Optimal Design of Piezoelectric Cantilevered Actuators for Charge-Based Self-Sensing Applications
Abstract
1. Introduction
- SSA based on the piezoelectric direct effect, which consists of a dual dielectric feedthrough cancellation to recover the signal arising from the PEA’s strain. It is achieved either by using a capacitance bridge where one represents the PEA as a strain-dependent voltage source (voltage-based SSA) [5] or with an antiparallel circuit when one chooses to represent the PEA as a strain-dependent charge source (charge-based SSA) [6,7].
1.1. Piezoelectric Actuator Design Optimization
- Parametric optimization in which the parameters of the PEA are varied in order to determine the dimensions and material properties that guarantee improved performances in terms of output range [14,15] and in terms of bandwidth [16]. is the bending due to the piezoelectric reverse effect under the application of . Another parametric optimization for PEAs is found in [17] where the design of the dimensions of the PEA that would satisfy prescribed performances are based on interval techniques [18].
- Topology optimization, which is based on the Piezoelectric Material with Penalization (PEMAP) model, where the design variable is the pseudo-density , which describes the amount of piezoelectric material in each finite element in the piezoelectric layer(s). Topology optimization is employed to find an optimal distribution of piezoelectric material in a multi-layer plate or shell structure to provide the maximum displacement or generated forces in a given direction at a given point of the domain [19,20,21].
- Simultaneous topology and polarization optimization, which uses the Piezoelectric Material with Penalization and Polarization (PEMAP-P) and works to find the optimum actuator layout and polarization profile simultaneously [22,23,24]. For this method, in addition to the pseudo-density , a new design variable is introduced for the polarization of the piezoelectric material. The optimization problem consists of distributing the piezoelectric actuators in such a way so as to achieve a maximum output displacement in a given direction at a given point of the structure, while simultaneously minimizing the structural compliance.
1.2. Piezoelectric Sensor Optimization
- Geometric optimization methods that aim at the optimization of geometric parameters such as the length, width, and thickness of the piezoelectric layer in order to maximize the output recuperated electrical charges at the electrodes . Pillai et al. [6] presented an analytical method to design an optimal unimorph beam that maximizes the strain-induced charges’ sensitivity when acted upon by a uniform mechanical load p at a specified frequency . Schlinquer et al. [25] suggested a unimorph, and Chen et al. [26] a bimorph piezoelectric cantilever mechanical structure optimization for energy harvesting. The optimized design aimed to maximize the PEA’s strain-induced charges due to external harmonic load , where is the frequency of the harmonic load.
1.3. Simultaneous Piezoelectric Actuation and Sensing Design Optimization
2. Self-Sensing Actuation Analytical Model
- The charge equation, which models the electrical subsystem of the PEA. This equation describes how the charge flowing through the PEA is split into a dielectric charge and a charge that is related to the mechanical deformation of the PEA.
- The displacement equation, which models the mechanical subsystem of the PEA. This equation describes the contribution of external forces and applied voltage to the generated displacement by the PEA .
2.1. Charge Equation (Strain Sensitivity)
2.2. Displacement Equation (Actuation)
3. Optimization of the Design
3.1. Definition of the Multi-Objective Function
3.2. Analysis of the Objective Function
- In Figure 4a, one notices the existence of a global maximum for , that is there is a material with thickness that guarantees the maximal cantilever tip displacement for a given input voltage . The function describes the optimal combination of and to take full advantage of the piezoelectric actuation. The piezoelectric actuation is independent of the cantilever width w (see Equation (8)). Therefore, w can independently be determined through Equation (11) to guarantee the minimal blocking force.
