Next Article in Journal
Surface Plasmon Resonance Studies on Molecular Imprinting
Previous Article in Journal
A (Bio-)Chemical Field-Effect Sensor with Macroporous Si as Substrate Material and a SiO2 / LPCVD-Si3N4 Double Layer as pH Transducer
 
 
Font Type:
Arial Georgia Verdana
Font Size:
Aa Aa Aa
Line Spacing:
Column Width:
Background:
Article

In-Situ Chemiresistor Sensor Package for Real-Time Detection of Volatile Organic Compounds in Soil and Groundwater

by
Clifford K. Ho
* and
Robert C. Hughes
Sandia National Laboratories, P.O. Box 5800, Albuquerque, NM 87185, USA
*
Author to whom correspondence should be addressed.
Sensors 2002, 2(1), 23-34; https://doi.org/10.3390/s20100023
Submission received: 14 December 2001 / Accepted: 10 January 2002 / Published: 30 January 2002

Abstract

:
This paper presents the development of a real-time microsensor-based monitoring system that can be used to detect and characterize volatile organic compounds in soil and groundwater. The system employs an array of polymer-based microsensors (chemiresistors) packaged in a waterproof housing that is designed to protect the sensor from harsh subsurface environments, including completely water-saturated conditions. The sensors and packaging have been tested in field and laboratory environments, and characterization methods are being developed that utilize contaminant-transport models and time-dependent, in-situ sensor data to identify the location of the contaminant source.

Introduction

Tens of thousands of sites containing toxic chemical spills, leaking underground storage tanks, and chemical waste dumps require characterization and long-term monitoring to protect environmental resources (e.g., groundwater) and to determine when remedial measures are needed. Current methods are costly and time-intensive, and limitations in sampling and analytical techniques exist. Looney and Falta [1] report that the Department of Energy (DOE) Savannah River Site requires manual collection of nearly 40,000 groundwater samples per year, which can cost between $100 to $1,000 per sample for off-site analysis (not including the cost of collection). In addition, the integrity of off-site analyses can be compromised during sample collection, transport, and storage. Volatile organic compounds (VOCs) that are intended to be collected and analyzed may evaporate if the samples are exposed to the atmosphere when they are handled or stored. Measured concentrations using these ex-situ methods can therefore be lower than actual in-situ concentrations. An attractive alternative is the use of real-time sensors that can be placed in situ, which would reduce the need for manual samples and expensive off- site analyses. However, while technology exists to detect and analyze VOCs, very few systems are designed to be deployed in situ (e.g., in soil and water) while providing real-time, continuous, long- term monitoring [2]. Many of these devices include sensitive electronic components and require the flow of a carrier gas during operation, which may not be amenable to long-term in-situ monitoring applications.
This paper presents the development of a simple, rugged, in-situ microchemical sensor package that can be used to provide real-time monitoring and characterization of VOCs in soil and groundwater environments. A general description of the chemiresistor sensor array is provided, along with a discussion of a unique waterproof package that allows the sensor to be operated in wet or dry environments. A characterization method is then developed that utilizes the transient in-situ sensor data along with models of contaminant transport to identify the location of the contaminant source during a subsurface leak. Experiments are described that test the sensor package in simulated geologic environments and demonstrate the characterization method. Finally, results and conclusions are presented regarding the in-situ chemiresistor sensor package and its applicability in long-term monitoring applications.

