Epitranscriptomics Regulation of CD70, CD80, and TIGIT in Cancer Immunity
Abstract
1. Introduction
2. Results
2.1. Differential Expression in Pan-Cancer
2.1.1. m6A Writers and Their Role in CD70/CD80 Regulation
2.1.2. m6A Erasers and Their Role in Immune Regulation and Evasion
2.1.3. m6A Readers and the Regulation of Immune Checkpoints
2.1.4. TET2 Downregulation and Its Impact on TIGIT-Associated Immune Suppression
2.2. Functional Mechanisms and Roles of m6A/m5C/m1A Genes
2.3. Molecular Pathways and Protein-to-Protein Interaction Network
2.4. Construction of a Prognostic Signature Based on RNA Modification Regulators
2.5. Nomogram Construction for Individualized Survival Prediction
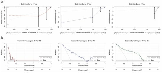
2.6. Nomogram Validation and Clinical Utility Evaluation
2.7. Cancer-Specific Prognostic Models Across Eight TCGA Cancer Types
2.7.1. Bladder Urothelial Carcinoma (BLCA)
2.7.2. Breast Invasive Carcinoma (BRCA)
2.7.3. Cervical Squamous Cell Carcinoma and Endocervical Adenocarcinoma (CESC)
2.7.4. Colon Adenocarcinoma (COAD)
2.7.5. Glioblastoma Multiforme (GBM)
2.7.6. Head and Neck Squamous Cell Carcinoma (HNSC)
2.7.7. Kidney Renal Clear Cell Carcinoma (KIRC)
2.7.8. Kidney Renal Papillary Cell Carcinoma (KIRP)
2.8. Single-Cell Expression Analysis of Prognostic RNA Modification Genes via TISCH2
2.8.1. Single-Cell Characterization of RNA Modification Genes in BLCA
2.8.2. Single-Cell Characterization of RNA Modification Genes in BRCA
2.8.3. Single-Cell Characterization of RNA Modification Genes in CESC
2.8.4. Single-Cell Resolution of RNA Modification Regulator Expression in KIRC
2.8.5. Single-Cell RNA-Seq Analysis of Prognostic RNA Modification Regulators in HNSC
2.8.6. Single-Cell Analysis of RNA Modification Regulator Expression in Glioma
3. Discussion
4. Materials and Methods
4.1. Data Acquisition
4.2. m6A/m1A/m5C Gene Expression
4.3. Gene Ontology (GO) and Kyoto Encyclopedia of Genes and Genomes (KEGG) Enrichment Analyses
4.4. The Protein Network of m6A/m1A/m5C Regulated Genes
4.5. TCGA-Based Expression Profiling and Survival Modeling
4.6. Single-Cell RNA-Seq Analysis
5. Conclusions
Supplementary Materials
Author Contributions
Funding
Institutional Review Board Statement
Informed Consent Statement
Data Availability Statement
Acknowledgments
Conflicts of Interest
References
- Singh, M.; Kumar, V.; Sehrawat, N.; Yadav, M.; Chaudhary, M.; Upadhyay, S.K.; Kumar, S.; Sharma, V.; Kumar, S.; Dilbaghi, N.; et al. Current Paradigms in Epigenetic Anticancer Therapeutics and Future Challenges. Semin. Cancer Biol. 2022, 83, 422–440. [Google Scholar] [CrossRef] [PubMed]
- Biswas, S.; Rao, C.M. Epigenetic Tools (The Writers, The Readers and The Erasers) and Their Implications in Cancer Therapy. Eur. J. Pharmacol. 2018, 837, 8–24. [Google Scholar] [CrossRef] [PubMed]
- Gillette, T.G.; Hill, J.A. Readers, Writers, and Erasers: Chromatin as the Whiteboard of Heart Disease. Circ. Res. 2015, 116, 1245–1253. [Google Scholar] [CrossRef] [PubMed]
- Robert, M.-F.; Morin, S.; Beaulieu, N.; Gauthier, F.; Chute, I.C.; Barsalou, A.; MacLeod, A.R. DNMT1 Is Required to Maintain CpG Methylation and Aberrant Gene Silencing in Human Cancer Cells. Nat. Genet. 2003, 33, 61–65. [Google Scholar] [CrossRef]
- Chen, T.; Hevi, S.; Gay, F.; Tsujimoto, N.; He, T.; Zhang, B.; Ueda, Y.; Li, E. Complete Inactivation of DNMT1 Leads to Mitotic Catastrophe in Human Cancer Cells. Nat. Genet. 2007, 39, 391–396. [Google Scholar] [CrossRef]
- Foulks, J.M.; Parnell, K.M.; Nix, R.N.; Chau, S.; Swierczek, K.; Saunders, M.; Wright, K.; Hendrickson, T.F.; Ho, K.-K.; McCullar, M.V.; et al. Epigenetic Drug Discovery: Targeting DNA Methyltransferases. J. Biomol. Screen. 2012, 17, 2–17. [Google Scholar] [CrossRef]
- Yu, X.; Zhao, H.; Wang, R.; Chen, Y.; Ouyang, X.; Li, W.; Sun, Y.; Peng, A. Cancer Epigenetics: From Laboratory Studies and Clinical Trials to Precision Medicine. Cell Death Discov. 2024, 10, 28. [Google Scholar] [CrossRef]
- Cohn, W.E.; Volkin, E. Nucleoside-5′-Phosphates from Ribonucleic Acid. Nature 1951, 167, 483–484. [Google Scholar] [CrossRef]
- Yao, R.-W.; Wang, Y.; Chen, L.-L. Cellular Functions of Long Noncoding RNAs. Nat. Cell Biol. 2019, 21, 542–551. [Google Scholar] [CrossRef]
- Gebert, L.F.R.; MacRae, I.J. Regulation of microRNA Function in Animals. Nat. Rev. Mol. Cell Biol. 2019, 20, 21–37. [Google Scholar] [CrossRef]
- Desrosiers, R.; Friderici, K.; Rottman, F. Identification of Methylated Nucleosides in Messenger RNA from Novikoff Hepatoma Cells. Proc. Natl. Acad. Sci. USA 1974, 71, 3971–3975. [Google Scholar] [CrossRef] [PubMed]
- Maden, B.E.H. Identification of the Locations of the Methyl Groups in 18 S Ribosomal RNA from Xenopus Laevis and Man. J. Mol. Biol. 1986, 189, 681–699. [Google Scholar] [CrossRef] [PubMed]
