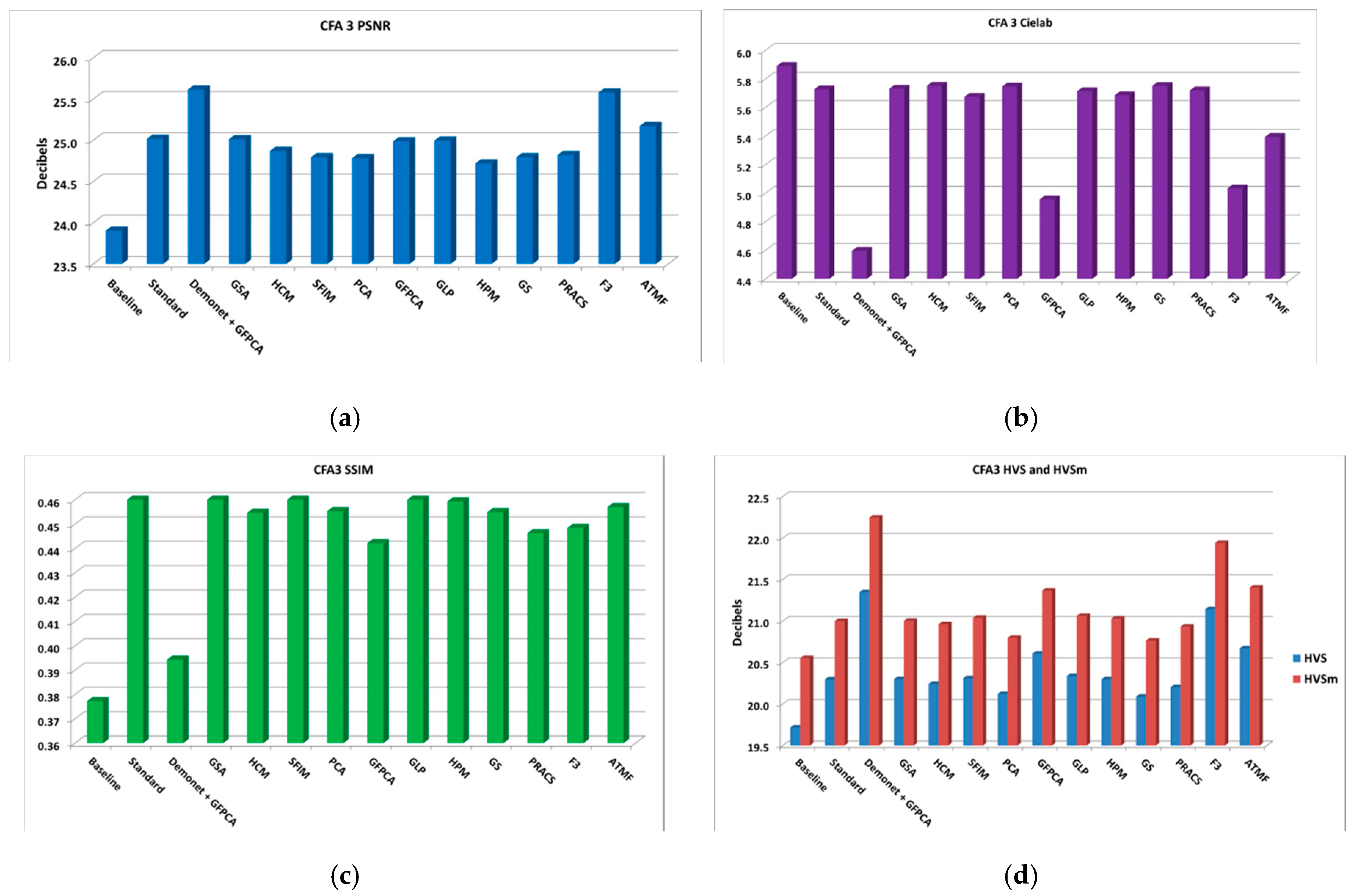
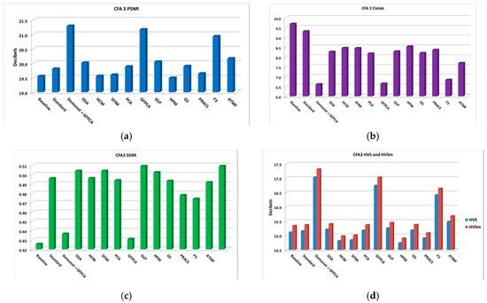
3.2. CFA 3.0 Results
3.2.1. Demosaicing Clean Images
3.2.2. 10 dBs SNR
3.2.3. 20 dBs SNR
3.3. Comparison of CFAs 1.0, 2.0, and 3.0
- Linear Directional Interpolation and Nonlocal Adaptive Thresholding (LDI-NAT) [16].
- Demosaicnet (Demonet) [30].
- Fusion using 3 best (F3) [32].
- Bilinear [47].
- Malvar–He–Cutler (MHC) [47].
- Directional Linear Minimum Mean Square-Error Estimation (DLMMSE) [48].
- Lu and Tan Interpolation (LT) [49].
- Adaptive Frequency Domain (AFD) [50].
- Alternate Projection (AP). [51].
- Primary-Consistent Soft-Decision (PCSD) [52].
- Sequential Energy Minimization (SEM) [54].
- Deep Residual Network (DRL) [55].
- Exploitation of Color Correlation (ECC) [56].
- Minimized-Laplacian Residual Interpolation (MLRI) [57].
- Adaptive Residual Interpolation (ARI) [58].
- Directional Difference Regression (DDR) [59].
3.3.1. Noiseless Case (Normal Lighting Conditions)
3.3.2. 10 dBs SNR
- Without denoising, CFAs 1.0, 2.0, and 3.0 have big differences. CFA 2.0 is more than 4 dBs higher than CFA 1.0 and CFA 3.0 is 1.2 dBs lower than CFA 2.0.
- Denoising improves the demosaicing performance independent of the denoising location. For CFA 1.0, the improvement over no denoising is 4 dBs; for CFA 2.0, the improvement is more than 2.7 dBs to 5 dBs; for CFA 3.0, we see 0.57 dBs to 5.6 dBs of improvement in PSNR. We also see dramatic improvements in other metrics,
- Denoising after demosaicing is worse than that of denoising before demosaicing. For CFA 1.0, the improvement is 1.1 dBs with denoising before demosaicing; for CFA 2.0, the improvement is 2.1 dBs with denoising before demosaicing; for CFA 3.0, the improvement is over 5 dBs in PSNR with denoising before demosaicing.
- One important finding is that CFAs 2.0 and 3.0 definitely have advantages over CFA 1.0.
- CFA 2.0 is better than CFA 3.0.
3.3.3. 20 dBs SNR
- Without denoising, CFA 2.0 is the best, followed by CFA 3.0 and CFA 1.0.
- Denoising improves the demosaicing performance in all scenarios. For CFA 1.0, the improvement is over 2 to 4 dBs; for CFA 2.0, the improvement is more than 1 to close to 5 dBs; for CFA 3.0, the improvement is 6 dBs in terms of PSNR. Other metrics have been improved with denoising.
- Denoising after demosaicing is worse than that of denoising before demosaicing. For CFA 1.0, the improvement is 1.2 dBs with denoising before demosaicing; for CFA 2.0, the improvement is close to 4 dBs with denoising before demosaicing; for CFA 3.0, the improvement is close to 6 dBs in PSNR with denoising before demosaicing.
- We observe that CFAs 2.0 and 3.0 definitely have advantages over CFA 1.0.
- CFA 2.0 is better than CFA 3.0.
3.4. Discussions
4. Conclusions
Author Contributions
Funding
Acknowledgments
Conflicts of Interest
Appendix A
| SNR | Images with Different Levels of Gaussian Noise (Thermal Noise) | Images with Different Levels of Poisson Noise (Photon Shot Noise) |
|---|---|---|
| 20 dB | ![]() | ![]() |
| σ = 0.1 | λ: average number of photons per pixel = 100 | |
| 23 dB | ![]() | ![]() |
| σ = 0.0707 | λ: average number of photons per pixel = 200 | |
| 26 dB | ![]() | ![]() |
| σ = 0.05 | λ: average number of photons per pixel = 400 | |
| 29 dB | ![]() | ![]() |
| σ = 0.0354 | λ: average number of photons per pixel = 800 | |
| 32 dB | ![]() | ![]() |
| σ = 0.025 | λ: average number of photons per pixel = 1600 | |
| 35 dB | ![]() | ![]() |
| σ = 0.0177 | λ: average number of photons per pixel = 3200 | |
| 38 dB | ![]() | ![]() |
| σ = 0.0125 | λ: average number of photons per pixel = 6400 |
| Image | Metrics | Baseline | Standard | Demonet + GSA | GSA | HCM | SFIM | PCA | GFPCA | GLP | HPM | GS | PRACS | F3 | ATMF | Best Score |
|---|---|---|---|---|---|---|---|---|---|---|---|---|---|---|---|---|
| Img1 | PSNR | 31.936 | 33.894 | 35.192 | 34.126 | 33.526 | 33.123 | 33.828 | 33.158 | 33.810 | 33.066 | 34.130 | 33.466 | 36.171 | 37.716 | 37.716 |
| Cielab | 2.659 | 2.374 | 2.250 | 2.393 | 2.481 | 2.699 | 2.445 | 2.773 | 2.429 | 2.724 | 2.351 | 2.453 | 1.853 | 1.560 | 1.560 | |
| SSIM | 0.739 | 0.859 | 0.832 | 0.854 | 0.831 | 0.838 | 0.845 | 0.806 | 0.853 | 0.834 | 0.858 | 0.820 | 0.839 | 0.857 | 0.859 | |
| HVS | 28.233 | 27.610 | 29.428 | 28.438 | 28.309 | 28.453 | 28.481 | 27.947 | 28.353 | 28.468 | 28.403 | 28.407 | 32.176 | 33.731 | 33.731 | |
| HVSm | 29.767 | 29.031 | 31.056 | 29.881 | 29.830 | 29.975 | 29.934 | 28.834 | 29.822 | 29.983 | 29.836 | 29.868 | 34.065 | 36.274 | 36.274 | |
| Img2 | PSNR | 26.771 | 30.585 | 34.464 | 30.581 | 30.211 | 29.918 | 30.406 | 30.136 | 30.089 | 29.896 | 30.521 | 30.230 | 30.737 | 32.027 | 34.464 |
| Cielab | 4.860 | 3.766 | 2.416 | 3.803 | 3.874 | 3.901 | 3.891 | 3.219 | 3.906 | 3.904 | 3.830 | 3.903 | 2.826 | 2.738 | 2.416 | |
| SSIM | 0.685 | 0.868 | 0.885 | 0.867 | 0.856 | 0.856 | 0.845 | 0.823 | 0.857 | 0.853 | 0.850 | 0.852 | 0.825 | 0.858 | 0.885 | |
| HVS | 23.976 | 24.331 | 30.067 | 24.486 | 24.304 | 24.264 | 24.726 | 27.637 | 24.398 | 24.228 | 24.403 | 24.445 | 28.565 | 28.822 | 30.067 | |
| HVSm | 25.515 | 25.629 | 32.745 | 25.803 | 25.665 | 25.666 | 26.076 | 29.840 | 25.721 | 25.613 | 25.703 | 25.762 | 31.724 | 31.215 | 32.745 | |
| Img3 | PSNR | 30.815 | 33.017 | 34.369 | 32.997 | 32.156 | 32.420 | 32.995 | 34.055 | 32.698 | 32.395 | 33.037 | 32.648 | 35.838 | 36.886 | 36.886 |
| Cielab | 3.758 | 3.378 | 2.836 | 3.313 | 3.535 | 3.432 | 3.324 | 2.949 | 3.345 | 3.459 | 3.303 | 3.398 | 2.196 | 1.907 | 1.907 | |
| SSIM | 0.786 | 0.888 | 0.880 | 0.884 | 0.870 | 0.879 | 0.877 | 0.873 | 0.878 | 0.873 | 0.877 | 0.870 | 0.883 | 0.894 | 0.894 | |
| HVS | 27.087 | 27.099 | 28.646 | 27.266 | 27.081 | 27.211 | 27.403 | 29.897 | 27.192 | 27.218 | 27.366 | 27.221 | 32.691 | 33.472 | 33.472 | |
| HVSm | 28.861 | 28.734 | 30.760 | 28.928 | 28.894 | 28.976 | 29.065 | 31.435 | 28.870 | 28.973 | 29.023 | 28.900 | 35.473 | 36.595 | 36.595 | |
| Img4 | PSNR | 22.762 | 26.980 | 30.511 | 27.496 | 27.090 | 26.808 | 26.884 | 26.873 | 26.762 | 26.771 | 26.884 | 26.933 | 29.365 | 29.546 | 30.511 |
| Cielab | 7.484 | 5.434 | 3.775 | 5.327 | 5.178 | 5.314 | 5.662 | 4.841 | 5.664 | 5.364 | 5.644 | 5.371 | 3.585 | 3.597 | 3.585 | |
| SSIM | 0.752 | 0.925 | 0.946 | 0.925 | 0.919 | 0.915 | 0.901 | 0.891 | 0.913 | 0.911 | 0.903 | 0.913 | 0.914 | 0.925 | 0.946 | |
| HVS | 20.315 | 20.370 | 25.427 | 21.077 | 21.064 | 21.160 | 20.986 | 24.117 | 21.095 | 21.203 | 20.867 | 20.918 | 26.657 | 25.799 | 26.657 | |
| HVSm | 21.997 | 21.682 | 27.751 | 22.476 | 22.526 | 22.656 | 22.377 | 26.303 | 22.547 | 22.706 | 22.240 | 22.337 | 29.826 | 28.261 | 29.826 | |
| Img5 | PSNR | 30.816 | 34.107 | 36.762 | 33.952 | 33.686 | 33.558 | 33.825 | 34.541 | 33.694 | 33.469 | 34.132 | 33.766 | 36.599 | 37.045 | 37.045 |
| Cielab | 2.568 | 2.100 | 1.593 | 2.172 | 2.054 | 2.107 | 2.180 | 1.914 | 2.132 | 2.123 | 2.070 | 2.136 | 1.488 | 1.459 | 1.459 | |
| SSIM | 0.668 | 0.868 | 0.858 | 0.852 | 0.859 | 0.859 | 0.845 | 0.798 | 0.855 | 0.852 | 0.859 | 0.838 | 0.816 | 0.827 | 0.868 | |
| HVS | 27.733 | 27.824 | 31.730 | 28.155 | 28.083 | 28.083 | 28.344 | 30.514 | 28.154 | 28.083 | 28.132 | 28.146 | 33.628 | 33.670 | 33.670 | |
| HVSm | 29.444 | 29.335 | 34.093 | 29.707 | 29.676 | 29.772 | 29.912 | 32.085 | 29.750 | 29.775 | 29.662 | 29.688 | 36.534 | 36.333 | 36.534 | |
| Img6 | PSNR | 27.706 | 30.874 | 33.168 | 31.031 | 30.391 | 30.382 | 30.980 | 31.381 | 30.647 | 30.278 | 30.926 | 30.601 | 32.511 | 33.125 | 33.168 |
| Cielab | 5.555 | 4.605 | 3.393 | 4.721 | 4.528 | 4.464 | 4.657 | 3.797 | 4.619 | 4.544 | 4.698 | 4.575 | 3.004 | 3.049 | 3.004 | |
| SSIM | 0.711 | 0.896 | 0.909 | 0.879 | 0.877 | 0.881 | 0.864 | 0.848 | 0.882 | 0.873 | 0.860 | 0.869 | 0.870 | 0.890 | 0.909 | |
| HVS | 24.678 | 24.823 | 27.010 | 25.114 | 24.877 | 25.031 | 25.034 | 27.599 | 25.159 | 25.047 | 25.097 | 24.967 | 28.985 | 29.193 | 29.193 | |
| HVSm | 26.353 | 26.293 | 28.953 | 26.606 | 26.470 | 26.603 | 26.520 | 29.306 | 26.665 | 26.611 | 26.591 | 26.495 | 31.643 | 31.803 | 31.803 | |
| Img7 | PSNR | 30.446 | 34.517 | 38.658 | 34.469 | 34.081 | 33.701 | 34.351 | 33.767 | 33.917 | 33.680 | 34.391 | 34.183 | 34.389 | 35.691 | 38.658 |
| Cielab | 3.639 | 2.751 | 1.687 | 2.773 | 2.809 | 2.855 | 2.799 | 2.501 | 2.854 | 2.857 | 2.785 | 2.841 | 2.141 | 2.078 | 1.687 | |
| SSIM | 0.731 | 0.904 | 0.920 | 0.903 | 0.896 | 0.894 | 0.897 | 0.853 | 0.894 | 0.891 | 0.897 | 0.892 | 0.861 | 0.894 | 0.920 | |
| HVS | 27.968 | 28.395 | 34.885 | 28.409 | 28.323 | 28.199 | 28.497 | 32.017 | 28.321 | 28.159 | 28.411 | 28.415 | 32.584 | 32.357 | 34.885 | |
| HVSm | 29.538 | 29.687 | 37.761 | 29.696 | 29.661 | 29.579 | 29.800 | 34.461 | 29.628 | 29.517 | 29.706 | 29.727 | 36.020 | 34.752 | 37.761 | |
| Img8 | PSNR | 26.939 | 30.748 | 33.682 | 31.078 | 30.419 | 30.253 | 30.568 | 30.319 | 30.390 | 30.123 | 30.670 | 30.439 | 33.479 | 33.700 | 33.700 |
| Cielab | 4.697 | 3.707 | 2.707 | 3.566 | 3.769 | 3.704 | 3.758 | 3.200 | 3.746 | 3.734 | 3.707 | 3.812 | 2.407 | 2.441 | 2.407 | |
| SSIM | 0.733 | 0.900 | 0.910 | 0.899 | 0.885 | 0.890 | 0.883 | 0.860 | 0.891 | 0.886 | 0.888 | 0.877 | 0.880 | 0.890 | 0.910 | |
| HVS | 24.460 | 24.087 | 28.285 | 25.013 | 24.854 | 24.969 | 25.039 | 28.845 | 25.004 | 24.996 | 24.866 | 24.883 | 31.045 | 29.955 | 31.045 | |
| HVSm | 26.141 | 25.461 | 30.690 | 26.453 | 26.378 | 26.496 | 26.473 | 30.948 | 26.476 | 26.519 | 26.277 | 26.335 | 34.113 | 32.146 | 34.113 | |
| Img9 | PSNR | 29.775 | 32.268 | 34.974 | 32.682 | 32.117 | 31.742 | 32.676 | 33.783 | 32.316 | 31.669 | 32.668 | 32.318 | 35.220 | 35.620 | 35.620 |
| Cielab | 3.062 | 2.705 | 2.017 | 2.592 | 2.601 | 2.911 | 2.561 | 2.202 | 2.669 | 2.974 | 2.566 | 2.595 | 1.707 | 1.683 | 1.683 | |
| SSIM | 0.508 | 0.634 | 0.643 | 0.637 | 0.623 | 0.623 | 0.582 | 0.615 | 0.577 | 0.564 | 0.582 | 0.616 | 0.624 | 0.631 | 0.643 | |
| HVS | 26.329 | 26.028 | 29.823 | 26.753 | 26.632 | 26.808 | 26.748 | 30.150 | 26.823 | 26.820 | 26.779 | 26.621 | 32.389 | 32.588 | 32.588 | |
| HVSm | 27.955 | 27.482 | 31.906 | 28.234 | 28.181 | 28.362 | 28.228 | 31.987 | 28.331 | 28.365 | 28.264 | 28.115 | 35.387 | 35.453 | 35.453 | |
| Img10 | PSNR | 27.054 | 30.354 | 33.931 | 30.547 | 29.970 | 29.885 | 30.350 | 31.177 | 30.014 | 29.822 | 30.309 | 30.118 | 31.819 | 32.689 | 33.931 |
