Design of a Local Information Incentive Mechanism for Mobile Crowdsensing
Abstract
1. Introduction
- We propose a model to represent abstractly the behavior of users. The model is based on probabilities to represent the uncertainty of users’ participation. With this model, we were able to represent and prove through simulations the non-homogeneous response of users to the different incentives.
- We present a novel game theory based incentive mechanism that assigns variable incentives considering the unique characteristics of each user. In it, users define its participation in the MCS framework considering only his own information. Different than many other incentive mechanisms of the literature where users need information of their neighbors to make a decision. It is important to point that the incentive mechanism has a process to achieve the participations goals of the platform.
- We evaluate the proposed MCS framework through simulations with different parameters to prove the performance of the proposed incentive mechanism.
2. Related Work
3. System Model
4. Formulation Problem and Incentive Model Design
4.1. Modelling Users Behavior
4.2. Formulation Problem
4.3. Incentive Mechanism Design
- binary variable that represents if the payment K has been fixed or continues variable for the user i
- maximum value of increment for the payment K
- maximum value of diminution for the payment K
- cooperation rate of user i
- binary variable that considers if the minimum number of interactions between the platform and the user i has been met
- binary variable that indicates when the payment for the user i should be decreased
- binary variable that indicates when the payment for the user i should be increased
- When the cooperation rate r or the decision cooperation rate are within the established bounds ( and )
- When a payment decreases, results in an below . In the next attempt, the platform will increase the offered payment for the last time and, no matter what happens in the future it will continue with the same payment K.
5. Simulation Results
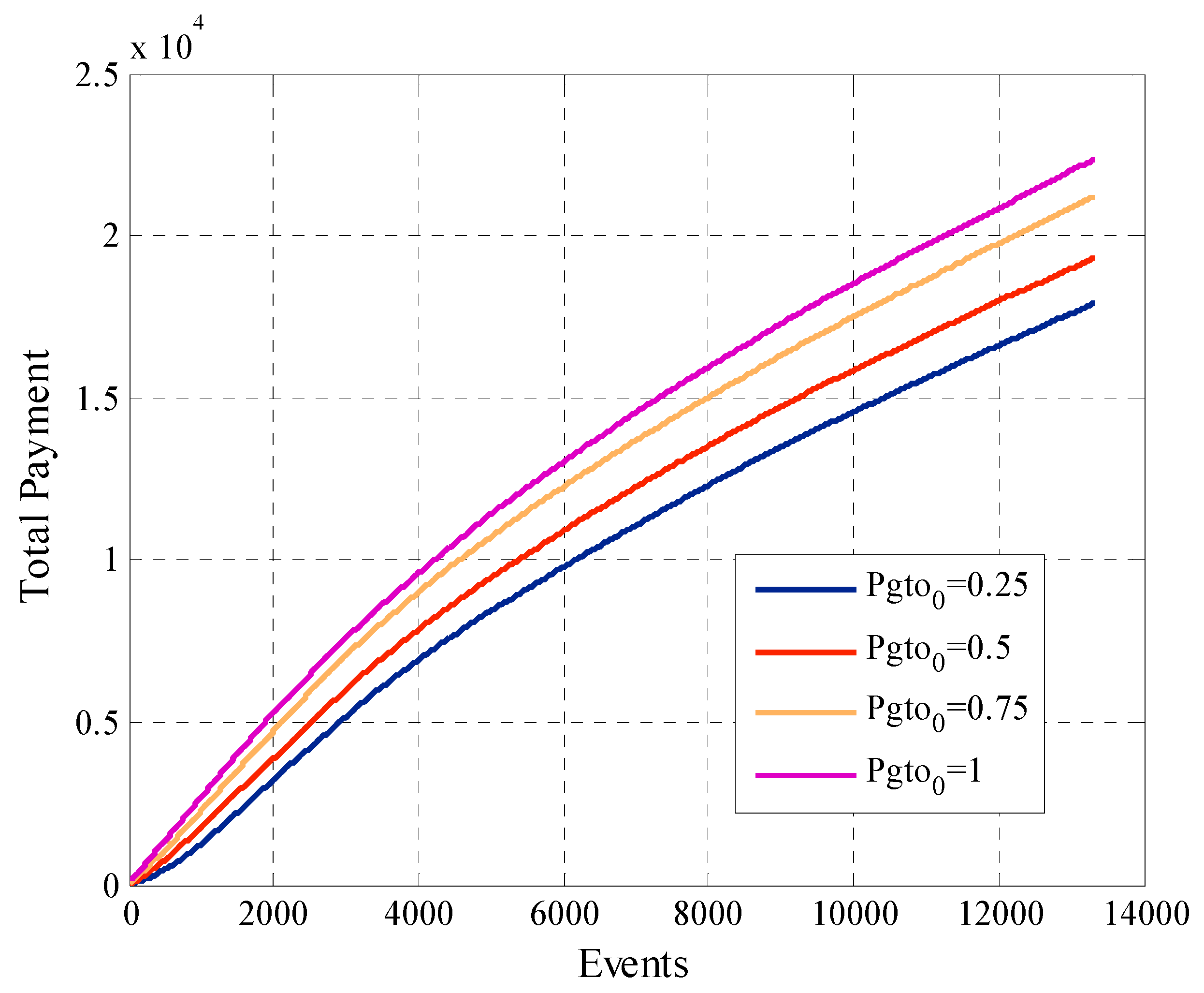
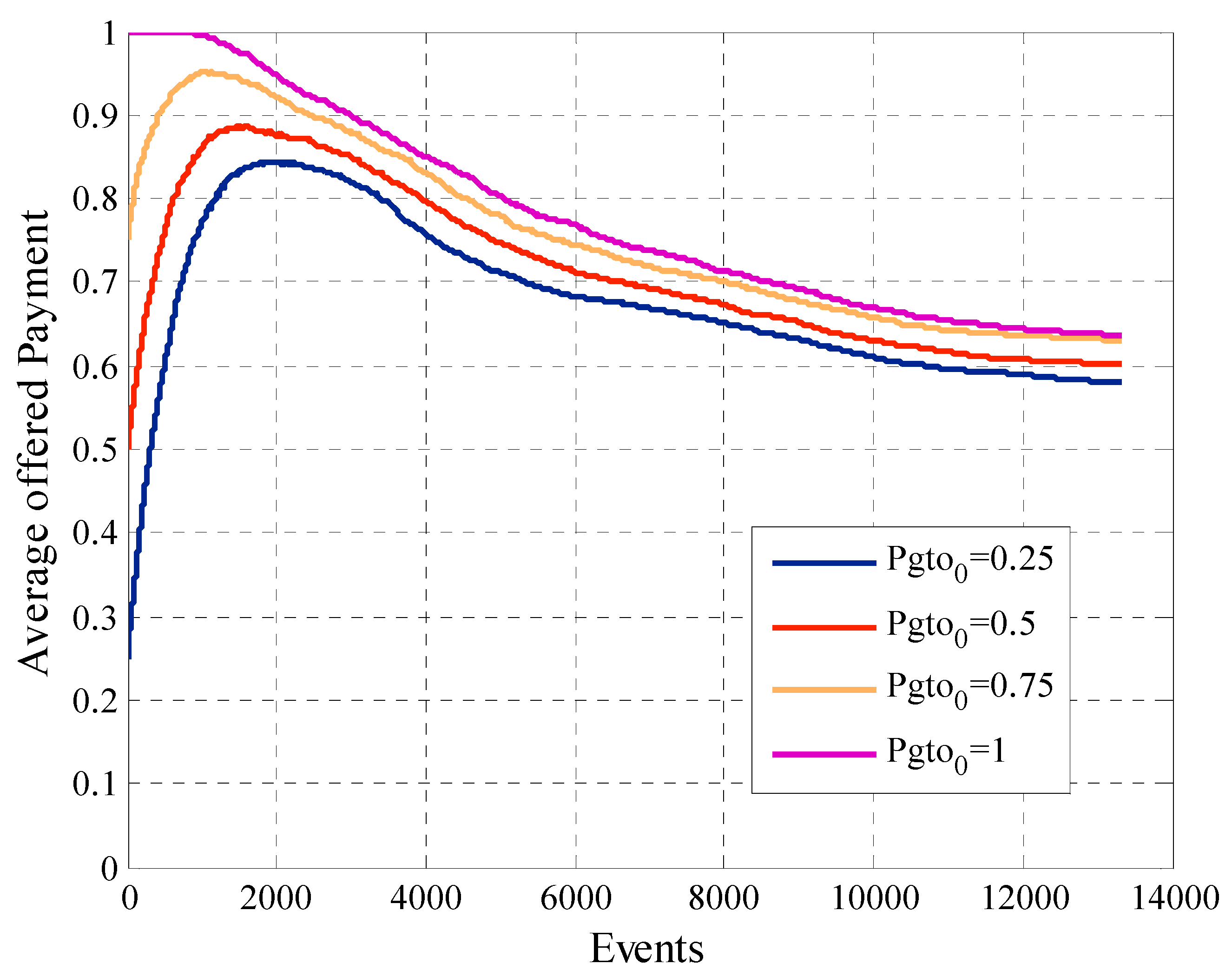
5.1. Results for Different Values of Initial Payment with a Fixed Desired Cooperation Rate
5.2. Results for Different Values of Desired Cooperation Rate with a Fixed Initial Payment
6. Summary and Conclusions
Author Contributions
Funding
Conflicts of Interest
References
- Bamiduro, W.; Van Der Meulen, R. Worldwide Device Shipments Will Increase 2.1 Percent in 2018. Press release. 2016. Available online: https://www.gartner.com/en/newsroom/press-releases/2018-01-29-gartner-says-worldwide-device-shipments-will-increase-2-point-1-percent-in-2018/ (accessed on 7 May 2019).