- Maden, B.E.H. Locations of Methyl Groups in 28 S rRNA of Xenopus Laevis and Man. J. Mol. Biol. 1988, 201, 289–314. [Google Scholar] [CrossRef] [PubMed]
- Qin, S.; Mao, Y.; Wang, H.; Duan, Y.; Zhao, L. The Interplay between m6A Modification and Non-Coding RNA in Cancer Stemness Modulation: Mechanisms, Signaling Pathways, and Clinical Implications. Int. J. Biol. Sci. 2021, 17, 2718–2736. [Google Scholar] [CrossRef]
- Liu, J.; Yue, Y.; Han, D.; Wang, X.; Fu, Y.; Zhang, L.; Jia, G.; Yu, M.; Lu, Z.; Deng, X.; et al. A METTL3–METTL14 Complex Mediates Mammalian Nuclear RNA N6-Adenosine Methylation. Nat. Chem. Biol. 2014, 10, 93–95. [Google Scholar] [CrossRef]
- Perry, R.P.; Kelley, D.E.; Friderici, K.; Rottman, F. The Methylated Constituents of L Cell Messenger RNA: Evidence for an Unusual Cluster at the 5′ Terminus. Cell 1975, 4, 387–394. [Google Scholar] [CrossRef]
- Dominissini, D.; Moshitch-Moshkovitz, S.; Schwartz, S.; Salmon-Divon, M.; Ungar, L.; Osenberg, S.; Cesarkas, K.; Jacob-Hirsch, J.; Amariglio, N.; Kupiec, M.; et al. Topology of the Human and Mouse m6A RNA Methylomes Revealed by m6A-Seq. Nature 2012, 485, 201–206. [Google Scholar] [CrossRef]
- Patil, D.P.; Chen, C.-K.; Pickering, B.F.; Chow, A.; Jackson, C.; Guttman, M.; Jaffrey, S.R. M6A RNA Methylation Promotes XIST-Mediated Transcriptional Repression. Nature 2016, 537, 369–373. [Google Scholar] [CrossRef]
- Jia, G.; Fu, Y.; Zhao, X.; Dai, Q.; Zheng, G.; Yang, Y.; Yi, C.; Lindahl, T.; Pan, T.; Yang, Y.-G.; et al. N6-Methyladenosine in Nuclear RNA Is a Major Substrate of the Obesity-Associated FTO. Nat. Chem. Biol. 2011, 7, 885–887. [Google Scholar] [CrossRef]
- Zheng, G.; Dahl, J.A.; Niu, Y.; Fedorcsak, P.; Huang, C.-M.; Li, C.J.; Vågbø, C.B.; Shi, Y.; Wang, W.-L.; Song, S.-H.; et al. ALKBH5 Is a Mammalian RNA Demethylase That Impacts RNA Metabolism and Mouse Fertility. Mol. Cell 2013, 49, 18–29. [Google Scholar] [CrossRef]
- Alarcón, C.R.; Goodarzi, H.; Lee, H.; Liu, X.; Tavazoie, S.; Tavazoie, S.F. HNRNPA2B1 Is a Mediator of m6A-Dependent Nuclear RNA Processing Events. Cell 2015, 162, 1299–1308. [Google Scholar] [CrossRef] [PubMed]
- Barbieri, I.; Kouzarides, T. Role of RNA Modifications in Cancer. Nat. Rev. Cancer 2020, 20, 303–322. [Google Scholar] [CrossRef] [PubMed]
- Schosserer, M.; Minois, N.; Angerer, T.B.; Amring, M.; Dellago, H.; Harreither, E.; Calle-Perez, A.; Pircher, A.; Gerstl, M.P.; Pfeifenberger, S.; et al. Methylation of Ribosomal RNA by NSUN5 Is a Conserved Mechanism Modulating Organismal Lifespan. Nat. Commun. 2015, 6, 6158. [Google Scholar] [CrossRef] [PubMed]
- Bohnsack, K.E.; Höbartner, C.; Bohnsack, M.T. Eukaryotic 5-Methylcytosine (m5C) RNA Methyltransferases: Mechanisms, Cellular Functions, and Links to Disease. Genes 2019, 10, 102. [Google Scholar] [CrossRef]
- Trixl, L.; Lusser, A. The Dynamic RNA Modification 5-Methylcytosine and Its Emerging Role as an Epitranscriptomic Mark. Wiley Interdiscip. Rev. RNA 2019, 10, e1510. [Google Scholar] [CrossRef]
- Yang, X.; Yang, Y.; Sun, B.-F.; Chen, Y.-S.; Xu, J.-W.; Lai, W.-Y.; Li, A.; Wang, X.; Bhattarai, D.P.; Xiao, W.; et al. 5-Methylcytosine Promotes mRNA Export—NSUN2 as the Methyltransferase and ALYREF as an m5C Reader. Cell Res. 2017, 27, 606–625. [Google Scholar] [CrossRef]
- Dominissini, D.; Nachtergaele, S.; Moshitch-Moshkovitz, S.; Peer, E.; Kol, N.; Ben-Haim, M.S.; Dai, Q.; Di Segni, A.; Salmon-Divon, M.; Clark, W.C.; et al. The Dynamic N1-Methyladenosine Methylome in Eukaryotic Messenger RNA. Nature 2016, 530, 441–446. [Google Scholar] [CrossRef]
- Dai, X.; Wang, T.; Gonzalez, G.; Wang, Y. Identification of YTH Domain-Containing Proteins as the Readers for N1-Methyladenosine in RNA. Anal. Chem. 2018, 90, 6380–6384. [Google Scholar] [CrossRef]
- Zhao, B.S.; Roundtree, I.A.; He, C. Post-Transcriptional Gene Regulation by mRNA Modifications. Nat. Rev. Mol. Cell Biol. 2017, 18, 31–42. [Google Scholar] [CrossRef]
- Li, X.; Ma, S.; Deng, Y.; Yi, P.; Yu, J. Targeting the RNA m6A Modification for Cancer Immunotherapy. Mol. Cancer 2022, 21, 76. [Google Scholar] [CrossRef]
- Lenschow, D.J.; Walunas, T.L.; Bluestone, J.A. CD28/B7 System of T Cell Costimulation. Annu. Rev. Immunol. 1996, 14, 233–258. [Google Scholar] [CrossRef] [PubMed]
- Nagai, S.; Azuma, M. The CD28-B7 Family of Co-Signaling Molecules. Adv. Exp. Med. Biol. 2019, 1189, 25–51. [Google Scholar] [CrossRef] [PubMed]
- Snanoudj, R.; Frangié, C.; Deroure, B.; François, H.; Créput, C.; Beaudreuil, S.; Dürrbach, A.; Charpentier, B. The Blockade of T-Cell Co-Stimulation as a Therapeutic Stratagem for Immunosuppression: Focus on Belatacept. Biologics 2007, 1, 203–213. [Google Scholar] [PubMed]
- Pardoll, D.M. The Blockade of Immune Checkpoints in Cancer Immunotherapy. Nat. Rev. Cancer 2012, 12, 252–264. [Google Scholar] [CrossRef]
