Collaborative Resource Management for Negotiable Multi-Operator Small Cell Networks
Abstract
1. Introduction
- The proposed mechanism of multi-operator small cells collaboration can be applicable to SCNs as well as other radio network technologies, which could offer advantages to MNOs such as: maintaining services to users even in an overloaded environment, sustaining users’ loyalty, avoiding under-utilization of available network resources, improving revenues by serving extra users from a market share, and serving users at locations not under network coverage through BYOD environment.
- Multi-operator small cells collaboration allows MNOs to offer small cells “as a service” to users, with access to wireless coverage/connectivity anywhere regardless of their operator’s network. MNOs determine their policy profile as seekers or feeders depending on the network resources availability and their utilization. Once the policy profile of the MNO is determined, negotiation trades can be established among MNOs, a seeker and a feeder, such that both the collaborating MNOs benefit upon agreement of an offer, i.e., a win–win situation for both participants.
- The introduced mechanism of collaboration formation, by first determining policy profile and then involving in negotiation, could also be applicable to other general fields such that rational agents would be motivated to allocate their exclusively owned resources to others.
2. Related Works
3. Multi-Operator SCNs: Collaboration Management Module
- is the number of users getting served by MNO i;
- is the price per-user per-unit (bps) of data rate service; and
- is the average per-user data rate offered by MNO i for serving users.
3.1. MNO’s Policy Profile
3.2. Negotiation for Collaboration
- Response to an offer by the seeker MNO, :
- Response to an offer by the feeder MNO, :
4. Simulation Results
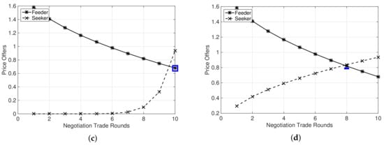
4.1. Effects of Strategy in Proposal Offers
4.2. Effects in Revenues
4.3. Effects in Average Per-User Data Rate
4.4. Effects in System Capacity
4.5. Comparison with Shared Networks
4.6. Comparison with Different Resource Allocation Schemes
5. Conclusions
Author Contributions
Funding
Conflicts of Interest
Abbreviations
| 3GPP | 3rd Generation Partnership Project |
| BPS | Bits per Second |
| BR | Best Response |
| BS | Base Station |
| BYOD | Bring-Your-Own-Device |
| CMM | Collaboration Management Module |
| C-RAN | Cloud-Radio Access Network |
| GWCN | Gateway Core Network |
| MBS | Macrocell Base Station |
| MCBR | Marginal Contribution-Based Best Response |
| MNO | Mobile Network Operator |
| MOCN | Multi-Operator Core Network |
| MS | Mobile Station |
| RAN | Radio Access Network |
| SBS | Small-cell Base Station |
| SCN | Small Cell Network |
References
- Hossain, E.; Hasan, M. 5G Cellular: Key Enabling Technologies and Research Challenges. arXiv 2015, arXiv:1503.00674. [Google Scholar] [CrossRef]
- Li, Y.; Zhou, G.; Leong, D. An energy-efficient framework for ubiquitous phone access. Int. J. Commun. Syst. 2016, 29, 1896–1906. [Google Scholar] [CrossRef]
- Small Cell Forum. Release 7.0. Market Drivers for Multi-Operator Small Cells. 2016. Available online: http://scf.io/en/documents/017_-_R6_-_Multi-Operator_Market_Drivers.php (accessed on 13 August 2019).
- 3GPP TS 23.251. Universal Mobile Telecommunications Systems (UMTS); LTE; Network Sharing; Architecture and Functional Description (Release 13). 2016. Available online: https://www.arib.or.jp/english/html/overview/doc/STD-T63v9_60/5_Appendix/Rel6/23/23251-660.pdf (accessed on 13 August 2019).
- 3GPP TS 32.130. Telecommunication Management; Network Sharing; Concepts and Requirements (Release 13). 2016. Available online: https://www.etsi.org/deliver/etsi_ts/132100_132199/132130/13.00.00_60/ts_132130v130000p.pdf (accessed on 13 August 2019).