| Cielab | 4.808 | 3.975 | 2.552 | 3.930 | 3.927 | 3.915 | 3.991 | 3.223 | 4.075 | 3.940 | 3.959 | 3.936 | 2.625 | 2.598 | 2.552 | |
| SSIM | 0.687 | 0.867 | 0.868 | 0.867 | 0.856 | 0.857 | 0.832 | 0.802 | 0.858 | 0.853 | 0.855 | 0.848 | 0.825 | 0.848 | 0.868 | |
| HVS | 24.184 | 24.135 | 28.936 | 24.517 | 24.440 | 24.459 | 24.450 | 28.393 | 24.508 | 24.441 | 24.515 | 24.458 | 29.661 | 29.396 | 29.661 | |
| HVSm | 25.796 | 25.521 | 31.336 | 25.928 | 25.963 | 25.969 | 25.867 | 30.357 | 25.931 | 25.936 | 25.935 | 25.910 | 33.182 | 32.163 | 33.182 | |
| Img11 | PSNR | 29.027 | 32.011 | 33.458 | 32.234 | 31.703 | 31.707 | 32.121 | 31.682 | 31.835 | 31.655 | 32.143 | 31.687 | 33.209 | 33.702 | 33.702 |
| Cielab | 4.282 | 3.556 | 3.004 | 3.529 | 3.654 | 3.606 | 3.545 | 3.412 | 3.628 | 3.627 | 3.543 | 3.605 | 2.753 | 2.686 | 2.686 | |
| SSIM | 0.722 | 0.882 | 0.894 | 0.883 | 0.866 | 0.875 | 0.875 | 0.840 | 0.875 | 0.871 | 0.876 | 0.862 | 0.861 | 0.877 | 0.894 | |
| HVS | 26.763 | 26.320 | 28.596 | 27.143 | 27.134 | 27.175 | 27.080 | 28.744 | 27.177 | 27.215 | 27.085 | 27.089 | 30.413 | 30.445 | 30.445 | |
| HVSm | 28.417 | 27.778 | 30.488 | 28.626 | 28.708 | 28.724 | 28.548 | 30.402 | 28.693 | 28.762 | 28.552 | 28.586 | 32.997 | 32.899 | 32.997 | |
| Img12 | PSNR | 25.845 | 28.451 | 30.776 | 29.115 | 28.779 | 28.769 | 28.796 | 29.171 | 28.807 | 28.733 | 28.782 | 28.712 | 30.169 | 29.939 | 30.776 |
| Cielab | 4.525 | 3.669 | 2.741 | 3.558 | 3.610 | 3.621 | 3.786 | 3.176 | 3.707 | 3.649 | 3.783 | 3.620 | 2.588 | 2.664 | 2.588 | |
| SSIM | 0.770 | 0.909 | 0.925 | 0.910 | 0.903 | 0.902 | 0.880 | 0.883 | 0.891 | 0.889 | 0.880 | 0.902 | 0.895 | 0.900 | 0.925 | |
| HVS | 24.168 | 23.290 | 27.638 | 24.590 | 24.674 | 24.658 | 24.384 | 27.561 | 24.584 | 24.652 | 24.385 | 24.521 | 28.899 | 28.102 | 28.899 | |
| HVSm | 25.807 | 24.728 | 29.843 | 26.100 | 26.219 | 26.227 | 25.842 | 29.625 | 26.115 | 26.211 | 25.843 | 26.026 | 31.990 | 30.705 | 31.990 | |
| Average | PSNR | 28.324 | 31.484 | 34.162 | 31.692 | 31.178 | 31.022 | 31.482 | 31.670 | 31.248 | 30.963 | 31.550 | 31.258 | 33.292 | 33.974 | 34.162 |
| Cielab | 4.325 | 3.502 | 2.581 | 3.473 | 3.502 | 3.544 | 3.550 | 3.101 | 3.564 | 3.575 | 3.520 | 3.520 | 2.431 | 2.372 | 2.372 | |
| SSIM | 0.708 | 0.867 | 0.873 | 0.863 | 0.853 | 0.856 | 0.844 | 0.824 | 0.852 | 0.846 | 0.849 | 0.846 | 0.841 | 0.857 | 0.873 | |
| HVS | 25.491 | 25.359 | 29.206 | 25.913 | 25.815 | 25.872 | 25.931 | 28.618 | 25.897 | 25.878 | 25.859 | 25.841 | 30.641 | 30.628 | 30.641 | |
| HVSm | 27.132 | 26.780 | 31.449 | 27.370 | 27.347 | 27.417 | 27.387 | 30.465 | 27.379 | 27.414 | 27.303 | 27.312 | 33.580 | 33.217 | 33.580 |
| Image | Metrics | Baseline | Standard | Demonet + GFPCA | GSA | HCM | SFIM | PCA | GFPCA | GLP | HPM | GS | PRACS | F3 | ATMF | Best Score |
|---|---|---|---|---|---|---|---|---|---|---|---|---|---|---|---|---|
| Img1 | PSNR | 14.003 | 16.938 | 16.684 | 13.050 | 11.754 | 9.868 | 13.250 | 19.722 | 12.629 | 9.869 | 13.115 | 13.624 | 18.233 | 15.051 | 19.722 |
| Cielab | 16.956 | 16.675 | 12.626 | 19.269 | 22.974 | 30.931 | 18.550 | 8.456 | 20.411 | 30.928 | 18.907 | 17.823 | 11.417 | 14.372 | 8.456 | |
| SSIM | 0.253 | 0.255 | 0.240 | 0.224 | 0.193 | 0.134 | 0.227 | 0.337 | 0.209 | 0.136 | 0.225 | 0.252 | 0.303 | 0.300 | 0.337 | |
| HVS | 8.433 | 11.451 | 11.214 | 7.483 | 6.179 | 4.288 | 7.667 | 14.274 | 7.064 | 4.287 | 7.559 | 8.049 | 12.463 | 9.416 | 14.274 | |
| HVSm | 8.468 | 11.521 | 11.274 | 7.511 | 6.200 | 4.302 | 7.696 | 14.370 | 7.090 | 4.302 | 7.588 | 8.079 | 12.533 | 9.454 | 14.370 | |
| Img2 | PSNR | 14.138 | 17.558 | 15.974 | 13.947 | 11.826 | 11.352 | 13.448 | 20.151 | 13.626 | 11.236 | 13.988 | 14.157 | 18.113 | 15.236 | 20.151 |
| Cielab | 13.866 | 9.674 | 11.089 | 14.472 | 18.717 | 19.841 | 15.036 | 6.291 | 14.997 | 20.152 | 14.122 | 14.104 | 7.967 | 11.474 | 6.291 | |
| SSIM | 0.312 | 0.492 | 0.456 | 0.484 | 0.413 | 0.397 | 0.470 | 0.478 | 0.475 | 0.392 | 0.483 | 0.471 | 0.504 | 0.460 | 0.504 | |
| HVS | 9.381 | 12.136 | 11.360 | 9.143 | 7.045 | 6.579 | 8.646 | 15.254 | 8.832 | 6.463 | 9.167 | 9.353 | 13.080 | 10.381 | 15.254 | |
| HVSm | 9.478 | 12.287 | 11.456 | 9.211 | 7.090 | 6.620 | 8.707 | 15.536 | 8.896 | 6.503 | 9.237 | 9.427 | 13.238 | 10.476 | 15.536 | |
| Img3 | PSNR | 15.795 | 20.115 | 18.598 | 14.278 | 11.922 | 10.052 | 14.552 | 19.590 | 14.173 | 12.771 | 14.483 | 15.557 | 20.337 | 16.976 | 20.337 |
| Cielab | 14.500 | 11.636 | 10.824 | 17.166 | 23.320 | 31.084 | 16.403 | 8.648 | 17.410 | 20.671 | 16.538 | 14.949 | 9.372 | 12.038 | 8.648 | |
| SSIM | 0.377 | 0.351 | 0.383 | 0.340 | 0.256 | 0.160 | 0.343 | 0.437 | 0.340 | 0.298 | 0.341 | 0.373 | 0.417 | 0.424 | 0.437 | |
| HVS | 10.597 | 14.944 | 13.688 | 9.089 | 6.724 | 4.846 | 9.370 | 14.482 | 8.988 | 7.577 | 9.301 | 10.364 | 14.868 | 11.766 | 14.944 | |
| HVSm | 10.672 | 15.165 | 13.811 | 9.141 | 6.757 | 4.870 | 9.427 | 14.621 | 9.040 | 7.615 | 9.358 | 10.433 | 15.031 | 11.847 | 15.165 | |
| Img4 | PSNR | 10.088 | 14.211 | 14.391 | 10.306 | 10.012 | 10.039 | 10.178 | 18.433 | 10.204 | 10.042 | 10.319 | 10.206 | 15.782 | 11.786 | 18.433 |
| Cielab | 24.012 | 12.199 | 14.541 | 24.316 | 25.080 | 24.840 | 23.819 | 8.165 | 24.683 | 24.823 | 23.431 | 24.210 | 9.892 | 17.360 | 8.165 | |
| SSIM | 0.235 | 0.414 | 0.483 | 0.363 | 0.339 | 0.343 | 0.346 | 0.554 | 0.356 | 0.344 | 0.355 | 0.335 | 0.518 | 0.403 | 0.554 | |
| HVS | 5.410 | 9.014 | 10.008 | 5.576 | 5.291 | 5.325 | 5.440 | 13.711 | 5.490 | 5.326 | 5.577 | 5.483 | 10.962 | 7.032 | 13.711 | |
| HVSm | 5.537 | 9.282 | 10.236 | 5.685 | 5.395 | 5.429 | 5.551 | 14.282 | 5.597 | 5.431 | 5.691 | 5.596 | 11.285 | 7.186 | 14.282 | |
| Img5 | PSNR | 16.916 | 21.224 | 17.470 | 14.163 | 11.114 | 11.393 | 14.693 | 22.393 | 13.676 | 9.984 | 14.249 | 16.729 | 20.799 | 17.823 | 22.393 |
| Cielab | 10.360 | 7.301 | 9.646 | 14.069 | 20.711 | 19.935 | 13.049 | 5.184 | 14.891 | 24.430 | 13.751 | 10.656 | 6.514 | 8.863 | 5.184 | |
| SSIM | 0.267 | 0.311 | 0.296 | 0.297 | 0.244 | 0.251 | 0.300 | 0.371 | 0.290 | 0.213 | 0.295 | 0.318 | 0.350 | 0.341 | 0.371 | |
| HVS | 12.644 | 16.258 | 13.366 | 9.950 | 6.905 | 7.190 | 10.449 | 18.072 | 9.470 | 5.780 | 10.009 | 12.476 | 16.414 | 13.535 | 18.072 | |
| HVSm | 12.758 | 16.524 | 13.464 | 10.007 | 6.935 | 7.222 | 10.513 | 18.329 | 9.522 | 5.804 | 10.069 | 12.577 | 16.615 | 13.647 | 18.329 | |
| Img6 | PSNR | 17.726 | 20.076 | 18.567 | 16.210 | 13.238 | 14.560 | 16.054 | 22.636 | 16.131 | 10.268 | 16.374 | 17.433 | 21.515 | 18.790 | 22.636 |
| Cielab | 13.170 | 12.025 | 11.708 | 15.276 | 21.065 | 17.836 | 14.915 | 6.505 | 15.380 | 33.388 | 14.554 | 13.681 | 8.691 | 10.560 | 6.505 | |
| SSIM | 0.316 | 0.390 | 0.380 | 0.390 | 0.294 | 0.345 | 0.387 | 0.442 | 0.387 | 0.107 | 0.390 | 0.401 | 0.439 | 0.422 | 0.442 | |
| HVS | 13.266 | 16.102 | 14.382 | 11.751 | 8.822 | 10.148 | 11.623 | 18.036 | 11.690 | 5.859 | 11.939 | 12.933 | 17.168 | 14.265 | 18.036 | |
| HVSm | 13.482 | 16.479 | 14.576 | 11.882 | 8.891 | 10.238 | 11.755 | 18.506 | 11.820 | 5.903 | 12.080 | 13.110 | 17.554 | 14.483 | 18.506 | |
| Img7 | PSNR | 19.036 | 22.679 | 18.003 | 18.817 | 17.649 | 18.024 | 19.394 | 22.679 | 18.984 | 18.439 | 19.216 | 19.408 | 22.200 | 20.065 | 22.679 |
| Cielab | 9.992 | 6.905 | 10.548 | 10.272 | 11.420 | 10.948 | 9.637 | 5.470 | 10.122 | 10.564 | 9.765 | 9.826 | 5.956 | 8.312 | 5.470 | |
| SSIM | 0.307 | 0.402 | 0.341 | 0.397 | 0.383 | 0.384 | 0.398 | 0.393 | 0.394 | 0.389 | 0.398 | 0.400 | 0.417 | 0.404 | 0.417 | |
| HVS | 14.648 | 18.350 | 13.822 | 14.501 | 13.344 | 13.730 | 15.070 | 18.337 | 14.669 | 14.130 | 14.874 | 15.037 | 17.860 | 15.673 | 18.350 | |
| HVSm | 14.807 | 18.701 | 13.924 | 14.657 | 13.459 | 13.863 | 15.248 | 18.619 | 14.842 | 14.279 | 15.045 | 15.208 | 18.106 | 15.840 | 18.701 | |
| Img8 | PSNR | 11.581 | 15.178 | 17.590 | 11.734 | 10.788 | 10.041 | 11.971 | 20.682 | 11.644 | 10.042 | 11.765 | 11.633 | 17.696 | 13.332 | 20.682 |
| Cielab | 21.357 | 13.557 | 10.492 | 21.184 | 24.372 | 27.258 | 20.200 | 6.492 | 21.492 | 27.259 | 20.777 | 21.450 | 9.445 | 16.127 | 6.492 | |
| SSIM | 0.227 | 0.371 | 0.400 | 0.322 | 0.271 | 0.230 | 0.327 | 0.452 | 0.319 | 0.230 | 0.319 | 0.299 | 0.437 | 0.357 | 0.452 | |
| HVS | 6.592 | 9.667 | 12.841 | 6.723 | 5.785 | 5.041 | 6.956 | 15.729 | 6.640 | 5.041 | 6.751 | 6.627 | 12.521 | 8.260 | 15.729 | |
| HVSm | 6.651 | 9.772 | 12.981 | 6.772 | 5.826 | 5.078 | 7.008 | 16.030 | 6.688 | 5.078 | 6.802 | 6.678 | 12.670 | 8.330 | 16.030 | |
| Img9 | PSNR | 10.053 | 11.090 | 14.208 | 10.068 | 10.062 | 10.064 | 10.027 | 17.474 | 10.071 | 10.065 | 10.026 | 10.066 | 14.001 | 11.048 | 17.474 |
| Cielab | 17.176 | 15.676 | 10.481 | 17.232 | 17.270 | 17.509 | 17.109 | 7.037 | 17.242 | 17.513 | 17.104 | 17.207 | 10.216 | 14.392 | 7.037 | |
| SSIM | 0.194 | 0.251 | 0.292 | 0.266 | 0.259 | 0.258 | 0.267 | 0.314 | 0.265 | 0.258 | 0.267 | 0.257 | 0.308 | 0.281 | 0.314 | |
| HVS | 5.504 | 6.472 | 9.733 | 5.517 | 5.514 | 5.524 | 5.479 | 12.883 | 5.523 | 5.524 | 5.479 | 5.513 | 9.405 | 6.479 | 12.883 | |
| HVSm | 5.530 | 6.505 | 9.776 | 5.540 | 5.537 | 5.547 | 5.502 | 12.965 | 5.546 | 5.547 | 5.502 | 5.537 | 9.448 | 6.506 | 12.965 | |
| Img10 | PSNR | 13.625 | 19.239 | 17.815 | 13.493 | 11.736 | 12.040 | 13.348 | 19.483 | 13.289 | 12.158 | 13.645 | 13.876 | 20.142 | 15.465 | 20.142 |
| Cielab | 16.194 | 9.271 | 10.115 | 16.750 | 20.876 | 19.974 | 16.644 | 7.487 | 17.188 | 19.669 | 16.111 | 15.937 | 7.392 | 12.291 | 7.392 | |
| SSIM | 0.264 | 0.344 | 0.395 | 0.354 | 0.294 | 0.309 | 0.350 | 0.433 | 0.349 | 0.314 | 0.354 | 0.349 | 0.422 | 0.387 | 0.433 | |
| HVS | 9.662 | 15.279 | 14.100 | 9.501 | 7.766 | 8.077 | 9.370 | 15.398 | 9.312 | 8.194 | 9.659 | 9.883 | 16.333 | 11.467 | 16.333 | |
| HVSm | 9.769 | 15.657 | 14.267 | 9.584 | 7.825 | 8.138 | 9.455 | 15.663 | 9.391 | 8.256 | 9.748 | 9.977 | 16.678 | 11.589 | 16.678 | |
| Img11 | PSNR | 14.825 | 19.458 | 15.178 | 14.240 | 11.081 | 10.053 | 14.255 | 18.317 | 14.172 | 10.053 | 14.349 | 14.901 | 18.144 | 15.610 | 19.458 |
| Cielab | 14.903 | 10.783 | 14.288 | 16.157 | 24.628 | 28.967 | 15.864 | 9.108 | 16.304 | 28.966 | 15.687 | 14.906 | 9.864 | 13.027 | 9.108 | |
| SSIM | 0.321 | 0.421 | 0.365 | 0.400 | 0.270 | 0.209 | 0.397 | 0.425 | 0.397 | 0.210 | 0.399 | 0.407 | 0.438 | 0.414 | 0.438 | |
