Optimal Resource Allocation for NOMA-TDMA Scheme with α-Fairness in Industrial Internet of Things
Abstract
:1. Introduction
- (1)
- A NOMA-TDMA communication scheme considering -fairness is proposed in IIoT, which allows multiple sensors to transmit data through NOMA in each time slot and total available transmission time is allocated for all nodes in TDMA scheme.
- (2)
- Incorporating user scheduling, power allocation and time slot assignment based on the NOMA-TDMA scheme, an optimization problem is formulated to maximize the -fair utility of the IIoT system under the constraint on sensors’ transmit rate and constraint on aggregate power. To tackle the resource allocation problem, the original optimal problem is transformed into a D.C. structure by variable substitution. Furthermore, we proposed an algorithm regarded as NOMA-TDMA-DC, which can quickly find global optimal solution.
2. System Model and Problem Formulation
2.1. System Model
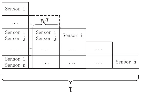
2.2. NOMA-TDMA Scheme
2.3. Problem Formulation
3. Optimal Resource Allocation
3.1. Transformation of the Objective Function
3.2. NOMA-TDMA Based on D.C. Programming (NOMA-TDMA-DC)
| Algorithm 1 NOMA-TDMA-DC |
| Initialization: Set the initial point , , and ; = 0; 1: repeat 2: Solve the convex optimization problem P1 to obtain the solution ; ; ; 3: until |
3.3. Algorithm Performance Analysis
3.4. Discussion on the Value of
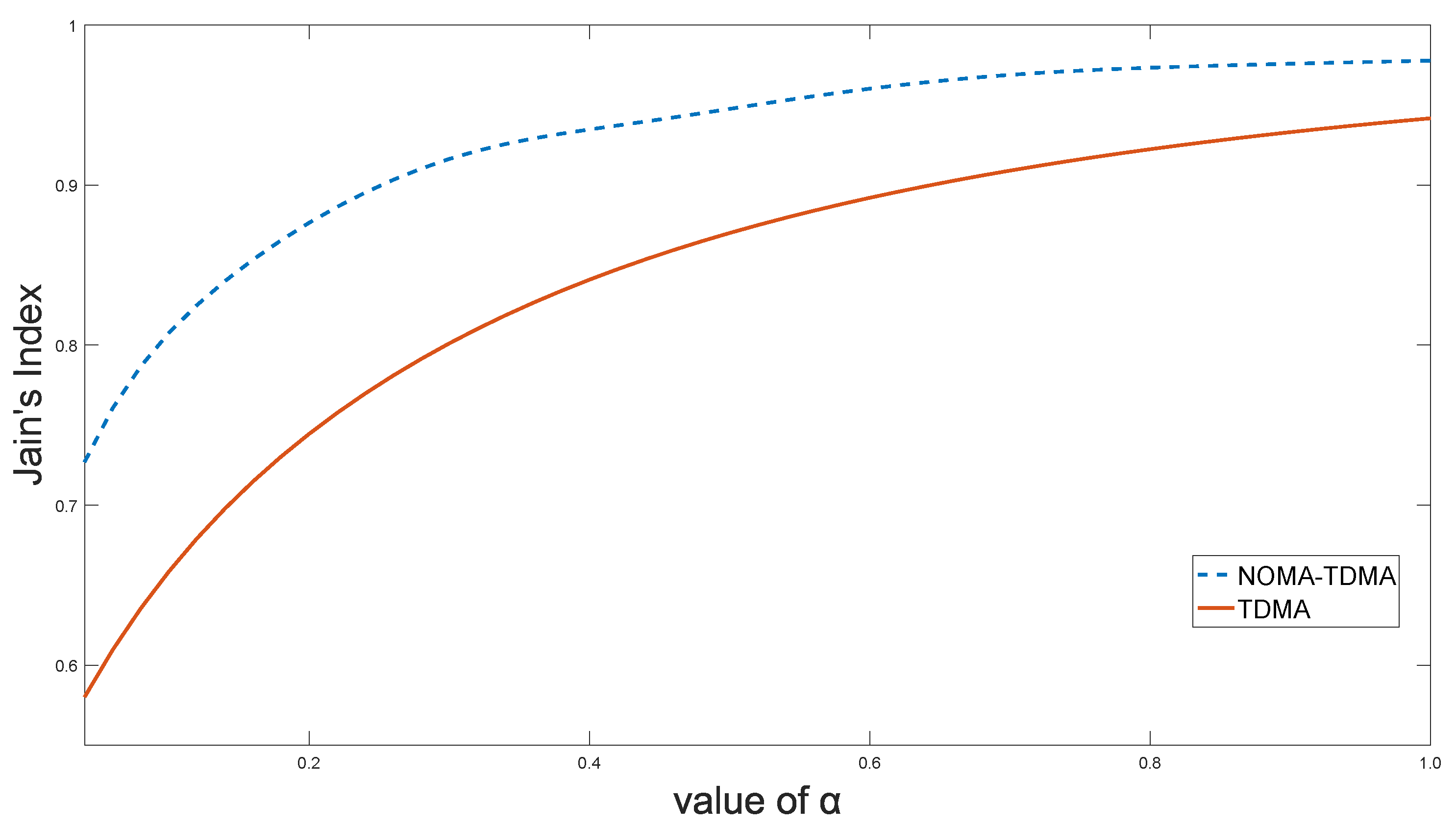
4. Simulation Results and Discussion
5. Conclusions
Author Contributions
Acknowledgments
Conflicts of Interest
References
- Li, Z.; Kang, J.; Yu, R.; Ye, D.; Deng, Q.; Zhang, Y. Consortium Blockchain for Secure Energy Trading in Industrial Internet of Things. IEEE Trans. Ind. Inform. 2017. [Google Scholar] [CrossRef]
- Li, J.Q.; Yu, F.R.; Deng, G.; Luo, C.; Ming, Z.; Yan, Q. Industrial internet: A survey on the enabling technologies, applications, and challenges. IEEE Commun. Surv. Tutor. 2017, 19, 1504–1526. [Google Scholar] [CrossRef]
- Zhou, J.; Chen, C.P.; Chen, L.; Zhao, W. A user-customizable urban traffic information collection method based on wireless sensor networks. IEEE Trans. Intell. Transp. Syst. 2013, 14, 1119–1128. [Google Scholar] [CrossRef]