- Small Cell Forum. Release 7.0. Regulatory Issues for Multi-Operator Small Cells. 2016. Available online: https://scf.io/en/documents/019_-_Regulatory_issues_for_multi-operator_small_cells.php (accessed on 13 August 2019).
- GSMA Intelligence. Spectrum for New Entrants, Lessons Learned. 2015. Available online: https://www.gsmaintelligence.com/research/?file=3f4ec58d593cdd88d2a7e71995e82733&download (accessed on 13 August 2019).
- Small Cell Forum. Release 8.0. Multi-Operator Small Cells. 2016. Available online: https://scf.io/en/documents/069_Enterprises_and_multi-operator_small_cells.php (accessed on 13 August 2019).
- Shah, S.; Kittipiyakul, S.; Lim, Y.; Tan, Y. Multi-Operator Small Cells Collaboration Using Simultaneous Bilateral Negotiation. In Proceedings of the 2018 15th International Conference on Electrical Engineering/Electronics, Computer, Telecommunications and Information Technology (ECTI-CON), Chiang Rai, Thailand, 18–21 July 2018; pp. 1–4. [Google Scholar] [CrossRef]
- Cisco. Cisco Visual Networking Index: Global Mobile Data Traffic Forecast Update, 2015–2020 White Paper; Cisco Systems Inc.: San Jose, CA, USA, 2016. [Google Scholar]
- Ericsson. 5G Radio Access. The Commun. Technology Journal since 1924. 2014. Available online: https://pdfs.semanticscholar.org/9a06/bcadf0f4e3770260e0193746d5365b6c9114.pdf (accessed on 13 August 2019).
- Small Cell Forum. Version 191.08.02. Multi-Operator and Neutral Host Small Cells: Drivers, Architectures, Planning and Regulation. 2016. Available online: https://scf.io/en/documents/191_-_Multi-operator_and_neutral_host_small_cells.php (accessed on 13 August 2019).
- Kibilda, J.; Francesco, P.D.; Malandrino, F.; DaSilva, L.A. Infrastructure and spectrum sharing trade-offs in mobile networks. In Proceedings of the 2015 IEEE International Symposium on Dynamic Spectrum Access Networks (DySPAN), Stockholm, Sweden, 29 September–2 October 2015; pp. 348–357. [Google Scholar] [CrossRef]
- Sanguanpuak, T.; Guruacharya, S.; Hossain, E.; Rajatheva, N.; Latva-aho, M. Infrastructure Sharing for Mobile Network Operators: Analysis of Trade-offs and Market. IEEE Trans. Mob. Comput. 2017, 17, 2804–2817. [Google Scholar] [CrossRef]
- Wang, S.; Samdanis, K.; Costa, X.P.; Renzo, M.D. On Spectrum and Infrastructure Sharing in Multi-Operator Cellular Networks. In Proceedings of the 2016 23rd International Conference on Telecommunications (ICT), Thessaloniki, Greece, 16–18 May 2016. [Google Scholar]
- Antonopoulos, A.; Kartsakli, E.; Bousia, A.; Alonso, L.; Verikoukis, C. Energy-efficient infrastructure sharing in multi-operator mobile networks. IEEE Commun. Mag. 2015, 53, 242–249. [Google Scholar] [CrossRef]
- Marzouk, F.; Alheiro, R.; Rodriguez, J.; Radwan, A. Perspectives for 5G Network Sharing for Mobile Small Cells. In International Conference on Broadband Communications, Networks and Systems; Springer International Publishing: Cham, Switzerland, 2019; pp. 377–386. [Google Scholar]
- Luoto, P.; Pirinen, P.; Bennis, M.; Samarakoon, S.; Scott, S.; Latva-aho, M. Co-Primary Multi-Operator Resource Sharing for Small Cell Networks. IEEE Trans. Wirel. Commun. 2015, 14, 3120–3130. [Google Scholar] [CrossRef]
- Jorswieck, E.A.; Badia, L.; Fahldieck, T.; Karipidis, E.; Luo, J. Spectrum sharing improves the network efficiency for cellular operators. IEEE Commun. Mag. 2014, 52, 129–136. [Google Scholar] [CrossRef]
- Sanguanpuak, T.; Guruacharya, S.; Rajatheva, N.; Bennis, M.; Latva-Aho, M. Multi-Operator Spectrum Sharing for Small Cell Networks: A Matching Game Perspective. IEEE Trans. Wirel. Commun. 2017, 16, 3761–3774. [Google Scholar] [CrossRef]
- ETSI GR NFV-EVE 012 V3.1.1. Network Functions Virtualisation (NFV) Release 3; Evolution and Ecosystem; Report on Network Slicing Support with ETSI NFV Architecture Framework. 2017. Available online: https://www.etsi.org/deliver/etsi_gr/NFV-EVE/001_099/012/03.01.01_60/gr_NFV-EVE012v030101p.pdf (accessed on 13 August 2019).