| HVS | 9.652 | 14.350 | 10.008 | 9.035 | 5.862 | 4.830 | 9.066 | 13.151 | 8.974 | 4.830 | 9.160 | 9.697 | 12.659 | 10.372 | 14.350 | |
| HVSm | 9.717 | 14.531 | 10.066 | 9.085 | 5.888 | 4.852 | 9.117 | 13.272 | 9.024 | 4.852 | 9.212 | 9.756 | 12.766 | 10.437 | 14.531 | |
| Img12 | PSNR | 12.443 | 16.404 | 16.748 | 12.545 | 11.357 | 11.462 | 12.647 | 18.653 | 12.397 | 11.704 | 12.579 | 12.529 | 17.472 | 13.971 | 18.653 |
| Cielab | 19.343 | 9.549 | 11.380 | 19.458 | 23.079 | 22.681 | 18.746 | 8.613 | 19.897 | 21.887 | 18.927 | 19.410 | 8.795 | 14.948 | 8.613 | |
| SSIM | 0.284 | 0.435 | 0.457 | 0.379 | 0.307 | 0.317 | 0.379 | 0.511 | 0.373 | 0.333 | 0.376 | 0.368 | 0.497 | 0.422 | 0.511 | |
| HVS | 7.785 | 11.524 | 12.328 | 7.826 | 6.645 | 6.752 | 7.934 | 14.199 | 7.686 | 6.994 | 7.866 | 7.820 | 12.814 | 9.296 | 14.199 | |
| HVSm | 7.861 | 11.682 | 12.455 | 7.888 | 6.696 | 6.803 | 7.999 | 14.415 | 7.746 | 7.048 | 7.930 | 7.885 | 12.976 | 9.382 | 14.415 | |
| Average | PSNR | 14.186 | 17.847 | 16.769 | 13.571 | 11.878 | 11.579 | 13.651 | 20.018 | 13.416 | 11.386 | 13.676 | 14.176 | 18.703 | 15.429 | 20.018 |
| Cielab | 15.986 | 11.271 | 11.478 | 17.135 | 21.126 | 22.650 | 16.664 | 7.288 | 17.501 | 23.354 | 16.639 | 16.180 | 8.793 | 12.814 | 7.288 | |
| SSIM | 0.280 | 0.370 | 0.374 | 0.351 | 0.294 | 0.278 | 0.349 | 0.429 | 0.346 | 0.269 | 0.350 | 0.353 | 0.421 | 0.385 | 0.429 | |
| HVS | 9.465 | 12.962 | 12.237 | 8.841 | 7.157 | 6.861 | 8.922 | 15.294 | 8.695 | 6.667 | 8.945 | 9.436 | 13.879 | 10.662 | 15.294 | |
| HVSm | 9.561 | 13.176 | 12.357 | 8.913 | 7.208 | 6.914 | 8.998 | 15.551 | 8.767 | 6.718 | 9.022 | 9.522 | 14.075 | 10.765 | 15.551 |
| Image | Metrics | Baseline | Standard | Demonet + GFPCA | GSA | HCM | SFIM | PCA | GFPCA | GLP | HPM | GS | PRACS | F3 | ATMF | Best Score |
|---|---|---|---|---|---|---|---|---|---|---|---|---|---|---|---|---|
| Img1 | PSNR | 13.054 | 13.763 | 20.419 | 13.821 | 12.359 | 9.859 | 13.482 | 22.570 | 13.670 | 9.902 | 13.537 | 13.451 | 18.180 | 14.655 | 22.570 |
| Cielab | 18.647 | 16.976 | 7.829 | 16.870 | 20.590 | 30.676 | 17.467 | 6.312 | 17.244 | 30.447 | 17.380 | 17.691 | 9.786 | 15.006 | 6.312 | |
| SSIM | 0.263 | 0.298 | 0.378 | 0.300 | 0.251 | 0.135 | 0.287 | 0.393 | 0.302 | 0.138 | 0.289 | 0.282 | 0.373 | 0.320 | 0.393 | |
| HVS | 7.477 | 8.178 | 14.962 | 8.233 | 6.773 | 4.272 | 7.917 | 17.219 | 8.081 | 4.314 | 7.977 | 7.867 | 12.654 | 9.077 | 17.219 | |
| HVSm | 7.500 | 8.204 | 15.040 | 8.258 | 6.792 | 4.286 | 7.941 | 17.350 | 8.105 | 4.327 | 8.002 | 7.891 | 12.706 | 9.106 | 17.350 | |
| Img2 | PSNR | 14.691 | 14.245 | 22.164 | 14.243 | 12.354 | 11.945 | 13.758 | 20.236 | 13.946 | 11.807 | 14.358 | 14.446 | 18.371 | 15.213 | 22.164 |
| Cielab | 12.513 | 13.303 | 5.076 | 13.363 | 16.937 | 17.877 | 13.987 | 6.190 | 13.864 | 18.219 | 12.983 | 13.015 | 7.658 | 11.564 | 5.076 | |
| SSIM | 0.298 | 0.402 | 0.359 | 0.401 | 0.340 | 0.330 | 0.379 | 0.341 | 0.398 | 0.324 | 0.394 | 0.377 | 0.380 | 0.389 | 0.402 | |
| HVS | 9.984 | 9.449 | 18.107 | 9.457 | 7.586 | 7.176 | 9.009 | 15.742 | 9.165 | 7.039 | 9.597 | 9.681 | 13.746 | 10.449 | 18.107 | |
| HVSm | 10.074 | 9.523 | 18.542 | 9.527 | 7.637 | 7.222 | 9.074 | 16.024 | 9.231 | 7.084 | 9.670 | 9.756 | 13.916 | 10.535 | 18.542 | |
| Img3 | PSNR | 14.199 | 15.322 | 23.477 | 15.261 | 12.855 | 10.311 | 15.116 | 23.322 | 15.238 | 13.884 | 15.161 | 14.948 | 19.909 | 16.347 | 23.477 |
| Cielab | 16.573 | 14.459 | 6.137 | 14.560 | 19.881 | 29.327 | 14.695 | 6.050 | 14.634 | 17.259 | 14.621 | 15.147 | 8.333 | 12.554 | 6.050 | |
| SSIM | 0.356 | 0.417 | 0.510 | 0.417 | 0.322 | 0.170 | 0.402 | 0.506 | 0.423 | 0.376 | 0.404 | 0.396 | 0.495 | 0.441 | 0.510 | |
| HVS | 9.001 | 10.106 | 18.703 | 10.043 | 7.648 | 5.098 | 9.943 | 18.380 | 10.015 | 8.666 | 9.987 | 9.742 | 14.811 | 11.159 | 18.703 | |
| HVSm | 9.048 | 10.160 | 18.944 | 10.096 | 7.684 | 5.124 | 9.997 | 18.636 | 10.067 | 8.708 | 10.041 | 9.793 | 14.930 | 11.224 | 18.944 | |
| Img4 | PSNR | 10.189 | 6.944 | 18.732 | 10.505 | 10.126 | 10.284 | 10.372 | 17.658 | 10.450 | 10.170 | 10.526 | 10.305 | 14.975 | 11.560 | 18.732 |
| Cielab | 23.401 | 40.595 | 8.485 | 23.191 | 24.114 | 23.606 | 22.890 | 9.357 | 23.442 | 23.937 | 22.463 | 23.334 | 12.094 | 19.078 | 8.485 | |
| SSIM | 0.269 | 0.069 | 0.568 | 0.374 | 0.346 | 0.359 | 0.354 | 0.549 | 0.370 | 0.350 | 0.364 | 0.336 | 0.527 | 0.419 | 0.568 | |
| HVS | 5.533 | 2.237 | 14.723 | 5.776 | 5.406 | 5.555 | 5.684 | 13.327 | 5.725 | 5.442 | 5.836 | 5.596 | 10.439 | 6.860 | 14.723 | |
| HVSm | 5.646 | 2.304 | 15.210 | 5.885 | 5.508 | 5.660 | 5.794 | 13.726 | 5.833 | 5.545 | 5.947 | 5.704 | 10.666 | 6.989 | 15.210 | |
| Img5 | PSNR | 11.887 | 14.896 | 20.735 | 14.899 | 11.747 | 11.955 | 14.294 | 20.445 | 15.314 | 10.399 | 14.592 | 12.938 | 18.303 | 15.653 | 20.735 |
| Cielab | 18.195 | 12.349 | 6.012 | 12.384 | 18.598 | 18.101 | 13.195 | 6.191 | 11.796 | 22.657 | 12.719 | 15.824 | 7.919 | 11.070 | 6.012 | |
| SSIM | 0.191 | 0.285 | 0.290 | 0.287 | 0.220 | 0.231 | 0.269 | 0.289 | 0.297 | 0.182 | 0.272 | 0.240 | 0.297 | 0.288 | 0.297 | |
| HVS | 7.681 | 10.661 | 16.575 | 10.667 | 7.534 | 7.740 | 10.088 | 16.263 | 11.080 | 6.189 | 10.381 | 8.722 | 14.099 | 11.433 | 16.575 | |
| HVSm | 7.716 | 10.715 | 16.728 | 10.718 | 7.566 | 7.771 | 10.135 | 16.415 | 11.135 | 6.214 | 10.432 | 8.760 | 14.194 | 11.492 | 16.728 | |
| Img6 | PSNR | 17.145 | 18.931 | 22.062 | 19.160 | 15.673 | 17.544 | 18.980 | 22.510 | 19.092 | 10.482 | 18.896 | 18.884 | 21.256 | 19.642 | 22.510 |
| Cielab | 12.344 | 10.555 | 6.888 | 10.281 | 14.512 | 11.813 | 10.388 | 6.350 | 10.408 | 31.443 | 10.518 | 10.501 | 7.320 | 9.252 | 6.350 | |
| SSIM | 0.270 | 0.362 | 0.291 | 0.368 | 0.293 | 0.345 | 0.349 | 0.297 | 0.373 | 0.071 | 0.344 | 0.336 | 0.332 | 0.351 | 0.373 | |
| HVS | 12.763 | 14.422 | 17.955 | 14.627 | 11.252 | 13.084 | 14.572 | 18.354 | 14.566 | 6.073 | 14.510 | 14.415 | 16.945 | 15.192 | 18.354 | |
| HVSm | 12.922 | 14.634 | 18.374 | 14.855 | 11.360 | 13.241 | 14.799 | 18.840 | 14.787 | 6.120 | 14.734 | 14.636 | 17.291 | 15.441 | 18.840 | |
| Img7 | PSNR | 20.804 | 21.559 | 28.587 | 21.513 | 20.219 | 20.428 | 21.585 | 27.927 | 21.191 | 20.557 | 21.383 | 21.165 | 26.306 | 22.678 | 28.587 |
| Cielab | 7.713 | 7.211 | 3.255 | 7.257 | 8.033 | 7.914 | 7.111 | 3.511 | 7.470 | 7.836 | 7.204 | 7.501 | 4.089 | 6.180 | 3.255 | |
| SSIM | 0.310 | 0.406 | 0.332 | 0.406 | 0.395 | 0.401 | 0.393 | 0.325 | 0.407 | 0.400 | 0.392 | 0.379 | 0.372 | 0.392 | 0.407 | |
| HVS | 16.526 | 17.130 | 25.750 | 17.087 | 15.847 | 16.036 | 17.276 | 24.619 | 16.779 | 16.165 | 17.059 | 16.797 | 22.404 | 18.355 | 25.750 | |
| HVSm | 16.718 | 17.331 | 27.238 | 17.284 | 15.993 | 16.188 | 17.483 | 25.799 | 16.962 | 16.322 | 17.257 | 16.985 | 23.043 | 18.613 | 27.238 | |
| Img8 | PSNR | 12.238 | 12.295 | 19.205 | 12.285 | 11.176 | 10.361 | 11.770 | 18.268 | 12.361 | 10.397 | 11.970 | 12.300 | 16.076 | 13.164 | 19.205 |
| Cielab | 19.157 | 19.098 | 7.794 | 19.126 | 22.505 | 25.510 | 20.395 | 8.565 | 18.963 | 25.372 | 19.810 | 19.081 | 11.231 | 16.677 | 7.794 | |
| SSIM | 0.234 | 0.285 | 0.347 | 0.284 | 0.230 | 0.190 | 0.250 | 0.331 | 0.294 | 0.193 | 0.259 | 0.268 | 0.334 | 0.296 | 0.347 | |
| HVS | 7.269 | 7.279 | 14.530 | 7.272 | 6.172 | 5.354 | 6.784 | 13.440 | 7.347 | 5.390 | 6.983 | 7.301 | 11.161 | 8.171 | 14.530 | |
| HVSm | 7.326 | 7.333 | 14.705 | 7.325 | 6.216 | 5.394 | 6.834 | 13.596 | 7.400 | 5.429 | 7.034 | 7.355 | 11.260 | 8.233 | 14.705 | |
| Img9 | PSNR | 9.974 | 9.187 | 17.493 | 10.204 | 10.298 | 10.177 | 10.155 | 16.885 | 10.148 | 10.155 | 10.166 | 10.072 | 14.214 | 11.165 | 17.493 |
| Cielab | 17.009 | 18.860 | 6.902 | 16.519 | 16.314 | 16.811 | 16.487 | 7.365 | 16.669 | 16.869 | 16.460 | 16.784 | 9.822 | 14.392 | 6.902 | |
| SSIM | 0.187 | 0.206 | 0.273 | 0.227 | 0.226 | 0.226 | 0.226 | 0.263 | 0.230 | 0.225 | 0.226 | 0.213 | 0.255 | 0.236 | 0.273 | |
| HVS | 5.434 | 4.639 | 13.022 | 5.652 | 5.748 | 5.630 | 5.618 | 12.352 | 5.595 | 5.607 | 5.629 | 5.523 | 9.679 | 6.619 | 13.022 | |
| HVSm | 5.454 | 4.656 | 13.084 | 5.672 | 5.768 | 5.650 | 5.638 | 12.413 | 5.615 | 5.627 | 5.649 | 5.543 | 9.716 | 6.642 | 13.084 | |
| Img10 | PSNR | 13.846 | 14.159 | 19.044 | 14.502 | 12.749 | 12.486 | 14.401 | 20.421 | 14.368 | 12.863 | 14.432 | 14.260 | 17.685 | 15.207 | 20.421 |
| Cielab | 15.269 | 14.796 | 7.789 | 14.230 | 17.673 | 18.275 | 14.128 | 6.745 | 14.524 | 17.390 | 14.117 | 14.555 | 9.090 | 12.623 | 6.745 | |
| SSIM | 0.257 | 0.323 | 0.326 | 0.334 | 0.279 | 0.278 | 0.321 | 0.335 | 0.337 | 0.291 | 0.319 | 0.304 | 0.342 | 0.332 | 0.342 | |
| HVS | 9.910 | 10.169 | 15.340 | 10.503 | 8.780 | 8.511 | 10.451 | 16.645 | 10.372 | 8.887 | 10.487 | 10.286 | 13.806 | 11.251 | 16.645 | |
| HVSm | 10.004 | 10.262 | 15.568 | 10.605 | 8.851 | 8.580 | 10.553 | 16.970 | 10.469 | 8.960 | 10.590 | 10.385 | 13.983 | 11.364 | 16.970 | |
| Img11 | PSNR | 14.151 | 15.449 | 17.674 | 15.399 | 12.933 | 10.055 | 15.312 | 16.688 | 15.444 | 10.137 | 15.307 | 14.756 | 16.562 | 15.622 | 17.674 |
| Cielab | 15.534 | 13.262 | 9.881 | 13.350 | 18.342 | 28.579 | 13.321 | 10.893 | 13.312 | 28.180 | 13.329 | 14.411 | 11.154 | 12.713 | 9.881 | |
| SSIM | 0.251 | 0.331 | 0.254 | 0.332 | 0.255 | 0.128 | 0.317 | 0.241 | 0.344 | 0.133 | 0.316 | 0.294 | 0.286 | 0.315 | 0.344 | |
| HVS | 8.972 | 10.247 | 12.554 | 10.196 | 7.724 | 4.832 | 10.161 | 11.590 | 10.241 | 4.914 | 10.156 | 9.562 | 11.413 | 10.460 | 12.554 | |
| HVSm | 9.023 | 10.310 | 12.657 | 10.257 | 7.762 | 4.856 | 10.224 | 11.678 | 10.302 | 4.938 | 10.218 | 9.617 | 11.493 | 10.525 | 12.657 | |
| Img12 | PSNR | 12.461 | 13.288 | 17.288 | 13.318 | 11.758 | 12.120 | 13.142 | 16.750 | 13.281 | 12.222 | 13.095 | 12.842 | 15.660 | 13.835 | 17.288 |
| Cielab | 18.954 | 16.971 | 10.784 | 16.903 | 21.173 | 20.054 | 17.016 | 11.564 | 17.035 | 19.758 | 17.130 | 18.012 | 12.756 | 15.710 | 10.784 | |
| SSIM | 0.257 | 0.350 | 0.416 | 0.352 | 0.268 | 0.294 | 0.332 | 0.404 | 0.357 | 0.300 | 0.330 | 0.314 | 0.400 | 0.360 | 0.416 | |
| HVS | 7.811 | 8.578 | 13.113 | 8.609 | 7.053 | 7.410 | 8.465 | 12.450 | 8.572 | 7.511 | 8.418 | 8.150 | 11.206 | 9.189 | 13.113 | |
| HVSm | 7.880 | 8.651 | 13.249 | 8.683 | 7.110 | 7.470 | 8.539 | 12.580 | 8.645 | 7.573 | 8.491 | 8.219 | 11.309 | 9.268 | 13.249 | |
