Complex Hippocampal Response to Thermal Skin Injury and Protocols with Hyperbaric Oxygen Therapy and Filipendula ulmaria Extract in Rats
Abstract
1. Introduction
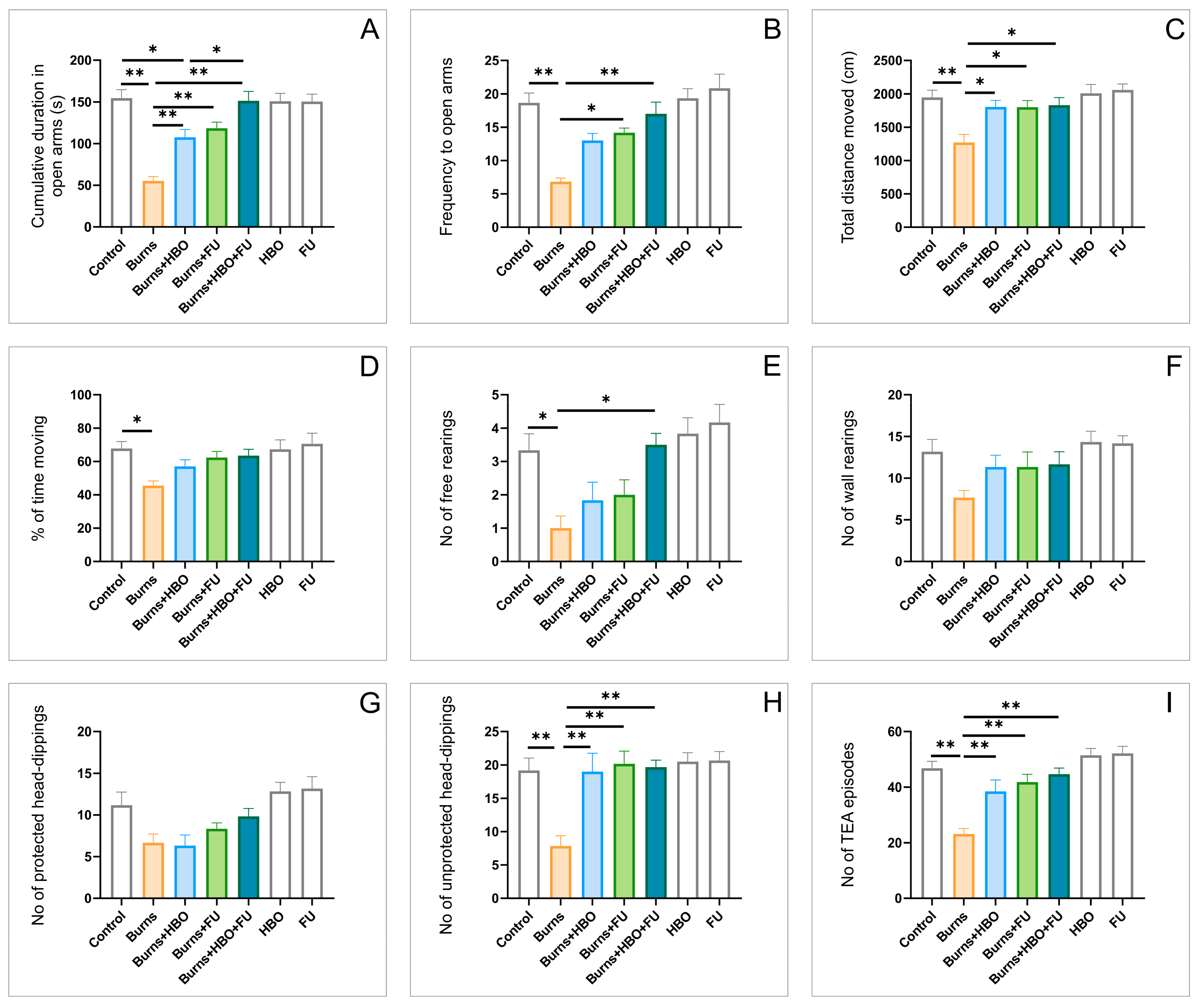
2. Results
3. Discussion
4. Materials and Methods
4.1. Housing
4.2. Treatment
4.2.1. Thermal Skin Injury Experimental Model
4.2.2. Hyperbaric Oxygen Treatment (HBO) and Antioxidant Supplementation with Filipendula ulmaria (FU) Extract
4.3. Anxiety Level Estimation
4.4. Hippocampal RNA Isolation and Real-Time PCR Analysis
4.5. Statistical Analysis
5. Conclusions
Supplementary Materials
Author Contributions
Funding
Institutional Review Board Statement
Informed Consent Statement
Data Availability Statement
Acknowledgments
Conflicts of Interest
References
- Brink, C.; Isaacs, Q.; Scriba, M.F.; Nathire, M.E.H.; Rode, H.; Martinez, R. Infant burns: A single institution retrospective review. Burns 2019, 45, 1518–1527. [Google Scholar] [CrossRef]
- Ademola, S.A.; Michael, A.I.; Iyun, A.O.; Isamah, C.P.; Aderibigbe, R.O.; Olawoye, O.A.; Oluwatosin, O.M. Current Trend in The Epidemiology of Thermal Burn Injury at a Tertiary Hospital in South Western Nigeria. J. Burn. Care Res. 2023, 45, 190–199. [Google Scholar] [CrossRef]
- Stokes, M.A.R.; Johnson, W.D. Burns in the Third World: An unmet need. Ann. Burns Fire Disasters 2017, 30, 243–246. [Google Scholar] [PubMed]
- Jeschke, M.G.; van Baar, M.E.; Choudhry, M.A.; Chung, K.K.; Gibran, N.S.; Logsetty, S. Burn injury. Nat. Rev. Dis. Primers 2020, 6, 11. [Google Scholar] [CrossRef] [PubMed]
- Chen, J.; Zhang, D.; Zhang, J.; Wang, Y. Pathological changes in the brain after peripheral burns. Burns Trauma 2023, 11, tkac061. [Google Scholar] [CrossRef] [PubMed]
- Xie, C.; Hu, J.; Cheng, Y.; Yao, Z. Researches on cognitive sequelae of burn injury: Current status and advances. Front. Neurosci. 2022, 16, 1026152. [Google Scholar] [CrossRef] [PubMed]
- Kavan, M.G.; Elsasser, G.; Barone, E.J. Generalized anxiety disorder: Practical assessment and management. Am. Fam. Physician 2009, 79, 785–791. [Google Scholar] [PubMed]
- Jain, M.; Khadilkar, N.; De Sousa, A. Burn-related factors affecting anxiety, depression and self-esteem in burn patients: An exploratory study. Ann. Burns Fire Disasters 2017, 30, 30–34. [Google Scholar] [PubMed]
- Bhatti, D.S.; Ul Ain, N.; Zulkiffal, R.; Al-Nabulsi, Z.S.; Faraz, A.; Ahmad, R. Anxiety and Depression Among Non-Facial Burn Patients at a Tertiary Care Center in Pakistan. Cureus 2020, 12, e11347. [Google Scholar] [CrossRef]