Chemiresistor Sensor and Package

Ho et al. [2] performed a review of chemical sensors that are potentially applicable to long-term in-situ monitoring applications. Polymer-absorption conductometric sensors were found to be one of the most viable candidates for in-situ applications because of their simplicity, and they have been considered by the U.S. Environmental Protection Agency for use in detecting VOC spills from underground storage tanks [3,4]. However, previous studies have focused on the physics of the sensors themselves, and rigorous descriptions of fieldable devices are lacking. In this paper, we describe the development, packaging, and application of a thin-film chemiresistor that is intended for long-term monitoring of VOCs in soil, air, or water.
The chemiresistor consists of a chemically-sensitive polymer that is dissolved in a solvent and mixed with conductive carbon particles. The resulting ink is then deposited and dried onto thin-film platinum traces sputtered onto a solid substrate. When chemical vapors come into contact with the polymers, the chemicals absorb into the polymers, causing them to swell. The swelling changes the resistance of the electrode, which can be measured and recorded (see Figure 1). The amount of swelling corresponds to the concentration of the chemical vapor in contact with the chemiresistor. The process is reversible if the chemical vapors are removed, but some hysteresis can occur [5]. Chemiresistors have been developed in the past for applications in the subsurface [3,4], but the ability to use these sensors to characterize the contaminant in situ has not been addressed.
Two unique features exist regarding the chemiresistor sensor package described in this paper. First, the architecture of the microsensor integrates an array of chemiresistors with a temperature sensor and heating elements (Figure 2) [6]. The array of differing sensors can be used to identify different VOCs by comparing the resulting chemical signatures with calibration (or training) sets and pattern- recognition methods [7,8,9,10,11,12]. The chemiresistor array has been shown to detect a variety of VOCs including aromatic hydrocarbons (e.g., benzene), chlorinated solvents (e.g., trichloroethylene (TCE), carbon tetrachloride), aliphatic hydrocarbons (e.g., hexane, iso-octane), alcohols, and ketones (e.g., acetone) [12,13]. The on-board temperature sensor comprised of a thin-film platinum trace can be used to not only monitor the in-situ temperature, but it can also provide a means for temperature control. A feedback control system between the temperature sensor and on-board heating elements can allow the chemiresistors to be maintained at a fairly constant temperature, which can aid in the processing of data when comparing the responses to calibrated training sets. In addition, the chemiresistors can be maintained at a temperature above the ambient to prevent condensation of water, which may be detrimental to the wires and surfaces of the chemiresistor.
Figure 1. VOC detection by a thin-film chemiresistor: (a) Electrical current (I) flows across a conductive thin-film carbon-loaded polymer deposited on a micro-fabricated electrode; (b) VOCs absorb into the polymer, causing it to swell (reversibly) and break some of the conductive pathways, which increases the electrical resistance.
Figure 1. VOC detection by a thin-film chemiresistor: (a) Electrical current (I) flows across a conductive thin-film carbon-loaded polymer deposited on a micro-fabricated electrode; (b) VOCs absorb into the polymer, causing it to swell (reversibly) and break some of the conductive pathways, which increases the electrical resistance.
Sensors 02 00023 g001
Figure 2. Chemiresistor array developed at Sandia National Laboratories with four conductive polymer films deposited onto a microfabricated circuit. A temperature sensor (middle) and heating elements (ends) are also integrated. The heater to heater distance is about 7 mm.
Figure 2. Chemiresistor array developed at Sandia National Laboratories with four conductive polymer films deposited onto a microfabricated circuit. A temperature sensor (middle) and heating elements (ends) are also integrated. The heater to heater distance is about 7 mm.
Sensors 02 00023 g002
A second unique feature is that a robust package has been designed and fabricated to house the chemiresistor array. This bullet-shaped package is small (~ 3 cm diameter) and is constructed of rugged, chemically-resistant material. Early designs have used PEEK (PolyEtherEtherKetone), a semi-crystalline, thermoplastic with excellent resistance to chemicals and fatigue. Newer package designs have been fabricated from stainless steel (Figure 3). The package design is modular and can be easily taken apart (unscrewed like a flashlight) to replace the chemiresistor sensor if desired (Figure 4). Fitted with o-rings, the package is completely waterproof, but gas is allowed to diffuse through a GORE-TEX® membrane that covers a small window to the sensor. Like clothing made of GORE- TEX®, the membrane prevents liquid water from passing through it, but the membrane “breathes,” allowing vapors to diffuse through. Even in water, dissolved VOCs can partition across the membrane into the gas-phase headspace next to the chemiresistors to allow detection of aqueous-phase contaminants. The aqueous concentrations can be determined from the measured gas-phase concentrations using Henry’s Law [14]. Mechanical protection is also provided via a perforated metal plate that covers the chemiresistors. The chemiresistors are situated on a 16-pin dual-in-line package that is connected to a weatherproof cable, which can be of any length because of the DC-resistance measurement. The cable can be connected to a hand-held multimeter for manual single-channel readings, or it can be connected to a multi-channel data logger for long-term, remote operation.
Figure 3. Stainless-steel waterproof package that houses the chemiresistor array. A GORE- TEX® membrane covers a small window over the chemiresistors.
Figure 3. Stainless-steel waterproof package that houses the chemiresistor array. A GORE- TEX® membrane covers a small window over the chemiresistors.
Sensors 02 00023 g003
Figure 4. Chemiresistor sensor package disassembled, exposing the 16-pin dual-in-line package and chemiresistor array.
Figure 4. Chemiresistor sensor package disassembled, exposing the 16-pin dual-in-line package and chemiresistor array.
Sensors 02 00023 g004