| Average | PSNR | 13.720 | 14.170 | 20.573 | 14.593 | 12.854 | 12.294 | 14.364 | 20.306 | 14.542 | 11.914 | 14.452 | 14.197 | 18.125 | 15.395 | 20.573 |
| Cielab | 16.276 | 16.536 | 7.236 | 14.836 | 18.223 | 20.712 | 15.090 | 7.424 | 14.947 | 21.614 | 14.894 | 15.488 | 9.271 | 13.068 | 7.236 | |
| SSIM | 0.262 | 0.311 | 0.362 | 0.340 | 0.285 | 0.257 | 0.323 | 0.356 | 0.344 | 0.249 | 0.326 | 0.312 | 0.366 | 0.345 | 0.366 | |
| HVS | 9.030 | 9.425 | 16.278 | 9.843 | 8.127 | 7.558 | 9.664 | 15.865 | 9.795 | 7.183 | 9.752 | 9.470 | 13.530 | 10.685 | 16.278 | |
| HVSm | 9.109 | 9.507 | 16.612 | 9.931 | 8.187 | 7.620 | 9.751 | 16.169 | 9.879 | 7.237 | 9.839 | 9.554 | 13.709 | 10.786 | 16.612 |
| Image | Metrics | Baseline | Standard | Demonet + GFPCA | GSA | HCM | SFIM | PCA | GFPCA | GLP | HPM | GS | PRACS | F3 | ATMF | Best Score |
|---|---|---|---|---|---|---|---|---|---|---|---|---|---|---|---|---|
| Img1 | PSNR | 21.413 | 21.576 | 25.348 | 21.575 | 21.542 | 20.811 | 21.472 | 21.408 | 21.620 | 21.253 | 21.478 | 21.520 | 22.802 | 21.636 | 25.348 |
| Cielab | 7.003 | 6.968 | 5.285 | 6.970 | 7.012 | 7.027 | 6.862 | 7.185 | 6.977 | 7.032 | 6.964 | 6.975 | 6.231 | 6.924 | 5.285 | |
| SSIM | 0.408 | 0.427 | 0.384 | 0.427 | 0.420 | 0.430 | 0.425 | 0.414 | 0.431 | 0.429 | 0.425 | 0.420 | 0.422 | 0.425 | 0.431 | |
| HVS | 15.983 | 16.049 | 19.960 | 16.051 | 16.038 | 16.076 | 15.861 | 15.917 | 16.089 | 16.082 | 15.972 | 16.033 | 17.300 | 16.136 | 19.960 | |
| HVSm | 16.121 | 16.163 | 20.235 | 16.165 | 16.154 | 16.188 | 15.969 | 16.029 | 16.199 | 16.194 | 16.085 | 16.154 | 17.442 | 16.248 | 20.235 | |
| Img2 | PSNR | 23.326 | 24.749 | 25.720 | 24.728 | 24.646 | 24.671 | 24.473 | 24.481 | 24.713 | 24.679 | 24.520 | 24.519 | 25.430 | 24.828 | 25.720 |
| Cielab | 5.144 | 4.796 | 3.706 | 4.827 | 4.907 | 4.848 | 4.857 | 4.195 | 4.835 | 4.850 | 4.845 | 4.887 | 4.203 | 4.580 | 3.706 | |
| SSIM | 0.355 | 0.505 | 0.399 | 0.504 | 0.499 | 0.503 | 0.500 | 0.451 | 0.504 | 0.502 | 0.499 | 0.483 | 0.480 | 0.493 | 0.505 | |
| HVS | 19.126 | 19.932 | 21.434 | 19.986 | 19.917 | 20.019 | 19.866 | 19.865 | 20.067 | 20.022 | 19.743 | 19.887 | 20.883 | 20.212 | 21.434 | |
| HVSm | 20.004 | 20.643 | 22.707 | 20.682 | 20.629 | 20.737 | 20.530 | 20.667 | 20.784 | 20.744 | 20.409 | 20.614 | 21.781 | 20.957 | 22.707 | |
| Img3 | PSNR | 28.287 | 29.290 | 28.498 | 29.287 | 29.044 | 29.157 | 29.201 | 29.841 | 29.176 | 29.127 | 29.201 | 29.059 | 29.503 | 29.557 | 29.841 |
| Cielab | 4.998 | 4.908 | 4.659 | 4.910 | 5.039 | 4.775 | 4.950 | 4.376 | 4.857 | 4.778 | 4.946 | 4.928 | 4.574 | 4.679 | 4.376 | |
| SSIM | 0.535 | 0.566 | 0.523 | 0.566 | 0.558 | 0.566 | 0.562 | 0.574 | 0.565 | 0.564 | 0.562 | 0.558 | 0.563 | 0.567 | 0.574 | |
| HVS | 24.189 | 24.566 | 24.453 | 24.569 | 24.490 | 24.333 | 24.580 | 25.612 | 24.282 | 24.286 | 24.521 | 24.493 | 25.242 | 25.136 | 25.612 | |
| HVSm | 25.468 | 25.701 | 25.513 | 25.702 | 25.656 | 25.489 | 25.697 | 26.834 | 25.432 | 25.442 | 25.633 | 25.646 | 26.423 | 26.319 | 26.834 | |
| Img4 | PSNR | 18.115 | 19.491 | 20.725 | 19.491 | 19.315 | 19.455 | 19.081 | 19.584 | 19.492 | 19.472 | 19.087 | 19.266 | 20.295 | 19.810 | 20.725 |
| Cielab | 12.058 | 11.913 | 6.315 | 11.904 | 11.702 | 11.465 | 11.690 | 7.298 | 11.894 | 11.458 | 11.702 | 11.636 | 8.996 | 10.120 | 6.315 | |
| SSIM | 0.442 | 0.621 | 0.594 | 0.621 | 0.606 | 0.615 | 0.608 | 0.606 | 0.617 | 0.614 | 0.608 | 0.593 | 0.634 | 0.625 | 0.634 | |
| HVS | 13.571 | 14.226 | 16.202 | 14.231 | 14.160 | 14.318 | 13.898 | 14.798 | 14.351 | 14.325 | 13.837 | 14.103 | 15.352 | 14.783 | 16.202 | |
| HVSm | 14.298 | 14.799 | 17.053 | 14.803 | 14.756 | 14.922 | 14.446 | 15.441 | 14.950 | 14.934 | 14.385 | 14.711 | 16.005 | 15.384 | 17.053 | |
| Img5 | PSNR | 27.738 | 29.195 | 27.871 | 29.189 | 28.964 | 29.083 | 28.794 | 29.213 | 29.180 | 29.066 | 28.857 | 28.935 | 29.113 | 29.348 | 29.348 |
| Cielab | 3.564 | 3.447 | 3.578 | 3.437 | 3.424 | 3.401 | 3.563 | 3.287 | 3.402 | 3.403 | 3.527 | 3.429 | 3.328 | 3.306 | 3.287 | |
| SSIM | 0.309 | 0.362 | 0.312 | 0.362 | 0.359 | 0.362 | 0.358 | 0.351 | 0.361 | 0.360 | 0.358 | 0.354 | 0.353 | 0.359 | 0.362 | |
| HVS | 23.941 | 24.909 | 23.775 | 24.937 | 24.747 | 24.935 | 24.542 | 25.109 | 25.054 | 24.898 | 24.476 | 24.789 | 25.122 | 25.329 | 25.329 | |
| HVSm | 25.218 | 25.996 | 24.688 | 26.018 | 25.873 | 26.095 | 25.513 | 26.217 | 26.191 | 26.065 | 25.466 | 25.907 | 26.190 | 26.446 | 26.446 | |
| Img6 | PSNR | 22.216 | 22.790 | 26.248 | 22.790 | 22.729 | 22.809 | 22.608 | 22.670 | 22.830 | 22.812 | 22.602 | 22.677 | 24.363 | 22.876 | 26.248 |
| Cielab | 6.988 | 6.826 | 5.124 | 6.835 | 6.870 | 6.736 | 6.977 | 6.269 | 6.787 | 6.744 | 6.993 | 6.829 | 5.794 | 6.575 | 5.124 | |
| SSIM | 0.315 | 0.396 | 0.334 | 0.396 | 0.391 | 0.398 | 0.391 | 0.375 | 0.398 | 0.397 | 0.389 | 0.379 | 0.383 | 0.392 | 0.398 | |
| HVS | 18.162 | 18.526 | 21.866 | 18.496 | 18.529 | 18.604 | 18.374 | 18.394 | 18.590 | 18.612 | 18.346 | 18.421 | 20.089 | 18.674 | 21.866 | |
| HVSm | 18.748 | 19.018 | 23.111 | 18.997 | 19.016 | 19.100 | 18.872 | 18.906 | 19.093 | 19.110 | 18.837 | 18.946 | 20.811 | 19.184 | 23.111 | |
| Img7 | PSNR | 26.556 | 27.545 | 26.766 | 27.552 | 27.510 | 27.475 | 27.623 | 27.511 | 27.484 | 27.459 | 27.620 | 27.449 | 27.506 | 27.603 | 27.623 |
| Cielab | 4.571 | 4.375 | 4.284 | 4.381 | 4.416 | 4.403 | 4.369 | 4.074 | 4.389 | 4.407 | 4.365 | 4.411 | 4.219 | 4.278 | 4.074 | |
| SSIM | 0.370 | 0.471 | 0.359 | 0.471 | 0.468 | 0.471 | 0.467 | 0.439 | 0.470 | 0.469 | 0.467 | 0.460 | 0.447 | 0.462 | 0.471 | |
| HVS | 22.670 | 23.285 | 22.958 | 23.297 | 23.293 | 23.285 | 23.434 | 23.481 | 23.284 | 23.271 | 23.377 | 23.236 | 23.509 | 23.474 | 23.509 | |
| HVSm | 23.537 | 24.040 | 23.825 | 24.050 | 24.051 | 24.052 | 24.212 | 24.332 | 24.051 | 24.040 | 24.151 | 24.005 | 24.327 | 24.263 | 24.332 | |
| Img8 | PSNR | 24.878 | 27.449 | 26.633 | 27.431 | 27.113 | 27.169 | 26.931 | 26.854 | 27.281 | 27.118 | 26.971 | 26.997 | 28.302 | 27.760 | 28.302 |
| Cielab | 4.656 | 4.376 | 3.770 | 4.382 | 4.438 | 4.329 | 4.474 | 3.727 | 4.342 | 4.337 | 4.466 | 4.432 | 3.782 | 4.087 | 3.727 | |
| SSIM | 0.405 | 0.497 | 0.395 | 0.496 | 0.491 | 0.497 | 0.487 | 0.466 | 0.498 | 0.495 | 0.488 | 0.480 | 0.476 | 0.491 | 0.498 | |
| HVS | 20.886 | 22.153 | 22.682 | 22.182 | 21.976 | 22.040 | 21.972 | 22.889 | 22.135 | 21.941 | 21.771 | 21.992 | 23.938 | 23.161 | 23.938 | |
| HVSm | 22.170 | 23.285 | 23.983 | 23.308 | 23.147 | 23.251 | 23.017 | 24.227 | 23.342 | 23.156 | 22.805 | 23.150 | 25.448 | 24.424 | 25.448 | |
| Img9 | PSNR | 26.090 | 27.195 | 25.893 | 27.199 | 26.962 | 26.001 | 26.958 | 27.534 | 27.185 | 24.740 | 26.949 | 27.029 | 27.094 | 27.444 | 27.534 |
| Cielab | 3.906 | 3.830 | 3.691 | 3.832 | 3.803 | 3.916 | 3.871 | 3.323 | 3.791 | 4.015 | 3.876 | 3.778 | 3.544 | 3.556 | 3.323 | |
| SSIM | 0.254 | 0.304 | 0.312 | 0.304 | 0.299 | 0.299 | 0.303 | 0.306 | 0.298 | 0.293 | 0.303 | 0.295 | 0.303 | 0.305 | 0.312 | |
| HVS | 21.795 | 22.290 | 21.378 | 22.289 | 22.173 | 22.310 | 22.051 | 23.058 | 22.376 | 22.321 | 22.072 | 22.179 | 22.485 | 22.803 | 23.058 | |
| HVSm | 22.649 | 22.955 | 21.837 | 22.956 | 22.871 | 23.013 | 22.689 | 23.693 | 23.065 | 23.027 | 22.708 | 22.879 | 23.059 | 23.443 | 23.693 | |
| Img10 | PSNR | 23.651 | 24.859 | 24.761 | 24.856 | 24.734 | 24.856 | 24.592 | 24.947 | 24.888 | 24.850 | 24.581 | 24.601 | 25.080 | 24.975 | 25.080 |
| Cielab | 5.637 | 5.408 | 4.592 | 5.413 | 5.452 | 5.353 | 5.489 | 4.599 | 5.410 | 5.358 | 5.478 | 5.434 | 4.877 | 5.087 | 4.592 | |
| SSIM | 0.339 | 0.421 | 0.359 | 0.421 | 0.415 | 0.424 | 0.417 | 0.407 | 0.423 | 0.422 | 0.414 | 0.404 | 0.408 | 0.417 | 0.424 | |
| HVS | 20.205 | 20.975 | 21.145 | 20.916 | 20.967 | 21.069 | 20.602 | 21.417 | 21.053 | 21.074 | 20.672 | 20.760 | 21.438 | 21.311 | 21.438 | |
| HVSm | 21.280 | 21.863 | 22.176 | 21.821 | 21.856 | 21.981 | 21.482 | 22.415 | 21.977 | 21.991 | 21.548 | 21.712 | 22.405 | 22.246 | 22.415 | |
| Img11 | PSNR | 23.264 | 23.807 | 25.878 | 23.805 | 23.747 | 23.817 | 23.642 | 23.617 | 23.833 | 23.817 | 23.639 | 23.696 | 24.728 | 23.853 | 25.878 |
| Cielab | 5.797 | 5.695 | 4.920 | 5.699 | 5.736 | 5.680 | 5.713 | 5.547 | 5.687 | 5.681 | 5.710 | 5.696 | 5.205 | 5.579 | 4.920 | |
| SSIM | 0.344 | 0.407 | 0.311 | 0.407 | 0.403 | 0.413 | 0.402 | 0.387 | 0.414 | 0.413 | 0.402 | 0.392 | 0.383 | 0.403 | 0.414 | |
| HVS | 18.656 | 18.887 | 21.200 | 18.887 | 18.885 | 18.936 | 18.741 | 18.771 | 18.946 | 18.943 | 18.736 | 18.842 | 19.899 | 19.013 | 21.200 | |
| HVSm | 19.116 | 19.278 | 22.031 | 19.277 | 19.278 | 19.328 | 19.123 | 19.177 | 19.339 | 19.337 | 19.118 | 19.248 | 20.405 | 19.407 | 22.031 | |
| Img12 | PSNR | 21.292 | 22.242 | 23.025 | 22.234 | 22.129 | 22.209 | 22.003 | 22.171 | 22.248 | 22.213 | 22.006 | 22.086 | 22.711 | 22.350 | 23.025 |
| Cielab | 6.368 | 6.190 | 5.230 | 6.195 | 6.229 | 6.167 | 6.145 | 5.601 | 6.198 | 6.168 | 6.145 | 6.203 | 5.646 | 5.958 | 5.230 | |
| SSIM | 0.451 | 0.551 | 0.450 | 0.551 | 0.547 | 0.553 | 0.543 | 0.528 | 0.553 | 0.552 | 0.543 | 0.538 | 0.528 | 0.546 | 0.553 | |
| HVS | 17.419 | 17.757 | 19.104 | 17.750 | 17.733 | 17.793 | 17.542 | 17.964 | 17.820 | 17.804 | 17.539 | 17.705 | 18.449 | 18.019 | 19.104 | |
| HVSm | 18.029 | 18.253 | 19.786 | 18.245 | 18.234 | 18.306 | 18.021 | 18.462 | 18.326 | 18.318 | 18.018 | 18.217 | 18.984 | 18.509 | 19.786 | |
| Average | PSNR | 23.902 | 25.016 | 25.614 | 25.011 | 24.870 | 24.793 | 24.782 | 24.986 | 24.994 | 24.717 | 24.793 | 24.820 | 25.577 | 25.170 | 25.614 |
| Cielab | 5.891 | 5.728 | 4.596 | 5.732 | 5.752 | 5.675 | 5.747 | 4.957 | 5.714 | 5.686 | 5.752 | 5.720 | 5.033 | 5.394 | 4.596 | |
| SSIM | 0.377 | 0.461 | 0.394 | 0.460 | 0.455 | 0.461 | 0.455 | 0.442 | 0.461 | 0.459 | 0.455 | 0.446 | 0.448 | 0.457 | 0.461 | |
| HVS | 19.717 | 20.296 | 21.346 | 20.299 | 20.242 | 20.310 | 20.122 | 20.606 | 20.337 | 20.298 | 20.088 | 20.203 | 21.142 | 20.671 | 21.346 | |
| HVSm | 20.553 | 20.999 | 22.245 | 21.002 | 20.960 | 21.039 | 20.798 | 21.367 | 21.062 | 21.030 | 20.764 | 20.932 | 21.940 | 21.403 | 22.245 |
| Image | Metrics | Baseline | Standard | Demonet + GFPCA | GSA | HCM | SFIM | PCA | GFPCA | GLP | HPM | GS | PRACS | F3 | ATMF | Best Score |
|---|---|---|---|---|---|---|---|---|---|---|---|---|---|---|---|---|