- Van Loey, N.E.; van Beeck, E.F.; Faber, B.W.; van de Schoot, R.; Bremer, M. Health-related quality of life after burns: A prospective multicenter cohort study with 18 months follow-up. J. Trauma. Acute Care Surg. 2010, 72, 513–520. [Google Scholar] [CrossRef]
- Morris, L.D.; Louw, Q.A.; Crous, L.C. Feasibility and potential effect of a low-cost virtual reality system on reducing pain and anxiety in adult burn injury patients during physiotherapy in a developing country. Burns 2010, 36, 659–664. [Google Scholar] [CrossRef]
- Alvi, T.; Assad, F.; Malik, M.A. Anxiety and depression in burn patients. J. Ayub Med. Coll. Abbottabad 2009, 21, 137–141. [Google Scholar] [PubMed]
- Rowan, M.P.; Cancio, L.C.; Elster, E.A.; Burmeister, D.M.; Rose, L.F.; Natesan, S.; Chan, R.K.; Christy, R.J.; Chung, K.K. Burn wound healing and treatment: Review and advancements. Crit. Care 2015, 19, 243. [Google Scholar] [CrossRef] [PubMed]
- Roshangar, L.; Soleimani Rad, J.; Kheirjou, R.; Reza Ranjkesh, M.; Ferdowsi Khosroshahi, A. Skin Burns: Review of Molecular Mechanisms and Therapeutic Approaches. Clin. Res. Pract. 2019, 31, 308–315. [Google Scholar]
- Villanueva, E.; Bennett, M.H.; Wasiak, J.; Lehm, J.P. Hyperbaric oxygen therapy for thermal burns. Cochrane Database Syst. Rev. 2004, 3, CD004727. [Google Scholar] [CrossRef] [PubMed]
- Rasmussen, V.M.; Borgen, A.E.; Jansen, E.C.; Rotbøll Nielsen, P.H.; Werner, M.U. Hyperbaric oxygen therapy attenuates central sensitization induced by a thermal injury in humans. Acta Anaesthesiol. Scand. 2015, 59, 749–762. [Google Scholar] [CrossRef] [PubMed]
- Wu, Z.S.; Wu, S.H.; Lee, S.S.; Lin, C.H.; Chang, C.H.; Lo, J.J.; Chai, C.Y.; Wu, C.S.; Huang, S.H. Dose-Dependent Effect of Hyperbaric Oxygen Treatment on Burn-Induced Neuropathic Pain in Rats. Int. J. Mol. Sci. 2019, 20, 1951. [Google Scholar] [CrossRef] [PubMed]
- Park, B.H.; Saxer, C.; Srinivas, S.M.; Nelson, J.S.; de Boer, J.F. In vivo burn depth determination by high-speed fiber-based polarization sensitive optical coherence tomography. J. Biomed. Opt. 2001, 6, 474–479. [Google Scholar] [CrossRef]
- Sahib, A.S.; Al-Jawad, F.H.; Alkaisy, A.A. Effect of antioxidants on the incidence of wound infection in burn patients. Ann. Burns Fire Disasters 2010, 23, 199–205. [Google Scholar]
- Goorani, S.; Zangeneh, M.M.; Koohi, M.K.; Seydi, N.; Zangeneh, A.; Souri, N.; Hosseini, M.-S. Assessment of antioxidant and cutaneous wound healing effects of Falcaria vulgaris aqueous extract in Wistar male rats. Comp. Clin. Pathol. 2019, 28, 435–445. [Google Scholar] [CrossRef]