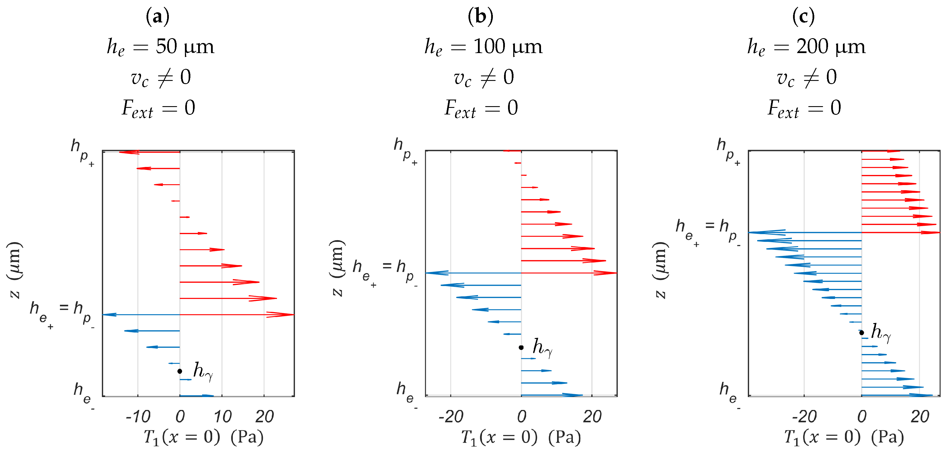
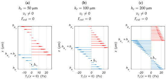
- For visualization purposes of , one opted for , and four materials as the elastic layer to be used: ( m/N), ( m/N), ( m/N), and ( m/N). When analyzing Figure 4b, it is worth noting that is monotonically increasing with respect to w and . This indicates that wider electrodes and thicker elastic layers allow collecting more strain-induced charges. The thickness of the elastic layer is directly linked to the position of the piezoelectric bending neutral plane (see Figure 5). The thicker the elastic layer, the more the average stress distribution in the piezoelectric layer becomes positive, that is . It is known from [34,35] that this positive stress distribution should result in larger stress-induced charges collected through the PEA’s electrodes.
- Whereas it was not possible to express the blocking force constraint for , it is possible to do so with . Let us choose as the elastic layer of the cantilever for illustration. is not the material that gives the best sensor sensitivity (see Figure 4b). Nonetheless, has the best electric conductivity among these materials. This allows for the application of directly on the elastic layer. This eliminates the need for additional electrodes. As a result, the overall stiffness of the structure and total thickness are not affected. represents the portion of that satisfies the blocking force constraint. The function describes the optimal combination of and w for , as the elastic layer, which offers the best sensitivity to strain-induced charges and satisfies the blocking force geometric constraint.
- Figure 4d depicts the behavior of the multi-objective function (see Equation (12)), that is the simultaneous sensing and actuation objective where . One can choose so that either the actuation or the sensor sensitivity is overriding the other. The Pareto front in Figure 6 reveals the trade-off curve between the sensor and actuator objectives, and , respectively.
4. Simulation with COMSOL Multiphysics
5. Experimental Validation
6. Conclusions
Author Contributions
Funding
Acknowledgments
Conflicts of Interest
References
- Fleming, A.J. A review of nanometer resolution position sensors: Operation and performance. Sens. Actuators A Phys. 2013, 190, 106–126. [Google Scholar] [CrossRef]
- Rakotondrabe, M.; Ivan, I.A.; Khadraoui, S.; Lutz, P.; Chaillet, N. Simultaneous displacement/force self-sensing in piezoelectric actuators and applications to robust control. IEEE/ASME Trans. Mechatron. 2015, 20, 519–531. [Google Scholar] [CrossRef]
- McPherson, T.; Ueda, J. A force and displacement self-sensing piezoelectric MRI-compatible tweezer end effector with an on-site calibration procedure. IEEE/ASME Trans. Mechatron. 2014, 19, 755–764. [Google Scholar] [CrossRef]
- Putra, A.S.; Huang, S.; Tan, K.K.; Panda, S.K.; Lee, T.H. Self-sensing actuation with adaptive control in applications with switching trajectory. IEEE/ASME Trans. Mechatron. 2008, 13, 104–111. [Google Scholar] [CrossRef]
- He, Y.; Chen, X.; Liu, Z.; Qin, Y. Piezoelectric self-sensing actuator for active vibration control of motorized spindle based on adaptive signal separation. Smart Mater. Struct. 2018, 27, 065011. [Google Scholar] [CrossRef]
- Pillai, M.A.; Ebenezer, D.; Deenadayalan, E. Design and optimization of piezoelectric unimorph beams with distributed excitation. J. Acoust. Soc. Am. 2018, 143, 2685–2696. [Google Scholar] [CrossRef] [PubMed]
- Ivan, I.A.; Rakotondrabe, M.; Lutz, P.; Chaillet, N. Quasistatic displacement self-sensing method for cantilevered piezoelectric actuators. Rev. Sci. Instrum. 2009, 80, 065102. [Google Scholar] [CrossRef]
- Saigusa, K.; Morita, T. Self-sensing control of piezoelectric positioning stage by detecting permittivity. Sens. Actuators A Phys. 2015, 226, 76–80. [Google Scholar] [CrossRef]