- Wei, W.; Song, H.; Li, W.; Shen, P.; Vasilakos, A. Gradient-driven parking navigation using a continuous information potential field based on wireless sensor network. Inf. Sci. 2017, 408, 100–114. [Google Scholar] [CrossRef]
- Chang, C.L.; Ho, K.Y. Slot assignment for TDMA MAC in industrial wireless sensor network. In Proceedings of the 2016 IEEE/ACIS 15th International Conference on Computer and Information Science (ICIS), Okayama, Japan, 26–29 June 2016; pp. 1–5. [Google Scholar]
- Raza, M.; Aslam, N.; Le-Minh, H.; Hussain, S.; Cao, Y.; Khan, N.M. A Critical Analysis of Research Potential, Challenges and Future Directives in Industrial Wireless Sensor Networks. IEEE Commun. Surv. Tutor. 2017, 20, 39–95. [Google Scholar] [CrossRef]
- Saito, Y.; Benjebbour, A.; Kishiyama, Y.; Nakamura, T. System-level performance evaluation of downlink non-orthogonal multiple access (NOMA). In Proceedings of the 2013 IEEE 24th International Symposium on Personal Indoor and Mobile Radio Communications (PIMRC), London, UK, 8–11 September 2013; pp. 611–615. [Google Scholar]
- Saito, Y.; Kishiyama, Y.; Benjebbour, A.; Nakamura, T.; Li, A.; Higuchi, K. Non-orthogonal multiple access (NOMA) for cellular future radio access. In Proceedings of the 2013 IEEE 77th Vehicular Technology Conference (VTC Spring), Dresden, Germany, 2–5 June 2013; pp. 1–5. [Google Scholar]
- Montalban, J.; Scopelliti, P.; Fadda, M.; Iradier, E.; Desogus, C.; Angueira, P.; Murroni, M.; Araniti, G. Multimedia Multicast Services in 5G Networks: Subgrouping and Non-Orthogonal Multiple Access Techniques. IEEE Commun. Mag. 2018, 56, 91–95. [Google Scholar] [CrossRef]
- Dai, L.; Wang, B.; Yuan, Y.; Han, S.; Chih-Lin, I.; Wang, Z. Non-orthogonal multiple access for 5G: Solutions, challenges, opportunities, and future research trends. IEEE Commun. Mag. 2015, 53, 74–81. [Google Scholar] [CrossRef]
- Ahmad, A.; Rehmani, M.H.; Tembine, H.; Mohammed, O.A.; Jamalipour, A. IEEE Access Special Section Editorial: Optimization for emerging wireless networks: IoT, 5G, and smart grid communication networks. IEEE Access 2017, 5, 2096–2100. [Google Scholar] [CrossRef]
- Islam, S.R.; Avazov, N.; Dobre, O.A.; Kwak, K.S. Power-domain non-orthogonal multiple access (NOMA) in 5G systems: Potentials and challenges. IEEE Commun. Surv. Tutor. 2017, 19, 721–742. [Google Scholar] [CrossRef]