- Linsley, P.S.; Brady, W.; Urnes, M.; Grosmaire, L.S.; Damle, N.K.; Ledbetter, J.A. CTLA-4 Is a Second Receptor for the B Cell Activation Antigen B7. J. Exp. Med. 1991, 174, 561–569. [Google Scholar] [CrossRef]
- Linsley, P.S.; Brady, W.; Grosmaire, L.; Aruffo, A.; Damle, N.K.; Ledbetter, J.A. Binding of the B Cell Activation Antigen B7 to CD28 Costimulates T Cell Proliferation and Interleukin 2 mRNA Accumulation. J. Exp. Med. 1991, 173, 721–730. [Google Scholar] [CrossRef]
- Du, Y.; Ma, Y.; Zhu, Q.; Liu, T.; Jiao, Y.; Yuan, P.; Wang, X. An m6A-Related Prognostic Biomarker Associated With the Hepatocellular Carcinoma Immune Microenvironment. Front. Pharmacol. 2021, 12, 707930. [Google Scholar] [CrossRef]
- Wang, L.; Zhang, S.; Li, H.; Xu, Y.; Wu, Q.; Shen, J.; Li, T.; Xu, Y. Quantification of m6A RNA Methylation Modulators Pattern Was a Potential Biomarker for Prognosis and Associated with Tumor Immune Microenvironment of Pancreatic Adenocarcinoma. BMC Cancer 2021, 21, 876. [Google Scholar] [CrossRef]
- Zhou, H.; Meng, M.; Wang, Z.; Zhang, H.; Yang, L.; Li, C.; Zhang, L. The Role of m5C-Related lncRNAs in Predicting Overall Prognosis and Regulating the Lower Grade Glioma Microenvironment. Front. Oncol. 2022, 12, 814742. [Google Scholar] [CrossRef]
- Zou, T.; Shi, D.; Wang, W.; Chen, G.; Zhang, X.; Tian, Y.; Gong, P. Identification of a New m6A Regulator-Related Methylation Signature for Predicting the Prognosis and Immune Microenvironment of Patients with Pancreatic Cancer. Mediat. Inflamm. 2023, 2023, 5565054. [Google Scholar] [CrossRef]
- Hou, X.; Dong, Q.; Hao, J.; Liu, M.; Ning, J.; Tao, M.; Wang, Z.; Guo, F.; Huang, D.; Shi, X.; et al. NSUN2-Mediated m5C Modification Drives Alternative Splicing Reprogramming and Promotes Multidrug Resistance in Anaplastic Thyroid Cancer through the NSUN2/SRSF6/UAP1 Signaling Axis. Theranostics 2025, 15, 2757–2777. [Google Scholar] [CrossRef] [PubMed]
- Liu, F.; Huang, J.; Liu, X.; Cheng, Q.; Luo, C.; Liu, Z. CTLA-4 Correlates with Immune and Clinical Characteristics of Glioma. Cancer Cell Int. 2020, 20, 7. [Google Scholar] [CrossRef] [PubMed]
- Boles, K.S.; Vermi, W.; Facchetti, F.; Fuchs, A.; Wilson, T.J.; Diacovo, T.G.; Cella, M.; Colonna, M. A Novel Molecular Interaction for the Adhesion of Follicular CD4 T Cells to Follicular DC. Eur. J. Immunol. 2009, 39, 695–703. [Google Scholar] [CrossRef] [PubMed]
- Stanietsky, N.; Simic, H.; Arapovic, J.; Toporik, A.; Levy, O.; Novik, A.; Levine, Z.; Beiman, M.; Dassa, L.; Achdout, H.; et al. The Interaction of TIGIT with PVR and PVRL2 Inhibits Human NK Cell Cytotoxicity. Proc. Natl. Acad. Sci. USA 2009, 106, 17858–17863. [Google Scholar] [CrossRef]
- Yu, X.; Harden, K.; Gonzalez, L.C.; Francesco, M.; Chiang, E.; Irving, B.; Tom, I.; Ivelja, S.; Refino, C.J.; Clark, H.; et al. The Surface Protein TIGIT Suppresses T Cell Activation by Promoting the Generation of Mature Immunoregulatory Dendritic Cells. Nat. Immunol. 2009, 10, 48–57. [Google Scholar] [CrossRef]
- Levin, S.D.; Taft, D.W.; Brandt, C.S.; Bucher, C.; Howard, E.D.; Chadwick, E.M.; Johnston, J.; Hammond, A.; Bontadelli, K.; Ardourel, D.; et al. Vstm3 Is a Member of the CD28 Family and an Important Modulator of T-Cell Function. Eur. J. Immunol. 2011, 41, 902–915. [Google Scholar] [CrossRef]
- Harjunpää, H.; Guillerey, C. TIGIT as an Emerging Immune Checkpoint. Clin. Exp. Immunol. 2020, 200, 108–119. [Google Scholar] [CrossRef]
- Johnston, R.J.; Comps-Agrar, L.; Hackney, J.; Yu, X.; Huseni, M.; Yang, Y.; Park, S.; Javinal, V.; Chiu, H.; Irving, B.; et al. The Immunoreceptor TIGIT Regulates Antitumor and Antiviral CD8+ T Cell Effector Function. Cancer Cell 2014, 26, 923–937. [Google Scholar] [CrossRef]
- Manieri, N.A.; Chiang, E.Y.; Grogan, J.L. TIGIT: A Key Inhibitor of the Cancer Immunity Cycle. Trends Immunol. 2017, 38, 20–28. [Google Scholar] [CrossRef]
- Dixon, K.O.; Schorer, M.; Nevin, J.; Etminan, Y.; Amoozgar, Z.; Kondo, T.; Kurtulus, S.; Kassam, N.; Sobel, R.A.; Fukumura, D.; et al. Functional Anti-TIGIT Antibodies Regulate Development of Autoimmunity and Antitumor Immunity. J. Immunol. 2018, 200, 3000–3007. [Google Scholar] [CrossRef]
- Xiao, W.; Adhikari, S.; Dahal, U.; Chen, Y.-S.; Hao, Y.-J.; Sun, B.-F.; Sun, H.-Y.; Li, A.; Ping, X.-L.; Lai, W.-Y.; et al. Nuclear m6A Reader YTHDC1 Regulates mRNA Splicing. Mol. Cell 2016, 61, 507–519. [Google Scholar] [CrossRef] [PubMed]
- Li, H.-B.; Tong, J.; Zhu, S.; Batista, P.J.; Duffy, E.E.; Zhao, J.; Bailis, W.; Cao, G.; Kroehling, L.; Chen, Y.; et al. m6A mRNA Methylation Controls T Cell Homeostasis by Targeting the IL-7/STAT5/SOCS Pathways. Nature 2017, 548, 338–342. [Google Scholar] [CrossRef] [PubMed]
- Ding, C.; Xu, H.; Yu, Z.; Roulis, M.; Qu, R.; Zhou, J.; Oh, J.; Crawford, J.; Gao, Y.; Jackson, R.; et al. RNA m6A Demethylase ALKBH5 Regulates the Development of Γδ T Cells. Proc. Natl. Acad. Sci. USA 2022, 119, e2203318119. [Google Scholar] [CrossRef] [PubMed]
