Intelligent Fault-Diagnosis System for Acoustic Logging Tool Based on Multi-Technology Fusion
Abstract
1. Introduction
2. Design of the Intelligent Fault-Diagnosis System
2.1. Requirement Analysis of Fault Diagnosis
- System diagnosis: Diagnosing the whole downhole tool;
- Subsystem diagnosis: Checking the master control subsystem (M3), transmitter (M2-6), and receiver nodes (M2-1 to M2-5);
- Circuit-board diagnosis: Testing the critical, complex, or batch-used circuit boards in the subsystems, such as the master control board, analog-processing board, and transmitting control board;
- Component diagnosis: Performing a strict examination of the characteristics of some special components, such as the consistency of the transducers and the high temperature stability of flash memories.
2.2. Principles of Intelligent Fault Diagnosis
- The tool system can be divided into several modules, which are located at different positions and levels in the tool, and have certain independences and relationships with each other, such as M0 to M5 in Figure 2.
- The relative upstream and downstream modules are defined according to the specific path sequence of logging data when the tool is in operation. For example, M3 is the downstream module of M2 and is the upstream module of M4. Failures from the upstream modules will propagate to the downstream modules. If any module fails, data in the ground terminal (M5) will be abnormally displayed.
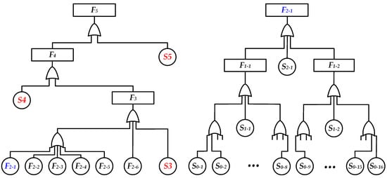
- A Boolean variable Si is used to represent the failure condition of module Mi, and a Boolean variable Fi to represent the failure condition of output Mi. Then, the relationships between Si and Fi can be described by the fault-tree diagram shown in Figure 3. Their mathematical relationships are shown in Equations (1) and (2), where Fi and Si are equal to logic 1 when a fault occurs.
2.3. Hardware Design of the Fault-Diagnosis System
2.3.1. Overall Design of the Hardware System
2.3.2. Design of Functional Modules
2.3.3. Diagnosis Interfaces at Different Levels
2.4. Software Design of the Fault-Diagnosis System
3. Intelligent Diagnosis Results
3.1. Debugging for the Analog Processing Board
3.2. Intelligent Diagnosis for Abnormality in the Acquired Data
4. Discussion
5. Conclusions
Author Contributions
Funding
Acknowledgments
Conflicts of Interest
References
- Baker Hughes. Nautilus Ultra XMAC F1 Cross-Multipole Array Acoustic Logging; Baker Hughes: Houston, TX, USA, 2017. [Google Scholar]
- Hirabayashi, N.; Sakiyama, N.; Ikegami, T. Characteristics of waveforms recorded by azimuthally spaced hydrophones of sonic logging tool for incident plane waves. Geophysics 2017, 82, 1–55. [Google Scholar] [CrossRef]
- Che, X.H.; Qiao, W.X.; Ju, X.D.; Lu, J.Q.; Wu, J.P. An experimental study on azimuthal reception characteristics of acoustic well-logging transducers based on phased-arc arrays. Geophysics 2014, 79, 197–204. [Google Scholar] [CrossRef]
- Hao, X.L.; Ju, X.D.; Wu, X.L.; Lu, J.Q.; Men, B.Y.; Ben, J.L.; Yu, Z.J. Experimental study of acoustic array sonde in borehole azimuthal reflection logging tool. Proc. Mtgs. Acoust. 2016, 26, 055003. [Google Scholar]
- Ju, X.D.; Cheng, X.Y.; Lu, J.Q.; Xu, W.; Men, B.Y.; Wu, W.H. Design of Test-bench system for logging tools based on embedded structures. Well Log. Technol. 2009, 33, 270–274. [Google Scholar]
- Distefano, S.; Puliafito, A. Dependability evaluation with dynamic reliability block diagrams and dynamic fault trees. IEEE Trans. Dependable Secur. Comput. 2008, 5, 1–14. [Google Scholar] [CrossRef]
- Steiner, N.Y.; Hissel, D.; Moçotéguy, P.; Candusso, D.; Marra, D.; Pianese, C.; Sorrentino, M. Application of Fault Tree Analysis to Fuel Cell diagnosis. Fuel Cells 2012, 12, 302–309. [Google Scholar] [CrossRef]