- Shirvanimoghaddam, M.; Dohler, M.; Johnson, S.J. Massive non-orthogonal multiple access for cellular IoT: Potentials and limitations. IEEE Commun. Mag. 2017, 55, 55–61. [Google Scholar] [CrossRef]
- Yang, Z.; Pan, Y.; Xu, W.; Guan, R.; Wang, Y.; Chen, M. Energy efficient resource allocation for machine-to-machine communications with NOMA and energy harvesting. In Proceedings of the 2017 IEEE Conference on Computer Communications Workshops (INFOCOM WKSHPS), Atlanta, GA, USA, 1–4 May 2017; pp. 145–150. [Google Scholar]
- Yang, Z.; Ding, Z.; Fan, P.; Al-Dhahir, N. The impact of power allocation on cooperative non-orthogonal multiple access networks with SWIPT. IEEE Trans. Wirel. Commun. 2017, 16, 4332–4343. [Google Scholar] [CrossRef]
- Sun, Y.; Ng, D.W.K.; Ding, Z.; Schober, R. Optimal joint power and subcarrier allocation for full-duplex multicarrier non-orthogonal multiple access systems. IEEE Trans. Commun. 2017, 65, 1077–1091. [Google Scholar] [CrossRef]
- Yang, Z.; Xu, W.; Xu, H.; Shi, J.; Chen, M. Energy efficient non-orthogonal multiple access for machine-to-machine communications. IEEE Commun. Lett. 2017, 21, 817–820. [Google Scholar] [CrossRef]
- Liu, Y.; Qin, Z.; Elkashlan, M.; Gao, Y.; Hanzo, L. Enhancing the physical layer security of non-orthogonal multiple access in large-scale networks. IEEE Trans. Wirel. Commun. 2017, 16, 1656–1672. [Google Scholar] [CrossRef]
- Marshoud, H.; Kapinas, V.M.; Karagiannidis, G.K.; Muhaidat, S. Non-orthogonal multiple access for visible light communications. IEEE Photonics Technol. Lett. 2016, 28, 51–54. [Google Scholar] [CrossRef]
- Liu, Y.; Qin, Z.; Elkashlan, M.; Ding, Z.; Nallanathan, A.; Hanzo, L. Nonorthogonal Multiple Access for 5G and Beyond. Proc. IEEE 2017, 105, 2347–2381. [Google Scholar] [CrossRef]
- Hojeij, M.R.; Nour, C.A.; Farah, J.; Douillard, C. Waterfilling-based proportional fairness scheduler for downlink non-orthogonal multiple access. IEEE Wirel. Commun. Lett. 2017, 6, 230–233. [Google Scholar] [CrossRef]
- Xu, P.; Cumanan, K. Optimal Power Allocation Scheme for Non-Orthogonal Multiple Access With α-Fairness. IEEE J. Sel. Areas Commun. 2017, 35, 2357–2369. [Google Scholar] [CrossRef]
- Liu, Y.; Elkashlan, M.; Ding, Z.; Karagiannidis, G.K. Fairness of user clustering in MIMO non-orthogonal multiple access systems. IEEE Commun. Lett. 2016, 20, 1465–1468. [Google Scholar] [CrossRef]