Calibration and Sensitivity

The chemiresistors are calibrated by exposing the chemiresistor arrays to known concentrations of analytes of interest. Computer-controlled mass-flow valves provide precise flows and mixtures of these analytes over the chemiresistors, and the change in resistance corresponding to different VOC concentrations is recorded. These calibrations can be conducted under a variety of relative humidity and temperature conditions to provide a suite of training sets that can be used when the chemiresistor is exposed to varying conditions in the field.
The sensitivity of these devices depends on the type of polymer used in the chemiresistor, the amount of carbon particles added to polymer, separation distance between the electrodes, and the type of analyte. A general observation for the chemiresistors developed at Sandia is that the best chemiresistors for a particular vapor can detect vapor concentrations on the order of 1/1000th the saturated vapor pressure of the analyte being detected. For some VOCs, this detection limit is below the maximum concentration limits set forth by the United States Environmental Protection Agency (U.S. EPA) for air and drinking water. For example, m-xylene was reliably detected at 1/100th its saturated vapor pressure, or approximately 100 parts per million (ppm) by volume in the gas phase. According to Henry’s Law, this corresponds to ~2 ppm by mass in the aqueous phase, which is less than the 10 ppm maximum concentration limit imposed by the U.S. EPA [15]. However, for TCE, the chemiresistors can detect gas-phase concentrations as low as 100-1000 ppm, which corresponds to an aqueous TCE concentration of ~1-10 ppm. The U.S. EPA maximum concentration limit for TCE in drinking water is 0.005 ppm, well below the current detection limits. Nevertheless, many applications such as pre-screening and remediation monitoring do not require the capability to provide such low detection limits. In addition, efforts are ongoing to develop integrated pre-concentrators that can increase the apparent sensitivity of the chemiresistor sensors.

In-Situ Characterization Method to Locate Contaminant Leaks

A desirable feature during in-situ monitoring is the capability to not only detect the presence of contaminants, but to also characterize the contaminant in terms of its composition and location in situ. As discussed in the previous section, training sets and pattern-recognition algorithms can be used to identify and quantify analytes that are detected by the chemiresistor-sensor array. An additional benefit of in-situ, real-time monitoring is the ability to exploit the transient nature of contaminant transport in the subsurface to provide estimations of the source location of a contaminant spill or leak. Time-dependent concentrations recorded by the in-situ sensor can be used to inversely determine the location of the contaminant release through comparisons with theoretical predictions of contaminant transport in porous media. This section derives the formulation necessary to perform this characterization method.