- Zhang, L.; Dou, X.; Zheng, Z.; Ye, C.; Lu, T.X.; Liang, H.L.; Wang, L.; Weichselbaum, R.R.; He, C. YTHDF2/M6 A/NF-κB Axis Controls Anti-Tumor Immunity by Regulating Intratumoral Tregs. EMBO J. 2023, 42, e113126. [Google Scholar] [CrossRef]
- Han, D.; Liu, J.; Chen, C.; Dong, L.; Liu, Y.; Chang, R.; Huang, X.; Liu, Y.; Wang, J.; Dougherty, U.; et al. Anti-Tumour Immunity Controlled through mRNA m6A Methylation and YTHDF1 in Dendritic Cells. Nature 2019, 566, 270–274. [Google Scholar] [CrossRef]
- Liu, Z.; Wang, T.; She, Y.; Wu, K.; Gu, S.; Li, L.; Dong, C.; Chen, C.; Zhou, Y. N6-Methyladenosine-Modified circIGF2BP3 Inhibits CD8+ T-Cell Responses to Facilitate Tumor Immune Evasion by Promoting the Deubiquitination of PD-L1 in Non-Small Cell Lung Cancer. Mol. Cancer 2021, 20, 105. [Google Scholar] [CrossRef]
- Wan, W.; Ao, X.; Chen, Q.; Yu, Y.; Ao, L.; Xing, W.; Guo, W.; Wu, X.; Pu, C.; Hu, X.; et al. METTL3/IGF2BP3 Axis Inhibits Tumor Immune Surveillance by Upregulating N6-Methyladenosine Modification of PD-L1 mRNA in Breast Cancer. Mol. Cancer 2022, 21, 60. [Google Scholar] [CrossRef]
- Gao, Y.; Zou, T.; Xu, P.; Wang, Y.; Jiang, Y.; Chen, Y.-X.; Chen, H.; Hong, J.; Fang, J.-Y. Fusobacterium Nucleatum Stimulates Cell Proliferation and Promotes PD-L1 Expression via IFIT1-Related Signal in Colorectal Cancer. Neoplasia 2023, 35, 100850. [Google Scholar] [CrossRef]
- Wang, T.; Wang, S.; Li, Z.; Xie, J.; Jia, Q.; Hou, J. Integrative Machine Learning Model of RNA Modifications Predict Prognosis and Treatment Response in Patients with Breast Cancer. Cancer Cell Int. 2025, 25, 43. [Google Scholar] [CrossRef]
- Cui, L.; Ma, R.; Cai, J.; Guo, C.; Chen, Z.; Yao, L.; Wang, Y.; Fan, R.; Wang, X.; Shi, Y. RNA Modifications: Importance in Immune Cell Biology and Related Diseases. Signal Transduct. Target. Ther. 2022, 7, 334. [Google Scholar] [CrossRef]
- Uddin, M.B.; Wang, Z.; Yang, C. Epitranscriptomic RNA m6A Modification in Cancer Therapy Resistance: Challenges and Unrealized Opportunities. Adv. Sci. 2025, 12, 2403936. [Google Scholar] [CrossRef] [PubMed]
- Cerneckis, J.; Ming, G.-L.; Song, H.; He, C.; Shi, Y. The Rise of Epitranscriptomics: Recent Developments and Future Directions. Trends Pharmacol. Sci. 2024, 45, 24–38. [Google Scholar] [CrossRef] [PubMed]
- Alkhammash, A. Pharmacology of Epitranscriptomic Modifications: Decoding the Therapeutic Potential of RNA Modifications in Drug Resistance. Eur. J. Pharmacol. 2025, 994, 177397. [Google Scholar] [CrossRef] [PubMed]
- Dai, W.; Qiao, X.; Fang, Y.; Guo, R.; Bai, P.; Liu, S.; Li, T.; Jiang, Y.; Wei, S.; Na, Z.; et al. Epigenetics-Targeted Drugs: Current Paradigms and Future Challenges. Signal Transduct. Target. Ther. 2024, 9, 332. [Google Scholar] [CrossRef]
- Wang, L.; Hui, H.; Agrawal, K.; Kang, Y.; Li, N.; Tang, R.; Yuan, J.; Rana, T.M. m6A RNA Methyltransferases METTL3/14 Regulate Immune Responses to anti-PD-1 Therapy. EMBO J. 2020, 39, e104514. [Google Scholar] [CrossRef]
- He, P.C.; He, C. m6A RNA Methylation: From Mechanisms to Therapeutic Potential. EMBO J. 2021, 40, e105977. [Google Scholar] [CrossRef]
- Song, H.; Song, J.; Cheng, M.; Zheng, M.; Wang, T.; Tian, S.; Flavell, R.A.; Zhu, S.; Li, H.-B.; Ding, C.; et al. METTL3-Mediated m6A RNA Methylation Promotes the Anti-Tumour Immunity of Natural Killer Cells. Nat. Commun. 2021, 12, 5522. [Google Scholar] [CrossRef]
- Su, R.; Dong, L.; Li, Y.; Gao, M.; Han, L.; Wunderlich, M.; Deng, X.; Li, H.; Huang, Y.; Gao, L.; et al. Targeting FTO Suppresses Cancer Stem Cell Maintenance and Immune Evasion. Cancer Cell 2020, 38, 79–96.e11. [Google Scholar] [CrossRef]
- Mu, S.; Zhao, K.; Zhong, S.; Wang, Y. The Role of m6A Methylation in Tumor Immunity and Immune-Associated Disorder. Biomolecules 2024, 14, 1042. [Google Scholar] [CrossRef]
- Wang, X.; Zhao, B.S.; Roundtree, I.A.; Lu, Z.; Han, D.; Ma, H.; Weng, X.; Chen, K.; Shi, H.; He, C. N6-Methyladenosine Modulates Messenger RNA Translation Efficiency. Cell 2015, 161, 1388–1399. [Google Scholar] [CrossRef]
- Ye, X.; Lin, J.; Chen, Y.; Wang, X. IGF2BP1 Accelerates the Aerobic Glycolysis to Boost Its Immune Escape in Hepatocellular Carcinoma Microenvironment. Front. Immunol. 2024, 15, 1480834. [Google Scholar] [CrossRef] [PubMed]
- Jiang, S. Tet2 at the Interface between Cancer and Immunity. Commun. Biol. 2020, 3, 667. [Google Scholar] [CrossRef] [PubMed]
- Li, S.; Feng, J.; Wu, F.; Cai, J.; Zhang, X.; Wang, H.; Fetahu, I.S.; Iwanicki, I.; Ma, D.; Hu, T.; et al. TET 2 Promotes Anti-tumor Immunity by Governing G-MDSC s and CD 8+ T-cell Numbers. EMBO Rep. 2020, 21, e49425. [Google Scholar] [CrossRef] [PubMed]
- Zhou, Z.; Xu, J.; Liu, S.; Lv, Y.; Zhang, R.; Zhou, X.; Zhang, Y.; Weng, S.; Xu, H.; Ba, Y.; et al. Infiltrating Treg Reprogramming in the Tumor Immune Microenvironment and Its Optimization for Immunotherapy. Biomark. Res. 2024, 12, 97. [Google Scholar] [CrossRef]