| Img1 | PSNR | 20.006 | 18.180 | 19.961 | 20.041 | 19.986 | 19.888 | 19.902 | 20.873 | 20.005 | 19.905 | 19.903 | 20.077 | 20.396 | 20.192 | 20.873 |
| Cielab | 8.565 | 15.640 | 8.622 | 8.674 | 8.750 | 9.004 | 8.600 | 7.482 | 8.740 | 8.996 | 8.643 | 8.567 | 7.786 | 8.190 | 7.482 | |
| SSIM | 0.384 | 0.357 | 0.353 | 0.368 | 0.353 | 0.335 | 0.368 | 0.432 | 0.348 | 0.340 | 0.368 | 0.400 | 0.432 | 0.403 | 0.432 | |
| HVS | 14.494 | 13.248 | 14.562 | 14.523 | 14.493 | 14.514 | 14.328 | 15.396 | 14.523 | 14.514 | 14.404 | 14.525 | 14.902 | 14.651 | 15.396 | |
| HVSm | 14.607 | 13.338 | 14.647 | 14.632 | 14.612 | 14.636 | 14.431 | 15.499 | 14.641 | 14.635 | 14.511 | 14.628 | 14.988 | 14.747 | 15.499 | |
| Img2 | PSNR | 19.452 | 17.330 | 20.121 | 20.016 | 19.956 | 19.968 | 19.771 | 23.036 | 20.002 | 19.986 | 19.801 | 19.971 | 21.184 | 20.308 | 23.036 |
| Cielab | 8.113 | 9.800 | 7.196 | 8.008 | 8.135 | 8.011 | 7.950 | 4.715 | 8.008 | 8.001 | 7.933 | 8.023 | 5.947 | 7.215 | 4.715 | |
| SSIM | 0.399 | 0.524 | 0.554 | 0.604 | 0.593 | 0.593 | 0.601 | 0.545 | 0.599 | 0.596 | 0.601 | 0.591 | 0.598 | 0.600 | 0.604 | |
| HVS | 14.772 | 11.877 | 15.691 | 15.089 | 15.053 | 15.084 | 14.893 | 18.085 | 15.100 | 15.083 | 14.837 | 15.054 | 16.439 | 15.458 | 18.085 | |
| HVSm | 15.082 | 12.013 | 15.882 | 15.307 | 15.278 | 15.317 | 15.095 | 18.577 | 15.328 | 15.317 | 15.047 | 15.281 | 16.695 | 15.682 | 18.577 | |
| Img3 | PSNR | 20.056 | 20.564 | 20.186 | 20.157 | 20.079 | 20.142 | 19.977 | 20.357 | 20.178 | 20.156 | 19.980 | 20.154 | 20.355 | 20.239 | 20.564 |
| Cielab | 9.147 | 10.971 | 8.616 | 9.127 | 9.410 | 9.188 | 9.116 | 7.899 | 9.144 | 9.187 | 9.118 | 9.158 | 8.042 | 8.569 | 7.899 | |
| SSIM | 0.490 | 0.431 | 0.486 | 0.489 | 0.474 | 0.480 | 0.486 | 0.525 | 0.487 | 0.483 | 0.486 | 0.498 | 0.527 | 0.511 | 0.527 | |
| HVS | 14.957 | 15.233 | 15.275 | 15.027 | 15.011 | 15.058 | 14.857 | 15.239 | 15.059 | 15.061 | 14.860 | 15.018 | 15.284 | 15.120 | 15.284 | |
| HVSm | 15.117 | 15.435 | 15.386 | 15.167 | 15.157 | 15.204 | 14.995 | 15.369 | 15.203 | 15.207 | 14.999 | 15.159 | 15.399 | 15.247 | 15.435 | |
| Img4 | PSNR | 17.301 | 13.215 | 18.361 | 18.081 | 17.905 | 17.999 | 17.659 | 18.283 | 18.069 | 18.048 | 17.665 | 18.062 | 18.644 | 18.318 | 18.644 |
| Cielab | 13.625 | 13.165 | 11.044 | 13.971 | 13.782 | 13.514 | 13.549 | 8.185 | 14.044 | 13.471 | 13.579 | 13.582 | 9.092 | 11.537 | 8.185 | |
| SSIM | 0.440 | 0.407 | 0.552 | 0.577 | 0.562 | 0.564 | 0.569 | 0.565 | 0.572 | 0.568 | 0.568 | 0.571 | 0.602 | 0.588 | 0.602 | |
| HVS | 12.619 | 8.090 | 14.590 | 13.121 | 13.050 | 13.172 | 12.666 | 13.515 | 13.183 | 13.177 | 12.621 | 13.010 | 14.133 | 13.472 | 14.590 | |
| HVSm | 13.240 | 8.306 | 15.143 | 13.661 | 13.614 | 13.749 | 13.163 | 14.050 | 13.751 | 13.754 | 13.119 | 13.557 | 14.666 | 14.006 | 15.143 | |
| Img5 | PSNR | 20.089 | 22.475 | 20.305 | 20.213 | 20.164 | 20.176 | 20.011 | 27.076 | 20.203 | 20.190 | 20.024 | 20.232 | 22.275 | 20.571 | 27.076 |
| Cielab | 7.277 | 6.346 | 7.003 | 7.297 | 7.311 | 7.278 | 7.310 | 3.337 | 7.291 | 7.273 | 7.316 | 7.279 | 5.317 | 6.754 | 3.337 | |
| SSIM | 0.317 | 0.377 | 0.369 | 0.385 | 0.379 | 0.375 | 0.385 | 0.440 | 0.380 | 0.378 | 0.384 | 0.391 | 0.431 | 0.403 | 0.440 | |
| HVS | 15.802 | 17.356 | 16.304 | 15.942 | 15.909 | 15.947 | 15.704 | 22.586 | 15.950 | 15.943 | 15.697 | 15.925 | 18.081 | 16.311 | 22.586 | |
| HVSm | 16.006 | 17.653 | 16.442 | 16.117 | 16.088 | 16.131 | 15.867 | 23.176 | 16.133 | 16.129 | 15.866 | 16.099 | 18.283 | 16.479 | 23.176 | |
| Img6 | PSNR | 19.763 | 20.526 | 20.291 | 20.212 | 20.133 | 20.186 | 19.974 | 25.261 | 20.223 | 20.193 | 19.972 | 20.137 | 21.847 | 20.483 | 25.261 |
| Cielab | 9.761 | 11.355 | 8.837 | 9.720 | 9.866 | 9.634 | 9.574 | 4.999 | 9.732 | 9.643 | 9.613 | 9.693 | 6.977 | 8.757 | 4.999 | |
| SSIM | 0.411 | 0.504 | 0.547 | 0.590 | 0.574 | 0.576 | 0.586 | 0.584 | 0.585 | 0.578 | 0.584 | 0.570 | 0.603 | 0.593 | 0.603 | |
| HVS | 15.392 | 16.551 | 16.064 | 15.619 | 15.622 | 15.685 | 15.426 | 20.473 | 15.676 | 15.691 | 15.427 | 15.565 | 17.387 | 15.960 | 20.473 | |
| HVSm | 15.692 | 16.911 | 16.253 | 15.845 | 15.847 | 15.913 | 15.657 | 21.128 | 15.905 | 15.920 | 15.652 | 15.810 | 17.673 | 16.198 | 21.128 | |
| Img7 | PSNR | 24.564 | 21.571 | 21.880 | 21.975 | 20.143 | 20.149 | 22.559 | 25.615 | 21.809 | 20.157 | 22.446 | 23.495 | 23.804 | 23.147 | 25.615 |
| Cielab | 5.943 | 6.857 | 6.706 | 7.141 | 8.356 | 8.292 | 6.716 | 4.024 | 7.222 | 8.285 | 6.770 | 6.436 | 5.061 | 6.016 | 4.024 | |
| SSIM | 0.407 | 0.511 | 0.481 | 0.530 | 0.516 | 0.513 | 0.530 | 0.507 | 0.525 | 0.516 | 0.531 | 0.532 | 0.544 | 0.540 | 0.544 | |
| HVS | 20.236 | 17.426 | 17.841 | 17.554 | 15.768 | 15.782 | 18.128 | 21.242 | 17.404 | 15.779 | 17.993 | 19.014 | 19.558 | 18.729 | 21.242 | |
| HVSm | 20.730 | 17.619 | 18.006 | 17.752 | 15.897 | 15.917 | 18.355 | 21.698 | 17.605 | 15.915 | 18.216 | 19.300 | 19.811 | 18.967 | 21.698 | |
| Img8 | PSNR | 19.384 | 14.232 | 19.984 | 19.971 | 19.884 | 19.935 | 19.672 | 21.107 | 19.973 | 19.943 | 19.691 | 19.881 | 20.496 | 20.121 | 21.107 |
| Cielab | 8.753 | 14.864 | 7.886 | 8.595 | 8.815 | 8.594 | 8.571 | 6.139 | 8.627 | 8.590 | 8.559 | 8.682 | 6.946 | 7.856 | 6.139 | |
| SSIM | 0.421 | 0.414 | 0.504 | 0.543 | 0.528 | 0.532 | 0.537 | 0.527 | 0.539 | 0.534 | 0.539 | 0.530 | 0.555 | 0.549 | 0.555 | |
| HVS | 14.576 | 8.817 | 15.441 | 14.928 | 14.911 | 14.973 | 14.652 | 16.187 | 14.974 | 14.973 | 14.630 | 14.867 | 15.682 | 15.171 | 16.187 | |
| HVSm | 14.874 | 8.900 | 15.623 | 15.143 | 15.130 | 15.200 | 14.857 | 16.486 | 15.200 | 15.202 | 14.840 | 15.097 | 15.899 | 15.388 | 16.486 | |
| Img9 | PSNR | 20.116 | 10.893 | 20.463 | 20.201 | 20.131 | 20.071 | 20.035 | 20.541 | 20.183 | 20.089 | 20.032 | 20.214 | 20.560 | 20.375 | 20.560 |
| Cielab | 6.612 | 15.724 | 5.883 | 6.571 | 6.656 | 6.970 | 6.533 | 5.224 | 6.609 | 6.976 | 6.533 | 6.547 | 5.327 | 5.947 | 5.224 | |
| SSIM | 0.265 | 0.270 | 0.333 | 0.338 | 0.327 | 0.324 | 0.338 | 0.343 | 0.333 | 0.325 | 0.338 | 0.335 | 0.359 | 0.348 | 0.359 | |
| HVS | 15.468 | 6.264 | 16.152 | 15.560 | 15.535 | 15.574 | 15.401 | 15.875 | 15.575 | 15.575 | 15.406 | 15.538 | 16.001 | 15.726 | 16.152 | |
| HVSm | 15.686 | 6.294 | 16.287 | 15.753 | 15.737 | 15.775 | 15.589 | 16.016 | 15.774 | 15.776 | 15.593 | 15.735 | 16.138 | 15.894 | 16.287 | |
| Img10 | PSNR | 19.471 | 19.766 | 20.069 | 19.933 | 19.858 | 19.899 | 19.679 | 20.694 | 19.933 | 19.911 | 19.672 | 19.874 | 20.384 | 20.088 | 20.694 |
| Cielab | 8.810 | 8.728 | 7.784 | 8.734 | 8.795 | 8.653 | 8.646 | 6.476 | 8.770 | 8.648 | 8.683 | 8.704 | 6.973 | 7.867 | 6.476 | |
| SSIM | 0.374 | 0.413 | 0.477 | 0.491 | 0.479 | 0.481 | 0.489 | 0.498 | 0.486 | 0.483 | 0.487 | 0.482 | 0.518 | 0.502 | 0.518 | |
| HVS | 15.573 | 15.812 | 16.434 | 15.836 | 15.843 | 15.905 | 15.575 | 16.626 | 15.884 | 15.905 | 15.592 | 15.787 | 16.488 | 16.055 | 16.626 | |
| HVSm | 15.926 | 16.202 | 16.640 | 16.097 | 16.102 | 16.170 | 15.840 | 16.942 | 16.152 | 16.172 | 15.851 | 16.067 | 16.736 | 16.316 | 16.942 | |
| Img11 | PSNR | 19.895 | 17.081 | 20.129 | 20.185 | 20.124 | 20.149 | 19.988 | 19.942 | 20.173 | 20.157 | 19.986 | 20.163 | 20.200 | 20.184 | 20.200 |
| Cielab | 8.557 | 12.064 | 8.265 | 8.544 | 8.687 | 8.552 | 8.501 | 7.619 | 8.568 | 8.549 | 8.499 | 8.495 | 7.577 | 8.015 | 7.577 | |
| SSIM | 0.440 | 0.477 | 0.527 | 0.570 | 0.553 | 0.558 | 0.567 | 0.530 | 0.565 | 0.562 | 0.567 | 0.563 | 0.576 | 0.576 | 0.576 | |
| HVS | 14.937 | 11.423 | 15.190 | 15.053 | 15.042 | 15.073 | 14.886 | 14.849 | 15.071 | 15.076 | 14.882 | 15.038 | 15.137 | 15.084 | 15.190 | |
| HVSm | 15.123 | 11.508 | 15.317 | 15.201 | 15.194 | 15.226 | 15.030 | 14.998 | 15.224 | 15.229 | 15.026 | 15.190 | 15.267 | 15.222 | 15.317 | |
| Img12 | PSNR | 19.406 | 16.116 | 20.155 | 20.087 | 20.004 | 20.057 | 19.828 | 19.068 | 20.091 | 20.070 | 19.830 | 20.007 | 19.928 | 20.008 | 20.155 |
| Cielab | 8.416 | 9.817 | 7.663 | 8.348 | 8.439 | 8.322 | 8.172 | 8.473 | 8.377 | 8.317 | 8.174 | 8.330 | 7.472 | 7.891 | 7.472 | |
| SSIM | 0.499 | 0.504 | 0.591 | 0.622 | 0.612 | 0.614 | 0.617 | 0.598 | 0.618 | 0.616 | 0.617 | 0.619 | 0.632 | 0.628 | 0.632 | |
| HVS | 15.138 | 11.211 | 16.013 | 15.381 | 15.372 | 15.425 | 15.131 | 14.657 | 15.426 | 15.428 | 15.132 | 15.347 | 15.512 | 15.427 | 16.013 | |
| HVSm | 15.490 | 11.347 | 16.220 | 15.640 | 15.634 | 15.695 | 15.383 | 14.863 | 15.694 | 15.699 | 15.385 | 15.619 | 15.724 | 15.672 | 16.220 | |
| Average | PSNR | 19.959 | 17.662 | 20.159 | 20.089 | 19.864 | 19.885 | 19.921 | 21.821 | 20.070 | 19.900 | 19.917 | 20.189 | 20.839 | 20.336 | 21.821 |
| Cielab | 8.632 | 11.278 | 7.959 | 8.728 | 8.917 | 8.834 | 8.603 | 6.214 | 8.761 | 8.828 | 8.618 | 8.625 | 6.877 | 7.885 | 6.214 | |
| SSIM | 0.404 | 0.432 | 0.481 | 0.509 | 0.496 | 0.495 | 0.506 | 0.508 | 0.503 | 0.498 | 0.506 | 0.507 | 0.532 | 0.520 | 0.532 | |
| HVS | 15.330 | 12.776 | 15.796 | 15.303 | 15.134 | 15.183 | 15.137 | 17.061 | 15.319 | 15.184 | 15.123 | 15.391 | 16.217 | 15.597 | 17.061 | |
| HVSm | 15.631 | 12.960 | 15.987 | 15.526 | 15.358 | 15.411 | 15.355 | 17.400 | 15.551 | 15.413 | 15.342 | 15.628 | 16.440 | 15.818 | 17.400 |
| Image | Metrics | Baseline | Standard | Demonet + GFPCA | GSA | HCM | SFIM | PCA | GFPCA | GLP | HPM | GS | PRACS | F3 | ATMF | Best Score |
|---|---|---|---|---|---|---|---|---|---|---|---|---|---|---|---|---|
| Img1 | PSNR | 19.835 | 19.873 | 20.240 | 19.459 | 19.739 | 19.588 | 19.369 | 21.244 | 19.444 | 19.734 | 19.283 | 19.412 | 20.325 | 19.555 | 21.244 |
| Cielab | 9.075 | 8.939 | 7.816 | 8.571 | 8.301 | 8.715 | 8.504 | 7.056 | 8.634 | 8.593 | 8.630 | 8.575 | 7.664 | 8.311 | 7.056 | |
| SSIM | 0.339 | 0.345 | 0.425 | 0.459 | 0.458 | 0.463 | 0.454 | 0.435 | 0.467 | 0.464 | 0.454 | 0.444 | 0.457 | 0.459 | 0.467 | |
| HVS | 14.435 | 14.452 | 14.777 | 13.867 | 14.164 | 14.052 | 13.823 | 15.777 | 13.843 | 14.200 | 13.746 | 13.851 | 14.803 | 14.012 | 15.777 | |
| HVSm | 14.545 | 14.556 | 14.841 | 13.930 | 14.231 | 14.118 | 13.885 | 15.862 | 13.904 | 14.267 | 13.808 | 13.915 | 14.869 | 14.072 | 15.862 | |
| Img2 | PSNR | 19.541 | 19.942 | 20.976 | 18.936 | 18.833 | 19.497 | 18.958 | 20.783 | 19.328 | 19.441 | 18.900 | 19.002 | 20.440 | 19.340 | 20.976 |
| Cielab | 8.903 | 8.298 | 5.777 | 8.106 | 8.200 | 7.710 | 7.945 | 5.883 | 7.851 | 7.754 | 7.964 | 8.029 | 6.210 | 7.352 | 5.777 | |
