eDNA Metabarcoding Analysis as Tool to Assess the Presence of Non-Indigenous Species (NIS): A Case Study in the Bilge Water
Abstract
1. Introduction
2. Materials and Methods
2.1. Water Sampling, Samples Preparation and DNA Extraction
2.2. Amplicon Sequencing (Metabarcoding Analysis)
2.3. Bioinformatics and Statistical Analyses
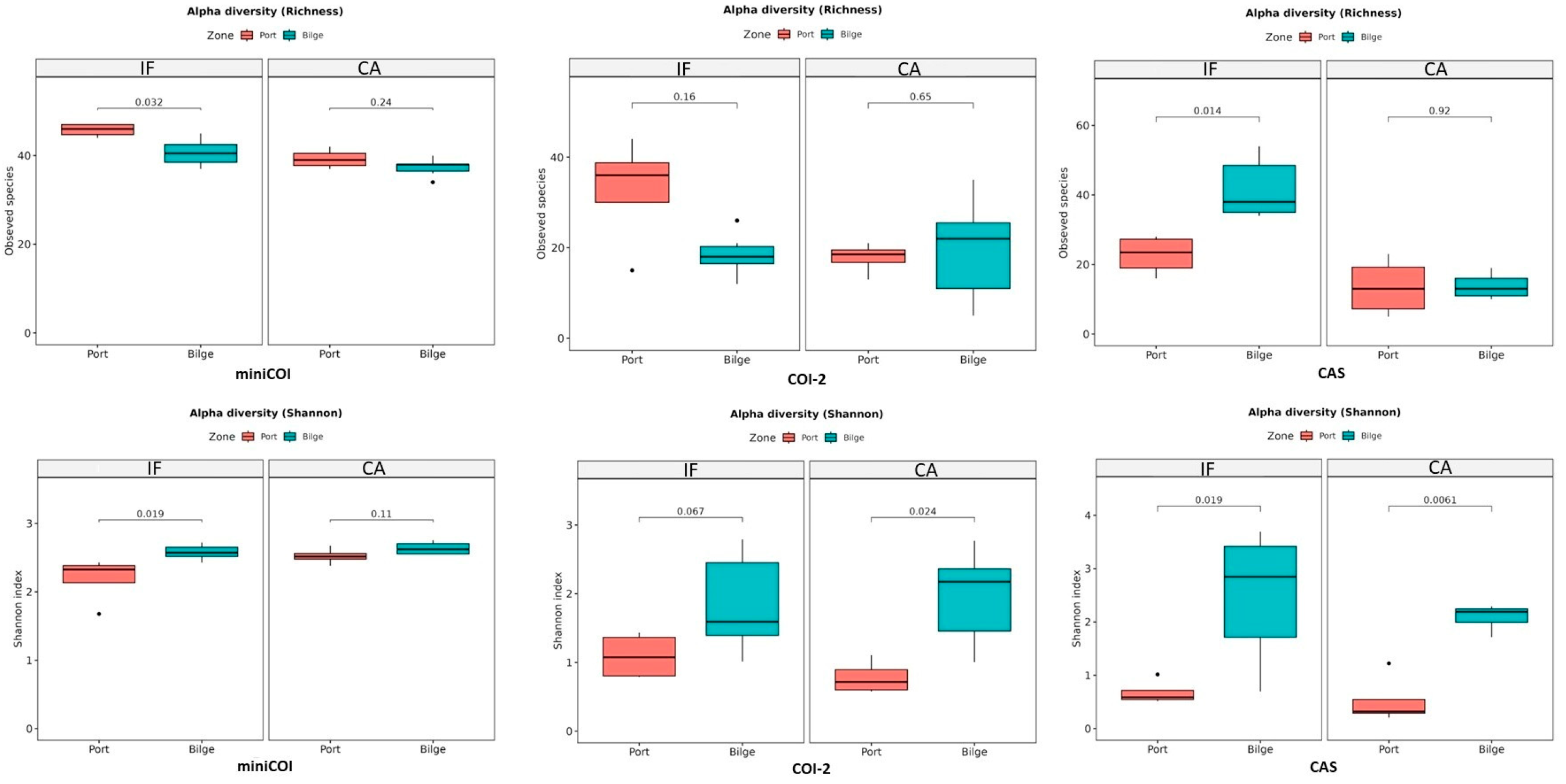
3. Results
4. Discussion
Supplementary Materials
Author Contributions
Funding
Institutional Review Board Statement
Data Availability Statement
Conflicts of Interest
References
- Katsanevakis, S.; Wallentinus, I.; Zenetos, A.; Leppäkoski, E.; Çinar, M.E.; Oztürk, B.; Grabowski, M.; Golani, D.; Cardoso, A.C. Impacts of marine invasive alien species on ecosystem services and biodiversity: A pan-European review. Aquat. Invasions 2014, 9, 391–423. [Google Scholar] [CrossRef]
- Neill, P.E.; Arim, M. Human Health Link to Invasive Species. Encycl. Environ. Health 2011, 116–123. [Google Scholar] [CrossRef]
- Shiganova, T.; Mirzoyan, Z.; Studenikina, E.; Volovik, S.; Siokou-Frangou, I.; Zervoudaki, S.; Christou, E.; Skirta, A.; Dumont, H. Population development of the invader ctenophore Mnemiopsis leidyi, in the Black Sea and in other seas of the Mediterranean basin. Mar. Biol. 2001, 139, 431–445. [Google Scholar] [CrossRef]
- Graham, W.M.; Gelcich, S.; Robinson, K.L.; Duarte, C.M.; Brotz, L.; Purcell, J.E.; Madin, L.P.; Mianzan, H.; Sutherland, K.R.; Uye, S.I.; et al. Linking Human Well-Being and Jellyfish: Ecosystem Services, Impacts, and Societal Response. Front. Ecol. Environ. 2014, 12, 515–523. [Google Scholar] [CrossRef]
- Brown, E.A.; Chain, F.J.J.; Zhan, A.; MacIsaac, H.J.; Cristescu, M.E. Early detection of aquatic invaders using metabarcoding reveals a high number of non-indigenous species in Canadian ports. Divers. Distrib. 2016, 22, 1045–1059. [Google Scholar] [CrossRef]
- Borrell, Y.J.; Miralles, L.; Do Huu, H.; Mohammed-Geba, K.; Garcia-Vazquez, E. DNA in a bottle—Rapid metabarcoding survey for early alerts of invasive species in ports. PLoS ONE 2017, 12, e0183347. [Google Scholar] [CrossRef] [PubMed]
- Tsiamis, K.; Palialexis, A.; Connor, D.; Antoniadis, S.; Bartilotti, C.; Bartolo, A.; Berggreen, U.C.; Boschetti, S.; Buschbaum, C.; Canning-Clode, J.; et al. Marine Strategy Framework Directive Descriptor 2, Non-Indigenous Species Delivering Solid Recommendations for Setting Threshold Values for Non-Indigenous Species Pressure on European Seas; EUR 30640EN; Publications Office of the European Union: Luxembourg, 2021; ISBN 978-92-76-32257-3. [Google Scholar]
- Magaletti, E.; Garaventa, F.; David, M.; Castriota, L.; Kraus, R.; Luna, G.M.; Silvestri, C.; Forte, C.; Bastianini, M.; Falautano, M.; et al. Developing and testing an Early Warning System for Non Indigenous Species and Ballast Water Management. J. Sea Res. 2018, 133, 100–111. [Google Scholar] [CrossRef]