- Islam, M.; Seethaler, R.; Mumford, D. Hysteresis independent on-line capacitance measurement for piezoelectric stack actuators. In Proceedings of the 24th Canadian Conference on Electrical and Computer Engineering (CCECE), Niagara Falls, ON, Canada, 8–11 May 2011; pp. 1149–1153. [Google Scholar]
- Mansour, S.Z.; Seethaler, R. Simultaneous quasi-static displacement and force self-sensing of piezoelectric actuators by detecting impedance. Sens. Actuators A Phys. 2018, 274, 272–277. [Google Scholar] [CrossRef]
- Ivan, I.A.; Aljanaideh, O.; Agnus, J.; Lutz, P.; Rakotondrabe, M. Quasi-static displacement self-sensing measurement for a 2-DOF piezoelectric cantilevered actuator. IEEE Trans. Ind. Electron. 2017, 64, 6330–6337. [Google Scholar] [CrossRef]
- Islam, M.N.; Seethaler, R.J. Sensorless position control for piezoelectric actuators using a hybrid position observer. IEEE/ASME Trans. Mechatron. 2014, 19, 667–675. [Google Scholar] [CrossRef]
- Liseli, J.B.; Agnus, J.; Lutz, P.; Rakotondrabe, M. Self-Sensing Method Considering the Dynamic Impedance of Piezoelectric Based Actuators for Ultralow Frequency. IEEE Rob. Autom. Lett. 2018, 3, 1049–1055. [Google Scholar] [CrossRef]
- Lebedev, M.; Akedo, J. What thickness of the piezoelectric layer with high breakdown voltage is required for the microactuator? Jpn. J. Appl. Phys. 2002, 41, 3344. [Google Scholar] [CrossRef]
- Hu, K.; Li, H. Multi-parameter optimization of piezoelectric actuators for multi-mode active vibration control of cylindrical shells. J. Sound Vib. 2018, 426, 166–185. [Google Scholar] [CrossRef]
- Khadraoui, S.; Rakotondrabe, M.; Lutz, P. Optimal design of piezoelectric cantilevered actuators with guaranteed performances by using interval techniques. IEEE/ASME Tran. Mechatron. 2014, 19, 1660–1668. [Google Scholar]
- Rakotondrabe, M. Smart Materials-Based Actuators at the Micro/nano-Scale: Characterization, Control and Applications; Springer: New York, NY, USA, 2013; pp. 42–61. [Google Scholar]
- Rakotondrabe, M. Performances inclusion for stable interval systems. In Proceedings of the 2011 American Control Conference, San Francisco, CA, USA, 29 June–1 July 2011. [Google Scholar]
- Canfield, S.; Frecker, M. Topology optimization of compliant mechanical amplifiers for piezoelectric actuators. Struct. Multidiscip. Optim. 2000, 20, 269–279. [Google Scholar] [CrossRef]
- Wein, F.; Kaltenbacher, M.; Bänsch, E.; Leugering, G.; Schury, F. Topology optimization of a piezoelectric-mechanical actuator with single-and multiple-frequency excitation. Int. J. Appl. Electr. Mechatron. 2009, 30, 201–221. [Google Scholar] [CrossRef]
- Donoso, A.; Sigmund, O. Topology optimization of piezo modal transducers with null-polarity phases. Struct. Multidiscip. Optim. 2016, 53, 193–203. [Google Scholar] [CrossRef]
- Kögl, M.; Silva, E.C. Topology optimization of smart structures: Design of piezoelectric plate and shell actuators. Smart Mater. Struct. 2005, 14, 387. [Google Scholar] [CrossRef]
- Gonçalves, J.F.; De Leon, D.M.; Perondi, E.A. Simultaneous optimization of piezoelectric actuator topology and polarization. Struct. Multidiscip. Optim. 2018, 58, 1139–1154. [Google Scholar] [CrossRef]
- Ruiz, D.; Bellido, J.; Donoso, A. Design of piezoelectric modal filters by simultaneously optimizing the structure layout and the electrode profile. Struct. Multidiscip. Optim. 2016, 53, 715–730. [Google Scholar] [CrossRef]
- Schlinquer, T.; Mohand-Ousaid, A.; Rakotondrabe, M. Optimal design of a unimorph piezoelectric cantilever devoted to energy harvesting to supply animal tracking devices. IFAC-PapersOnLine 2017, 50, 14600–14605. [Google Scholar] [CrossRef]
- Chen, N.; Bedekar, V. Modeling, Simulation and Optimization of Piezoelectric Bimorph Transducer For Broadband Vibration Energy Harvesting in Multi-Beam and Trapezoidal Approach. J. Mater. Sci. Res. 2018, 7, 26. [Google Scholar] [CrossRef][Green Version]