- Waze Mobile. Navigation Software Waze. Available online: https://www.waze.com/ (accessed on 7 May 2019).
- Baguena, M.; Calafate, C.T.; Cano, J.C.; Manzoni, P. An Adaptive Anycasting Solution for Crowd Sensing in Vehicular Environments. IEEE Trans. Ind. Electron. 2015, 62, 7911–7919. [Google Scholar] [CrossRef]
- Guo, B.; Yu, Z.; Zhou, X.; Zhang, D. From participatory sensing to mobile crowd sensing. In Proceedings of the 2014 IEEE International Conference on Pervasive Computing and Communications Workshops, Budapest, Hungary, 24–28 March 2014; pp. 593–598. [Google Scholar]
- Higuchi, T.; Yamaguchi, H.; Higashino, T.; Takai, M. A neighbor collaboration mechanism for mobile crowd sensing in opportunistic networks. In Proceedings of the 2014 IEEE International Conference on Communications (ICC), Sydney, NSW, Australia, 10–14 June 2014. [Google Scholar]
- Liu, J.; Shen, H.; Narman, H.S.; Chung, W.; Lin, Z. A survey of mobile crowdsensing techniques: A critical component for the internet of things. ACM Trans. Cyber-Phys. Syst. 2018, 2, 18. [Google Scholar] [CrossRef]
- Montori, F.; Jayaraman, P.P.; Yavari, A.; Hassani, A.; Georgakopoulos, D. The Curse of Sensing: Survey of techniques and challenges to cope with sparse and dense data in mobile crowd sensing for Internet of Things. Pervasive Mob. Comput. 2018, 49, 111–125. [Google Scholar] [CrossRef]
- Matarazzo, T.J.; Santi, P.; Pakzad, S.N.; Carter, K.; Ratti, C.; Moaveni, B.; Jacob, N. Crowdsensing framework for monitoring bridge vibrations using moving smartphones. Proc. IEEE 2018, 106, 577–593. [Google Scholar] [CrossRef]
- Mohan, P.; Padmanabhan, V.N.; Ramjee, R. Nericell: Rich monitoring of road and traffic conditions using mobile smartphones. In Proceedings of the 6th ACM Conference on Embedded Network Sensor Systems, Raleigh, NC, USA, 5–7 November 2008; pp. 323–336. [Google Scholar]
- Hull, B.; Bychkovsky, V.; Zhang, Y.; Chen, K.; Goraczko, M.; Miu, A.; Madden, S. CarTel: A distributed mobile sensor computing system. In Proceedings of the 4th International Conference on Embedded Networked Sensor Systems, Boulder, CO, USA, 31 October–3 November 2006; pp. 125–138. [Google Scholar]
- Sharma, H.; Naik, S.; Jain, A.; Raman, R.K.; Reddy, R.K.; Shet, R.B. S-road assist: Road surface conditions and driving behavior analysis using smartphones. In Proceedings of the 2015 International Conference on IEEE Connected Vehicles and Expo (ICCVE), Shenzhen, China, 19–23 October 2015; pp. 291–296. [Google Scholar]
- AlOrabi, W.A.; Rahman, S.A.; El Barachi, M.; Mourad, A. Towards on demand road condition monitoring using mobile phone sensing as a service. Procedia Comput. Sci. 2016, 83, 345–352. [Google Scholar] [CrossRef]
- Chen, X.; Liu, N. Smart Parking by Mobile Crowdsensing. Int. J. Smart Home 2016, 10, 219–234. [Google Scholar] [CrossRef]
- Villanueva, F.J.; Villa, D.; Santofimia, M.J.; Barba, J.; Lopez, J.C. Crowdsensing smart city parking monitoring. In Proceedings of the 2015 IEEE 2nd World Forum on Internet of Things (WF-IoT), Milan, Italy, 14–16 December 2015; pp. 751–756. [Google Scholar]
- Aalsalem, M.Y.; Khan, W.Z. CampusSense—A smart vehicle parking monitoring and management system using ANPR cameras and android phones. In Proceedings of the 2017 19th International Conference on Advanced Communication Technology (ICACT), Bongpyeong, South Korea, 19–22 February 2017; pp. 809–815. [Google Scholar]