| SSIM | 0.477 | 0.601 | 0.429 | 0.550 | 0.545 | 0.557 | 0.541 | 0.418 | 0.557 | 0.555 | 0.540 | 0.518 | 0.485 | 0.527 | 0.601 | |
| HVS | 15.087 | 15.148 | 16.727 | 14.065 | 13.971 | 14.622 | 14.173 | 16.270 | 14.461 | 14.568 | 14.078 | 14.197 | 15.860 | 14.573 | 16.727 | |
| HVSm | 15.322 | 15.354 | 16.984 | 14.214 | 14.123 | 14.790 | 14.326 | 16.534 | 14.621 | 14.733 | 14.229 | 14.355 | 16.070 | 14.734 | 16.984 | |
| Img3 | PSNR | 19.889 | 19.965 | 21.471 | 19.893 | 20.157 | 20.180 | 19.822 | 21.395 | 20.125 | 20.132 | 19.904 | 19.987 | 21.027 | 20.188 | 21.471 |
| Cielab | 9.724 | 9.532 | 7.055 | 8.705 | 8.615 | 8.510 | 8.678 | 7.031 | 8.559 | 8.560 | 8.615 | 8.654 | 7.299 | 8.142 | 7.031 | |
| SSIM | 0.459 | 0.472 | 0.558 | 0.562 | 0.559 | 0.568 | 0.554 | 0.555 | 0.570 | 0.568 | 0.555 | 0.549 | 0.573 | 0.565 | 0.573 | |
| HVS | 14.919 | 14.939 | 16.531 | 14.688 | 15.006 | 14.981 | 14.694 | 16.315 | 14.909 | 14.931 | 14.773 | 14.830 | 15.935 | 15.048 | 16.531 | |
| HVSm | 15.060 | 15.072 | 16.653 | 14.788 | 15.110 | 15.084 | 14.796 | 16.449 | 15.010 | 15.032 | 14.877 | 14.935 | 16.046 | 15.149 | 16.653 | |
| Img4 | PSNR | 17.405 | 17.944 | 19.685 | 17.759 | 17.804 | 17.748 | 17.485 | 18.901 | 17.758 | 17.839 | 17.522 | 17.855 | 19.012 | 17.926 | 19.685 |
| Cielab | 15.784 | 15.404 | 8.803 | 13.954 | 13.631 | 13.641 | 13.570 | 9.380 | 14.108 | 13.579 | 13.562 | 13.431 | 9.722 | 12.096 | 8.803 | |
| SSIM | 0.473 | 0.558 | 0.595 | 0.601 | 0.592 | 0.594 | 0.593 | 0.586 | 0.598 | 0.597 | 0.593 | 0.591 | 0.621 | 0.610 | 0.621 | |
| HVS | 13.229 | 13.377 | 15.841 | 12.912 | 13.016 | 12.946 | 12.787 | 14.696 | 12.953 | 13.022 | 12.793 | 13.014 | 14.676 | 13.316 | 15.841 | |
| HVSm | 13.836 | 13.943 | 16.458 | 13.342 | 13.478 | 13.390 | 13.212 | 15.216 | 13.389 | 13.470 | 13.221 | 13.471 | 15.174 | 13.735 | 16.458 | |
| Img5 | PSNR | 19.942 | 20.022 | 21.798 | 20.122 | 19.746 | 19.916 | 20.298 | 21.657 | 19.946 | 19.400 | 20.152 | 20.318 | 21.149 | 20.403 | 21.798 |
| Cielab | 7.929 | 7.701 | 5.367 | 6.837 | 7.058 | 6.970 | 6.632 | 5.422 | 6.974 | 7.352 | 6.724 | 6.675 | 5.751 | 6.406 | 5.367 | |
| SSIM | 0.326 | 0.369 | 0.332 | 0.370 | 0.365 | 0.371 | 0.362 | 0.330 | 0.373 | 0.369 | 0.362 | 0.356 | 0.355 | 0.364 | 0.373 | |
| HVS | 15.843 | 15.874 | 17.760 | 15.828 | 15.469 | 15.632 | 16.061 | 17.479 | 15.660 | 15.126 | 15.895 | 16.049 | 16.983 | 16.164 | 17.760 | |
| HVSm | 16.019 | 16.039 | 17.918 | 15.948 | 15.587 | 15.746 | 16.189 | 17.645 | 15.774 | 15.229 | 16.021 | 16.181 | 17.118 | 16.287 | 17.918 | |
| Img6 | PSNR | 19.772 | 20.076 | 20.922 | 20.175 | 20.028 | 20.148 | 19.994 | 20.344 | 20.120 | 19.981 | 19.964 | 19.984 | 20.526 | 20.086 | 20.922 |
| Cielab | 10.727 | 10.270 | 7.443 | 8.869 | 9.037 | 8.835 | 9.009 | 7.760 | 9.001 | 8.991 | 9.075 | 8.975 | 7.703 | 8.444 | 7.443 | |
| SSIM | 0.473 | 0.581 | 0.403 | 0.521 | 0.511 | 0.525 | 0.503 | 0.395 | 0.526 | 0.522 | 0.500 | 0.478 | 0.457 | 0.493 | 0.581 | |
| HVS | 15.547 | 15.601 | 16.711 | 15.613 | 15.546 | 15.629 | 15.536 | 16.007 | 15.569 | 15.468 | 15.521 | 15.501 | 16.155 | 15.637 | 16.711 | |
| HVSm | 15.775 | 15.806 | 16.947 | 15.829 | 15.743 | 15.833 | 15.751 | 16.235 | 15.778 | 15.665 | 15.734 | 15.717 | 16.372 | 15.844 | 16.947 | |
| Img7 | PSNR | 19.847 | 19.985 | 29.058 | 26.350 | 21.086 | 20.872 | 25.651 | 29.190 | 25.921 | 20.208 | 26.357 | 22.369 | 28.456 | 27.001 | 29.190 |
| Cielab | 9.161 | 8.743 | 2.957 | 4.699 | 7.064 | 7.227 | 4.843 | 3.011 | 4.855 | 7.718 | 4.629 | 6.294 | 3.249 | 4.158 | 2.957 | |
| SSIM | 0.419 | 0.511 | 0.462 | 0.560 | 0.526 | 0.531 | 0.548 | 0.450 | 0.562 | 0.521 | 0.551 | 0.513 | 0.513 | 0.549 | 0.562 | |
| HVS | 15.653 | 15.681 | 26.259 | 21.730 | 16.687 | 16.464 | 21.225 | 26.075 | 21.346 | 15.813 | 21.869 | 17.976 | 24.761 | 22.585 | 26.259 | |
| HVSm | 15.787 | 15.803 | 27.349 | 22.148 | 16.821 | 16.591 | 21.599 | 27.271 | 21.729 | 15.924 | 22.307 | 18.161 | 25.527 | 23.075 | 27.349 | |
| Img8 | PSNR | 19.438 | 19.846 | 19.835 | 19.319 | 19.355 | 19.193 | 19.503 | 20.319 | 19.396 | 19.115 | 19.339 | 19.293 | 19.931 | 19.448 | 20.319 |
| Cielab | 9.564 | 9.027 | 7.249 | 8.423 | 8.448 | 8.521 | 8.140 | 6.865 | 8.421 | 8.591 | 8.262 | 8.450 | 7.215 | 7.869 | 6.865 | |
| SSIM | 0.445 | 0.531 | 0.416 | 0.522 | 0.519 | 0.524 | 0.509 | 0.417 | 0.531 | 0.523 | 0.508 | 0.490 | 0.472 | 0.502 | 0.531 | |
| HVS | 14.856 | 14.919 | 15.267 | 14.283 | 14.363 | 14.183 | 14.580 | 15.657 | 14.364 | 14.108 | 14.389 | 14.339 | 15.160 | 14.555 | 15.657 | |
| HVSm | 15.093 | 15.129 | 15.441 | 14.442 | 14.525 | 14.335 | 14.753 | 15.861 | 14.524 | 14.258 | 14.557 | 14.507 | 15.329 | 14.714 | 15.861 | |
| Img9 | PSNR | 20.041 | 20.098 | 21.274 | 19.210 | 19.487 | 19.078 | 18.979 | 20.657 | 19.442 | 19.143 | 19.031 | 19.085 | 20.486 | 19.452 | 21.274 |
| Cielab | 7.247 | 6.991 | 4.785 | 6.386 | 6.230 | 6.770 | 6.417 | 5.097 | 6.323 | 6.751 | 6.390 | 6.432 | 5.143 | 5.925 | 4.785 | |
| SSIM | 0.286 | 0.332 | 0.303 | 0.322 | 0.318 | 0.317 | 0.320 | 0.293 | 0.325 | 0.317 | 0.320 | 0.305 | 0.308 | 0.316 | 0.332 | |
| HVS | 15.620 | 15.631 | 16.878 | 14.540 | 14.843 | 14.473 | 14.368 | 16.115 | 14.774 | 14.536 | 14.423 | 14.440 | 15.940 | 14.843 | 16.878 | |
| HVSm | 15.820 | 15.826 | 16.995 | 14.638 | 14.946 | 14.570 | 14.463 | 16.231 | 14.875 | 14.633 | 14.518 | 14.538 | 16.043 | 14.936 | 16.995 | |
| Img10 | PSNR | 19.519 | 19.827 | 21.257 | 19.511 | 19.212 | 19.411 | 19.314 | 20.395 | 19.603 | 19.455 | 19.254 | 19.213 | 20.483 | 19.599 | 21.257 |
| Cielab | 9.597 | 9.095 | 6.246 | 8.418 | 8.615 | 8.436 | 8.360 | 6.780 | 8.439 | 8.408 | 8.444 | 8.548 | 6.768 | 7.811 | 6.246 | |
| SSIM | 0.411 | 0.485 | 0.411 | 0.466 | 0.457 | 0.469 | 0.457 | 0.397 | 0.472 | 0.469 | 0.453 | 0.437 | 0.441 | 0.455 | 0.485 | |
| HVS | 15.803 | 15.859 | 17.678 | 15.441 | 15.219 | 15.387 | 15.339 | 16.626 | 15.543 | 15.432 | 15.297 | 15.225 | 16.668 | 15.657 | 17.678 | |
| HVSm | 16.070 | 16.100 | 17.936 | 15.659 | 15.409 | 15.584 | 15.556 | 16.882 | 15.758 | 15.631 | 15.511 | 15.437 | 16.898 | 15.867 | 17.936 | |
| Img11 | PSNR | 19.815 | 20.030 | 19.751 | 19.717 | 19.591 | 19.827 | 19.644 | 20.053 | 19.844 | 19.804 | 19.537 | 19.634 | 19.934 | 19.632 | 20.053 |
| Cielab | 9.263 | 8.863 | 7.810 | 8.190 | 8.302 | 8.109 | 8.126 | 7.433 | 8.134 | 8.133 | 8.211 | 8.216 | 7.549 | 7.931 | 7.433 | |
| SSIM | 0.472 | 0.556 | 0.375 | 0.501 | 0.493 | 0.510 | 0.488 | 0.373 | 0.513 | 0.510 | 0.486 | 0.464 | 0.437 | 0.472 | 0.556 | |
| HVS | 14.961 | 14.983 | 14.849 | 14.558 | 14.470 | 14.683 | 14.574 | 15.101 | 14.687 | 14.662 | 14.463 | 14.539 | 14.921 | 14.584 | 15.101 | |
| HVSm | 15.113 | 15.124 | 14.977 | 14.679 | 14.583 | 14.802 | 14.697 | 15.245 | 14.809 | 14.781 | 14.584 | 14.662 | 15.048 | 14.702 | 15.245 | |
| Img12 | PSNR | 19.572 | 20.079 | 19.241 | 19.740 | 19.654 | 19.760 | 19.599 | 19.093 | 19.697 | 19.685 | 19.557 | 19.566 | 19.422 | 19.369 | 20.079 |
| Cielab | 9.242 | 8.757 | 7.950 | 7.951 | 7.988 | 7.914 | 7.796 | 7.927 | 8.036 | 7.977 | 7.831 | 8.012 | 7.703 | 7.828 | 7.703 | |
| SSIM | 0.529 | 0.610 | 0.530 | 0.614 | 0.611 | 0.617 | 0.598 | 0.522 | 0.618 | 0.616 | 0.598 | 0.589 | 0.570 | 0.589 | 0.618 | |
| HVS | 15.383 | 15.429 | 15.087 | 15.018 | 14.985 | 15.062 | 14.976 | 14.754 | 14.988 | 14.986 | 14.932 | 14.934 | 15.023 | 14.835 | 15.429 | |
| HVSm | 15.646 | 15.673 | 15.263 | 15.232 | 15.192 | 15.277 | 15.194 | 14.943 | 15.199 | 15.198 | 15.147 | 15.149 | 15.207 | 15.028 | 15.673 | |
| Average | PSNR | 19.551 | 19.807 | 21.292 | 20.016 | 19.558 | 19.602 | 19.885 | 21.169 | 20.052 | 19.495 | 19.900 | 19.643 | 20.933 | 20.167 | 21.292 |
| Cielab | 9.685 | 9.301 | 6.605 | 8.259 | 8.457 | 8.447 | 8.168 | 6.637 | 8.278 | 8.534 | 8.195 | 8.358 | 6.831 | 7.689 | 6.605 | |
| SSIM | 0.426 | 0.496 | 0.437 | 0.504 | 0.496 | 0.504 | 0.494 | 0.431 | 0.509 | 0.502 | 0.493 | 0.478 | 0.474 | 0.492 | 0.509 | |
| HVS | 15.111 | 15.158 | 17.030 | 15.212 | 14.812 | 14.843 | 15.178 | 16.739 | 15.258 | 14.738 | 15.181 | 14.908 | 16.407 | 15.484 | 17.030 | |
| HVSm | 15.340 | 15.369 | 17.314 | 15.404 | 14.979 | 15.010 | 15.368 | 17.031 | 15.447 | 14.902 | 15.376 | 15.086 | 16.642 | 15.679 | 17.314 |
| Image | Metrics | Baseline | Standard | Demonet + GFPCA | GSA | HCM | SFIM | PCA | GFPCA | GLP | HPM | GS | PRACS | F3 | ATMF | Best Score |
|---|---|---|---|---|---|---|---|---|---|---|---|---|---|---|---|---|
| Img1 | PSNR | 26.266 | 26.848 | 26.045 | 26.856 | 26.732 | 26.798 | 26.620 | 26.482 | 26.932 | 26.807 | 26.672 | 26.659 | 26.854 | 26.863 | 26.932 |
| Cielab | 4.427 | 4.363 | 4.861 | 4.358 | 4.429 | 4.444 | 4.301 | 4.615 | 4.370 | 4.458 | 4.360 | 4.379 | 4.366 | 4.364 | 4.301 | |
| SSIM | 0.471 | 0.500 | 0.434 | 0.500 | 0.488 | 0.503 | 0.497 | 0.484 | 0.504 | 0.501 | 0.497 | 0.488 | 0.497 | 0.497 | 0.504 | |
| HVS | 21.159 | 21.329 | 20.686 | 21.389 | 21.355 | 21.432 | 21.045 | 21.124 | 21.441 | 21.443 | 21.234 | 21.329 | 21.387 | 21.401 | 21.443 | |
| HVSm | 21.587 | 21.685 | 20.956 | 21.731 | 21.705 | 21.777 | 21.357 | 21.417 | 21.785 | 21.788 | 21.567 | 21.696 | 21.729 | 21.741 | 21.788 | |
| Img2 | PSNR | 24.881 | 27.626 | 26.995 | 27.632 | 27.465 | 27.414 | 27.346 | 27.188 | 27.503 | 27.416 | 27.372 | 27.224 | 27.649 | 27.612 | 27.649 |
| Cielab | 4.596 | 4.141 | 3.222 | 4.158 | 4.265 | 4.195 | 4.213 | 3.309 | 4.185 | 4.200 | 4.205 | 4.244 | 4.148 | 4.155 | 3.222 | |
| SSIM | 0.399 | 0.586 | 0.463 | 0.584 | 0.578 | 0.581 | 0.580 | 0.520 | 0.582 | 0.579 | 0.579 | 0.560 | 0.584 | 0.583 | 0.586 | |
| HVS | 21.028 | 22.441 | 22.852 | 22.537 | 22.394 | 22.484 | 22.629 | 22.752 | 22.596 | 22.481 | 22.259 | 22.370 | 22.518 | 22.538 | 22.852 | |
| HVSm | 22.408 | 23.591 | 24.415 | 23.667 | 23.557 | 23.690 | 23.743 | 24.196 | 23.796 | 23.695 | 23.329 | 23.542 | 23.653 | 23.682 | 24.415 | |
| Img3 | PSNR | 28.060 | 29.353 | 30.667 | 29.379 | 29.024 | 29.334 | 29.031 | 29.724 | 29.425 | 29.335 | 29.046 | 29.030 | 29.375 | 29.381 | 30.667 |
| Cielab | 4.606 | 4.490 | 3.731 | 4.421 | 4.665 | 4.400 | 4.492 | 3.926 | 4.426 | 4.407 | 4.496 | 4.508 | 4.428 | 4.399 | 3.731 | |
| SSIM | 0.563 | 0.609 | 0.580 | 0.609 | 0.598 | 0.608 | 0.604 | 0.615 | 0.609 | 0.607 | 0.604 | 0.596 | 0.607 | 0.607 | 0.615 | |
| HVS | 23.811 | 24.302 | 26.429 | 24.380 | 24.317 | 24.355 | 24.110 | 25.147 | 24.334 | 24.354 | 24.092 | 24.268 | 24.379 | 24.403 | 26.429 | |