- Johari, J.; Rashid, T.M.A.T. Optimization of piezoelectric transducer placement in shoe insole for energy harvesting. In Proceedings of the 2017 International Conference on Electrical, Electronics and System Engineering (ICEESE), Kanazawa, Japan, 9–10 November 2017; pp. 61–66. [Google Scholar]
- Gupta, V.; Sharma, M.; Thakur, N. Optimization criteria for optimal placement of piezoelectric sensors and actuators on a smart structure: A technical review. J. Intell. Mater. Syst. Struct. 2010, 21, 1227–1243. [Google Scholar] [CrossRef]
- Moheimani, S.R.; Yong, Y.K. A new piezoelectric tube scanner for simultaneous sensing and actuation. In Proceedings of the American Control Conference, St. Louis, MO, USA, 10–12 June 2009; pp. 2249–2253. [Google Scholar]
- Moussa, R.E.K.; Grossard, M.; Boukallel, M.; Hubert, A.; Chaillet, N. Modeling and control of a piezoelectric microactuator with proprioceptive sensing capabilities. Mechatronics 2014, 24, 590–604. [Google Scholar] [CrossRef]
- Rougeot, P.; Mohand-Ousaid, A.; Gendreau, D.; Hammouche, M.; Rakotondrabe, M. Design, modeling and simulation of a three-layer piezoelectric cantilevered actuator with collocated sensor. Proc. SPIE 2016, 9859, 98590F. [Google Scholar]
- Masson, L.; Xinchang, L.; Perriard, Y. Design of an optimized self-sensing piezoelectric cantilever for micro-robotic applications. In Proceedings of the International Conference on Manipulation, Automation and Robotics at Small Scales, Nagoya, Japan, 4–8 July 2018. [Google Scholar]
- Inman, D.J. Control/structure interaction: Effects of actuator dynamics. Mech. Control Large Flexible Struct. 1990, 129, 507–532. [Google Scholar]
- Ruppert, M.G.; Moheimani, S.O.R. High-bandwidth multimode self-sensing in bimodal atomic force microscopy. Beilstein J. Nanotechnol. 2016, 7, 284–295. [Google Scholar] [CrossRef] [PubMed]
- Dunsch, R.; Breguet, J.M. Unified mechanical approach to piezoelectric bender modeling. Sens. Actuators A Phys. 2007, 134, 436–446. [Google Scholar] [CrossRef]
- Smits, J.G.; Choi, W.S. The constituent equations of piezoelectric heterogeneous bimorphs. IEEE Trans. Ultrason. Ferroelectr. Freq. Control 1991, 38, 256–270. [Google Scholar] [CrossRef]
- Timoshenko, S.P.; Young, D.H. Theory of Structures; McGraw-Hill College: New York, NY, USA, 1945. [Google Scholar]
- Ballas, R.G. Piezoelectric Multilayer Beam Bending Actuators: Static and Dynamic Behavior and Aspects of Sensor Integration; Springer Science & Business Media: Berlin, Germany, 2007. [Google Scholar]
- Meitzler, A.; Tiersten, H.; Warner, A.; Berlincourt, D.; Couqin, G.; Welsh, F., III. 176-1987-IEEE Standard on Piezoelectricity. Available online: http://citeseerx.ist.psu.edu/viewdoc/download?doi=10.1.1.36.123&rep=rep1&type=pdf (accessed on 1 June 2019).










© 2019 by the authors. Licensee MDPI, Basel, Switzerland. This article is an open access article distributed under the terms and conditions of the Creative Commons Attribution (CC BY) license (http://creativecommons.org/licenses/by/4.0/).
Share and Cite
Bafumba Liseli, J.; Agnus, J.; Lutz, P.; Rakotondrabe, M. Optimal Design of Piezoelectric Cantilevered Actuators for Charge-Based Self-Sensing Applications. Sensors 2019, 19, 2582. https://doi.org/10.3390/s19112582
Bafumba Liseli J, Agnus J, Lutz P, Rakotondrabe M. Optimal Design of Piezoelectric Cantilevered Actuators for Charge-Based Self-Sensing Applications. Sensors. 2019; 19(11):2582. https://doi.org/10.3390/s19112582
Chicago/Turabian StyleBafumba Liseli, Joël, Joël Agnus, Philippe Lutz, and Micky Rakotondrabe. 2019. "Optimal Design of Piezoelectric Cantilevered Actuators for Charge-Based Self-Sensing Applications" Sensors 19, no. 11: 2582. https://doi.org/10.3390/s19112582
APA StyleBafumba Liseli, J., Agnus, J., Lutz, P., & Rakotondrabe, M. (2019). Optimal Design of Piezoelectric Cantilevered Actuators for Charge-Based Self-Sensing Applications. Sensors, 19(11), 2582. https://doi.org/10.3390/s19112582