- Elcheva, I.A.; Gowda, C.P.; Bogush, D.; Gornostaeva, S.; Fakhardo, A.; Sheth, N.; Kokolus, K.M.; Sharma, A.; Dovat, S.; Uzun, Y.; et al. IGF2BP Family of RNA-Binding Proteins Regulate Innate and Adaptive Immune Responses in Cancer Cells and Tumor Microenvironment. Front. Immunol. 2023, 14, 1224516. [Google Scholar] [CrossRef]
- Li, Y.; Jin, H.; Li, Q.; Shi, L.; Mao, Y.; Zhao, L. The Role of RNA Methylation in Tumor Immunity and Its Potential in Immunotherapy. Mol. Cancer 2024, 23, 130. [Google Scholar] [CrossRef]
- Peng, C.; Xiong, F.; Pu, X.; Hu, Z.; Yang, Y.; Qiao, X.; Jiang, Y.; Han, M.; Wang, D.; Li, X. m6A Methylation Modification and Immune Cell Infiltration: Implications for Targeting the Catalytic Subunit m6A-METTL Complex in Gastrointestinal Cancer Immunotherapy. Front. Immunol. 2023, 14, 1326031. [Google Scholar] [CrossRef]
- Xue, Y.; Lu, F.; Chang, Z.; Li, J.; Gao, Y.; Zhou, J.; Luo, Y.; Lai, Y.; Cao, S.; Li, X.; et al. Intermittent Dietary Methionine Deprivation Facilitates Tumoral Ferroptosis and Synergizes with Checkpoint Blockade. Nat. Commun. 2023, 14, 4758. [Google Scholar] [CrossRef]
- Alarcón, C.R.; Lee, H.; Goodarzi, H.; Halberg, N.; Tavazoie, S.F. N6-Methyladenosine Marks Primary microRNAs for Processing. Nature 2015, 519, 482–485. [Google Scholar] [CrossRef]
- Han, X.; Guo, J.; Fan, Z. Interactions between m6A Modification and miRNAs in Malignant Tumors. Cell Death Dis. 2021, 12, 598. [Google Scholar] [CrossRef]
- Du, Y.; Huang, L.; Long, M.; Wu, X.; Miao, J. WTAP-Mediated Abnormal m6A Modification Promotes Cancer Progression by Remodeling the Tumor Microenvironment: Bibliometric and Database Analyses. Transl. Cancer Res. 2024, 13, 952–974. [Google Scholar] [CrossRef] [PubMed]
- Tzaban, S.; Stern, O.; Zisman, E.; Eisenberg, G.; Klein, S.; Frankenburg, S.; Lotem, M. Alternative Splicing of Modulatory Immune Receptors in T Lymphocytes: A Newly Identified and Targetable Mechanism for Anticancer Immunotherapy. Front. Immunol. 2025, 15, 1490035. [Google Scholar] [CrossRef] [PubMed]
- Yin, N.; Li, X.; Zhang, X.; Xue, S.; Cao, Y.; Niedermann, G.; Lu, Y.; Xue, J. Development of Pharmacological Immunoregulatory Anti-Cancer Therapeutics: Current Mechanistic Studies and Clinical Opportunities. Signal Transduct. Target. Ther. 2024, 9, 126. [Google Scholar] [CrossRef] [PubMed]
- Wu, H.; Xu, H.; Huang, S.; Tang, Y.; Tang, J.; Zhou, H.; Xie, L.; Qiao, G. m6A-Binding Protein IGF2BP1 Promotes the Malignant Phenotypes of Lung Adenocarcinoma. Front. Oncol. 2022, 12, 989817. [Google Scholar] [CrossRef]
- Duan, M.; Liu, H.; Xu, S.; Yang, Z.; Zhang, F.; Wang, G.; Wang, Y.; Zhao, S.; Jiang, X. IGF2BPs as Novel m6A Readers: Diverse Roles in Regulating Cancer Cell Biological Functions, Hypoxia Adaptation, Metabolism, and Immunosuppressive Tumor Microenvironment. Genes Dis. 2024, 11, 890–920. [Google Scholar] [CrossRef]
- Qiu, L.; Jing, Q.; Li, Y.; Han, J. RNA Modification: Mechanisms and Therapeutic Targets. Mol. Biomed. 2023, 4, 25. [Google Scholar] [CrossRef]
- Khan, M.A.; Rafiq, M.A.; Noor, A.; Hussain, S.; Flores, J.V.; Rupp, V.; Vincent, A.K.; Malli, R.; Ali, G.; Khan, F.S.; et al. Mutation in NSUN2, Which Encodes an RNA Methyltransferase, Causes Autosomal-Recessive Intellectual Disability. Am. J. Hum. Genet. 2012, 90, 856–863. [Google Scholar] [CrossRef]
- Gu, X.; Ma, X.; Chen, C.; Guan, J.; Wang, J.; Wu, S.; Zhu, H. Vital Roles of m5C RNA Modification in Cancer and Immune Cell Biology. Front. Immunol. 2023, 14, 1207371. [Google Scholar] [CrossRef]
- Cao, X.; Geng, Q.; Fan, D.; Wang, Q.; Wang, X.; Zhang, M.; Zhao, L.; Jiao, Y.; Deng, T.; Liu, H.; et al. m6A Methylation: A Process Reshaping the Tumour Immune Microenvironment and Regulating Immune Evasion. Mol. Cancer 2023, 22, 42. [Google Scholar] [CrossRef]
- Han, X.; Zhu, Y.; Ke, J.; Zhai, Y.; Huang, M.; Zhang, X.; He, H.; Zhang, X.; Zhao, X.; Guo, K.; et al. Progression of m6A in the Tumor Microenvironment: Hypoxia, Immune and Metabolic Reprogramming. Cell Death Discov. 2024, 10, 331. [Google Scholar] [CrossRef]
- Guo, Y.; Heng, Y.; Chen, H.; Huang, Q.; Wu, C.; Tao, L.; Zhou, L. Prognostic Values of METTL3 and Its Roles in Tumor Immune Microenvironment in Pan-Cancer. J. Clin. Med. 2022, 12, 155. [Google Scholar] [CrossRef] [PubMed]
- Cai, X.; Wang, X.; Cao, C.; Gao, Y.; Zhang, S.; Yang, Z.; Liu, Y.; Zhang, X.; Zhang, W.; Ye, L. HBXIP-Elevated Methyltransferase METTL3 Promotes the Progression of Breast Cancer via Inhibiting Tumor Suppressor Let-7g. Cancer Lett. 2018, 415, 11–19. [Google Scholar] [CrossRef] [PubMed]
- Jin, H.; Ying, X.; Que, B.; Wang, X.; Chao, Y.; Zhang, H.; Yuan, Z.; Qi, D.; Lin, S.; Min, W.; et al. N6-Methyladenosine Modification of ITGA6 mRNA Promotes the Development and Progression of Bladder Cancer. eBioMedicine 2019, 47, 195–207. [Google Scholar] [CrossRef] [PubMed]