| HVSm | 24.911 | 25.215 | 27.665 | 25.287 | 25.255 | 25.314 | 24.955 | 26.012 | 25.291 | 25.318 | 24.943 | 25.213 | 25.286 | 25.315 | 27.665 | |
| Img4 | PSNR | 18.786 | 20.395 | 20.640 | 20.450 | 20.215 | 20.343 | 19.984 | 20.845 | 20.398 | 20.377 | 19.987 | 20.208 | 20.452 | 20.434 | 20.845 |
| Cielab | 12.202 | 12.236 | 6.391 | 11.990 | 11.882 | 11.642 | 11.773 | 6.786 | 12.140 | 11.624 | 11.801 | 11.809 | 11.981 | 11.750 | 6.391 | |
| SSIM | 0.456 | 0.636 | 0.614 | 0.636 | 0.619 | 0.625 | 0.625 | 0.631 | 0.629 | 0.626 | 0.624 | 0.613 | 0.636 | 0.634 | 0.636 | |
| HVS | 14.151 | 14.843 | 16.086 | 14.948 | 14.885 | 15.024 | 14.567 | 15.990 | 15.034 | 15.036 | 14.488 | 14.765 | 14.948 | 14.963 | 16.086 | |
| HVSm | 15.014 | 15.558 | 16.904 | 15.661 | 15.626 | 15.786 | 15.236 | 16.813 | 15.789 | 15.803 | 15.154 | 15.506 | 15.661 | 15.682 | 16.904 | |
| Img5 | PSNR | 27.318 | 28.808 | 29.054 | 28.825 | 28.634 | 28.749 | 28.383 | 28.744 | 28.818 | 28.748 | 28.448 | 28.546 | 28.829 | 28.816 | 29.054 |
| Cielab | 3.399 | 3.270 | 2.950 | 3.204 | 3.243 | 3.216 | 3.330 | 3.046 | 3.220 | 3.218 | 3.305 | 3.243 | 3.206 | 3.201 | 2.950 | |
| SSIM | 0.325 | 0.389 | 0.346 | 0.389 | 0.385 | 0.389 | 0.385 | 0.375 | 0.387 | 0.386 | 0.384 | 0.378 | 0.388 | 0.388 | 0.389 | |
| HVS | 23.466 | 24.370 | 24.902 | 24.446 | 24.363 | 24.536 | 24.014 | 24.512 | 24.568 | 24.538 | 23.966 | 24.273 | 24.442 | 24.488 | 24.902 | |
| HVSm | 24.548 | 25.213 | 25.890 | 25.278 | 25.227 | 25.426 | 24.756 | 25.353 | 25.447 | 25.433 | 24.734 | 25.154 | 25.275 | 25.325 | 25.890 | |
| Img6 | PSNR | 25.857 | 28.142 | 28.335 | 28.213 | 27.878 | 28.024 | 27.841 | 28.194 | 28.141 | 27.992 | 27.851 | 27.708 | 28.214 | 28.179 | 28.335 |
| Cielab | 5.375 | 5.111 | 4.159 | 4.964 | 5.105 | 4.926 | 5.204 | 4.111 | 5.022 | 4.952 | 5.223 | 5.073 | 4.974 | 4.939 | 4.111 | |
| SSIM | 0.418 | 0.568 | 0.477 | 0.568 | 0.559 | 0.567 | 0.561 | 0.531 | 0.567 | 0.564 | 0.559 | 0.537 | 0.567 | 0.567 | 0.568 | |
| HVS | 22.006 | 23.068 | 23.951 | 23.067 | 23.069 | 23.157 | 22.646 | 23.579 | 23.199 | 23.177 | 22.799 | 22.793 | 23.091 | 23.145 | 23.951 | |
| HVSm | 23.434 | 24.276 | 25.353 | 24.295 | 24.302 | 24.438 | 23.809 | 24.871 | 24.484 | 24.466 | 23.971 | 24.081 | 24.313 | 24.370 | 25.353 | |
| Img7 | PSNR | 26.971 | 28.543 | 27.003 | 28.579 | 28.490 | 28.436 | 28.706 | 28.500 | 28.475 | 28.419 | 28.699 | 28.403 | 28.578 | 28.560 | 28.706 |
| Cielab | 4.068 | 3.765 | 3.589 | 3.772 | 3.823 | 3.802 | 3.755 | 3.268 | 3.783 | 3.807 | 3.747 | 3.827 | 3.774 | 3.777 | 3.268 | |
| SSIM | 0.437 | 0.590 | 0.473 | 0.588 | 0.584 | 0.587 | 0.585 | 0.538 | 0.587 | 0.585 | 0.585 | 0.573 | 0.587 | 0.586 | 0.590 | |
| HVS | 23.317 | 24.178 | 23.444 | 24.239 | 24.212 | 24.170 | 24.462 | 24.712 | 24.206 | 24.159 | 24.348 | 24.160 | 24.237 | 24.246 | 24.712 | |
| HVSm | 24.260 | 24.908 | 24.172 | 24.977 | 24.967 | 24.951 | 25.234 | 25.621 | 24.980 | 24.942 | 25.112 | 24.926 | 24.976 | 24.990 | 25.621 | |
| Img8 | PSNR | 25.298 | 28.544 | 27.792 | 28.723 | 28.383 | 28.325 | 28.265 | 27.953 | 28.416 | 28.276 | 28.314 | 28.087 | 28.723 | 28.677 | 28.723 |
| Cielab | 4.431 | 4.120 | 3.250 | 4.015 | 4.161 | 4.034 | 4.114 | 3.262 | 4.053 | 4.044 | 4.090 | 4.157 | 4.018 | 4.009 | 3.250 | |
| SSIM | 0.453 | 0.571 | 0.477 | 0.571 | 0.563 | 0.570 | 0.561 | 0.537 | 0.571 | 0.568 | 0.561 | 0.548 | 0.570 | 0.570 | 0.571 | |
| HVS | 21.405 | 22.734 | 23.977 | 23.371 | 23.370 | 23.361 | 23.214 | 24.116 | 23.332 | 23.369 | 22.960 | 22.951 | 23.353 | 23.416 | 24.116 | |
| HVSm | 22.819 | 23.953 | 25.568 | 24.639 | 24.691 | 24.740 | 24.414 | 25.658 | 24.716 | 24.770 | 24.134 | 24.239 | 24.620 | 24.698 | 25.658 | |
| Img9 | PSNR | 26.606 | 27.968 | 27.180 | 28.051 | 27.819 | 27.839 | 27.779 | 28.388 | 28.019 | 27.745 | 27.771 | 27.812 | 28.047 | 28.048 | 28.388 |
| Cielab | 3.649 | 3.564 | 3.242 | 3.469 | 3.524 | 3.632 | 3.521 | 2.993 | 3.514 | 3.738 | 3.523 | 3.497 | 3.477 | 3.465 | 2.993 | |
| SSIM | 0.264 | 0.323 | 0.345 | 0.323 | 0.317 | 0.318 | 0.322 | 0.325 | 0.316 | 0.311 | 0.322 | 0.313 | 0.327 | 0.326 | 0.345 | |
| HVS | 22.272 | 22.829 | 22.590 | 23.017 | 22.987 | 23.133 | 22.751 | 23.768 | 23.146 | 23.146 | 22.774 | 22.846 | 23.015 | 23.066 | 23.768 | |
| HVSm | 23.228 | 23.573 | 23.141 | 23.746 | 23.728 | 23.893 | 23.446 | 24.480 | 23.903 | 23.909 | 23.467 | 23.621 | 23.745 | 23.796 | 24.480 | |
| Img10 | PSNR | 24.774 | 26.876 | 25.963 | 26.915 | 26.681 | 26.815 | 26.514 | 27.096 | 26.883 | 26.804 | 26.512 | 26.459 | 26.919 | 26.908 | 27.096 |
| Cielab | 5.106 | 4.821 | 3.933 | 4.762 | 4.848 | 4.730 | 4.864 | 3.731 | 4.811 | 4.737 | 4.843 | 4.833 | 4.765 | 4.732 | 3.731 | |
| SSIM | 0.375 | 0.482 | 0.431 | 0.482 | 0.474 | 0.483 | 0.478 | 0.465 | 0.483 | 0.481 | 0.475 | 0.461 | 0.482 | 0.482 | 0.483 | |
| HVS | 21.234 | 22.249 | 22.291 | 22.283 | 22.350 | 22.427 | 21.779 | 23.305 | 22.400 | 22.421 | 21.958 | 22.054 | 22.305 | 22.375 | 23.305 | |
| HVSm | 22.565 | 23.299 | 23.324 | 23.357 | 23.415 | 23.538 | 22.796 | 24.565 | 23.522 | 23.542 | 22.981 | 23.201 | 23.370 | 23.439 | 24.565 | |
| Img11 | PSNR | 26.150 | 27.606 | 26.454 | 27.650 | 27.499 | 27.611 | 27.389 | 27.309 | 27.647 | 27.596 | 27.386 | 27.321 | 27.648 | 27.646 | 27.650 |
| Cielab | 4.713 | 4.534 | 4.568 | 4.505 | 4.600 | 4.510 | 4.538 | 4.267 | 4.518 | 4.514 | 4.536 | 4.547 | 4.511 | 4.502 | 4.267 | |
| SSIM | 0.421 | 0.524 | 0.416 | 0.524 | 0.517 | 0.529 | 0.519 | 0.496 | 0.530 | 0.529 | 0.518 | 0.500 | 0.523 | 0.524 | 0.530 | |
| HVS | 22.398 | 22.906 | 21.891 | 23.125 | 23.164 | 23.220 | 22.867 | 23.069 | 23.225 | 23.238 | 22.859 | 22.963 | 23.124 | 23.164 | 23.238 | |
| HVSm | 23.440 | 23.781 | 22.668 | 23.984 | 24.018 | 24.097 | 23.687 | 23.963 | 24.108 | 24.118 | 23.678 | 23.866 | 23.983 | 24.020 | 24.118 | |
| Img12 | PSNR | 22.103 | 23.523 | 24.317 | 23.555 | 23.418 | 23.507 | 23.243 | 23.423 | 23.558 | 23.513 | 23.245 | 23.317 | 23.554 | 23.530 | 24.317 |
| Cielab | 5.753 | 5.514 | 4.447 | 5.488 | 5.541 | 5.468 | 5.435 | 4.788 | 5.506 | 5.470 | 5.435 | 5.519 | 5.495 | 5.479 | 4.447 | |
| SSIM | 0.508 | 0.647 | 0.559 | 0.647 | 0.641 | 0.646 | 0.637 | 0.616 | 0.646 | 0.644 | 0.637 | 0.629 | 0.646 | 0.645 | 0.647 | |
| HVS | 18.482 | 18.928 | 20.675 | 19.040 | 19.045 | 19.115 | 18.743 | 19.380 | 19.126 | 19.125 | 18.742 | 18.951 | 19.040 | 19.047 | 20.675 | |
| HVSm | 19.240 | 19.512 | 21.479 | 19.603 | 19.605 | 19.697 | 19.285 | 19.970 | 19.707 | 19.709 | 19.284 | 19.546 | 19.603 | 19.609 | 21.479 | |
| Average | PSNR | 25.256 | 27.019 | 26.704 | 27.069 | 26.853 | 26.933 | 26.758 | 26.987 | 27.018 | 26.919 | 26.775 | 26.731 | 27.070 | 27.054 | 27.070 |
| Cielab | 5.194 | 4.994 | 4.029 | 4.926 | 5.007 | 4.917 | 4.961 | 4.008 | 4.962 | 4.931 | 4.964 | 4.970 | 4.929 | 4.898 | 4.008 | |
| SSIM | 0.424 | 0.535 | 0.468 | 0.535 | 0.527 | 0.534 | 0.529 | 0.511 | 0.534 | 0.532 | 0.529 | 0.516 | 0.534 | 0.534 | 0.535 | |
| HVS | 21.227 | 22.015 | 22.481 | 22.153 | 22.126 | 22.201 | 21.902 | 22.621 | 22.217 | 22.207 | 21.873 | 21.977 | 22.153 | 22.188 | 22.621 | |
| HVSm | 22.288 | 22.880 | 23.461 | 23.019 | 23.008 | 23.112 | 22.726 | 23.577 | 23.127 | 23.124 | 22.696 | 22.883 | 23.018 | 23.055 | 23.577 |
References
- Bayer, B.E. Color Imaging Array. US Patent 3,971,065, 20 July 1976. [Google Scholar]
- Bell, J.F., III; Godber, A.; McNair, S.; Caplinger, M.A.; Maki, J.N.; Lemmon, M.T.; van Beek, J.; Malin, M.C.; Wellington, D.; Kinch, K.M.; et al. The mars science laboratory curiosity rover mast camera (Mastcam) instruments: Pre-flight and in-flight calibration, validation, and data archiving. AGU J. Earth Space Sci. 2017. [Google Scholar] [CrossRef]
- Dao, M.; Kwan, C.; Ayhan, B.; Bell, J.F. Enhancing mastcam images for mars rover mission. In Proceedings of the 14th International Symposium on Neural Networks, Sapporo/Hakodate/Muroran, Japan, 21–26 June 2017; pp. 197–206. [Google Scholar]
- Kwan, C.; Budavari, B.; Dao, M.; Ayhan, B.; Bell, J.F. Pansharpening of mastcam images. In Proceedings of the IEEE International Geoscience and Remote Sensing Symposium, Fort Worth, TX, USA, 27–28 July 2017; pp. 5117–5120. [Google Scholar]
- Ayhan, B.; Dao, M.; Kwan, C.; Chen, H.; Bell, J.F.; Kidd, R. A Novel utilization of image registration techniques to process mastcam images in mars rover with applications to image fusion, pixel clustering, and anomaly detection. IEEE J. Sel. Top. Appl. Earth Obs. Remote Sens. 2017, 10, 4553–4564. [Google Scholar] [CrossRef]
- Hamilton, J.; Compton, J. Processing Color and Panchromatic Pixels. U.S. Patent 2,007,002,487,9A1, 1 February 2007. [Google Scholar]
- Kijima, T.; Nakamura, H.; Compton, J.T.; Hamilton, J.F.; DeWeese, T.E. Image Sensor with Improved Light Sensitivity. U.S. Patent US8139130B2, 1 February 2007. [Google Scholar]
- Zhang, C.; Li, Y.; Wang, J.; Hao, P. Universal demosaicking of color filter arrays. IEEE Trans. Image Process. 2016, 25, 5173–5186. [Google Scholar] [CrossRef] [PubMed]
- Condat, L. A generic variational approach for demosaicking from an arbitrary color filter array. In Proceedings of the 16th IEEE International Conference on Image Processing (ICIP), Cairo, Egypt, 7–10 November 2009; pp. 1625–1628. [Google Scholar]
- Menon, D.; Calvagno, G. Regularization approaches to demosaicking. IEEE Trans. Image Process. 2009, 18, 2209–2220. [Google Scholar] [CrossRef] [PubMed]
- Oh, P.; Li, S.; Kang, M.G. Colorization-based RGB-white color interpolation using color filter array with randomly sampled pattern. Sensors 2017, 17, 1523. [Google Scholar] [CrossRef]
- Kwan, C.; Chou, B.; Kwan, L.M.; Budavari, B. Debayering RGBW color filter arrays: A pansharpening approach. In Proceedings of the IEEE Ubiquitous Computing, Electronics & Mobile Communication Conference, New York, NY, USA, 10 October 2017; pp. 94–100. [Google Scholar]
- Kwan, C.; Larkin, J. Demosaicing of bayer and CFA 2.0 patterns for low lighting images. Electronics 2019, 8, 1444. [Google Scholar] [CrossRef]
- Kwan, C.; Chou, B. Further improvement of debayering performance of RGBW color filter arrays using deep learning and pansharpening techniques. J. Imaging 2019, 5, 68. [Google Scholar] [CrossRef]
- BM3D Denoising. Available online: http://www.cs.tut.fi/~foi/invansc/ (accessed on 22 October 2019).