- IMO. International Convention for the Control and Management of Ships’ Ballast Water and Sediments, 2004; International Maritime Organization: London, UK, 2004; 36p. [Google Scholar]
- Farrell, P.; Fletcher, R.L. An investigation of dispersal of the introduced brown alga Undaria pinnatifida (Harvey) Suringar and its competition with some species on the man-made structures of Torquay Marina (Devon, UK). J. Exp. Mar. Biol. Ecol. 2006, 334, 236–243. [Google Scholar] [CrossRef]
- Chapman, A.S. From introduced species to invader: What determines variation in the success of Codium fragile ssp. tomentosoides (Chlorophyta) in the North Atlantic Ocean? Helgol. Mar. Res. 1999, 52, 277–289. [Google Scholar] [CrossRef]
- Pyne, R. The black striped mussel (Mytilopsis sallei) infestation in Darwin: A clean-up strategy. EcoPorts Monogr. Ser. 1999, 19, 77–83. [Google Scholar]
- Johnson, L.E.; Ricciardi, A.; Carlton, J.T. Overland Dispersal of Aquatic Invasive Species: A Risk Assessment of Transient Recreational Boating. Ecol. Appl. 2001, 11, 1789–1799. [Google Scholar] [CrossRef]
- Occhipinti-Ambrogi, A.; Marchini, A.; Cantone, G.; Castelli, A.; Chimenz, C.; Cormaci, M.; Froglia, C.; Furnari, G.; Gambi, M.C.; Giaccone, G.; et al. Alien species along the Italian coasts: An overview. Biol. Invasions 2011, 13, 215–237. [Google Scholar] [CrossRef]
- Servello, G.; Andaloro, F.; Azzurro, E.; Castriota, L.; Catra, M.; Chiarore, A.; Crocetta, F.; D’Alessandro, M.; Denitto, F.; Froglia, C.; et al. Marine alien species in Italy: A contribution to the implementation of descriptor D2 of the marine strategy framework directive. Mediterr. Mar. Sci. 2019, 20, 1–48. [Google Scholar] [CrossRef]
- Galanidi, M.; Aissi, M.; Ali, M.; Ali, B.; Bariche, M.; Bartolo, A.; Bazairi, H.; Beqiraj, S.; Bilecenoglu, M.; Bugeja, M.; et al. Refined and Updated Non-Indigenous Species Baselines for the Mediterranean Sea at the National, Sub-Regional and National Level in the Context of the Barcelona Convention’s Integrated Monitoring and Assessment Programme (IMAP). In Proceedings of the 2nd Mediterranean Symposium on the Non-Indigenous Species, Genoa, Italy, 22–23 September 2022; Bouafif, C., Ouerghi, A., Eds.; SPA/RAC Publications: Tunis, Tunisia, 2022; pp. 5–10. [Google Scholar]
- Ulman, A.; Ferrario, J.; Occhipinti Ambrogi, A.; Arvanitidis, C.; Bandi a Bertolino, M.; Bogi, C.; Chatzigeorgiou, G.; Ciçek, B.A.; Deidun, A.; Ramosesplá, A.; et al. A massive update of non-indigenous species records in Mediterranean marinas. PeerJ 2017, 5, e3954. [Google Scholar] [CrossRef]