Theory of Mass Diffusion in Porous Media

An illustration of the conceptual model describing the scenario of a subsurface contaminant leak is shown in Figure 5. We assume that mass transfer can occur through the subsurface (in the unsaturated zone) by vapor diffusion between the leaking non-aqueous-phase liquid (NAPL) and the surrounding “clean” environment. While it is unlikely that the location of the in-situ sensor will intercept the NAPL itself (i.e., the liquid phase), the NAPL vapor will eventually diffuse to the sensor location. The transient vapor concentration at the sensor location yields a breakthrough curve that has a shape defined, in part, by the distance between the NAPL and the sensor. The following mathematical model describes the diffusive mass transfer in porous media and the determination of the vapor-concentration breakthrough curve at the sensor location. For illustration, a one-dimensional Cartesian model is considered; one-dimensional radial and spherical models can also be developed for line- and point- sources as well. The impact of multi-dimensional diffusion caused by heterogeneities and variable liquid saturation will be considered in a future paper.
Figure 5. Monitoring for contaminant leaks from an underground storage tank in the unsaturated zone.
Figure 5. Monitoring for contaminant leaks from an underground storage tank in the unsaturated zone.
Sensors 02 00023 g005
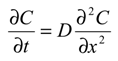
A mass–balance requirement yields the following governing differential equation for one- dimensional vapor diffusion:
Sensors 02 00023 i001
where C is vapor concentration [kg/m3], D is the effective diffusion coefficient in porous media [m2/s], t is the time [s], and x is the distance [m] from the source (e.g., NAPL). The initial and boundary conditions that are used in this study are as follows:
Sensors 02 00023 i002
Sensors 02 00023 i003
Sensors 02 00023 i004
where Ci is the initial vapor concentration in the domain, Cs is the vapor concentration at the source, and L is the distance between the source and the sensor. The concentration, C, can be normalized between 0 and 1 as follows:
Sensors 02 00023 i005
The solution for the normalized vapor concentration evaluated at the sensor location (x = L) can be expressed as follows [adapted from 16]:
Sensors 02 00023 i006
It should be noted that the boundary condition in Eq. (4) is specific to the experimental conditions described in the next section. In actual field conditions, the applicable boundary condition is a vapor concentration of zero (or the initial condition) as x approaches infinity, which yields the following normalized one-dimensional solution that can be employed in a similar manner as Eq. (6) [adapted from 16]:
Sensors 02 00023 i007
The normalized concentration in Eq. (6) can be plotted as a function of time to yield a vapor- concentration breakthrough curve that has a shape defined by the effective diffusion coefficient and the distance, L, between the sensor and the contaminant source. If the effective diffusion coefficient is estimated, then a fit between the theoretical results of Eq. (6) and the observed data yields an inverse estimation of the distance, L. On the other hand, if the separation distance is known, then the effective diffusion coefficient can be inversely determined from comparisons between the predicted and observed data.
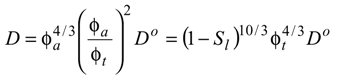
The effective diffusion coefficient, D, is given as follows [17]:
Sensors 02 00023 i008
where φa is the air-filled porosity, φt is the total porosity, Sl is the liquid saturation, and Do is the binary gas-phase diffusion coefficient in air given by Fuller, Schettler, and Giddings [18]. The effective diffusion coefficient is less than the binary diffusion ceofficient in air because of obstructions caused by liquid and solid phases that increase the tortuosity and reduce the available area for diffusion.

Experiments

One-dimensional column experiments were performed to test the sensors in simulated geologic environments and to demonstrate the characterization method discussed above. The experiment consisted of a sand-filled glass (borosilicate) column sealed by the chemiresistor package at one end of the column and a contaminant source term (saturated iso-octane) at the other end (see Figure 6). The sand used in the experiments was dry and sorted using 10-20 mesh sieves. The sensor package was fit into a custom-made adaptor that provided an air-tight seal between the sensor package and the 5-cm diameter tube. The contaminant was placed into a piston-like reservoir that also provided an air-tight seal at the other end of the tube. Small amounts of iso-octane (several milliliters), sufficient to saturate the column with iso-octane vapor, was introduced into the reservoir via soaked cotton balls. A steel mesh covering the cotton balls in the reservoir prevented direct contact between the sand and the liquid iso-octane.
Figure 6. One-dimensional column experiment used to test chemiresistor sensor package in porous media.
Figure 6. One-dimensional column experiment used to test chemiresistor sensor package in porous media.
Sensors 02 00023 g006
The sensor was connected by cable to an Agilent 34970A data logger, which was connected to a Dell Optiplex PC. After the contaminant was introduced to the system, the resistance of the chemiresistor sensor was recorded on a periodic basis to monitor the diffusion of iso-octane vapors from the reservoir to the sensor. As derived in the previous section, the sand provides additional resistance to mass diffusion, and the “breakthrough curve” has a diffusive shape dependent on the separation distance between the sensor and contaminant, as well as the effective diffusion coefficient. Two experiments were conducted using separation distances of 20 cm and 36 cm.
The sensor was calibrated before the experiment to different concentration exposures to iso-octane. The calibration curves were used develop an analytical expression to convert the measured resistance changes of the chemiresistors to vapor-phase iso-octane concentrations. The concentrations measured by the sensor were then normalized to the maximum concentration (assumed to be 100% saturated vapor pressure at the system temperature), and results were plotted as a function of time and compared to predictions of analytical solutions of diffusion transport.