- Dutta, P.; Aoki, P.M.; Kumar, N.; Mainwaring, A.; Myers, C.; Willett, W.; Woodruff, A. Common sense: Participatory urban sensing using a network of handheld air quality monitors. In Proceedings of the 7th ACM Conference on Embedded Networked Sensor Systems, Berkeley, CA, USA, 4–6 November 2009; pp. 349–350. [Google Scholar]
- Pan, Z.; Yu, H.; Miao, C.; Leung, C. Crowdsensing Air Quality with Camera-Enabled Mobile Devices. In Proceedings of the Twenty-Ninth IAAI Conference, San Francisco, CA, USA, 6–9 February 2017; pp. 4728–4733. [Google Scholar]
- Pryss, R.; Reichert, M.; Herrmann, J.; Langguth, B.; Schlee, W. Mobile Crowd Sensing in Clinical and Psychological Trials—A Case Study. In Proceedings of the 2015 IEEE 28th International Symposium on Computer-Based Medical Systems, Sao Carlos, SP, Brazil, 22–25 June 2015; pp. 23–24. [Google Scholar]
- Liu, J.; Cao, H.; Li, Q.; Cai, F.; Du, X.; Guizani, M. A large-scale concurrent data anonymous batch verification scheme for mobile healthcare crowd sensing. IEEE Internet Things J. 2018. [Google Scholar] [CrossRef]
- Ganti, R.K.; Ye, F.; Lei, H. Mobile crowdsensing: Current state and future challenges. IEEE Commun. Mag. 2011, 49, 32–39. [Google Scholar] [CrossRef]
- Restuccia, F.; Ghosh, N.; Bhattacharjee, S.; Das, S.K.; Melodia, T. Quality of Information in Mobile Crowdsensing: Survey and Research Challenges. ACM Trans. Sens. Netw. (TOSN) 2017, 13, 34. [Google Scholar] [CrossRef]
- Wang, Y.; Jia, X.; Jin, Q.; Ma, J. Mobile crowdsourcing: Framework, challenges, and solutions. Concurr. Comput. Pract. Exp. 2017, 29, e3789. [Google Scholar] [CrossRef]
- Guo, B.; Han, Q.; Chen, H.; Shangguan, L.; Zhou, Z.; Yu, Z. The emergence of visual crowdsensing: Challenges and opportunities. IEEE Commun. Surv. Tutor. 2017, 19, 2526–2543. [Google Scholar] [CrossRef]
- Alvear, O.; Calafate, C.T.; Cano, J.C.; Manzoni, P. Crowdsensing in Smart Cities: Overview, Platforms, and Environment Sensing Issues. Sensors 2018, 18, 460. [Google Scholar] [CrossRef] [PubMed]
- Zhang, D.; Wang, L.; Xiong, H.; Guo, B. 4W1H in mobile crowd sensing. IEEE Commun. Mag. 2014, 52, 42–48. [Google Scholar] [CrossRef]
- Ma, H.; Zhao, D.; Yuan, P. Opportunities in mobile crowd sensing. IEEE Commun. Mag. 2014, 52, 29–35. [Google Scholar] [CrossRef]
- Feinberg, J. Psychological egoism. In Ethical Theory An Anthology, 2nd ed.; Shafer-Landau, R., Ed.; John Wiley & Sons: Hoboken, NJ, USA, 2013; Volume 13, pp. 167–177. [Google Scholar]
- Ryan, R.M.; Deci, E.L. Intrinsic and extrinsic motivations: Classic definitions and new directions. Contemp. Educ. Psychol. 2000, 25, 54–67. [Google Scholar] [CrossRef] [PubMed]
- Sansone, C.; Harackiewicz, J.M. (Eds.) Intrinsic and Extrinsic Motivation: The Search for Optimal Motivation and Performance; Elsevier: San Diego, CA, USA, 2000. [Google Scholar]
- Zhang, X.; Yang, Z.; Sun, W.; Liu, Y.; Tang, S.; Xing, K.; Mao, X. Incentives for mobile crowd sensing: A survey. IEEE Commun. Surv. 2016, 18, 54–67. [Google Scholar] [CrossRef]
- Liu, X.; Ota, K.; Liu, A.; Chen, Z. An incentive game based evolutionary model for crowd sensing networks. Peer-to-Peer Netw. Appl. 2016, 9, 692–711. [Google Scholar] [CrossRef]
- Fudenberg, D.; Tirole, J. Game Theory, 1st ed.; MIT Press: Cambridge, MA, USA, 1991; Volume 393, pp. 1–200. ISBN 9780262061414604. [Google Scholar]
- Duan, L.; Kubo, T.; Sugiyama, K.; Huang, J.; Hasegawa, T.; Walrand, J. Incentive mechanisms for smartphone collaboration in data acquisition and distributed computing. In Proceedings of the IEEE INFOCOM 2012, Orlando, FL, USA, 25–30 March 2012; pp. 1701–1709. [Google Scholar]