- Ferrario, J.; Marchini, A.; Caronni, S.; Occhipinti-Ambrogi, A. Role of commercial harbours and recreational marinas for the spread of fouling non-indigenous species. Biofouling 2017, 33, 651–660. [Google Scholar] [CrossRef]
- Coutts, A.D.; Taylor, M.D. A preliminary investigation of biosecurity risks associated with biofouling on merchant vessels in New Zealand. N. Z. J. Mar. Freshw. Res. 2004, 38, 215–229. [Google Scholar] [CrossRef]
- Gollasch, S. The importance of ship hull fouling as a vector of species introductions into the North Sea. Biofouling 2002, 18, 105–121. [Google Scholar] [CrossRef]
- Hopkins, G.A.; Forrest, B.M. A preliminary assessment of biofouling and non-indigenous marine species associated with commercial slow-moving vessels arriving in New Zealand. Biofouling 2010, 26, 613–621. [Google Scholar] [CrossRef]
- Mineur, F.; Johnson, M.; Maggs, C. Macroalgal introductions by hull fouling on recreational vessels: Seaweeds and sailors. Environ. Manag. 2008, 42, 667–676. [Google Scholar] [CrossRef]
- Sant, N.; Delgado, O.; Rodríguez-Prieto, C.; Ballesteros, E. The spreading of the introduced seaweed Caulerpa taxifolia (Vahl) C. Agardh in the Mediterranean Sea: Testing the boat transportation hypothesis. Bot. Mar. 1996, 39, 427–430. [Google Scholar] [CrossRef][Green Version]
- Schaffelke, B.; Deane, D. Desiccation tolerance of the introduced marine green alga Codium fragile ssp. tomentosoides—Clues for likely transport vectors? Biol. Invasions 2005, 7, 577–587. [Google Scholar] [CrossRef]
- Acosta, H.; Forrest, B.M. The spread of marine non-indigenous species via recreational boating: A conceptual model for risk assessment based on fault tree analysis. Ecol. Model. 2009, 220, 1586–1598. [Google Scholar] [CrossRef]
- Darbyson, E.; Locke, A.; Hanson, J.M.; Willison, J.M. Marine boating habits and the potential for spread of invasive species in the Gulf of St. Lawrence. Aquat. Invasions 2009, 4, 87–94. [Google Scholar] [CrossRef]
- Fletcher, L.M.; Zaiko, A.; Atalah, J.; Richter, I.; Dufour, C.M.; Pochon, X.; Wood, S.A.; Hopkins, G.A. Bilge water as a vector for the spread of marine pests: A morphological, metabarcoding and experimental assessment. Biol. Invasions 2017, 19, 2851–2867. [Google Scholar] [CrossRef]
- Holman, L.E.; de Bruyn, M.; Creer, S.; Carvalho, G.; Robidart, J.; Rius, M. Detection of introduced and resident marine species using environmental DNA metabarcoding of sediment and water. Sci. Rep. 2019, 9, 11559. [Google Scholar] [CrossRef] [PubMed]
- Deiner, K.; Bik, H.M.; Mächler, E.; Seymour, M.; Lacoursière-Roussel, A.; Altermatt, F.; Creer, S.; Bista, I.; Lodge, D.M.; De Vere, N.; et al. Environmental DNA metabarcoding: Transforming how we survey animal and plant communities. Mol. Ecol. 2017, 26, 5872–5895. [Google Scholar] [CrossRef] [PubMed]