- Whiteley, M.; Dunnett, S.; Jackson, L. Failure Mode and Effect Analysis, and Fault Tree Analysis of Polymer Electrolyte Membrane Fuel Cells. Int. J. Hydrog. Energy 2016, 41, 1187–1202. [Google Scholar] [CrossRef]
- Wang, J.; Yang, Z.; Kang, M. Application Research of Fault Tree Analysis in Grid Communication System Corrective Maintenance. IOP Conf. Ser. Earth Environ. Sci. 2018, 108, 052099. [Google Scholar] [CrossRef]
- Zhou, D.-H.; Hu, Y.-Y. Fault Diagnosis Techniques for Dynamic Systems. Acta Autom. Sin. 2009, 35, 748–758. [Google Scholar] [CrossRef]
- Costamagna, P.; De Giorgi, A.; Gotelli, A.; Magistri, L.; Moser, G.; Sciaccaluga, E.; Trucco, A. Fault Diagnosis Strategies for SOFC-Based Power Generation Plants. Sensors 2016, 16, 1336. [Google Scholar] [CrossRef] [PubMed]
- Santos, P.; Villa, L.F.; Reñones, A.; Bustillo, A.; Maudes, J. An SVM-Based Solution for Fault Detection in Wind Turbines. Sensors 2015, 15, 5627–5648. [Google Scholar] [CrossRef] [PubMed]
- Dai, X.W.; Gao, Z.W. From model, signal to knowledge: A data-driven perspective of fault detection and diagnosis. IEEE Trans Ind. Informat. 2013, 9, 2226–2238. [Google Scholar] [CrossRef]
- Moosavi, S.M.S.; Moaveni, B.; Moshiri, B.; Arvan, M.R.; Moosavi, S.S. Auto-Calibration and Fault Detection and Isolation of Skewed Redundant Accelerometers in Measurement While Drilling Systems. Sensors 2018, 18, 702. [Google Scholar] [CrossRef] [PubMed]
- Temer, E.; Pehl, H.J. Moving Toward Smart Monitoring and Predictive Maintenance of Downhole Tools Using the Industrial Internet of Things IIoT. In Proceedings of the Abu Dhabi International Petroleum Exhibition & Conference, Abu Dhabi, UAE, 13–16 November 2017. [Google Scholar]
- Cerrada, M.; Sánchez, R.V.; Cabrera, D.; Zurita, G.; Li, C. Multi-Stage Feature Selection by Using Genetic Algorithms for Fault Diagnosis in Gearboxes Based on Vibration Signal. Sensors 2015, 15, 23903–23926. [Google Scholar] [CrossRef] [PubMed]
- Haris, M.A.R.; Muhammad, M.K.; Amar, A.; Doraiswami, K.L.C.R. Quality monitoring of a closed-loop system with parametric uncertainties and external disturbances: A fault detection and isolation approach. Int. J. Adv. Manuf. Technol. 2011, 55, 293–306. [Google Scholar]
- Piltan, F.; Kim, J.M. Bearing Fault Diagnosis Using an Extended Variable Structure Feedback Linearization Observer. Sensors 2018, 18, 4359. [Google Scholar] [CrossRef] [PubMed]
- Zhang, Z.J.; Zhang, Y.C. Research on fault diagnosis expert system for logging tools. Chin. Meas. Technol. 2003, 9, 28–29. [Google Scholar]
- Sun, D.L. Design of the Sound Simulation System in an Acoustic Tool. World Well Log. Technol. 2015, 209, 69–71. [Google Scholar]
- Lu, B.P.; Qin, L.; Zhang, Q.J. Multiple function test tables for well logging instruments. Pet. Instrum. 2005, 19, 17–19. [Google Scholar]
- Tu, W.R.; Zhou, Z.B.; Ma, W.Z. Faults diagnosis of the multipole array acoustic logging tool. Pet. Instrum. 2014, 28, 39–41. [Google Scholar]
- Zhang, K.; Ju, X.D.; Lu, J.Q.; Men, B.Y. A debugging system for azimuthally acoustic logging tools based on modular and hierarchical design ideas. J. Geophys. Eng. 2016, 13, 430–440. [Google Scholar] [CrossRef]
- Lu, J.Q.; Ju, X.D.; Men, B.Y. An ARM-based debugging system for multipole array acoustic logging tools. Pet. Sci. 2014, 11, 508–518. [Google Scholar] [CrossRef]
- Liu, X.; Ju, X.; Qiao, W.; Lu, J.; Men, B.; Liu, D. Test-bench system for a borehole azimuthal acoustic reflection imaging logging tool. J. Geophys. Eng. 2016, 13, 295–303. [Google Scholar] [CrossRef]
- Men, B.Y.; Ju, X.D.; Lu, J.Q.; Qiao, W.X. A synchronous serial bus for multidimensional array acoustic logging tool. J. Geophys. Eng. 2016, 13, 974–983. [Google Scholar] [CrossRef]
- Samsung Electronics. S3C44B0X RISC MICROPROCESSOR; Samsung Electronics: Suwon, Korea, 2002. [Google Scholar]