Results and Discussion

For the analytical solution in Eq. 6, the effective diffusion coefficient and separation distance between the sensor and contaminant source term are needed. Eq. 8 provides an expression for the effective diffusion coefficient, where the binary diffusion coefficient for iso-octane at 100 kPa and 22ºC was calculated as 6.5×10-6 m2/s [18], the liquid saturation was zero, and the sand porosity had an average measured value of 0.35. Figure 7 shows the results of the one-dimensional column experiments, along with the analytical solutions for three assumed distances to demonstrate how the location of the contaminant can be estimated. Results indicate that the measured time-varying concentrations for the 20 cm experiment align most closely with the predicted results that assume a distance of 20 cm. Similarly, the measured concentrations for the 36 cm experiment most closely match the predicted results that assume a distance of 40 cm. Slight deviations in the experimental breakthrough curves may be due to additional factors not considered in the model such as adsorption of the vapors onto the sand, which would tend to flatten the breakthrough curves. Nevertheless, a simple visual inspection of the experimental and theoretical breakthrough curves appears to be sufficient to estimate the distance to the source-term location. More rigorous statistical methods can be used to better quantify the location based on the analytical predictions. In addition, similar analyses are currently being developed in multiple dimensions using triangulation methods to determine the contaminant-source location.
Figure 7. Plot of normalized concentration as a function of time for the 1-D column experiment. The data points are shown as symbols, and the results of the analytical solution are shown as solid lines for three assumed distances.
Figure 7. Plot of normalized concentration as a function of time for the 1-D column experiment. The data points are shown as symbols, and the results of the analytical solution are shown as solid lines for three assumed distances.
Sensors 02 00023 g007
In-situ sensors can also be used to optimize remediation methods such as soil-vapor extraction in the vadose zone and air sparging in the saturated zone. These methods rely on the advective fluid (air) to volatilize and remove the contaminant from the subsurface. However, heterogeneities in the subsurface can cause mass-transfer limitations when the advective fluid bypasses regions of stagnant contamination [19]. In-situ sensors can be used to determine when the effluent concentrations have dropped to levels that are no longer cost-effective for the system to be operated. These sensors could trigger the pumps to shut down, allowing the system to re-equilibrate as the contaminant diffuses to the advective zones. When the concentration reaches a “productive” level, the sensors could trigger the pumps to turn on again. This automatic feedback system can save money by operating the remediation system only when contaminant concentrations are at a significant level. It could also act as a sentinel for sites that are prone to contamination.
Field tests using the in-situ chemiresistor sensor package described in this paper have been successfully conducted at the Hazmat Spill Center at the Nevada Test Site and at the Chemical Waste Landfill at Sandia National Laboratories. At the Hazmat Spill Center, the chemiresistor sensor package was placed in a partially saturated sand-filled 55-gallon drum. Liquid tricholoroethylene (TCE) was added to the moist sand, and the sensor was shown to provide a real-time response to the diffusion of TCE vapors from the source to the sensor. Air was then vented through the sand to simulate a remediation method (e.g., soil vapor extraction), and an immediate decrease in the TCE concentration was recorded by the sensors. At the Chemical Waste Landfill, the sensor package was suspended down a well about 18 m (60 feet) below ground surface (approximate depth to the water table is about 150 m (500 feet)). The impacts of environmental variations in temperature, barometric pressure, and relative humidity on the response of the chemiresistor sensors in the well are currently being evaluated. These field tests have demonstrated the ability of the sensor package to be deployed in subsurface environments. Additional field tests are currently planned at Edwards Air Force Base in California to test the sensors in wells under water-saturated conditions.