- Taberlet, P.; Coissac, E.; Pompanon, F.; Brochmann, C.; Willerslev, E. Towards next-generation biodiversity assessment using DNA metabarcoding. Mol. Ecol. 2012, 21, 2045–2050. [Google Scholar] [CrossRef] [PubMed]
- Goldberg, C.S.; Turner, C.R.; Deiner, K.; Klymus, K.E.; Thomsen, P.F.; Murphy, M.A.; Spear, S.F.; McKee, A.; Oyler-McCance, S.J.; Cornman, R.S.; et al. Critical considerations for the application of environmental DNA methods to detect aquatic species. Methods Ecol. Evol. 2016, 7, 1299–1307. [Google Scholar] [CrossRef]
- Ficetola, G.F.; Miaud, C.; Pompanon, F.; Taberlet, P. Species detection using environmental DNA from water samples. Biol. Lett. 2008, 4, 423–425. [Google Scholar] [CrossRef]
- Dejean, T.; Valentini, A.; Miquel, C.; Taberlet, P.; Bellemain, E.; Miaud, C. Improved detection of an alien invasive species through environmental DNA barcoding: The example of the American bullfrog Lithobates catesbeianus. J. Appl. Ecol. 2012, 49, 953–959. [Google Scholar] [CrossRef]
- Tréguier, A.; Paillisson, J.M.; Dejean, T.; Valentini, A.; Schlaepfer, M.A.; Roussel, J.M. Environmental DNA surveillance for invertebrate species: Advantages and technical limitations to detect invasive crayfish Procambarus clarkii in freshwater ponds. J. Appl. Ecol. 2014, 51, 871–879. [Google Scholar] [CrossRef]
- Grey, E.K.; Bernatchez, L.; Cassey, P.; Deiner, K.; Deveney, M.; Howland, K.L.; Lacoursière-Roussel, A.; Leong, S.C.Y.; Li, Y.; Olds, B.; et al. Effects of sampling effort on biodiversity patterns estimated from environmental DNA metabarcoding surveys. Sci. Rep. 2018, 8, 8843. [Google Scholar] [CrossRef] [PubMed]
- Pochon, X.; Zaiko, A.; Fletcher, L.M.; Laroche, O.; Wood, S.A. Wanted dead or alive? Using metabarcoding of environmental DNA and RNA to distinguish living assemblages for biosecurity applications. PLoS ONE 2017, 12, e0187636. [Google Scholar] [CrossRef] [PubMed]
- Cillari, T.; Allegra, A.; Berto, D.; Bosch-Belmar, M.; Falautano, M.; Maggio, T.; Milisenda, G.; Perzia, P.; Rampazzo, F.; Sinopoli, M.; et al. Snapshot of the Distribution and Biology of Alien Jellyfish Cassiopea andromeda (Forsskål, 1775) in a Mediterranean Touristic Harbour. Biology 2022, 11, 319. [Google Scholar] [CrossRef] [PubMed]
- Arulandhu, A.J.; Staats, M.; Hagelaar, R.; Voorhuijzen, M.M.; Prins, T.W.; Scholtens, I.; Costessi, A.; Duijsings, D.; Rechenmann, F.; Gaspar, F.B.; et al. Development and validation of a multilocus DNA metabarcoding method to identify endangered species in complex samples. Gigascience 2017, 6, gix080. [Google Scholar] [CrossRef] [PubMed]