- Jaimes, L.G.; Chakeri, A.; Lopez, J.; Raij, A. A cooperative incentive mechanism for recurrent crowd sensing. In Proceedings of the IEEE SoutheastCon 2015, Fort Lauderdale, FL, USA, 9–12 April 2015; pp. 1–5. [Google Scholar]
- Leyton-Brown, K.; Shoham, Y. Essentials of game theory: A concise multidisciplinary introduction. Synth. Lect. Artif. Intell. Mach. Learn. 2008, 2, 1–88. [Google Scholar] [CrossRef]
- Josang, A.; Ismail, R. The beta reputation system. In Proceedings of the 15th Bled Electronic Commerce Conference, Bled, Slovenia, 17–19 June 2002; pp. 2502–2511. [Google Scholar]
- Tanas, C.; Herrera-Joancomartí, J. Users as Smart Sensors: A mobile platform for sensing public transport incidents In International Workshop on Citizen in Sensor Networks; Springer: Berlin/Heidelberg, Germany, 2013; pp. 81–93. [Google Scholar]



























| Notations | Definition | Notations | Definition |
|---|---|---|---|
| Probability of cooperation since the motivation is intrinsic | Probability of cooperation since the motivation is extrinsic | ||
| Intrinsic motivation probability | Extrinsic motivation probability | ||
| Weight of intrinsic motivation | Weight of extrinsic motivation | ||
| Incentive | Participation cost | ||
| Cooperation probability | Total cost of the system | ||
| Total utility of the user | Total quantity of responses | ||
| Offered payment update | Stability criterion | ||
| Maximum value of increment for K | Maximum value of diminution for K | ||
| Cooperation rate | Amount of participation attempts | ||
| Minimum number of interactions between user and platform | Minimum amount of participation attempts | ||
| Flag for increasing the payment | Flag for decreasing the payment | ||
| Lower limit of cooperation rate | Upper limit of cooperation rate | ||
| Percentage of participation that the platform wants to achieve | Behavior of the user to the fixed payment | ||
| Percentage of recent participation |
| Amount of Elimination Errors | Amount of Participation Errors | Total Amount of Errors | Percentage of Errors | |
|---|---|---|---|---|
| 0.5 | 56 | 23 | 79 | 7.9% |
| 0.6 | 48 | 24 | 72 | 7.2% |
| 0.7 | 45 | 27 | 72 | 7.2% |
| 0.8 | 35 | 23 | 58 | 5.8% |
| 0.9 | 27 | 22 | 49 | 4.9% |
© 2019 by the authors. Licensee MDPI, Basel, Switzerland. This article is an open access article distributed under the terms and conditions of the Creative Commons Attribution (CC BY) license (http://creativecommons.org/licenses/by/4.0/).
Share and Cite
Nava Auza, J.M.; Boisson de Marca, J.R.; Lima Siqueira, G. Design of a Local Information Incentive Mechanism for Mobile Crowdsensing. Sensors 2019, 19, 2532. https://doi.org/10.3390/s19112532
Nava Auza JM, Boisson de Marca JR, Lima Siqueira G. Design of a Local Information Incentive Mechanism for Mobile Crowdsensing. Sensors. 2019; 19(11):2532. https://doi.org/10.3390/s19112532
Chicago/Turabian StyleNava Auza, Jose Mauricio, Jose Roberto Boisson de Marca, and Glaucio Lima Siqueira. 2019. "Design of a Local Information Incentive Mechanism for Mobile Crowdsensing" Sensors 19, no. 11: 2532. https://doi.org/10.3390/s19112532
APA StyleNava Auza, J. M., Boisson de Marca, J. R., & Lima Siqueira, G. (2019). Design of a Local Information Incentive Mechanism for Mobile Crowdsensing. Sensors, 19(11), 2532. https://doi.org/10.3390/s19112532