- Wijaya, I.P.; Rusly Hariantana Hamid, A.R.; Bagus Mahadewa, T.G.; Putu Hendra Sanjaya, I.G.; Suka Adnyana, I.M.; Suyasa, I.K. Supplementation of high-dose ascorbic acid reduces necrosis on random dorsal skin flap in rats. Int. J. Surg. Open 2022, 46, 100525. [Google Scholar] [CrossRef]
- Katanić, J.; Boroja, T.; Mihailović, V.; Nikles, S.; Pan, S.P.; Rosić, G.; Selaković, D.; Joksimović, J.; Mitrović, S.; Bauer, R. In vitro and in vivo assessment of meadowsweet (Filipendula ulmaria) as an anti-inflammatory agent. J. Ethnopharmacol. 2016, 193, 627–636. [Google Scholar] [CrossRef] [PubMed]
- Dauber, A.; Osgood, P.F.; Breslau, A.J.; Vernon, H.L.; Carr, D.B. Chronic persistent pain after severe burns: A survey of 358 burn survivors. Pain. Med. 2002, 3, 6–17. [Google Scholar] [CrossRef] [PubMed]
- Davenport, L.; Dobson, G.; Letson, H. A new model for standardising and treating thermal injury in the rat. MethodsX 2019, 6, 2021–2027. [Google Scholar] [CrossRef] [PubMed]
- Krstic, M.; Jovicic, N.; Selakovic, D.; Krstic, B.; Arsenijevic, N.; Vasiljevic, M.; Milanovic, P.; Milanovic, J.; Milovanovic, D.; Simic, M.; et al. Simultaneous Administration of Hyperbaric Oxygen Therapy and Antioxidant Supplementation with Filipendula ulmaria Extract in the Treatment of Thermal Skin Injuries Alters Nociceptive Signalling and Wound Healing. Medicina 2023, 59, 1676. [Google Scholar] [CrossRef] [PubMed]
- Baksh, R.A.; Ritchie, C.W.; Terrera, G.M.; Norton, J.; Raymont, V.; Ritchie, K. The association between anxiety disorders and hippocampal volume in older adults. Psychol. Aging 2021, 36, 288–297. [Google Scholar] [CrossRef] [PubMed]
- Lejeune, V.B.P.; Lopes, R.V.; Baggio, D.F.; Koren, L.O.; Zanoveli, J.M.; Chichorro, J.G. Antinociceptive and anxiolytic-like effects of Lavandula angustifolia essential oil on rat models of orofacial pain. J. Appl. Oral. Sci. 2023, 30, e20220304. [Google Scholar] [CrossRef] [PubMed]
- Peng, Y.; Feng, S.F.; Wang, Q.; Wang, H.N.; Hou, W.G.; Xiong, L.; Luo, Z.J.; Tan, Q.R. Hyperbaric oxygen preconditioning ameliorates anxiety-like behavior and cognitive impairments via upregulation of thioredoxin reductases in stressed rats. Prog. Neuropsychopharmacol. Biol. Psychiatry 2010, 34, 1018–1025. [Google Scholar] [CrossRef] [PubMed]
- Reyes, R., Jr.; Wu, Y.; Lai, Q.; Mrizek, M.; Berger, J.; Jimenez, D.F.; Barone, C.M.; Ding, Y. Early inflammatory response in rat brain after peripheral thermal injury. Neurosci. Lett. 2006, 407, 11–15. [Google Scholar] [CrossRef]
