Abstract
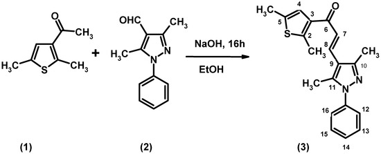
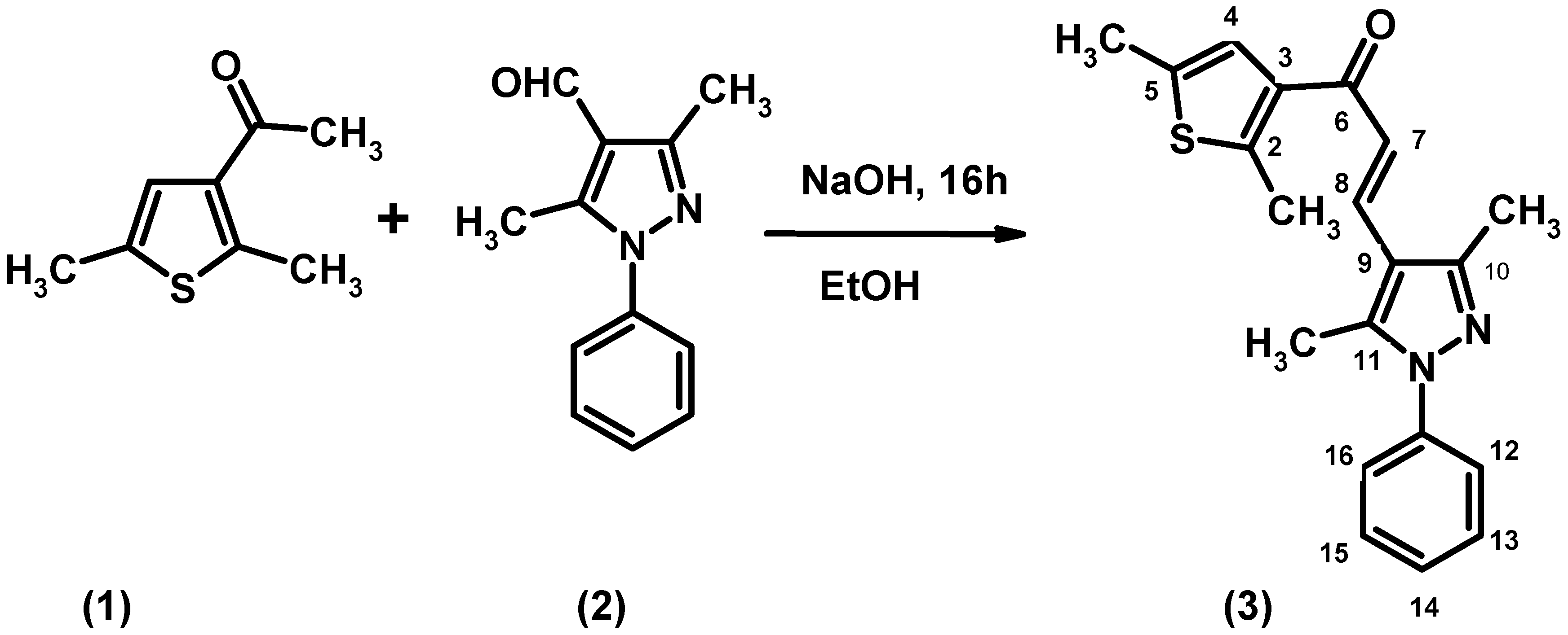
The title compound, (2E)-3-(3,5-dimethyl-1-phenyl-1H-pyrazol-4-yl)-1-(2,5-dimethyl-3-thienyl)prop-2-en-1-one (3) was synthesized in high yield by aldol condensation of 3-acetyl-2,5-dimethylthiophene and 3,5-dimethyl-1-phenylpyrazole-4-carboxaldehyde in ethanolic NaOH at room temperature. Its structure was fully characterized by elemental analysis, IR, 1H NMR, 13C NMR and EI-MS spectral analysis.
Chalcones are open-chain flavonoids with a common skeleton of 1,3-diaryl-2-propen-1-one [1]. They possess a wide range of biological activities such as antioxidant [2], antibacterial [3], antidepressant [4], antihypertensive [5] and anti-inflammatory activity [6]. Transformation of chalcones into pyrazoline derivatives can dramatically increase their biological properties such as antibacterial [7], antiprotozoal [8], or anti-inflammatory [9] activities. On the basis of these aspects we have synthesized a novel pyrazoline-based chalcone from 3-acetyl-2,5-dimethylthiophene and 3,5-dimethyl-1-phenylpyrazole-4-carboxaldehyde.
A solution of 3-acetyl-2,5-dimethylthiophene (0.38 g, 0.0025 mol) and 3,5-dimethyl-1-phenyl-pyrazole-4-carboxaldehyde (0.50 g, 0.0025 mol) in an ethanolic solution of NaOH (6.0 g in 10 mL of ethanol) was stirred for 16 h at room temperature. The solution was poured into ice-cold water of pH ~ 2 (pH adjusted by HCl). The solid was separated and dissolved in CH2Cl2, this solution was washed with a saturated solution of NaHCO3 and then evaporated to dryness. The residue was recrystallized from methanol/chloroform.