- Geller, J.; Meyer, C.; Parker, M.; Hawk, H. Redesign of PCR primers for mitochondrial cytochrome c oxidase subunit I for marine invertebrates and application in all-taxa biotic surveys. Mol. Ecol. Resour. 2013, 13, 851–861. [Google Scholar] [CrossRef] [PubMed]
- Maggio, T.; Allegra, A.; Bosch-Belmar, M.; Cillari, T.; Cuttitta, A.; Falautano, M.; Milisenda, G.; Nicosia, A.; Perzia, P.; Sinopoli, M.; et al. Molecular identity of the non-indigenous Cassiopea sp. from Palermo Harbour (central Mediterranean Sea). J. Mar. Biol. UK 2019, 99, 1765–1773. [Google Scholar] [CrossRef]
- Wood, D.E.; Salzberg, S.L. Kraken: Ultrafast metagenomic sequence classification using exact alignments. Genome Biol. 2014, 15, R46. [Google Scholar] [CrossRef]
- Minot, S.S.; Krumm, N.; Greenfield, N.B. One Codex: A Sensitive and Accurate Data Platform for Genomic Microbial Identification. bioRxiv 2015, 027607. [Google Scholar] [CrossRef]
- McMurdie, P.J.; Holmes, S. Phyloseq: An R Package for Reproducible Interactive Analysis and Graphics of Microbiome Census Data. PLoS ONE 2013, 8, e61217. [Google Scholar] [CrossRef]
- Tsiamis, K.; Palialexis, A.; Stefanova, K.; Gladan, Ž.N.; Skejić, S.; Despalatović, M.; Cvitković, I.; Dragičević, B.; Dulčić, J.; Vidjak, O.; et al. Non-indigenous species refined national baseline inventories: A synthesis in the context of the European Union’s Marine Strategy Framework Directive. Mar. Pollut. Bull. 2019, 145, 429–435. [Google Scholar] [CrossRef] [PubMed]
- Zepeda Mendoza, M.L.; Sicheritz-Pontén, T.; Gilbert, M.T.P. Environmental genes and genomes: Understanding the differences and challenges in the approaches and software for their analyses. Brief. Bioinform. 2015, 16, 745–758. [Google Scholar] [CrossRef] [PubMed]
- Boudouresque, C.F.; Meinesz, A.; Ribera, M.A.; Ballesteros, E. Spread of the green alga Caulerpa taxifolia (Caulerpales, Chlorophyta) in the Mediterranean: Possible consequences of a major ecological event. Sci. Mar. 1994, 59, 21–29. [Google Scholar]
- Meinesz, A.; de Vaugelas, J.; Hesse, B.; Man, X. Spread of the introduced tropical green alga Caulerpa taxifolia in northern Mediterranean waters. J. Appl. Phycol. 1993, 5, 141–147. [Google Scholar] [CrossRef]
- Breber, P. Introduction and Acclimatisation of the Pacific Carpet Clam, Tapes philippinarum, To Italian Waters. In Invasive Aquatic Species of Europe. Distribution, Impacts and Management; Leppäkoski, E., Gollasch, S., Olenin, S., Eds.; Springer: Dordrecht, The Netherlands, 2002. [Google Scholar] [CrossRef]
- Flassch, J.P.; Leborgne, Y. Introduction in Europe, from 1972 to 1980, of the Japanese Manila clam (Tapes philippinarum) and the effects on aquaculture production and natural settlement. ICES Mar. Sci. Symp. 1992, 194, 92–96. [Google Scholar]