- 3GPP TS 23.501 V15.2.0. 5G; System Architecture for the 5G System (Release 15). 2018. Available online: https://www.etsi.org/deliver/etsi_ts/123500_123599/123501/15.02.00_60/ts_123501v150200p.pdf (accessed on 13 August 2019).
- 3GPP TR 28.801 V15.1.0. 3rd Generation Partnership Project; Technical Specification Group Services and System Aspects; Telecommunication Management; Study on Management and Orchestration of Network Slicing for Next Generation Network (Release 15). 2018. Available online: https://portal.3gpp.org/desktopmodules/Specifications/SpecificationDetails.aspx?specificationId=3091 (accessed on 13 August 2019).
- Chochliouros, I.P.; Giannoulakis, I.; Kourtis, T.; Belesioti, M.; Sfakianakis, E.; Spiliopoulou, A.S.; Bompetsis, N.; Kafetzakis, E.; Goratti, L.; Dardamanis, A. A Model for an Innovative 5G-Oriented Architecture, Based on Small Cells Coordination for Multi-tenancy and Edge Services. In Artificial Intelligence Applications and Innovations; Springer International Publishing: Cham, Switzerland, 2016; pp. 666–675. [Google Scholar]
- Samdanis, K.; Costa-Perez, X.; Sciancalepore, V. From network sharing to multi-tenancy: The 5G network slice broker. IEEE Commun. Mag. 2016, 54, 32–39. [Google Scholar] [CrossRef]
- Rates Crippa, M.; Arnold, P.; Friderikos, V.; Gajic, B.; Guerrero, C.; Holland, O.; Labrador Pavon, I.; Sciancalepore, V.; von Hugo, D.; Wong, S.; et al. Resource Sharing for a 5G Multi-tenant and Multi-service Architecture. In Proceedings of the European Wireless 2017 23th European Wireless Conference, Dresden, Germany, 17–19 May 2017; pp. 1–6. [Google Scholar]
- Gang, J.; Friderikos, V. Optimal resource sharing in multi-tenant 5G networks. In Proceedings of the 2018 IEEE Wireless Communications and Networking Conference (WCNC), Barcelona, Spain, 15–18 April 2018; pp. 1–6. [Google Scholar] [CrossRef]
- Raza, M.R.; Rostami, A.; Wosinska, L.; Monti, P. A Slice Admission Policy Based on Big Data Analytics for Multi-Tenant 5G Networks. J. Light. Technol. 2019, 37, 1690–1697. [Google Scholar] [CrossRef]
- Sciancalepore, V.; Renzo, M.D.; Costa-Pérez, X. STORNS: Stochastic Radio Access Network Slicing. arXiv 2019, arXiv:1901.05336. [Google Scholar]
- 3GPP TR 23.708. Architecture Enhancement for Service Capability Exposure (Release 13). 2015. Available online: https://portal.3gpp.org/desktopmodules/Specifications/SpecificationDetails.aspx?specificationId=869 (accessed on 13 August 2019).