- Yang, F.; Jin, H.; Que, B.; Chao, Y.; Zhang, H.; Ying, X.; Zhou, Z.; Yuan, Z.; Su, J.; Wu, B.; et al. Dynamic m6A mRNA Methylation Reveals the Role of METTL3-m6A-CDCP1 Signaling Axis in Chemical Carcinogenesis. Oncogene 2019, 38, 4755–4772. [Google Scholar] [CrossRef]
- Li, R.; Yin, Y.-H.; Ji, X.-L.; Liu, X.; Li, J.-P.; Qu, Y.-Q. Pan-Cancer Prognostic, Immunity, Stemness, and Anticancer Drug Sensitivity Characterization of N6-Methyladenosine RNA Modification Regulators in Human Cancers. Front. Mol. Biosci. 2021, 8, 644620. [Google Scholar] [CrossRef]
- Wu, L.; Wu, D.; Ning, J.; Liu, W.; Zhang, D. Changes of N6-Methyladenosine Modulators Promote Breast Cancer Progression. BMC Cancer 2019, 19, 326. [Google Scholar] [CrossRef]
- Dong, X.-F.; Wang, Y.; Huang, B.-F.; Hu, G.-N.; Shao, J.-K.; Wang, Q.; Tang, C.-H.; Wang, C.-Q. Downregulated METTL14 Expression Correlates with Breast Cancer Tumor Grade and Molecular Classification. BioMed Res. Int. 2020, 2020, 8823270. [Google Scholar] [CrossRef]
- Gong, P.-J.; Shao, Y.-C.; Yang, Y.; Song, W.-J.; He, X.; Zeng, Y.-F.; Huang, S.-R.; Wei, L.; Zhang, J.-W. Analysis of N6-Methyladenosine Methyltransferase Reveals METTL14 and ZC3H13 as Tumor Suppressor Genes in Breast Cancer. Front. Oncol. 2020, 10, 578963. [Google Scholar] [CrossRef]
- Zhuo, Z.; Lu, H.; Zhu, J.; Hua, R.-X.; Li, Y.; Yang, Z.; Zhang, J.; Cheng, J.; Zhou, H.; Li, S.; et al. METTL14 Gene Polymorphisms Confer Neuroblastoma Susceptibility: An Eight-Center Case-Control Study. Mol. Ther.—Nucleic Acids 2020, 22, 17–26. [Google Scholar] [CrossRef]
- Lei, J.; Fan, Y.; Yan, C.; Jiamaliding, Y.; Tang, Y.; Zhou, J.; Huang, M.; Ju, G.; Wu, J.; Peng, C. Comprehensive Analysis about Prognostic and Immunological Role of WTAP in Pan-Cancer. Front. Genet. 2022, 13, 1007696. [Google Scholar] [CrossRef]
- Wei, C.; Wang, B.; Peng, D.; Zhang, X.; Li, Z.; Luo, L.; He, Y.; Liang, H.; Du, X.; Li, S.; et al. Pan-Cancer Analysis Shows That ALKBH5 Is a Potential Prognostic and Immunotherapeutic Biomarker for Multiple Cancer Types Including Gliomas. Front Immunol. 2022, 13, 849592, Erratum in Front. Immunol. 2022, 13, 944740. [Google Scholar] [CrossRef] [PubMed] [PubMed Central]
- Li, G.; Zhao, B.; Su, X.; Yang, Y.; Hu, P.; Zhou, X.; Hu, L. Discovering Consensus Regions for Interpretable Identification of RNA N6-Methyladenosine Modification Sites via Graph Contrastive Clustering. IEEE J. Biomed. Health Inform. 2024, 28, 2362–2372. [Google Scholar] [CrossRef] [PubMed]
- Klemm, S.L.; Shipony, Z.; Greenleaf, W.J. Chromatin Accessibility and the Regulatory Epigenome. Nat. Rev. Genet. 2019, 20, 207–220. [Google Scholar] [CrossRef] [PubMed]
- Kang, X.; Kim, J.; Deng, M.; John, S.; Chen, H.; Wu, G.; Phan, H.; Zhang, C.C. Inhibitory Leukocyte Immunoglobulin-like Receptors: Immune Checkpoint Proteins and Tumor Sustaining Factors. Cell Cycle 2016, 15, 25–40. [Google Scholar] [CrossRef]
- Chen, H.-M.; Van Der Touw, W.; Wang, Y.S.; Kang, K.; Mai, S.; Zhang, J.; Alsina-Beauchamp, D.; Duty, J.A.; Mungamuri, S.K.; Zhang, B.; et al. Blocking Immunoinhibitory Receptor LILRB2 Reprograms Tumor-Associated Myeloid Cells and Promotes Antitumor Immunity. J. Clin. Investig. 2018, 128, 5647–5662. [Google Scholar] [CrossRef]
- Deng, M.; Gui, X.; Kim, J.; Xie, L.; Chen, W.; Li, Z.; He, L.; Chen, Y.; Chen, H.; Luo, W.; et al. LILRB4 Signalling in Leukaemia Cells Mediates T Cell Suppression and Tumour Infiltration. Nature 2018, 562, 605–609. [Google Scholar] [CrossRef]
- Li, N.; Kang, Y.; Wang, L.; Huff, S.; Tang, R.; Hui, H.; Agrawal, K.; Gonzalez, G.M.; Wang, Y.; Patel, S.P.; et al. ALKBH5 Regulates Anti–PD-1 Therapy Response by Modulating Lactate and Suppressive Immune Cell Accumulation in Tumor Microenvironment. Proc. Natl. Acad. Sci. USA 2020, 117, 20159–20170. [Google Scholar] [CrossRef]
- Yankova, E.; Blackaby, W.; Albertella, M.; Rak, J.; De Braekeleer, E.; Tsagkogeorga, G.; Pilka, E.S.; Aspris, D.; Leggate, D.; Hendrick, A.G.; et al. Small-Molecule Inhibition of METTL3 as a Strategy against Myeloid Leukaemia. Nature 2021, 593, 597–601. [Google Scholar] [CrossRef]
- Deng, X.; Jiang, Q.; Liu, Z.; Chen, W. Clinical Significance of an m6A Reader Gene, IGF2BP2, in Head and Neck Squamous Cell Carcinoma. Front. Mol. Biosci. 2020, 7, 68. [Google Scholar] [CrossRef]
- Ji, R.; Wu, C.; Yao, J.; Xu, J.; Lin, J.; Gu, H.; Fu, M.; Zhang, X.; Li, Y.; Zhang, X. IGF2BP2-Meidated m6A Modification of CSF2 Reprograms MSC to Promote Gastric Cancer Progression. Cell Death Dis. 2023, 14, 693. [Google Scholar] [CrossRef]
- Pu, X.; Wu, Y.; Long, W.; Sun, X.; Yuan, X.; Wang, D.; Wang, X.; Xu, M. The m6A Reader IGF2BP2 Promotes Pancreatic Cancer Progression through the m6A-SLC1A5-mTORC1 Axis. Cancer Cell Int. 2025, 25, 122. [Google Scholar] [CrossRef] [PubMed]