- Borrell, Y.J.; Miralles, L.; Mártinez-Marqués, A.; Semeraro, A.; Arias, A.; Carleos, C.E.; García-Vázquez, E. Metabarcoding and post-sampling strategies to discover non-indigenous species: A case study in the estuaries of the central south Bay of Biscay. J. Nat. Conser. 2017, 42, 67–74. [Google Scholar] [CrossRef]
- Lacoursière-Roussel, A.; Howland, K.; Normandeau, E.; Grey, E.K.; Archambault, P.; Deiner, K.; Lodge, D.M.; Hernandez, C.; Leduc, N.; Bernatchez, L. eDNA metabarcoding as a new surveillance approach for coastal Arctic biodiversity. Ecol. Evol. 2018, 8, 7763–7777. [Google Scholar] [CrossRef]
- Ulman, A.; Ferrario, J.; Forcada, A.; Arvanitidis, C.; Occhipinti-Ambrogi, A.; Marchini, A. Hitchhiker’s guide to Mediterranean marina travel for alien species. J. Environ. Manag. 2019, 241, 328–339. [Google Scholar] [CrossRef]
- Comtet, T.; Sandionigi, A.; Viard, F.; Casiraghi, M. DNA (meta)barcoding of biological invasions: A powerful tool to elucidate invasion processes and help managing aliens. Biol. Invasions 2015, 17, 905–922. [Google Scholar] [CrossRef]
- Barnes, M.A.; Turner, C.R.; Jerde, C.L.; Renshaw, M.A.; Chadderton, W.L.; Lodge, D.M. Environmental conditions influence eDNA persistence in aquatic systems. Environ. Sci. Technol. 2014, 48, 1819–1827. [Google Scholar] [CrossRef]
- Pilliod, D.S.; Goldberg, C.S.; Arkle, R.S.; Waits, L.P. Estimating occupancy and abundance of stream amphibians using environmental DNA from filtered water samples. Can. J. Fish. Aquat. Sci. 2013, 70, 1123–1130. [Google Scholar] [CrossRef]
- Weigand, H.; Beermann, A.J.; Čiampor, F.; Costa, F.O.; Csabai, Z.; Duarte, S.; Geiger, M.F.; Grabowski, M.; Rimet, F.; Rulik, B.; et al. DNA barcode reference libraries for the monitoring of aquatic biota in Europe: Gap-analysis and recommendations for future work. Sci. Total Environ. 2019, 678, 499–524. [Google Scholar] [CrossRef] [PubMed]
- Duarte, S.; Leite, B.R.; Feio, M.J.; Costa, F.O.; Filipe, A.F. Integration of DNA-based approaches in aquatic ecological assessment using benthic macroinvertebrates. Water 2021, 13, 331. [Google Scholar] [CrossRef]
- Mugnai, F.; Meglécz, E.; Abbiati, M.; Bavestrello, G.; Bertasi, F.; Bo, M.; Capa, M.; Chenuil, A.; Colangelo, M.A.; De Clerck, O.; et al. Are well-studied marine biodiversity hotspots still blackspots for animal barcoding? Glob. Ecol. Conserv. 2021, 32, e01909. [Google Scholar] [CrossRef]
- Mugnai, F.; Costantini, F.; Chenuil, A.; Leduc, M.; Gutiérrez Ortega, J.M.; Meglécz, E. Be positive: Customized reference databases and new, local barcodes balance false taxonomic assignments in metabarcoding studies. PeerJ 2022, 11, e14616. [Google Scholar] [CrossRef]