Conclusions

A chemiresistor monitoring system has been developed to monitor and characterize volatile organic compounds (VOCs) in soil and groundwater environments. A rugged, waterproof package has been designed to house the chemiresistor sensor array and allow it to be deployed in harsh subsurface environments, including completely water-saturated environments. The device can be used with a hand-held multimeter to provide manual screening analyses, or with a data logger to provide long-term remote monitoring capabilities. We believe that the capability to provide real-time, in-situ, continuous monitoring is a desirable alternative to traditional manual-sampling methods that rely on off-site laboratory analysis.
A characterization method that utilizes the real-time in-situ data from the sensor package was also developed and demonstrated. An experiment was performed in which the contaminant was introduced into a sand-filled column, and the time-dependent breakthrough curve as measured by the chemiresistor sensor package was compared to analytical predictions of contaminant transport. A visual comparison between the experimental and theoretical results allowed an estimation of the location of the contaminant source term. This experiment demonstrates the ability of the sensor to collect time-dependent concentrations that can be used to characterize contaminant releases. This experiment, along with ongoing field tests, also demonstrates the capability of using the chemiresistor sensor package in soils and other in-situ environments.
The use of these in-situ chemiresistor sensor packages can also be extended to other applications and environments such as open water systems (e.g., streams and reservoirs) or water supply systems. An increasing attention in the United States has been placed on the protection of our water resources, and the in-situ chemiresistor sensor package may be one tool in this effort to monitor our water supplies against chemical contamination.
Issues and research needs still exist for this chemiresistor sensor technology. Hysteresis, drift, longevity, and the impact of variations in environmental variables (e.g., temperature, pressure, relative humidity) on the response of the chemiresistor still need to be assessed and resolved. Improved process-control methods for polymer–ink deposition and composition are also needed to increase the repeatability and reliability of these devices. In addition, the sensitivity of these devices can be improved through micro-preconcentrators, which are currently being investigated. Finally, although the capability exists to discriminate unknown VOCs or mixtures of VOCs via an array of different chemiresistors, robust pattern-recognition and data-analysis methods still need to be evaluated and tested.

Acknowledgments

The authors thank Paul Reynolds of Team Specialty Products for his assistance with the design and fabrication of the sensor housing. The authors would also like to thank Mark Jenkins for calibrating the chemiresistor sensors and Dan Lucero for setting up the data acquisition system. Sandia is a multiprogram laboratory operated by Sandia Corporation, a Lockheed Martin Company, for the United States Department of Energy under Contract DE-AC04-94AL85000.