- Luo, Y.; Zeng, C.; Ouyang, Z.; Zhu, W.; Wang, J.; Chen, Z.; Xiao, C.; Wu, G.; Li, L.; Qian, Y.; et al. YTH Domain Family Protein 3 Accelerates Non-Small Cell Lung Cancer Immune Evasion through Targeting CD8+ T Lymphocytes. Cell Death Discov. 2024, 10, 320. [Google Scholar] [CrossRef] [PubMed]
- Milan, T.M.; Eskenazi, A.P.E.; Oliveira, L.D.D.; Silva, G.D.; Bighetti-Trevisan, R.L.; Freitas, G.P.; Almeida, L.O. Interplay between EZH2/β-Catenin in Stemness of Cisplatin-Resistant HNSCC and Their Role as Therapeutic Targets. Cell. Signal. 2023, 109, 110773. [Google Scholar] [CrossRef] [PubMed]
- Park, S.H.; Ju, J.-S.; Woo, H.; Yun, H.J.; Lee, S.B.; Kim, S.-H.; Győrffy, B.; Kim, E.; Kim, H.; Han, H.D.; et al. The m6A Writer RBM15 Drives the Growth of Triple-Negative Breast Cancer Cells through the Stimulation of Serine and Glycine Metabolism. Exp. Mol. Med. 2024, 56, 1373–1387. [Google Scholar] [CrossRef]
- Miao, S.; Li, H.; Song, X.; Liu, Y.; Wang, G.; Kan, C.; Ye, Y.; Liu, R.-J.; Li, H.-B. tRNA m1A Modification Regulates Cholesterol Biosynthesis to Promote Antitumor Immunity of CD8+ T Cells. J. Exp. Med. 2025, 222, e20240559. [Google Scholar] [CrossRef]
- Qi, Q.; Zhong, R.; Huang, Y.; Tang, Y.; Zhang, X.; Liu, C.; Gao, C.; Zhou, L.; Yu, J.; Wu, L. The RNA M5C Methyltransferase NSUN2 Promotes Progression of Hepatocellular Carcinoma by Enhancing PKM2-Mediated Glycolysis. Cell Death Dis. 2025, 16, 82. [Google Scholar] [CrossRef]
- Chen, J.-J.; Lu, T.-Z.; Wang, T.; Yan, W.-H.; Zhong, F.-Y.; Qu, X.-H.; Gong, X.-C.; Li, J.-G.; Tou, F.-F.; Jiang, L.-P.; et al. The m6A Reader HNRNPC Promotes Glioma Progression by Enhancing the Stability of IRAK1 mRNA through the MAPK Pathway. Cell Death Dis. 2024, 15, 390. [Google Scholar] [CrossRef]
- Baldi, S.; Amer, B.; Alnadari, F.; AL-Mogahed, M.; Gao, Y.; Gamallat, Y. The Prognostic and Therapeutic Potential of Fragile X Mental Retardation 1 (FMR1) Gene Expression in Prostate Adenocarcinoma: Insights into Survival Outcomes and Oncogenic Pathway Modulation. Int. J. Mol. Sci. 2024, 25, 7290. [Google Scholar] [CrossRef]
- Janin, M.; Ortiz-Barahona, V.; De Moura, M.C.; Martínez-Cardús, A.; Llinàs-Arias, P.; Soler, M.; Nachmani, D.; Pelletier, J.; Schumann, U.; Calleja-Cervantes, M.E.; et al. Epigenetic Loss of RNA-Methyltransferase NSUN5 in Glioma Targets Ribosomes to Drive a Stress Adaptive Translational Program. Acta Neuropathol. 2019, 138, 1053–1074. [Google Scholar] [CrossRef]
- Wang, X.; Xu, H.; Zhou, Z.; Guo, S.; Chen, R. IGF2BP2 Maybe a Novel Prognostic Biomarker in Oral Squamous Cell Carcinoma. Biosci. Rep. 2022, 42, BSR20212119. [Google Scholar] [CrossRef]
- Salih, M.M.; Weindel, C.G.; Malekos, E.; Sudek, L.; Katzman, S.; Mabry, C.J.; Coleman, A.K.; Azam, S.; Watson, R.; Patrick, K.; et al. The RNA Binding Protein, HNRNPA2B1, Regulates IFNG Signaling in Macrophages. bioRxiv 2023. [Google Scholar] [CrossRef]
- Wang, Y.; Wang, J.; Li, X.; Xiong, X.; Wang, J.; Zhou, Z.; Zhu, X.; Gu, Y.; Dominissini, D.; He, L.; et al. N1-Methyladenosine Methylation in tRNA Drives Liver Tumourigenesis by Regulating Cholesterol Metabolism. Nat. Commun. 2021, 12, 6314. [Google Scholar] [CrossRef] [PubMed]
- Su, Z.; Monshaugen, I.; Wilson, B.; Wang, F.; Klungland, A.; Ougland, R.; Dutta, A. TRMT6/61A-Dependent Base Methylation of tRNA-Derived Fragments Regulates Gene-Silencing Activity and the Unfolded Protein Response in Bladder Cancer. Nat. Commun. 2022, 13, 2165. [Google Scholar] [CrossRef] [PubMed]
- Rong, S.; Dai, B.; Yang, C.; Lan, Z.; Wang, L.; Xu, L.; Chen, W.; Chen, J.; Wu, Z. HNRNPC Modulates PKM Alternative Splicing via m6A Methylation, Upregulating PKM2 Expression to Promote Aerobic Glycolysis in Papillary Thyroid Carcinoma and Drive Malignant Progression. J. Transl. Med. 2024, 22, 914. [Google Scholar] [CrossRef]
- Li, J.; Jiang, Y.; Ma, M.; Wang, L.; Jing, M.; Yang, Z.; Wang, L.; Qiu, Q.; Song, R.; Pu, Y.; et al. IGF2BP2 Shapes the Tumor Microenvironment by Regulating Monocyte and Macrophage Recruitment in Bladder Cancer. Cancer Med. 2024, 13, e70506. [Google Scholar] [CrossRef]
- Sha, C.; Chen, L.; Lin, L.; Li, T.; Wei, H.; Yang, M.; Gao, W.; Zhao, D.; Chen, Q.; Liu, Y.; et al. TRDMT1 Participates in the DNA Damage Repair of Granulosa Cells in Premature Ovarian Failure. Aging 2021, 13, 15193–15213. [Google Scholar] [CrossRef]
- Liu, C.-J.; Hu, F.-F.; Xia, M.-X.; Han, L.; Zhang, Q.; Guo, A.-Y. GSCALite: A Web Server for Gene Set Cancer Analysis. Bioinformatics 2018, 34, 3771–3772. [Google Scholar] [CrossRef]
- Liu, C.-J.; Hu, F.-F.; Xie, G.-Y.; Miao, Y.-R.; Li, X.-W.; Zeng, Y.; Guo, A.-Y. GSCA: An Integrated Platform for Gene Set Cancer Analysis at Genomic, Pharmacogenomic and Immunogenomic Levels. Brief. Bioinform. 2023, 24, bbac558. [Google Scholar] [CrossRef]
- Zhicheng Ji, H.J. GSCA 2017.