- Erwinski, K.; Paprocki, M.; Grzesiak, L.M.; Karwowski, K.; Wawrzak, A. Application of Ethernet Powerlink for Communication in a Linux RTAI Open CNC system. IEEE Trans. Ind. Electron. 2013, 60, 628–636. [Google Scholar] [CrossRef]
- Dorina, P.; Cornelia, G.; Romulus, R.; Anca, P. PC104 interface recommended for high speed data acquisition systems. Appl. Mech. Mater. 2013, 325, 926–929. [Google Scholar]
- Altera Corporation. Cyclone II Device Handbook; Altera Corporation: San Jose, CA, USA, 2008. [Google Scholar]
- Matthew, N.; Stones, R. Beginning Linux Programming, 4th ed.; Wiley Publishing, Inc.: Indianapolis, IN, USA, 2007; pp. 607–645. [Google Scholar]













| Diagnosis Level | Diagnosis Items | |
|---|---|---|
| System | Abnormality of the tool to generate and receive acoustic signal and transmit data according to the protocol | |
| Subsystem | Master control Subsystem | (1) Abnormality of the communication with the telemetry system, receiver, and transmitter; (2) output abnormality of the low-voltage DC power supply (+6 V, 15 V) |
| Receiver | Abnormality of 80 acquisition channels and their consistencies | |
| Transmitter | Excitation abnormality of the muti-pole transducers | |
| Circuit board | Master control board | Abnormality of the interfaces of CAN, RS485, SSB |
| Analog processing board | Abnormality of passband characteristics and gain control | |
| Transmitting control board | Consistency abnormality of SSB command and transmitting control logic combination | |
| Other boards, such as the acquisition control board and power supply board | ||
| Component | Performance abnormality of pulse transformers, consistency of transmitting/receiving transducers, stability of memory, etc. | |
| Gain Code | 00 | 01 | 02 | 03 | 04 | 05 | 06 | 07 | 10 | 20 | 30 |
|---|---|---|---|---|---|---|---|---|---|---|---|
| Expected gain | 1.00 | 2.00 | 4.00 | 8.00 | 16.00 | 32.00 | 64.00 | 128.00 | 64.00 | 2.08 | 128.00 |
| B1-1 gain | 1.04 | 2.08 | 4.13 | 8.50 | 17.08 | 34.15 | 68.38 | 135.48 | 69.54 | 2.08 | 139.20 |
| B1-2 gain | 1.04 | 2.08 | 4.12 | 8.53 | 17.09 | 34.27 | 68.46 | 136.09 | 69.89 | 2.06 | 139.24 |
| B2-1 gain | 0.53 | 1.03 | 2.05 | 4.25 | 8.46 | 17.06 | 34.07 | 67.98 | 34.78 | 1.03 | 69.45 |
| B2-2 gain | 1.03 | 2.05 | 4.06 | 8.44 | 16.92 | 33.92 | 67.75 | 134.91 | 68.93 | 2.07 | 137.73 |
| B3-1 gain | 1.03 | 2.06 | 4.09 | 8.50 | 17.03 | 34.19 | 68.30 | 135.77 | 69.65 | 2.06 | 138.62 |
| B3-2 gain | 1.03 | 2.05 | 4.07 | 8.45 | 16.96 | 34.00 | 67.99 | 134.68 | 68.73 | 2.05 | 137.50 |
| B4-1 gain | 1.03 | 2.05 | 4.07 | 8.45 | 16.95 | 34.01 | 67.91 | 133.50 | 66.75 | 2.05 | 137.80 |
| B4-2 gain | 1.03 | 2.05 | 4.07 | 8.46 | 16.94 | 34.00 | 67.91 | 134.41 | 68.57 | 2.06 | 137.92 |
© 2019 by the authors. Licensee MDPI, Basel, Switzerland. This article is an open access article distributed under the terms and conditions of the Creative Commons Attribution (CC BY) license (http://creativecommons.org/licenses/by/4.0/).
Share and Cite
Hao, X.; Ju, X.; Lu, J.; Men, B.; Zhou, J. Intelligent Fault-Diagnosis System for Acoustic Logging Tool Based on Multi-Technology Fusion. Sensors 2019, 19, 3273. https://doi.org/10.3390/s19153273
Hao X, Ju X, Lu J, Men B, Zhou J. Intelligent Fault-Diagnosis System for Acoustic Logging Tool Based on Multi-Technology Fusion. Sensors. 2019; 19(15):3273. https://doi.org/10.3390/s19153273
Chicago/Turabian StyleHao, Xiaolong, Xiaodong Ju, Junqiang Lu, Baiyong Men, and Jing Zhou. 2019. "Intelligent Fault-Diagnosis System for Acoustic Logging Tool Based on Multi-Technology Fusion" Sensors 19, no. 15: 3273. https://doi.org/10.3390/s19153273
APA StyleHao, X., Ju, X., Lu, J., Men, B., & Zhou, J. (2019). Intelligent Fault-Diagnosis System for Acoustic Logging Tool Based on Multi-Technology Fusion. Sensors, 19(15), 3273. https://doi.org/10.3390/s19153273