- Wu, Y.; Colborne, S.F.; Charron, M.R.; Heath, D.D. Development and validation of targeted environmental DNA (eDNA) metabarcoding for early detection of 69 invasive fishes and aquatic invertebrates. Environ. DNA 2023, 5, 73–84. [Google Scholar] [CrossRef]
- Simmons, M.; Tucker, A.; Chadderton, W.; Jerde, C.; Mahon, A. Active and passive environmental DNA surveillance of aquatic invasive species. Can. J. Fish. Aquat. Sci. 2016, 73, 76–83. [Google Scholar] [CrossRef]
- Zaiko, A.; Samuiloviene, A.; Ardura, A.; Garcia-Vazquez, E. Metabarcoding approach for nonindigenous species surveillance in marine coastal waters. Mar. Pollut. Bull. 2015, 100, 53–59. [Google Scholar] [CrossRef]
- Simberloff, D. Biological invasions—How are they affecting us, and what can we do about them? W. N. Am. Nat. 2001, 61, 308–315. [Google Scholar]
- Rey, A.; Corell, J.; Rodriguez-Ezpeleta, N. Metabarcoding to study zooplankton diversity. Zooplankton Ecol. 2020, 11, 252–263. [Google Scholar] [CrossRef]





| PCR | Primer Name | Conc | Primer Sequence | Amplicon Lenght | Ref. |
|---|---|---|---|---|---|
| Mini COI | mlCOIintF | 0.2 μM | GGWACWGGWTGAACWGTWTAYCCYCC | 350 bp | [38] |
| jgHCO2198 | TAIACYTCIGGRTGICCRAARAAYCA | ||||
| COI-2 | jgLCO1490 | 0.2 μM | TITCIACIAAYCAYAARGAYATTGG | 600 bp | [39] |
| jgHCO2198 | TAIACYTCIGGRTGICCRAARAAYCA | ||||
| Ca | CasF | 1 μM | GGTTCTTCTCCACCAACCACAARGYATHGG | 600 bp | [40] |
| CasR | ATTTCTATCHGTTARYAACATTGTRAT |
| Target | OTUs Retrieved | % Species Level Match |
|---|---|---|
| miniCOI | 329 | 29.8 |
| COI-2 | 3730 | 28.9 |
| Cas | 2595 | 28.2 |
| N of Species | N of Marine Species | Extra Med Species | Extra Med Species Already in MED (NIS) | NIS Not Yet Recorded in Italy | |
|---|---|---|---|---|---|
| Mini COI | 90 | 81 | 29 | 7 | 2 |
| COI-2 | 654 | 306 | 180 | 18 | 8 |
| Cas | 470 | 168 | 126 | 10 | 6 |
| Non-Indigenous Species | Mini COI | COI 2 | Cas | New NIS for Italy | Food Contamination | |
|---|---|---|---|---|---|---|
| Algae | Asparagopsis taxiformis | x | ||||
| Algae | Bonnemaisonia hamifera | x | x | |||
| Algae | Grateloupia subpectinata | x | x | |||
| Algae | Herposiphonia parca | x | x | |||
| Algae | Kapraunia schneideri | x | ||||
| Algae | Sphaerotrichia divaricata | x | x | |||
| Cnidaria | Cassiopea ornata | x | x | |||
| Mollusca | Dosidicus gigas | x | ||||
| Mollusca | Mytilus edulis | x | x | x | x | |
| Mollusca | Mytilus trossulus | x | x | |||
| Mollusca | Sepia pharaonis | x | x | |||
| Annelids | Branchiomma boholense | x | ||||
| Annelids | Lysidice collaris | x | ||||
| Annelids | Polydora cornuta | x | ||||
| Crustacea | Penaeus brasiliensis | x | x | |||
| Crustacea | Penaeus monodon | x | x | x | ||
| Crustacea | Penaeus subtilis | x | x | |||
| Crustacea | Penaeus vannamei | x | x | x | x | |
| Crustacea | Solenocera crassicornis | x | x | |||
| Echinoderm | Acanthaster planci | x | ||||
| Tunicate | Styela plicata | x | ||||
| Pisces | Abudefduf bengalensis | x | x | |||
| Pisces | Carassius auratus | x | ||||
| Pisces | Clupea harengus | x | x | |||
| Pisces | Cyclopterus lumpus | x | x | |||
| Pisces | Gadus morhua | x | x | |||
| Pisces | Lagocephalus guentheri | x | x | |||
| Pisces | Merluccius gayi | x | x | |||
| Pisces | Rhabdosargus haffara | x | x | |||
| Pisces | Salmo salar | x | x | x | x | |
| Pisces | Scorpaena neglecta | x | x |
| Taxonomic Group | miniCOI | COI 2 | Cas |
|---|---|---|---|
| Algae | 11 | 64 | 62 |
| Porifera | 6 | 15 | 5 |
| Cnidaria | 4 | 30 | 21 |
| Mollusca | 5 | 28 | 12 |
| Annelids | 8 | 22 | 3 |
| Crustacea | 7 | 18 | 24 |
| Tunicate | 1 | 4 | 0 |
| Echinoderms | 4 | 20 | 8 |
| Pisces | 34 | 84 | 30 |
Disclaimer/Publisher’s Note: The statements, opinions and data contained in all publications are solely those of the individual author(s) and contributor(s) and not of MDPI and/or the editor(s). MDPI and/or the editor(s) disclaim responsibility for any injury to people or property resulting from any ideas, methods, instructions or products referred to in the content. |
© 2023 by the authors. Licensee MDPI, Basel, Switzerland. This article is an open access article distributed under the terms and conditions of the Creative Commons Attribution (CC BY) license (https://creativecommons.org/licenses/by/4.0/).
Share and Cite
Maggio, T.; Cattapan, F.; Falautano, M.; Julian, D.; Malinverni, R.; Poloni, E.; Sanseverino, W.; Todesco, S.; Castriota, L. eDNA Metabarcoding Analysis as Tool to Assess the Presence of Non-Indigenous Species (NIS): A Case Study in the Bilge Water. Diversity 2023, 15, 1117. https://doi.org/10.3390/d15111117
Maggio T, Cattapan F, Falautano M, Julian D, Malinverni R, Poloni E, Sanseverino W, Todesco S, Castriota L. eDNA Metabarcoding Analysis as Tool to Assess the Presence of Non-Indigenous Species (NIS): A Case Study in the Bilge Water. Diversity. 2023; 15(11):1117. https://doi.org/10.3390/d15111117
Chicago/Turabian StyleMaggio, Teresa, Federica Cattapan, Manuela Falautano, Daniel Julian, Roberto Malinverni, Elena Poloni, Walter Sanseverino, Sara Todesco, and Luca Castriota. 2023. "eDNA Metabarcoding Analysis as Tool to Assess the Presence of Non-Indigenous Species (NIS): A Case Study in the Bilge Water" Diversity 15, no. 11: 1117. https://doi.org/10.3390/d15111117
APA StyleMaggio, T., Cattapan, F., Falautano, M., Julian, D., Malinverni, R., Poloni, E., Sanseverino, W., Todesco, S., & Castriota, L. (2023). eDNA Metabarcoding Analysis as Tool to Assess the Presence of Non-Indigenous Species (NIS): A Case Study in the Bilge Water. Diversity, 15(11), 1117. https://doi.org/10.3390/d15111117