- Chen, D.; Xu, L.; Xing, H.; Shen, W.; Song, Z.; Li, H.; Zhu, X.; Li, X.; Wu, L.; Jiao, H.; et al. Sangerbox 2: Enhanced Functionalities and Update for a Comprehensive Clinical Bioinformatics Data Analysis Platform. iMeta 2024, 3, e238. [Google Scholar] [CrossRef]
- Shen, W.; Song, Z.; Zhong, X.; Huang, M.; Shen, D.; Gao, P.; Qian, X.; Wang, M.; He, X.; Wang, T.; et al. Sangerbox: A Comprehensive, Interaction-friendly Clinical Bioinformatics Analysis Platform. iMeta 2022, 1, e36. [Google Scholar] [CrossRef]
- Rigopoulos, C.; Georgakopoulos-Soares, I.; Zaravinos, A. A Multi-Omics Analysis of an Exhausted T Cells’ Molecular Signature in Pan-Cancer. J. Pers. Med. 2024, 14, 765. [Google Scholar] [CrossRef] [PubMed]
- Chen, E.Y.; Tan, C.M.; Kou, Y.; Duan, Q.; Wang, Z.; Meirelles, G.V.; Clark, N.R.; Ma’ayan, A. Enrichr: Interactive and Collaborative HTML5 Gene List Enrichment Analysis Tool. BMC Bioinform. 2013, 14, 128. [Google Scholar] [CrossRef] [PubMed]
- Kuleshov, M.V.; Jones, M.R.; Rouillard, A.D.; Fernandez, N.F.; Duan, Q.; Wang, Z.; Koplev, S.; Jenkins, S.L.; Jagodnik, K.M.; Lachmann, A.; et al. Enrichr: A Comprehensive Gene Set Enrichment Analysis Web Server 2016 Update. Nucleic Acids Res. 2016, 44, W90–W97. [Google Scholar] [CrossRef] [PubMed]
- Xie, Z.; Bailey, A.; Kuleshov, M.V.; Clarke, D.J.B.; Evangelista, J.E.; Jenkins, S.L.; Lachmann, A.; Wojciechowicz, M.L.; Kropiwnicki, E.; Jagodnik, K.M.; et al. Gene Set Knowledge Discovery with Enrichr. Curr. Protoc. 2021, 1, e90. [Google Scholar] [CrossRef]
- Otasek, D.; Morris, J.H.; Bouças, J.; Pico, A.R.; Demchak, B. Cytoscape Automation: Empowering Workflow-Based Network Analysis. Genome Biol. 2019, 20, 185. [Google Scholar] [CrossRef]
- Szklarczyk, D.; Kirsch, R.; Koutrouli, M.; Nastou, K.; Mehryary, F.; Hachilif, R.; Gable, A.L.; Fang, T.; Doncheva, N.T.; Pyysalo, S.; et al. The STRING Database in 2023: Protein–Protein Association Networks and Functional Enrichment Analyses for Any Sequenced Genome of Interest. Nucleic Acids Res. 2023, 51, D638–D646. [Google Scholar] [CrossRef]









Disclaimer/Publisher’s Note: The statements, opinions and data contained in all publications are solely those of the individual author(s) and contributor(s) and not of MDPI and/or the editor(s). MDPI and/or the editor(s) disclaim responsibility for any injury to people or property resulting from any ideas, methods, instructions or products referred to in the content. |
© 2025 by the authors. Licensee MDPI, Basel, Switzerland. This article is an open access article distributed under the terms and conditions of the Creative Commons Attribution (CC BY) license (https://creativecommons.org/licenses/by/4.0/).
Share and Cite
Rigopoulos, C.P.; Gkoris, M.; Georgakopoulos-Soares, I.; Boulalas, I.; Zaravinos, A. Epitranscriptomics Regulation of CD70, CD80, and TIGIT in Cancer Immunity. Int. J. Mol. Sci. 2025, 26, 5772. https://doi.org/10.3390/ijms26125772
Rigopoulos CP, Gkoris M, Georgakopoulos-Soares I, Boulalas I, Zaravinos A. Epitranscriptomics Regulation of CD70, CD80, and TIGIT in Cancer Immunity. International Journal of Molecular Sciences. 2025; 26(12):5772. https://doi.org/10.3390/ijms26125772
Chicago/Turabian StyleRigopoulos, Christos Panagiotis, Marios Gkoris, Ilias Georgakopoulos-Soares, Ioannis Boulalas, and Apostolos Zaravinos. 2025. "Epitranscriptomics Regulation of CD70, CD80, and TIGIT in Cancer Immunity" International Journal of Molecular Sciences 26, no. 12: 5772. https://doi.org/10.3390/ijms26125772
APA StyleRigopoulos, C. P., Gkoris, M., Georgakopoulos-Soares, I., Boulalas, I., & Zaravinos, A. (2025). Epitranscriptomics Regulation of CD70, CD80, and TIGIT in Cancer Immunity. International Journal of Molecular Sciences, 26(12), 5772. https://doi.org/10.3390/ijms26125772