- Zhang, L.; Wu, X.; Buades, A.; Li, X. Color demosaicking by local directional interpolation and nonlocal adaptive thresholding. J. Electron. Imaging 2011, 20, 023016. [Google Scholar] [CrossRef]
- Vivone, G.; Alparone, L.; Chanussot, J.; Mura, M.D.; Garzelli, A.; Licciardi, G.A.; Restaino, R.; Wald, L. A critical comparison among pansharpening algorithms. IEEE Trans. Geosci. Remote Sens. 2015, 53, 2565–2586. [Google Scholar] [CrossRef]
- Liu, J.G. Smoothing filter based intensity modulation: A spectral preserve image fusion technique for improving spatial details. Int. J. Remote Sens. 2000, 21, 3461–3472. [Google Scholar] [CrossRef]
- Aiazzi, B.; Alparone, L.; Baronti, S.; Garzelli, A.; Selva, M. MTF-tailored multiscale fusion of high-resolution MS and pan imagery. Photogramm. Eng. Remote. Sens. 2006, 72, 591–596. [Google Scholar] [CrossRef]
- Vivone, G.; Restaino, R.; Mura, M.D.; Licciardi, G.A.; Chanussot, J. Contrast and error-based fusion schemes for multispectral image pansharpening. IEEE Trans. Geosci. Remote Sens. Lett. 2014, 11, 930–934. [Google Scholar] [CrossRef]
- Laben, C.; Brower, B. Process for Enhancing the Spatial Resolution of Multispectral Imagery Using Pan-Sharpening. U.S. Patent 6,011,875A, 4 January 2000. [Google Scholar]
- Aiazzi, B.; Baronti, S.; Selva, M. Improving component substitution pansharpening through multivariate regression of MS+pan data. IEEE Trans. Geosci. Remote Sens. 2007, 45, 3230–3239. [Google Scholar] [CrossRef]
- Liao, W.; Huang, X.; Van Coillie, F.; Gautama, S.; Panić, M.; Philips, W.; Liu, H.; Zhu, T.; Shimoni, M.; Moser, G.; et al. Processing of multiresolution thermal hyperspectral and digital color data: Outcome of the 2014 IEEE GRSS data fusion contest. IEEE J. Sel. Top. Appl. Earth Obs. Remote Sens. 2015, 8, 1–13. [Google Scholar] [CrossRef]
- Choi, J.; Yu, K.; Kim, Y. A new adaptive component-substitution based satellite image fusion by using partial replacement. IEEE Trans. Geosci. Remote Sens. 2011, 49, 295–309. [Google Scholar] [CrossRef]
- Zhou, J.; Kwan, C.; Budavari, B. Hyperspectral image super-resolution: A hybrid color mapping approach. J. Appl. Remote Sens. 2016, 10, 35024. [Google Scholar] [CrossRef]
- Kwan, C.; Choi, J.H.; Chan, S.; Zhou, J.; Budavai, B. Resolution enhancement for hyperspectral images: A super-resolution and fusion approach. In Proceedings of the IEEE International Conference on Acoustics, Speech, and Signal Processing, New Orleans, LA, USA, 5–9 March 2017; pp. 6180–6184. [Google Scholar]
- Kwan, C.; Budavari, B.; Feng, G. A hybrid color mapping approach to fusing MODIS and landsat images for forward prediction. Remote Sens. 2018, 10, 520. [Google Scholar] [CrossRef]
- Kwan, C.; Budavari, B.; Bovik, A.; Marchisio, G. Blind quality assessment of fused worldview-3 images by using the combinations of pansharpening and hypersharpening paradigms. IEEE Geosci. Remote Sens. Lett. 2017, 14, 1835–1839. [Google Scholar] [CrossRef]
- Kwan, C.; Ayhan, B.; Budavari, B. Fusion of THEMIS and TES for accurate mars surface characterization. In Proceedings of the IEEE International Geoscience and Remote Sensing Symposium, Fort Worth, TX, USA, 27–28 July 2017; pp. 3381–3384. [Google Scholar]
- Gharbi, M.; Chaurasia, G.; Paris, S.; Durand, F. Deep joint demosaicking and denoising. ACM Trans. Gr. 2016, 35, 1–12. [Google Scholar] [CrossRef]
- Leung, B.; Jeon, G.; Dubois, E. Least-squares luma–chroma demultiplexing algorithm for bayer demosaicking. IEEE Trans. Image Process. 2011, 20, 1885–1894. [Google Scholar] [CrossRef]
- Kwan, C.; Chou, B.; Kwan, L.M.; Larkin, J.; Ayhan, B.; Bell, J.F.; Kerner, H. Demosaicking enhancement using pixel-level fusion. J. Signal Image Video Process. 2018, 12, 749. [Google Scholar] [CrossRef]
- Kwan, C.; Zhu, X.; Gao, F.; Chou, B.; Perez, D.; Li, J.; Shen, Y.; Koperski, K. Assessment of spatiotemporal fusion algorithms for planet and worldview images. Sensors 2018, 18, 1051. [Google Scholar] [CrossRef] [PubMed]
- SSIM. Available online: https://en.wikipedia.org/wiki/Structural_similarity (accessed on 26 April 2019).
- Egiazarian, K.; Astola, J.; Ponomarenko, N.; Lukin, V.; Battisti, F.; Carli, M. New full quality metrics based on HVS. In Proceedings of the Second International Workshop on Video Processing and Quality Metrics, Scottsdale, AZ, USA, 22–24 January 2006. [Google Scholar]
- Ponomarenko, N.; Silvestri, F.; Egiazarian, K.; Carli, M.; Astola, J.; Lukin, V. On between-coefficient contrast masking of DCT basis functions. In Proceedings of the Third International Workshop on Video Processing and Quality Metrics for Consumer Electronics VPQM-07, Scottsdale, AZ, USA, 25–26 January 2007. [Google Scholar]
- Zhang, X.; Wandell, B.A. A spatial extension of cielab for digital color image reproduction. SID J. 1997, 5, 61–63. [Google Scholar] [CrossRef]
- Ohta, J. Smart CMOS Image Sensors and Applications; CRC: Boca Raton, FL, USA, 2008. [Google Scholar]
- MacDonald, L. Digital Heritage; Butterworth-Heinemann: London, UK, 2006. [Google Scholar]
- Siegel, A.F. Practical Business Statistics, 7th ed.; Academic Press: Cambridge, MA, USA, 2016. [Google Scholar]
- Available online: https://www.roe.ac.uk/~al/ASM-bits/astrostats2012_part2.pdf (accessed on 16 June 2020).
- Available online: https://en.wikipedia.org/wiki/Shot_noise#/media/File:Poisson_pmf.svg (accessed on 16 June 2020).
- Knuth, D.E. Semi-Numerical Algorithms, The Art of Computer Programming, 2, 3rd ed.; Addison Wesley: Boston, MA, USA, 1997. [Google Scholar]
- Poisson Noise Generation. Available online: https://github.com/erezposner/Shot-Noise-Generator (accessed on 24 April 2020).
- Poisson Noise Generation. Available online: http://www.numerical-tours.com/matlab/denoisingwav_5_data_dependent/ (accessed on 22 October 2019).
- Akiyama, H.; Tanaka, M.; Okutomi, M. Pseudo four-channel image denoising for noisy CFA raw data. In Proceedings of the 2015 IEEE International Conference on Image Processing (ICIP), Quebec City, QC, Canada, 27–30 September 2015; pp. 4778–4782. [Google Scholar]
- Malvar, H.S.; He, L.-W.; Cutler, R. High-quality linear interpolation for demosaciking of color images. In Proceedings of the IEEE International Conference on Acoustics, Speech, and Signal Processing, Montreal, QC, Canada, 17–21 May 2004; pp. 485–488. [Google Scholar]
- Zhang, L.; Wu, X. Color demosaicking via directional linear minimum mean square-error estimation. IEEE Trans. Image Process. 2005, 14, 2167–2178. [Google Scholar] [CrossRef]
- Lu, W.; Tan, Y.P. Color filter array demosaicking: New method and performance measures. IEEE Trans. Image Process. 2003, 12, 1194–1210. [Google Scholar] [PubMed]
- Dubois, E. Frequency-domain methods for demosaicking of bayer-sampled color images. IEEE Signal Proc. Lett. 2005, 12, 847–850. [Google Scholar] [CrossRef]
- Gunturk, B.; Altunbasak, Y.; Mersereau, R.M. Color plane interpolation using alternating projections. IEEE Trans. Image Process. 2002, 11, 997–1013. [Google Scholar] [CrossRef]
- Wu, X.; Zhang, N. Primary-consistent soft-decision color demosaicking for digital cameras. IEEE Trans. Image Process. 2004, 13, 1263–1274. [Google Scholar] [CrossRef]
- Bednar, J.; Watt, T. Alpha-trimmed means and their relationship to median filters. IEEE Trans. Acoust. Speech Signal Process. 1984, 32, 145–153. [Google Scholar] [CrossRef]
- Klatzer, T.; Hammernik, K.; Knobelreiter, P.; Pock, T. Learning joint demosaicing and denoising based on sequential energy minimization. In Proceedings of the IEEE International Conference on Computational Photography (ICCP), Evanston, IL, USA, 11 January 2016. [Google Scholar]
- Tan, R.; Zhang, K.; Zuo, W.; Zhang, L. Color image demosaicking via deep residual learning. In Proceedings of the IEEE International Conference on Multimedia and Expo (ICME), Hong Kong, China, 10–14 July 2017; pp. 793–798. [Google Scholar]
- Jaiswal, S.P.; Au, O.C.; Jakhetiya, V.; Yuan, Y.; Yang, H. Exploitation of inter-color correlation for color image demosaicking. In Proceedings of the 2014 IEEE International Conference on Image Processing (ICIP), Paris, France, 27–30 October 2014; pp. 1812–1816. [Google Scholar]
- Kiku, D.; Monno, Y.; Tanaka, M.; Okutomi, M. Beyond color difference: Residual interpolation for color image demosaicking. IEEE Trans. Image Process. 2016, 25, 1288–1300. [Google Scholar] [CrossRef]
- Monno, Y.; Kiku, D.; Tanaka, M.; Okutomi, M. Adaptive residual interpolation for color and multispectral image demosaicking. Sensors 2017, 17, 2787. [Google Scholar] [CrossRef] [PubMed]
- Wu, J.; Timofte, R.; Gool, L.V. Demosaicing based on directional difference regression and efficient regression priors. IEEE Trans. Image Process. 2016, 25, 3862–3874. [Google Scholar] [CrossRef] [PubMed]
- Kwan, C. Active Noise Reduction System for Creating a Quiet Zone. US Patent #9773494, 27 September 2017. [Google Scholar]
- Kwan, C.; Zhou, J.; Qiao, J.; Liu, G.; Ayhan, B. A high performance approach to local active noise reduction. In Proceedings of the IEEE Conference on Decision and Control, Las Vegas, NV, USA, 12–14 December 2016; pp. 347–352. [Google Scholar]
- Zhang, K.; Zuo, W.; Zhang, L. FFDNet: Toward a fast and flexible solution for CNN based image denoising. arXiv 2018, arXiv:1710.04026. [Google Scholar] [CrossRef] [PubMed]



























| Metrics | CFA 1.0/Best Algorithm | CFA 2.0/Best Algorithm | CFA 3.0/Best Algorithm |
|---|---|---|---|
| PSNR | 42.068/ATMF | 36.554/F3 | 34.162/Demonet + GSA |
| Cielab | 0.996/ATMF | 1.956/F3 | 2.372/Demonet + GSA |
| SSIM | 0.922/ATMF | 0.892/F3 | 0.857/Demonet + GSA |
| HVS | 38.101/ATMF | 32.590/F3 | 30.641/Demonet + GSA |
| HVSm | 42.788/ATMF | 35.325/F3 | 33.580/Demonet + GSA |
| Metrics | CFA | No Denoising/Best Algorithm | Denoising After Demosaicing/Best Algorithm | Denoising Before Demosaicing/Best Algorithm |
|---|---|---|---|---|
| PSNR (dB) | 1.0 | 16.889/F3 | 20.826/F3 | 21.978/F3 |
| 2.0 | 21.249/F3 | 24.050/LSLCD | 26.141/Demonet+GFPCA | |
| 3.0 | 20.018/GFPCA | 20.573/Demonet+GFPCA | 25.614/Demonet+GFPCA | |
| CIELAB | 1.0 | 10.149/GFPCA | 6.664/F3 | 6.545/Demonet |
| 2.0 | 6.354/GFPCA | 5.516/F3 | 4.310/Demonet+GFPCA | |
| 3.0 | 7.288/GFPCA | 7.236/Demonet+GFPCA | 4.596/Demonet+GFPCA | |
| SSIM | 1.0 | 0.455/F3 | 0.476/ATMF | 0.463/ATMF |
| 2.0 | 0.451/ATMF | 0.459/LSLCD | 0.467/Standard | |
| 3.0 | 0.429/GFPCA | 0.366/F3 | 0.461/Standard | |
| HVS (dB) | 1.0 | 12.285/SEM | 16.229/F3 | 16.833/ARI |
| 2.0 | 16.531/F3 | 19.056/LSLCD | 22.053/Demonet+GFPCA | |
| 3.0 | 15.294/GFPCA | 16.277/Demonet+GFPCA | 21.346/Demonet+GFPCA | |
| HVSm (dB) | 1.0 | 12.403/SEM | 16.494/F3 | 17.116/ARI |
| 2.0 | 16.868/F3 | 19.568/LSLCD | 23.121/Demonet+GFPCA | |
| 3.0 | 15.551/HPM | 16.611/Demonet+GFPCA | 22.245/Demonet+GFPCA |
| Metrics | CFA | No Denoising/Best Algorithm | Denoising After Demosaicing/Best Algorithm | Denoising Before Demosaicing/Best Algorithm |
|---|---|---|---|---|
| PSNR (dB) | 1.0 | 20.488/ATMF | 22.821/F3 | 24.059/Bilinear |
| 2.0 | 23.290/F3 | 24.391/GSA | 28.172/LSLCD | |
| 3.0 | 21.821/GFPCA | 21.292/F3 | 27.070/Demonet | |
| CIELAB | 1.0 | 6.713/Demonet | 5.256/Demonet | 4.935/Demonet |
| 2.0 | 5.121/GFPCA | 5.268/LSLCD | 3.584/F3 | |
| 3.0 | 6.214/GFPCA | 6.605/Demonet+GFPCA | 4.008/GFPCA | |
| SSIM | 1.0 | 0.517/ATMF | 0.548/F3 | 0.574/F3 |
| 2.0 | 0.535/PCA | 0.535/LSLCD | 0.539/GSA | |
| 3.0 | 0.532/F3 | 0.509/GLP | 0.535/Standard | |
| HVS (dB) | 1.0 | 16.130/Demonet | 18.204/Bilinear | 19.142/Demonet |
| 2.0 | 18.646/F3 | 19.415/LSLCD | 24.382/ATMF | |
| 3.0 | 17.061/GPCA | 17.030/Demonet+GFPCA | 22.621/GFPCA | |
| HVSm (dB) | 1.0 | 16.365/Demonet | 18.734/Bilinear | 19.444/ARI |
| 2.0 | 19.112/F3 | 19.881/LSLCD | 25.516/ATMF | |
| 3.0 | 17.400/GFPCA | 17.313/Demonet+GFPCA | 23.576/GFPCA |
© 2020 by the authors. Licensee MDPI, Basel, Switzerland. This article is an open access article distributed under the terms and conditions of the Creative Commons Attribution (CC BY) license (http://creativecommons.org/licenses/by/4.0/).
Share and Cite
Kwan, C.; Larkin, J.; Ayhan, B. Demosaicing of CFA 3.0 with Applications to Low Lighting Images. Sensors 2020, 20, 3423. https://doi.org/10.3390/s20123423
Kwan C, Larkin J, Ayhan B. Demosaicing of CFA 3.0 with Applications to Low Lighting Images. Sensors. 2020; 20(12):3423. https://doi.org/10.3390/s20123423
Chicago/Turabian StyleKwan, Chiman, Jude Larkin, and Bulent Ayhan. 2020. "Demosaicing of CFA 3.0 with Applications to Low Lighting Images" Sensors 20, no. 12: 3423. https://doi.org/10.3390/s20123423
APA StyleKwan, C., Larkin, J., & Ayhan, B. (2020). Demosaicing of CFA 3.0 with Applications to Low Lighting Images. Sensors, 20(12), 3423. https://doi.org/10.3390/s20123423















