On the Use of Rotary-Wing Aircraft to Sample Near-Surface Thermodynamic Fields: Results from Recent Field Campaigns
Abstract
1. Introduction
- What additional information on the structure of the lower ABL can be obtained from the sUAS thermodynamic measurements?
- Are finescale (i.e., <100 m) surface gradients in temperature and moisture detectable using sUAS and, if so, to what height are these gradients detectable?
2. Materials and Methods
2.1. Platform and Sensor Description
2.2. Calibration and Validation Techniques of Sensors and Platforms
2.3. Land Atmosphere Feedback Experiment
3. Sensor and Platform Evaluation
3.1. Sensor Accuracy
3.2. Sensor Precision
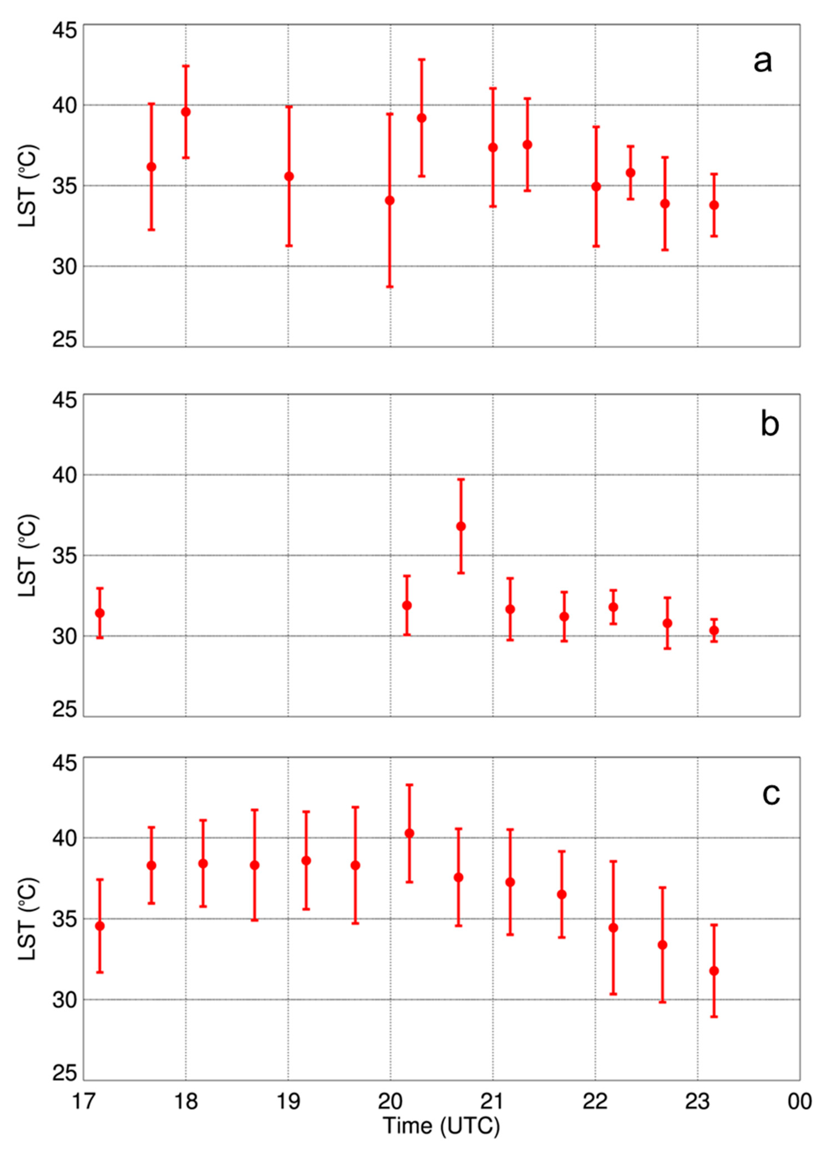
4. Spatiotemporal Variability of Near-Surface Thermodynamic Fields During LAFE
5. Conclusions and Outlook
Author Contributions
Acknowledgements
Conflicts of Interest
References
- Seidel, D.J.; Ao, C.A.; Li, K. Estimating climatological planetary boundary layer heights from radiosonde observations: Comparison of methods and uncertainty analysis. J. Geophys. Res. 2010, 115, D16113. [Google Scholar] [CrossRef]
- Seidel, D.J.; Zhang, Y.; Beljaars, A.; Golaz, J.-C.; Jacobson, A.R.; Medeiros, B. Climatology of the planetary boundary layer over the continental United States and Europe. J. Geophys. Res. 2012, 117, D17106. [Google Scholar] [CrossRef]
- Lee, T.R.; De Wekker, S.F.J. Estimating daytime planetary boundary layer heights over a valley from rawinsonde observations at a nearby airport: An application to the Page Valley in Virginia, USA. J. Appl. Meteorol. Climatol. 2016, 55, 791–809. [Google Scholar] [CrossRef]
- Wulfmeyer, V.; Muppa, S.K.; Behrendt, A.; Hammann, E.; Späth, F.; Sorbjan, Z.; Turner, D.D.; Hardesty, R.M. Determination of convective boundary layer entrainment fluxes, dissipation rates, and the molecular destruction of variances: Theoretical description and a strategy for its confirmation with a novel lidar system synergy. J. Atmos. Sci. 2016, 73, 667–692. [Google Scholar] [CrossRef]
- Lundquist, J.K.; Wilczak, J.M.; Ashton, R.; Bianco, L.; Brewer, W.A.; Choukulkar, A.; Clifton, A.; Debnath, M.; Delgado, R.; Friedrich, K.; et al. Assessing state-of-the-art capabilities for probing the atmospheric boundary layer: The XPIA field campaign. Bull. Am. Meteorol. Soc. 2017, 98, 289–314. [Google Scholar] [CrossRef]
- Hardesty, R.M.; Hoff, R.M. Thermodynamic Profiling Technologies Workshop Report to the National Science Foundation and the National Weather Service; Technical Report NCAR/TN-488+STR; National Center for Atmospheric Research: Boulder, CO, USA, 2012. [Google Scholar]
- Bourgouin, P. A method to determine precipitation types. Weather Forecast. 2000, 15, 583–592. [Google Scholar] [CrossRef]
- Thériault, J.M.; Stewart, R.E.; Milbrandt, J.A.; Yau, M.K. On the simulation of winter precipitation types. J. Geophys. Res. Atmos. 2006, 111, D18. [Google Scholar] [CrossRef]
- Elston, J.; Argrow, B.; Stachura, M.; Weibel, D.; Lawrence, D.; Pope, D. Overview of small fixed-wing unmanned aircraft for meteorological sampling. J. Atmos. Ocean. Technol. 2015, 32, 97–115. [Google Scholar] [CrossRef]
- Palomaki, R.T.; Rose, N.T.; van den Bossche, M.; Sherman, T.J.; De Wekker, S.F.J. Wind estimation in the lower atmosphere using multirotor aircraft. J. Atmos. Ocean. Technol. 2017, 34, 1183–1191. [Google Scholar] [CrossRef]
- Houston, A.L.; Keeler, J.M. The impact of sensor response and airspeed on the representation of the convective boundary layer and airmass boundaries by small unmanned aircraft systems. J. Atmos. Ocean. Technol. 2018, 35, 1687–1699. [Google Scholar] [CrossRef]
- Greene, B.R.; Segales, A.R.; Waugh, S.; Duthoit, S.; Chilson, P.B. Considerations for temperature sensor placement on rotary-wing unmanned aircraft systems. Atmos. Meas. Tech. Discuss. 2018, 11, 5519–5530. [Google Scholar] [CrossRef]
- Jacob, J.D.; Chilson, P.B.; Houston, A.L.; Smith, S.W. Considerations for atmospheric measurements with small unmanned aircraft systems. Atmosphere 2018, 9, 252. [Google Scholar] [CrossRef]
- Lee, T.R.; Buban, M.; Palecki, M.A.; Leeper, R.D.; Diamond, H.J.; Dumas, E.; Meyers, T.P.; Baker, C.B. Great American Eclipse data may fine-tune weather forecasts. Eos 2018, 99, 19–22. [Google Scholar] [CrossRef]
- Koch, S.; Fengler, M.; Chilson, P.; Elmore, K.; Argrow, B.; Andra, D.; Lindley, T. On the Use of Unmanned Aircraft for Sampling Mesoscale Phenomena in the Pre-Convective Boundary Layer. J. Atmos. Ocean. Technol. 2018, in press. [Google Scholar] [CrossRef]
- Reuder, J.; Jonassen, M.; Ólafsson, H. The Small Unmanned Meteorological Observer SUMO: Recent developments and applications of a micro-UAS for atmospheric boundary layer research. Acta Geophys. 2012, 60, 1454–1473. [Google Scholar] [CrossRef]
- Corrigan, C.E.; Roberts, G.C.; Ramana, M.V.; Kim, D.; Ramanathan, V. Capturing vertical profiles of aerosols and black carbon over the Indian Ocean using autonomous unmanned aerial vehicles. Atmos. Chem. Phys. 2008, 8, 737–747. [Google Scholar] [CrossRef]
- Villa, T.F.; Gonzalez, F.; Miljievic, B.; Ristovski, Z.D.; Morawska, L. An overview of small unmanned aerial vehicles for air quality measurements: Present applications and future prospectives. Sensors 2016, 16, 1072. [Google Scholar] [CrossRef]
- Hoffmann, H.; Nieto, H.; Jensen, R.; Guzinski, R.; Zarco-Tejada, P.; Friborg, T. Estimating evaporation with thermal UAV data and two-source energy balance models. Hydrol. Earth Syst. Sci. 2016, 20, 697–713. [Google Scholar] [CrossRef]
- Hoffmann, H.; Jensen, R.; Thomsen, A.; Nieto, H.; Rasmussen, J.; Friborg, T. Crop water stress maps for an entire growing season from visible and thermal UAV imagery. Biogeosciences 2016, 13, 6545–6563. [Google Scholar] [CrossRef]
- Lee, T.R.; Buban, M.; Dumas, E.; Baker, C.B. A new technique to estimate sensible heat fluxes around micrometeorological towers using small unmanned aircraft systems. J. Atmos. Ocean. Technol. 2017, 34, 2103–2112. [Google Scholar] [CrossRef]
- Martin, S.; Bange, J.; Beyrich, F. Meteorological profiling of the lower troposphere using the research UAV “M2AVCarolo”. Atmos. Meas. Tech. 2011, 4, 705–716. [Google Scholar] [CrossRef]
- van den Kroonenberg, A.; Martin, S.; Beyrich, F.; Bange, J. Spatially-averaged temperature structure parameter over a heterogeneous surface measured by an unmanned aerial vehicle. Bound. Layer Meteorol. 2012, 142, 55–77. [Google Scholar] [CrossRef]
- Dumas, E.J.; Lee, T.R.; Buban, M.S.; Baker, C.B. Small Unmanned Aircraft System (sUAS) Measurements during the 2016 Verifications of the Origins of Rotation in Tornadoes Experiment Southeast (VORTEX-SE); NOAA Technical Memorandum OAR ARL-273; NOAA: Silver Spring, MD, USA, 2016.
- Buban, M.S.; Lee, T.R.; Dumas, E.J.; Baker, C.B.; Heuer, M. Observations of the effects of a total solar eclipse on surface and atmospheric boundary layer evolution. Bound. Layer Meteorol. 2018. accepted for publication. [Google Scholar]
- Dumas, E.J.; Lee, T.R.; Buban, M.; Baker, B. Small Unmanned Aircraft System (sUAS) Measurements during the 2017 Verifications of the Origins of Rotation in Tornadoes Experiment Southeast (VORTEX-SE); NOAA Technical Memorandum OAR ARL-274; NOAA: Silver Spring, MD, USA, 2017.
- Wagner, T.; Klein, P.; Turner, D. A new generation of ground-based mobile platforms for active and passive profiling of the boundary layer. Bull. Am. Meteorol. Soc. 2018. [Google Scholar] [CrossRef]
- Wulfmeyer, V.; Turner, D.D.; Baker, B.; Banta, R.; Behrendt, A.; Bonin, T.; Brewer, W.A.; Buban, M.; Choukulkar, A.; Dumas, E.; et al. A new research approach for observing and characterizing land-atmosphere feedback. Bull. Am. Meteorol. Soc. 2018. [Google Scholar] [CrossRef]
- Whiteman, C.D.; Allwine, K.J. Extraterrestrial solar radiation on inclined surfaces. Environ. Softw. 1986, 1, 164–169. [Google Scholar] [CrossRef]
- Whiteman, C.D.; Bian, X.; Zhong, S. Wintertime evolution of the temperature inversion in the Colorado Plateau Basin. J. Appl. Meteorol. 1999, 38, 1103–1117. [Google Scholar] [CrossRef]
- Lee, T.R.; De Wekker, S.F.J.; Andrews, A.E.; Kofler, J.; Williams, J. Carbon dioxide variability during cold front passages and fair weather days at a forested mountaintop site. Atmos. Environ. 2012, 46, 405–416. [Google Scholar] [CrossRef]
- Lee, T.R.; De Wekker, S.F.J.; Pal, S.; Andrews, A.E.; Kofler, J. Meteorological controls on the diurnal variability of carbon monoxide mixing ratio at a mountaintop monitoring site in the Appalachian Mountains. Tellus B 2015, 67, 25659. [Google Scholar] [CrossRef]
- Jonassen, M.O.; Ólafsson, H.; Ágústsson, H.; Rögnvaldsson, Ó.; Reuder, J. Improving high-resolution numerical weather simulations by assimilating data from an unmanned aerial system. Mon. Weather Rev. 2012, 140, 3734–3756. [Google Scholar] [CrossRef]
- Ágústsson, H.; Ólafsson, H.; Jonassen, M.O.; Rögnvaldsson, Ó. The impact of assimilating data from a remotely piloted aircraft on simulations of weak-wind orographic flow. Tellus A 2014, 66, 25421. [Google Scholar] [CrossRef]
- Flagg, D.D.; Doyle, J.D.; Holt, T.R.; Tyndall, D.P.; Amerault, C.M.; Geiszler, D.; Haack, T.; Moskaitis, J.R.; Nachamkin, J.R.; Eleuterio, D.P. On the Impact of Unmanned Aerial System Observations on Numerical Weather Prediction in the Coastal Zone. Mon. Weather Rev. 2018, 146, 599–622. [Google Scholar] [CrossRef]














| Model | DJI S-1000 | Microdrone MD4-1000 |
|---|---|---|
| Registration | N542FC | N536JN |
| Manufacturer | DJI | Microdrone |
| Owner/Operator | NOAA/ARL/ATDD | NOAA/ARL/ATDD |
| Mission | Atmospheric profiling | Atmospheric profiling |
| Units in Fleet | 1 | 1 |
| Vehicle Type | Multi-rotor | Multi-rotor |
| Gross Weight | 11 kg | 3.85 kg |
| Wing Span | 1.0 m | 1.0 m |
| Length | 1.0 m | 1.0 m |
| Payload Capacity | 4.5 kg | 1.2 kg |
| Engine Type | 8 electric motors | 4 electric motors |
| Autopilot | DJI A2 with iOSD Mk II | Microdrone |
| Max Speed | 10 m s−1 | 10 m s−1 |
| Loiter Speed | 0 m s−1 | 0 m s−1 |
| Endurance | 15 min | 25 min |
| Ceiling | 365 m | 1000 m |
| Location | Aircraft | Date | Start Time (UTC) | End Time (UTC) | Flight Duration (s) |
|---|---|---|---|---|---|
| Cullman, AL | DJI S-1000 | 5 Apr 17 | 12:38:45 | 12:44:52 | 367 |
| Cullman, AL | DJI S-1000 | 5 Apr 17 | 16:28:02 | 16:39:20 | 678 |
| Cullman, AL | DJI S-1000 | 5 Apr 17 | 17:13:43 | 17:25:07 | 684 |
| Cullman, AL | DJI S-1000 | 5 Apr 17 | 18:23:28 | 18:34:17 | 649 |
| Cullman, AL | DJI S-1000 | 5 Apr 17 | 19:29:59 | 19:40:38 | 639 |
| Cullman, AL | DJI S-1000 | 5 Apr 17 | 20:27:05 | 20:37:39 | 634 |
| Cullman, AL | DJI S-1000 | 28 Apr 17 | 16:08:14 | 16:19:22 | 668 |
| Cullman, AL | DJI S-1000 | 28 Apr 17 | 16:41:12 | 16:49:31 | 499 |
| Cullman, AL | DJI S-1000 | 28 Apr 17 | 17:06:34 | 17:14:20 | 466 |
| Cullman, AL | DJI S-1000 | 28 Apr 17 | 18:06:07 | 18:20:17 | 850 |
| Cullman, AL | DJI S-1000 | 28 Apr 17 | 20:52:43 | 20:06:38 | 835 |
| Cullman, AL | DJI S-1000 | 28 Apr 17 | 20:58:43 | 21:10:46 | 723 |
| Cullman, AL | DJI S-1000 | 28 Apr 17 | 21:52:21 | 22:04:06 | 705 |
| Cullman, AL | DJI S-1000 | 28 Apr 17 | 22:30:37 | 22:41:35 | 658 |
| Cullman, AL | MD4-1000 | 28 Apr 17 | 16:41:28 | 16:50:28 | 540 |
| Cullman, AL | MD4-1001 | 28 Apr 17 | 17:06:42 | 17:15:20 | 518 |
| Cullman, AL | MD4-1002 | 28 Apr 17 | 18:06:15 | 18:21:06 | 891 |
| Cullman, AL | MD4-1003 | 28 Apr 17 | 20:52:55 | 21:07:29 | 874 |
| Cullman, AL | MD4-1004 | 28 Apr 17 | 21:36:10 | 21:45:59 | 589 |
| Cullman, AL | MD4-1005 | 28 Apr 17 | 22:59:26 | 23:09:55 | 629 |
| Lamont, OK | DJI S-1000 | 14 Aug 17 | 17:40:05 | 17:49:58 | 593 |
| Lamont, OK | DJI S-1000 | 14 Aug 17 | 18:00:02 | 18:09:49 | 587 |
| Lamont, OK | DJI S-1000 | 14 Aug 17 | 18:40:46 | 18:50:33 | 587 |
| Lamont, OK | DJI S-1000 | 14 Aug 17 | 18:59:53 | 19:10:25 | 632 |
| Lamont, OK | DJI S-1000 | 14 Aug 17 | 19:59:31 | 20:09:41 | 610 |
| Lamont, OK | DJI S-1000 | 14 Aug 17 | 20:18:54 | 20:28:59 | 605 |
| Lamont, OK | DJI S-1000 | 14 Aug 17 | 21:00:05 | 21:10:46 | 641 |
| Lamont, OK | DJI S-1000 | 14 Aug 17 | 21:20:41 | 21:31:24 | 643 |
| Lamont, OK | DJI S-1000 | 14 Aug 17 | 22:00:09 | 22:10:51 | 642 |
| Lamont, OK | DJI S-1000 | 14 Aug 17 | 22:20:29 | 22:30:53 | 624 |
| Lamont, OK | DJI S-1000 | 14 Aug 17 | 22:40:18 | 22:50:23 | 605 |
| Lamont, OK | DJI S-1000 | 14 Aug 17 | 23:10:13 | 23:20:47 | 634 |
| Lamont, OK | MD4-1000 | 14 Aug 17 | 17:01:55 | 17:07:39 | 344 |
| Lamont, OK | MD4-1000 | 14 Aug 17 | 17:08:04 | 17:09:33 | 89 |
| Lamont, OK | MD4-1000 | 14 Aug 17 | 17:39:45 | 17:53:40 | 835 |
| Lamont, OK | MD4-1000 | 14 Aug 17 | 18:00:23 | 18:13:15 | 772 |
| Lamont, OK | MD4-1000 | 14 Aug 17 | 18:40:24 | 18:52:38 | 734 |
| Lamont, OK | MD4-1000 | 14 Aug 17 | 20:00:19 | 20:10:55 | 636 |
| Lamont, OK | MD4-1000 | 14 Aug 17 | 20:40:36 | 20:53:32 | 776 |
| Lamont, OK | MD4-1000 | 14 Aug 17 | 21:59:59 | 22:12:24 | 745 |
| Lamont, OK | MD4-1000 | 14 Aug 17 | 22:38:49 | 22:53:20 | 871 |
| Lamont, OK | MD4-1000 | 14 Aug 17 | 23:08:01 | 23:23:38 | 937 |
| Lamont, OK | DJI S-1000 | 15 Aug 17 | 17:09:45 | 17:20:21 | 636 |
| Lamont, OK | DJI S-1000 | 15 Aug 17 | 20:09:50 | 20:20:15 | 625 |
| Lamont, OK | DJI S-1000 | 15 Aug 17 | 20:41:11 | 20:51:54 | 643 |
| Lamont, OK | DJI S-1000 | 15 Aug 17 | 21:09:52 | 21:21:11 | 679 |
| Lamont, OK | DJI S-1000 | 15 Aug 17 | 21:41:12 | 21:52:07 | 655 |
| Lamont, OK | DJI S-1000 | 15 Aug 17 | 22:10:04 | 22:21:10 | 666 |
| Lamont, OK | DJI S-1000 | 15 Aug 17 | 22:41:39 | 22:52:34 | 655 |
| Lamont, OK | DJI S-1000 | 15 Aug 17 | 23:09:58 | 23:21:01 | 663 |
| Lamont, OK | MD4-1000 | 15 Aug 17 | 17:13:37 | 17:24:14 | 637 |
| Lamont, OK | MD4-1000 | 15 Aug 17 | 17:37:56 | 17:40:38 | 162 |
| Lamont, OK | MD4-1000 | 15 Aug 17 | 20:08:27 | 20:22:49 | 862 |
| Lamont, OK | MD4-1000 | 15 Aug 17 | 20:38:30 | 20:53:57 | 927 |
| Lamont, OK | MD4-1000 | 15 Aug 17 | 21:08:32 | 21:22:05 | 813 |
| Lamont, OK | MD4-1000 | 15 Aug 17 | 21:39:47 | 21:52:48 | 781 |
| Lamont, OK | MD4-1000 | 15 Aug 17 | 22:08:10 | 22:21:53 | 823 |
| Lamont, OK | MD4-1000 | 15 Aug 17 | 22:38:06 | 22:53:26 | 920 |
| Lamont, OK | DJI S-1000 | 17 Aug 17 | 16:40:06 | 16:50:52 | 646 |
| Lamont, OK | DJI S-1000 | 17 Aug 17 | 17:09:52 | 17:21:02 | 670 |
| Lamont, OK | DJI S-1000 | 17 Aug 17 | 17:40:07 | 17:50:55 | 648 |
| Lamont, OK | DJI S-1000 | 17 Aug 17 | 18:10:15 | 18:20:51 | 636 |
| Lamont, OK | DJI S-1000 | 17 Aug 17 | 18:40:05 | 18:50:46 | 641 |
| Lamont, OK | DJI S-1000 | 17 Aug 17 | 19:10:01 | 19:20:35 | 634 |
| Lamont, OK | DJI S-1000 | 17 Aug 17 | 19:39:55 | 19:50:30 | 635 |
| Lamont, OK | DJI S-1000 | 17 Aug 17 | 20:10:21 | 20:21:30 | 669 |
| Lamont, OK | DJI S-1000 | 17 Aug 17 | 20:40:05 | 20:50:49 | 644 |
| Lamont, OK | DJI S-1000 | 17 Aug 17 | 21:09:57 | 21:20:50 | 653 |
| Lamont, OK | DJI S-1000 | 17 Aug 17 | 21:40:23 | 21:51:25 | 662 |
| Lamont, OK | DJI S-1000 | 17 Aug 17 | 22:10:14 | 22:20:47 | 633 |
| Lamont, OK | DJI S-1000 | 17 Aug 17 | 22:40:00 | 22:46:39 | 399 |
| Lamont, OK | DJI S-1000 | 17 Aug 17 | 23:09:58 | 23:20:44 | 646 |
| Variable | Instrument | Sampling Height(s) (m AGL) |
|---|---|---|
| Temperature, dew point temperature | Vaisala HMP110 humidity and temperature probe | 2.0 |
| Temperature | Platinum resistance thermometer in aspirated shield | 2, 10.0 |
| Pressure | RM Young 61302V | 1.0 |
| Net radiation | Hukseflux 4-component net radiometer | 2.5 |
| Soil temperature | TP01 soil temperature probe | −0.02, −0.05, −0.10, −0.20, −0.50 |
| Soil moisture | Vegetronix | −0.05, −0.10, −0.20 |
| Wind speed, wind direction | RM Young propeller anemometer | 2.0, 10.0 |
| Rainfall | TB3 tipping bucket rain gauge | 2.5 |
| Latent heat flux | EC155 closed path infrared gas analyzer | 2.0, 10.0 |
| CO2 flux | EC155 closed path infrared gas analyzer | 2.0, 10.0 |
| Sensible heat flux | CSAT3 sonic anemometer | 3.0 |
| Photosynthetically active radiation | PAR: LI-190 | 2.4 |
| Comparison | Variable | Date, Time | Mean Difference | Standard Deviation in Difference | Root Mean Square Error | R2 (p) |
|---|---|---|---|---|---|---|
| iMet-XQ–Tower Measurement | T | 28 Apr 2017, 1600-2300 UTC | 0.65 °C | 0.21 °C | 2.55 °C | 0.98 (<0.01) |
| iMet-XQ–Tower Measurement | RH | 28 Apr 2017, 1600-2300 UTC | 1.33% | 1.57% | 3.65% | 0.95 (<0.01) |
| iMet-XQ–Tower Measurement | q | 28 Apr 2017, 1600-2300 UTC | 0.10 g kg−1 | 0.46 g kg−1 | 0.99 g kg−1 | 0.44 (0.04) |
| iMet-XQ–Sonde | T | 28 Apr 2017, 1700 UTC | 0.59 °C | 0.41 °C | 4.89 °C | 0.16 (0.06) |
| iMet-XQ–Sonde | RH | 28 Apr 2017, 1700 UTC | 2.63% | 3.08% | 16.2% | 0.05 (0.31) |
| iMet-XQ–Sonde | q | 28 Apr 2017, 1700 UTC | 1.20 g kg−1 | 0.74 g kg−1 | 3.20 g kg−1 | 0.03 (0.49) |
| iMet-XQ–Sonde | T | 28 Apr 2017, 1800 UTC | 0.33 °C | 0.30 °C | 4.00 °C | 0.16 (0.05) |
| iMet-XQ–Sonde | RH | 28 Apr 2017, 1800 UTC | 1.24% | 2.70% | 15.5% | 0.0 (0.99) |
| iMet-XQ–Sonde | q | 28 Apr 2017, 1800 UTC | 0.70 g kg−1 | 0.44 g kg−1 | 3.07 g kg−1 | 0.06 (0.25) |
| iMet-XQ–Sonde | T | 28 Apr 2017, 2100 UTC | 0.40 °C | 0.08 °C | 5.50 °C | 0.20 (0.03) |
| iMet-XQ–Sonde | RH | 28 Apr 2017, 2100 UTC | 0.16% | 1.73% | 13.08% | 0.03 (0.42) |
| iMet-XQ–Sonde | q | 28 Apr 2017, 2100 UTC | 0.51 g kg−1 | 0.41 g kg−1 | 2.95 g kg−1 | 0.04 (0.39) |
| iMet-XQ–Sonde | T | 28 Apr 2017, 2300 UTC | −0.28 °C | 0.13 °C | 5.56 °C | 0.21 (0.03) |
| iMet-XQ–Sonde | RH | 28 Apr 2017, 2300 UTC | −0.32% | 0.96% | 13.02% | 0.10 (0.14) |
| iMet-XQ–Sonde | q | 28 Apr 2017, 2300 UTC | −0.10 g kg−1 | 0.18 g kg−1 | 2.96 g kg−1 | 0.14 (0.07) |
| iMet-XQ Sensor1–iMet-XQ Sensor2 | T | 5 Apr 2017, 1238 UTC | −0.13 °C | 0.10 °C | 0.17 °C | 0.98 (<0.01) |
| iMet-XQ Sensor1–iMet-XQ Sensor2 | RH | 5 Apr 2017, 1238 UTC | 3.85% | 0.75% | 3.92% | 0.90 (<0.01) |
| iMet-XQ Sensor1–iMet-XQ Sensor2 | q | 5 Apr 2017, 1238 UTC | 0.40 g kg−1 | 0.05 g kg−1 | 0.40 g kg−1 | >0.99 (<0.01) |
| iMet-XQ Sensor1–iMet-XQ Sensor2 | T | 5 Apr 2017, 1628 UTC | 0.15 °C | 0.08 °C | 0.17 °C | 0.99 (<0.01) |
| iMet-XQ Sensor1–iMet-XQ Sensor2 | RH | 5 Apr 2017, 1628 UTC | 3.75% | 0.39% | 3.77% | 0.98 (<0.01) |
| iMet-XQ Sensor1–iMet-XQ Sensor2 | q | 5 Apr 2017, 1628 UTC | 0.66 g kg−1 | 0.09 g kg−1 | 0.66 g kg−1 | 0.72 (<0.01) |
| iMet-XQ Sensor1–iMet-XQ Sensor2 | T | 5 Apr 2017, 1713 UTC | 0.01 °C | 0.15 °C | 0.15 °C | 0.97 (<0.01) |
| iMet-XQ Sensor1–iMet-XQ Sensor2 | RH | 5 Apr 2017, 1713 UTC | 3.13% | 0.96% | 3.26% | 0.95 (<0.01) |
| iMet-XQ Sensor1–iMet-XQ Sensor2 | q | 5 Apr 2017, 1713 UTC | 0.49 g kg−1 | 0.16 g kg−1 | 0.52 g kg−1 | 0.67 (<0.01) |
| iMet-XQ Sensor1–iMet-XQ Sensor2 | T | 5 Apr 2017, 1823 UTC | 0.14 °C | 0.14 °C | 0.19 °C | 0.97 (<0.01) |
| iMet-XQ Sensor1–iMet-XQ Sensor2 | RH | 5 Apr 2017, 1823 UTC | 1.37% | 0.56% | 1.47% | 0.85 (<0.01) |
| iMet-XQ Sensor1–iMet-XQ Sensor2 | q | 5 Apr 2017, 1823 UTC | 0.33 g kg−1 | 0.12 g kg−1 | 0.35 g kg−1 | 0.76 (<0.01) |
| iMet-XQ Sensor1–iMet-XQ Sensor2 | T | 5 Apr 2017, 1929 UTC | 0.17 °C | 0.13 °C | 0.22 °C | 0.98 (<0.01) |
| iMet-XQ Sensor1–iMet-XQ Sensor2 | RH | 5 Apr 2017, 1929 UTC | 3.34% | 1.08% | 3.50% | 0.88 (<0.01) |
| iMet-XQ Sensor1–iMet-XQ Sensor2 | q | 5 Apr 2017, 1929 UTC | 0.81 g kg−1 | 0.21 g kg−1 | 0.84 g kg−1 | 0.36 (<0.01) |
| iMet-XQ Sensor1–iMet-XQ Sensor2 | T | 5 Apr 2017, 2027 UTC | 0.00 °C | 0.08 °C | 0.08 °C | >0.99 (<0.01) |
| iMet-XQ Sensor1–iMet-XQ Sensor2 | RH | 5 Apr 2017, 2027 UTC | 1.91% | 0.80% | 2.07% | 0.81 (<0.01) |
| iMet-XQ Sensor1–iMet-XQ Sensor2 | q | 5 Apr 2017, 2027 UTC | 0.40 g kg−1 | 0.16 g kg−1 | 0.43 g kg−1 | 0.45 (<0.01) |
| iMet-XQ DJI S-1000–iMet-XQ MD4-1000 | T | 28 Apr 2017, 1641 UTC | 0.12 °C | 0.12 °C | 0.16 °C | 0.97 (<0.01) |
| iMet-XQ DJI S-1000–iMet-XQ MD4-1000 | RH | 28 Apr 2017, 1641 UTC | 2.81% | 0.87% | 2.87% | 0.91 (<0.01) |
| iMet-XQ DJI S-1000–iMet-XQ MD4-1000 | q | 28 Apr 2017, 1641 UTC | 0.63 g kg−1 | 0.16 g kg−1 | 0.63 g kg−1 | 0.11 (0.13) |
| iMet-XQ DJI S-1000–iMet-XQ MD4-1000 | T | 28 Apr 2017, 1706 UTC | 0.24 °C | 0.16 °C | 0.28 °C | 0.97 (<0.01) |
| iMet-XQ DJI S-1000–iMet-XQ MD4-1000 | RH | 28 Apr 2017, 1706 UTC | 6.80% | 2.91% | 9.08% | 0.44 (<0.01) |
| iMet-XQ DJI S-1000–iMet-XQ MD4-1000 | q | 28 Apr 2017, 1706 UTC | 1.58 g kg−1 | 0.72 g kg−1 | 1.70 g kg−1 | 0.002 (0.84) |
| iMet-XQ DJI S-1000–iMet-XQ MD4-1000 | T | 28 Apr 2017, 1808 UTC | 0.21 °C | 0.09 °C | 0.22 °C | 0.99 (<0.01) |
| iMet-XQ DJI S-1000–iMet-XQ MD4-1000 | RH | 28 Apr 2017, 1808 UTC | 7.30% | 2.54% | 7.54% | 0.76 (<0.01) |
| iMet-XQ DJI S-1000–iMet-XQ MD4-1000 | q | 28 Apr 2017, 1808 UTC | 1.69 g kg−1 | 0.52 g kg−1 | 1.73 g kg−1 | 0.15 (0.08) |
| iMet-XQ DJI S-1000–iMet-XQ MD4-1000 | T | 28 Apr 2017, 1952 UTC | 0.39 °C | 0.17 °C | 0.42 °C | 0.96 (<0.01) |
| iMet-XQ DJI S-1000–iMet-XQ MD4-1000 | RH | 28 Apr 2017, 1952 UTC | 7.9% | 2.3% | 13.67% | 0.68 (<0.01) |
| iMet-XQ DJI S-1000–iMet-XQ MD4-1000 | q | 28 Apr 2017, 1952 UTC | 2.18 g kg−1 | 0.60 g kg−1 | 2.21 g kg−1 | 0.09 (0.17) |
© 2018 by the authors. Licensee MDPI, Basel, Switzerland. This article is an open access article distributed under the terms and conditions of the Creative Commons Attribution (CC BY) license (http://creativecommons.org/licenses/by/4.0/).
Share and Cite
Lee, T.R.; Buban, M.; Dumas, E.; Baker, C.B. On the Use of Rotary-Wing Aircraft to Sample Near-Surface Thermodynamic Fields: Results from Recent Field Campaigns. Sensors 2019, 19, 10. https://doi.org/10.3390/s19010010
Lee TR, Buban M, Dumas E, Baker CB. On the Use of Rotary-Wing Aircraft to Sample Near-Surface Thermodynamic Fields: Results from Recent Field Campaigns. Sensors. 2019; 19(1):10. https://doi.org/10.3390/s19010010
Chicago/Turabian StyleLee, Temple R., Michael Buban, Edward Dumas, and C. Bruce Baker. 2019. "On the Use of Rotary-Wing Aircraft to Sample Near-Surface Thermodynamic Fields: Results from Recent Field Campaigns" Sensors 19, no. 1: 10. https://doi.org/10.3390/s19010010
APA StyleLee, T. R., Buban, M., Dumas, E., & Baker, C. B. (2019). On the Use of Rotary-Wing Aircraft to Sample Near-Surface Thermodynamic Fields: Results from Recent Field Campaigns. Sensors, 19(1), 10. https://doi.org/10.3390/s19010010