References

  1. Looney, B.B.; Falta, R.W. (Eds.) Vadose zone science and technology solutions; Battelle Press: Columbus, OH, 2000; Ch 4.
  2. Ho, C.K.; Itamura, M.T.; Kelley, M.; Hughes, R.C. Review of chemical sensors for in-situ monitoring of volatile contaminants. In Sandia Report; 2001; SAND2001-0643; Sandia National Laboratories: Albuquerque, NM. [Google Scholar]
  3. U.S. Environmental Protection Agency (EPA). Measurement and analysis of Adsistor and Figaro gas sensors used for underground storage tank leak detection. 1992; Report #EPA/600/R-92/219. [Google Scholar]
  4. U.S. EPA. Measurement and analysis of vapor sensors used at underground storage tank sites. 1995; Report #EPA/600/R-95/078. [Google Scholar]
  5. Porter, T.L.; Eastman, M.P.; Pace, D.L.; Bradley, M. Polymer-based materials to be used as the active element in microsensors: a scanning force microscopy study. Scanning 2000, 22(5), 304–309. [Google Scholar] [CrossRef] [PubMed]
  6. Hughes, R.C.; Casalnuovo, S.A.; Wessendorf, K.O.; Savignon, D.J.; Hietala, S.; Patel, S.V.; Heller, E.J. Integrated Chemiresistor Array for Small Sensor Platforms. In SPIE Proceedings Paper 4038-62, April 24-28, 2000, Orlando, Florida; 2000; p. 519, AeroSense 2000. [Google Scholar]
  7. Patel, S.V.; Jenkins, M.W.; Hughes, R.C.; Yelton, W.G.; Ricco, A.J. Differentiation of chemical components in a binary solvent vapor mixture using carbon/polymer composite-based chemiresistors. Analytical Chemistry 2000, 72(7), 1532–1542. [Google Scholar] [CrossRef]
  8. Vaid, T.P.; Burl, M.C.; Lewis, N.S. Comparison of the performance of different discriminant algorithms in analyte discrimination tasks using an array of carbon black-polymer composite vapor detectors. Analytical Chemistry 2001, 73(2), 321–331. [Google Scholar] [CrossRef]
  9. Doleman, B.J.; Lonergan, M.C.; Severin, E.J.; Vaid, T.P.; Lewis, N.S. Quantitative study of the resolving power of arrays of carbon black-polymer composites in various vapor-sensing tasks. Analytical Chemistry 1998, 70(19), 4177–4190. [Google Scholar] [CrossRef] [PubMed]
  10. Grate, J.W.; Wise, B.M. A method for chemometric classification of unknown vapors from the responses of an array of volume-transducing sensors. Analytical Chemistry 2001, 73(10), 2239–2244. [Google Scholar] [CrossRef] [PubMed]
  11. Osbourn, G.C.; Bartholomew, J.W.; Ricco, A.J.; Frye, G.C. Visual-empirical-region-of-influence pattern recognition applied to chemical microsensor array selection and chemical analysis. Acc. Chem. Res. 1998, 31, 297–305. [Google Scholar] [CrossRef]
  12. Longeran, M.C.; Severin, E.J.; Doleman, B.J.; Beaber, S.A.; Grubbs, R.H.; Lewis, N.S. Array- based vapor sensing using chemically sensitive carbon black-polymer resistors. Chem Mater 1996, 8, 2298–2312. [Google Scholar]
  13. Eastman, M.P.; Hughes, R.C.; Yelton, G.; Ricco, A.J.; Patel, S.V.; Jenkins, M.W. Application of the solubility parameter concept to the design of chemiresistor arrays. J. of the Electrochemical Society 1999, 146(10), 3907–3913. [Google Scholar] [CrossRef]
  14. Mackay, D.; Shiu, W.Y. A critical review of Henry’s Law constants for chemicals of environmental interest. J. Phys. Chem. Ref. Data 1981, 10(4), 1175–1199. [Google Scholar] [CrossRef]
  15. 40 CFR (Code of Federal Regulations) Part 141, National primary drinking water regulations, readily available.
  16. Carslaw, H.S.; Jaeger, J.C. Conduction of heat in solids, 2nd ed.; Oxford University Press: Oxford, 1959; pp. 62–100. [Google Scholar]
  17. Millington, R. J. Gas diffusion in porous media. Science 1959, 130, 100–102. [Google Scholar] [CrossRef] [PubMed]
  18. Fuller, E. N.; Schettler, P.D.; Giddings, J.C. A comparison of methods for predicting gaseous diffusion coefficients. J. Gas Chromatography 1965, 222–227. [Google Scholar] [CrossRef]
  19. Ho, C.K.; Udell, K.S. An experimental investigation of air venting of volatile liquid hydrocarbon mixtures from homogeneous and heterogeneous porous media. J. Contam. Hydrol. 1992, 11, 291–316. [Google Scholar] [CrossRef]
  • Sample Availability: Available from the authors.

Share and Cite

MDPI and ACS Style

Ho, C.K.; Hughes, R.C. In-Situ Chemiresistor Sensor Package for Real-Time Detection of Volatile Organic Compounds in Soil and Groundwater. Sensors 2002, 2, 23-34. https://doi.org/10.3390/s20100023

AMA Style

Ho CK, Hughes RC. In-Situ Chemiresistor Sensor Package for Real-Time Detection of Volatile Organic Compounds in Soil and Groundwater. Sensors. 2002; 2(1):23-34. https://doi.org/10.3390/s20100023

Chicago/Turabian Style

Ho, Clifford K., and Robert C. Hughes. 2002. "In-Situ Chemiresistor Sensor Package for Real-Time Detection of Volatile Organic Compounds in Soil and Groundwater" Sensors 2, no. 1: 23-34. https://doi.org/10.3390/s20100023

APA Style

Ho, C. K., & Hughes, R. C. (2002). In-Situ Chemiresistor Sensor Package for Real-Time Detection of Volatile Organic Compounds in Soil and Groundwater. Sensors, 2(1), 23-34. https://doi.org/10.3390/s20100023

Article Metrics

Back to TopTop