Light-yellow solid: yield: 78%; m.p. 111–112 °C.
EI-MS m/z (rel. int.%): 337 (65) [M+1]+,
IR (KBr) vmax cm–1: 3055 (Ar-H), 2918 (C-H), 1642 (C=O), 1575 (C=C).
1H NMR (DMSO-d6) (δ/ppm): 7.71 (d, 1H, J = 16.2 Hz, 8-CH), 7.35 (d, 1H, J = 16.0 Hz, 7-CH), 7.19 (s, 1H, thiophene 4-H), 7.24–6.93 (m, 5H, Ph), 2.65 (s, 3H, pyrazole 3-CH3), 2.44 (s, 3H, pyrazole 5-CH3), 2.37 (s, 3H, thiophene 2-CH3), 2.36 (s, 3H, thiophene 5-CH3).
13C NMR (150 MHz, CDCl3) δ: 185.43 (CO), 150.79 (10-C), 145.59, 140.04, 137.90, 136.00, 134.25, 133.86, 128.32, 127.74, 124.82, 123.89, 117.92, 114.32, 28.67, 14.92, 13.94, 11.96, 10.62.
Anal. calc. for C20H20N2OS: C, 71.40, H, 5.99, N, 8.33. Found: C, 71.36, H, 5.95, N, 8.28.
Supplementary materials
Supplementary File 1Supplementary File 2Supplementary File 3Acknowledgements
The authors would like to thank the Chemistry Department, King Abdul Aziz University, Jeddah, Saudi Arabia for providing the research facilities and the deanship of scientific research for the financial support of this work via Grant No. (3-045/430).
References and Notes
- Batovska, D.; Parushev, S.; Stamboliyska, B.; Tsvetkova, I.; Ninova, M.; Najdenski, H. Examination of growth inhibitory properties of synthetic chalcones for which antibacterial activity was predicted. Eur. J. Med. Chem. 2009, 44, 2211–2218. [Google Scholar] [CrossRef] [PubMed]
- Bandgar, B.P.; Gawande, S.S. Synthesis and biological screening of a combinatorial library of β-chlorovinyl chalcones as anticancer, anti-inflammatory and antimicrobial agents. Bior. Med. Chem. 2010, 18, 2060–2065. [Google Scholar] [CrossRef] [PubMed]
- Nielsen, S.F.; Boesen, T.; Larsen, M.; Schonning, K.; Kromann, H. Antibacterial chalcones –bioisosteric replacement of the 4′-hydroxy group. Bioorg. Med. Chem. 2004, 12, 3047–3054. [Google Scholar] [CrossRef] [PubMed]
- Ozdemir, Z.; Kandilci, H.B.; Gumusel, B.; Calıs, U.; Bilgin, A.A. Synthesis and studies on antidepressant and anticonvulsant activities of some 3-(2-furyl)-pyrazoline derivatives. Eur. J. Med. Chem. 2007, 42, 373–379. [Google Scholar] [CrossRef] [PubMed]
- Ansari, F.L.; Iftikhar, F.; Ihsan-ul-Haq; Mirza, B.; Baseer, M.; Rashid, U. Solid-phase synthesis and biological evaluation of a parallel library of 2,3-dihydro-1,5-benzothiazepines. Bioorg. Med. Chem. 2008, 16, 7691–7697. [Google Scholar] [CrossRef] [PubMed]
- Asiri, A.M.; Khan, S.A. (2E,2'E)-3,3-(1,4-Phenylene)bis[1-(2,5-dimethyl-3-thienyl)prop-2-en-1-one]. Molbank 2009, 2009, M636. [Google Scholar] [CrossRef]
- Holla, B.S.; Akberali, P.M.; Shivananda, M.K. Studies on arylfuran derivatives: Part X. Synthesis and antibacterial properties of arylfuryl-Δ2-pyrazolines. Il Farmaco 2000, 55, 256–263. [Google Scholar] [PubMed]
- Chimenti, F.; Bizzarri, B.; Manna, F.; Bolasco, A.; Secci, D.; Chimenti, P.; Granese, A.; Rivanera, D.; Lilli, D.; Scaltrito, M.M.; Brenciaglia, M.I. Synthesis and in vitro selective anti-Helicobacter pylori activity of pyrazoline derivatives. Bioorg. Med. Chem. Lett. 2005, 15, 603–607. [Google Scholar] [CrossRef] [PubMed]
- Manna, F.; Chimenti, F.; Bolasco, A.; Cenicola, M.L.; Amico, M.D.; Parrillo, C.; Rossi, F.; Marmo, E. Anti-inflammatory, analgesic and antipyretic N-acetyl-Δ2-pyrazolines and dihydro-thienocoumarines. Eur. J. Med. Chem. 1992, 27, 633–639. [Google Scholar] [CrossRef]
© 2010 by the authors; licensee MDPI, Basel, Switzerland. This article is an open-access article distributed under the terms and conditions of the Creative Commons Attribution license (http://creativecommons.org/licenses/by/3.0/).