- Berger, J.; Sprague, S.M.; Wu, Y.; Davis, W.W.; Jimenez, D.F.; Barone, C.M.; Ding, Y. Peripheral thermal injury causes early blood–brain barrier dysfunction and matrix metalloproteinase expression in the rat. Neurol. Res. 2007, 29, 610–614. [Google Scholar] [CrossRef]
- Rehou, S.; Shahrokhi, S.; Natanson, R.; Stanojcic, M.; Jeschke, M.G. Antioxidant and Trace Element Supplementation Reduce the Inflammatory Response in Critically Ill Burn Patients. J. Burn. Care Res. 2018, 39, 1–9. [Google Scholar] [CrossRef]
- Oliver, J.M.; Jones, M.T.; Kirk, K.M.; Gable, D.A.; Repshas, J.T.; Johnson, T.A.; Andreasson, U.; Norgren, N.; Blennow, K.; Zetterberg, H. Effect of Docosahexaenoic Acid on a Biomarker of Head Trauma in American Football. Med. Sci. Sports Exerc. 2016, 48, 974–982. [Google Scholar] [CrossRef] [PubMed]
- Davis, C.K.; Vemuganti, R. Antioxidant therapies in traumatic brain injury. Neurochem. Int. 2022, 152, 105255. [Google Scholar] [CrossRef]
- Ying, X.; Tu, W.; Li, S.; Wu, Q.; Chen, X.; Zhou, Y.; Hu, J.; Yang, G.; Jiang, S. Hyperbaric oxygen therapy reduces apoptosis and dendritic/synaptic degeneration via the BDNF/TrkB signaling pathways in SCI rats. Life Sci. 2019, 229, 187–199. [Google Scholar] [CrossRef]
- He, H.; Li, X.; He, Y. Hyperbaric oxygen therapy attenuates neuronal apoptosis induced by traumatic brain injury via Akt/GSK3β/β-catenin pathway. Neuropsychiatr. Dis. Treat. 2019, 15, 369–374. [Google Scholar] [CrossRef] [PubMed]
- Murakami, S.; Imbe, H.; Morikawa, Y.; Kubo, C.; Senba, E. Chronic stress, as well as acute stress, reduces BDNF mRNA expression in the rat hippocampus but less robustly. Neurosci. Res. 2005, 53, 129–139. [Google Scholar] [CrossRef] [PubMed]
- Smith, M.A.; Makino, S.; Kvetnansky, R.; Post, R.M. Stress and glucocorticoids ffect the expression of brain-derived neurotrophic factor and neurotrophin-3 mRNAs in the hippocampus. J. Neurosci. 1995, 15, 1768–1777. [Google Scholar] [CrossRef] [PubMed]
- Khan, A.; Shal, B.; Naveed, M.; Nasir, B.; Irshad, N.; Ali, H.; Khan, S. Matrine alleviates neurobehavioral alterations via modulation of JNK-mediated caspase-3 and BDNF/VEGF signaling in a mouse model of burn injury. Psychopharmacology 2020, 237, 2327–2343. [Google Scholar] [CrossRef]
- Arsenijevic, N.; Selakovic, D.; Katanic Stankovic, J.S.; Mihailovic, V.; Mitrovic, S.; Milenkovic, J.; Milanovic, P.; Vasovic, M.; Nikezic, A.; Milosevic-Djordjevic, O.; et al. Variable neuroprotective role of Filipendula ulmaria extract in rat hippocampus. J. Integr. Neurosci. 2021, 20, 871–883. [Google Scholar] [CrossRef]
- Arsenijevic, N.; Selakovic, D.; Katanic Stankovic, J.S.; Mihailovic, V.; Mitrovic, S.; