Preliminary Study on Biosensor-Type Time-Temperature Integrator for Intelligent Food Packaging
Abstract
1. Introduction
2. Materials and Methods
2.1. Materials
2.2. Creation of Biosensor-Type TTI
2.3. Color Measurement of TTI
2.4. Electrical Signal Measurement of TTI
2.5. Determination of Kinetic and Arrhenius Parameters of TTI Responses
2.6. Statistical Analysis
3. Results and Discussion
3.1. Characterization of BiosenTTI Responses
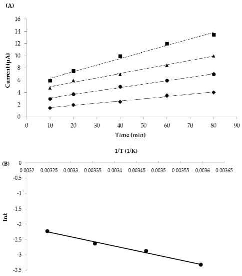
3.2. Kinetics and Temperature Dependency of BiosenTTI
4. Conclusions
Author Contributions
Funding
Conflicts of Interest
References
- Browne, M.; Allen, J. Logistics of food transport. In Food Transportation; Heap, R., Kierstan, M., Ford, G., Eds.; Springer: New York, NY, USA, 1998; pp. 22–50. [Google Scholar]
- Taoukis, P.S.; Labuza, T.P. Time-temperature indicators (TTIs), In Novel Food Packaging Techniques; Ahvenainen, R., Ed.; Woodhead Publishing: Cambridge, UK, 2003; pp. 103–126. [Google Scholar]
- Galagan, Y.; Su, W.F. Fadable ink for time–temperature control of food freshness: novel new time–temperature indicator. Food Res. Int. 2008, 41, 653–657. [Google Scholar] [CrossRef]
- Vaikousi, H.; Biliaderis, C.G.; Koutsoumanis, K.P. Applicability of a microbial time temperature indicator (TTI) for monitoring spoilage of modified atmosphere packed minced meat. Int. J. Food Microbiol. 2009, 133, 272–278. [Google Scholar] [CrossRef] [PubMed]
- Taoukis, P.S. Modelling the use of time-temperature indicators in distribution and stock rotation. In Food Process Modelling, 1st ed.; Tijkskens, L.M.M., Hertog, M.L.A.T.M., Nicolaï, B.M., Eds.; Woodhead Publishing: Cambridge, UK, 2001; pp. 402–432. [Google Scholar]
- Kang, Y.J.; Kang, J.W.; Choi, J.H.; Park, S.Y.; Rahman, A.T.M.M.; Jung, S.W.; Lee, S.J. A feasibility study of application of laccase-based time-temperature indicator to Kimchi quality control on fermentation process. J. Korean Soc. BioChem. 2014, 57, 819–825. [Google Scholar] [CrossRef]
- Giannakourou, M.C.; Taoukis, P.S. Kinetic modeling of vitamin C loss in frozen green vegetables under variable storage conditions. Food Chem. 2003, 83, 33–41. [Google Scholar] [CrossRef]
- Giannakourou, M.C.; Koutsoumanis, K.; Nychas, G.J.E.; Taoukis, P.S. Field evaluation of the application of time temperature integrators for monitoring fish quality in the chill chain. Int. J. Food Microbiol. 2005, 102, 323–336. [Google Scholar] [CrossRef] [PubMed]
- Nuin, M.; Alfaro, B.; Cruz, Z.; Argarate, N.; George, S.; Le Marc, Y.; Olley, J.; Pin, C. Modelling spoilage of fresh turbot and evaluation of a time–temperature integrator (TTI) label under fluctuating temperature. Int. J. Food Microbiol. 2008, 127, 193–199. [Google Scholar] [CrossRef] [PubMed]
- Simpson, R.; Almonacid, S.; Nuñez, H.; Pinto, M.; Abakarov, A.; Teixeira, A. Time temperature indicator to monitor cold chain distribution of fresh salmon (salmo salar). J. Food Process Eng. 2012, 35, 742–750. [Google Scholar] [CrossRef]
- Tsironi, T.; Salapa, I.; Taoukis, P.S. Shelf life modelling of osmotically treated chilled gilthead seabream fillets. Innov. Food Sci. Emerg. 2009, 10, 23–31. [Google Scholar] [CrossRef]
- Ellouze, M.; Augustin, J.C. Applicability of biological time temperature integrators as quality and safety indicators for meat products. Int. J. Food Microbiol. 2010, 138, 119–129. [Google Scholar] [CrossRef] [PubMed]
- Han, J.Y.; Kim, M.J.; Shim, S.D.; Lee, S.J. Application of fuzzy reasoning to prediction of beef sirloin quality using time temperature integrators (TTIs). Food Control 2010, 24, 148–153. [Google Scholar] [CrossRef]
- Kim, Y.A.; Jung, S.W.; Park, H.R.; Chung, K.Y.; Lee, S.J. Application of a Prototype of Microbial Time Temperature Indicator (TTI) to the Prediction of Ground Beef Qualities during Storage. Korean J. Food Sci. Anim. Resour. 2012, 32, 448–457. [Google Scholar] [CrossRef]
- Bobelyn, E.; Hertog, M.L.A.T.M.; Nicolaï, B.M. Applicability of an enzymatic time temperature integrator as a quality indicator for mushrooms in the distribution chain. Posthavest. Biol. Technol. 2006, 42, 104–114. [Google Scholar] [CrossRef]
- Fu, B.; Taoukis, P.S.; Labuza, T.P. Predictive microbiology for monitoring spoilage of dairy products with time-temperature indicators. J. Food Sci. 1991, 56, 1209–1215. [Google Scholar] [CrossRef]
- Shellhammer, T.H.; Singh, R.P. Monitoring chemical and microbial changes of cottage cheese using a full-history time-temperature indicator. J. Food Sci. 1991, 56, 402–410. [Google Scholar] [CrossRef]
- Claeys, W.L.; Van Loey, A.M.; Hendrickx, M.E. Intrinsic time temperature integrators for heat treatment of milk. Trends Food Sci. Technol. 2002, 13, 293–311. [Google Scholar] [CrossRef]
- Dario, D.; Nathalie, G.; Dimitrios, S.; Esther, Z.B.; Paul, T. Active and intelligent food packaging: Legal aspects and safety concern. Trends Food Sci. Technol. 2008, 19, 103–112. [Google Scholar]
- Jones, P.; Clarke-Hill, C.; Comfort, D.; Hillier, D.; Shears, P. Radio frequency identification and food retailing in the UK. Br. Food J. 2005, 107, 356–360. [Google Scholar] [CrossRef]
- Regattieri, A.; Gamberi, M.; Manzini, R. Traceability of food products: general framework and experimental evidence. J. Food Eng. 2007, 81, 347–356. [Google Scholar] [CrossRef]
- Jacob, A.H.; Joseph, W.; Abdel, N.K.; Yun, X.; Kurt, V.G.; Greg, C. Quantum-dot/aptamer-based ultrasensitive multi-analyte electrochemical biosensor. J. Am. Chem. Soc. 2006, 128, 2228–2229. [Google Scholar]
- Amanda, J.H.; Richard, P.V. A nanoscale optical biosensor: sensitivity and selectivity of an approach based on the localized surface plasmon resonance spectroscopy of triangular silver nanoparticles. J. Am. Chem. Soc. 2002, 124, 10596–10604. [Google Scholar]
- Zhou, X.D.; Liu, L.J.; Hu, M.; Wang, L.L.; Hu, J.M. Detection of hepatitis B virus by piezoelectric biosensor. J. Pharmaceut. Biomed. Anal. 2002, 27, 341–345. [Google Scholar] [CrossRef]
- Robert, K.; Anne, M.; Lars, M. Kinetic analysis of monoclonal antibody antigen interactions with a new biosensor based analytical system. J. Immunol. Methods 1991, 145, 229–240. [Google Scholar]
- Zhang, Y.; Wen, G.M.; Zhou, Y.H.; Shuang, S.M.; Dong, C.; Choi, M.M.F. Development and analytical application of an uric acid biosensor using an uricase-immobilzed eggshell membrane. Biosen. Bioelectron. 2007, 22, 1791–1797. [Google Scholar] [CrossRef] [PubMed]
- Reyes De Corcuera, J.I.; Cavalieri, R.P.; Powers, J.R.; Kang, D.H. Enzyme electropolymer-based amperometric biosensors: an innovative platform for time-temperature integrators. J. Agric. Food Chem. 2005, 53, 8866–8873. [Google Scholar] [CrossRef] [PubMed]
- Sun, Y.; Cai, H.W.; Zheng, L.M.; Ren, F.Z.; Zhang, L.D.; Zhang, H.T. Development and characterization of a new amylase type time–temperature indicator. Food Control 2008, 19, 315–319. [Google Scholar]
- Dryhurst, G.; Niki, K. Redox Chemistry and Interfacial Behavior of Biological Molecules; Plenum Press: New York, NY, USA, 1988; pp. 151–171. [Google Scholar]
- Lineweaver, H.; Burk, D. The determination of enzyme dissociation constants. J. Am. Chem. Soc. 1934, 56, 658–666. [Google Scholar] [CrossRef]
- Bright, H.J.; Porter, D.J. The Enzymes, 3rd ed.; Academic Press: New York, NY, USA, 1975; pp. 421–505. [Google Scholar]
- Kim, T.J.; Choi, D.Y.; Yoon, K.H.; Kim, K.H.; Lee, S.J. Application of mixture rule to determine Arrhenius activation energy of time temperature intergrator using mixture of laccase from Pleurotus ostreatus and PEGylated laccase from Trametes versicolor. J. Korean Soc. Appl. Biol. Chem. 2013, 56, 419–425. [Google Scholar] [CrossRef]
- Park, H.R.; Kim, K.; Lee, S.J. Adjustment of Arrhenius activation energy of laccase-based time-temperature integrator (TTI) using sodium azide. Food Control 2013, 32, 615–620. [Google Scholar] [CrossRef]
- Yoon, S.H.; Lee, C.H.; Kim, D.Y.; Kim, J.W.; Park, K.H. Time-temperature indicator using phospholipid-phospholipase system and application to storage of frozen pork. J. Food Sci. 1994, 59, 490–493. [Google Scholar] [CrossRef]
- Pocas, M.F.F.; Delgado, T.F.; Oliveira, F.A.R. Smart packaging technologies for fruits and vegetables. In Smart Packaging Technologies for Fast Moving Consumer Goods; John Wiley and Sons Ltd.: Hoboken, NJ, USA, 2008; pp. 66–151. [Google Scholar]
- Koseki, S.; Isobe, S. Prediction of pathogen growth on iceberg lettuce under real temperature history during distribution from farm to table. Int. J. Food. Microbol. 2005, 104, 239–248. [Google Scholar] [CrossRef] [PubMed]
- Rando, D.; Kohring, G.W.; Giffhorn, F. Production, purification and characterization of glucose oxidase from a newly isolated strain of penicillium pinophilum. Appl. Microbol. Biotechnol. 1998, 48, 34–40. [Google Scholar] [CrossRef]







| Parameters | TTI | BiosenTTI | ||
|---|---|---|---|---|
| Temperature (°C) | k (1/min) | R2 b | k (µA/min) | R2 |
| 5 | 0.0187 ± 0.0005 a | 0.99 | 0.0360 ± 0.0020 | 0.99 |
| 15 | 0.0293 ± 0.0018 | 0.98 | 0.0566 ± 0.0026 | 0.99 |
| 25 | 0.0363 ± 0.0012 | 0.99 | 0.0716 ± 0.0024 | 0.99 |
| 35 | 0.0540 ± 0.0019 | 0.99 | 0.1073 ± 0.0028 | 0.99 |
© 2018 by the authors. Licensee MDPI, Basel, Switzerland. This article is an open access article distributed under the terms and conditions of the Creative Commons Attribution (CC BY) license (http://creativecommons.org/licenses/by/4.0/).
Share and Cite
Mijanur Rahman, A.T.M.; Kim, D.H.; Jang, H.D.; Yang, J.H.; Lee, S.J. Preliminary Study on Biosensor-Type Time-Temperature Integrator for Intelligent Food Packaging. Sensors 2018, 18, 1949. https://doi.org/10.3390/s18061949
Mijanur Rahman ATM, Kim DH, Jang HD, Yang JH, Lee SJ. Preliminary Study on Biosensor-Type Time-Temperature Integrator for Intelligent Food Packaging. Sensors. 2018; 18(6):1949. https://doi.org/10.3390/s18061949
Chicago/Turabian StyleMijanur Rahman, A. T. M., Do Hyeon Kim, Han Dong Jang, Jung Hwa Yang, and Seung Ju Lee. 2018. "Preliminary Study on Biosensor-Type Time-Temperature Integrator for Intelligent Food Packaging" Sensors 18, no. 6: 1949. https://doi.org/10.3390/s18061949
APA StyleMijanur Rahman, A. T. M., Kim, D. H., Jang, H. D., Yang, J. H., & Lee, S. J. (2018). Preliminary Study on Biosensor-Type Time-Temperature Integrator for Intelligent Food Packaging. Sensors, 18(6), 1949. https://doi.org/10.3390/s18061949