- Shi, H.; Prasad, R.V.; Onur, E.; Niemegeers, I. Fairness in wireless networks: Issues, measures and challenges. IEEE Commun. Surv. Tutor. 2014, 16, 5–24. [Google Scholar]
- Mo, J.; Walrand, J. Fair end-to-end window-based congestion control. IEEE/ACM Trans. Netw. 2000, 8, 556–567. [Google Scholar] [CrossRef]
- Guo, C.; Zhang, Y.; Sheng, M.; Wang, X.; Li, Y. α-Fair Power Allocation in Spectrum-Sharing Networks. IEEE Trans. Veh. Technol. 2016, 65, 3771–3777. [Google Scholar] [CrossRef]
- Tang, R.; Zhao, J.; Qu, H.; Zhang, Z. User-centric joint admission control and resource allocation for 5G d2d extreme mobile broadband: A sequential convex programming approach. IEEE Commun. Lett. 2017, 21, 1641–1644. [Google Scholar] [CrossRef]
- Li, Y.; Sheng, M.; Yang, C.; Wang, X. Energy efficiency and spectral efficiency tradeoff in interference-limited wireless networks. IEEE Commun. Lett. 2013, 17, 1924–1927. [Google Scholar] [CrossRef]
- Cao, Q.; Sun, Y.; Ni, Q.; Li, S.; Tan, Z. Statistical CSIT aided user scheduling for broadcast MU-MISO system. IEEE Trans. Veh. Technol. 2017, 66, 6102–6114. [Google Scholar] [CrossRef]






© 2018 by the authors. Licensee MDPI, Basel, Switzerland. This article is an open access article distributed under the terms and conditions of the Creative Commons Attribution (CC BY) license (http://creativecommons.org/licenses/by/4.0/).
Share and Cite
Sun, Y.; Guo, Y.; Li, S.; Wu, D.; Wang, B. Optimal Resource Allocation for NOMA-TDMA Scheme with α-Fairness in Industrial Internet of Things. Sensors 2018, 18, 1572. https://doi.org/10.3390/s18051572
Sun Y, Guo Y, Li S, Wu D, Wang B. Optimal Resource Allocation for NOMA-TDMA Scheme with α-Fairness in Industrial Internet of Things. Sensors. 2018; 18(5):1572. https://doi.org/10.3390/s18051572
Chicago/Turabian StyleSun, Yanjing, Yiyu Guo, Song Li, Dapeng Wu, and Bin Wang. 2018. "Optimal Resource Allocation for NOMA-TDMA Scheme with α-Fairness in Industrial Internet of Things" Sensors 18, no. 5: 1572. https://doi.org/10.3390/s18051572
APA StyleSun, Y., Guo, Y., Li, S., Wu, D., & Wang, B. (2018). Optimal Resource Allocation for NOMA-TDMA Scheme with α-Fairness in Industrial Internet of Things. Sensors, 18(5), 1572. https://doi.org/10.3390/s18051572