- Chandrasekhar, V.; Andrews, J.; Gatherer, A. Femtocell networks: A survey. Commun. Mag. IEEE 2008, 46, 59–67. [Google Scholar] [CrossRef]
- Bouras, C.; Kokkinos, V.; Papazois, A. Financing and Pricing Small Cells in Next-Generation Mobile Networks. In Proceedings of the Wired/Wireless Internet Communications: 12th International Conference, WWIC 2014, Paris, France, 26–28 May 2014. [Google Scholar] [CrossRef]
- Li, C.; Giampapa, J.; Sycara, K. Bilateral negotiation decisions with uncertain dynamic outside options. IEEE Trans. Syst. Man Cybern. Part C (Appl. Rev.) 2006, 36, 31–44. [Google Scholar] [CrossRef]
- Faratin, P.; Sierra, C.; Jennings, N.R. Negotiation decision functions for autonomous agents. Robot. Auton. Syst. 1998, 24, 159–182. [Google Scholar] [CrossRef]
- Raiffa, H. The Art and Science of Negotiation; Harvard University Press: Cambridge, MA, USA, 1982. [Google Scholar]
- Pruitt, D.G. Negotiation Behavior; Academic Press: Cambridge, MA, USA, 1981. [Google Scholar]
- 3GPP TR 36.932. Scenarios and Requirements for Small Cell Enhancements for E-UTRA and E-UTRAN (Release 12). 2013. Available online: https://portal.3gpp.org/desktopmodules/Specifications/SpecificationDetails.aspx?specificationId=2590 (accessed on 13 August 2019).
- 3GPP TR 36.814. Further Advancements for E-UTRA Physical Layer Aspects (Release 9). 2010. Available online: https://portal.3gpp.org/desktopmodules/Specifications/SpecificationDetails.aspx?specificationId=2493 (accessed on 13 August 2019).
- Hossain, E.; Le, L.B.; Niyato, D. Radio Resource Management in Multi-Tier Cellular Wireless Networks: Chapter 1 Overview of Multi-Tier Cellular Wireless Networks; John Wiley & Sons: Hoboken, NJ, USA, 2013. [Google Scholar] [CrossRef]
- Nisan, N.; Schapira, M.; Valiant, G.; Zohar, A. Best-Response Mechanisms. In Proceedings of the Innovations in Computer Science (ICS), Beijing, China, 7–9 January 2011. [Google Scholar]
- Shah, S.; Kittipiyakul, S.; Lim, Y.; Tan, Y. Marginal Contribution-Based Distributed Subchannel Allocation in Small Cell Networks. Sensors 2018, 18, 1500. [Google Scholar] [CrossRef] [PubMed]










© 2019 by the authors. Licensee MDPI, Basel, Switzerland. This article is an open access article distributed under the terms and conditions of the Creative Commons Attribution (CC BY) license (http://creativecommons.org/licenses/by/4.0/).
Share and Cite
Shah, S.; Kittipiyakul, S.; Lim, Y.; Tan, Y. Collaborative Resource Management for Negotiable Multi-Operator Small Cell Networks. Sensors 2019, 19, 3550. https://doi.org/10.3390/s19163550
Shah S, Kittipiyakul S, Lim Y, Tan Y. Collaborative Resource Management for Negotiable Multi-Operator Small Cell Networks. Sensors. 2019; 19(16):3550. https://doi.org/10.3390/s19163550
Chicago/Turabian StyleShah, Shashi, Somsak Kittipiyakul, Yuto Lim, and Yasuo Tan. 2019. "Collaborative Resource Management for Negotiable Multi-Operator Small Cell Networks" Sensors 19, no. 16: 3550. https://doi.org/10.3390/s19163550
APA StyleShah, S., Kittipiyakul, S., Lim, Y., & Tan, Y. (2019). Collaborative Resource Management for Negotiable Multi-Operator Small Cell Networks. Sensors, 19(16), 3550. https://doi.org/10.3390/s19163550

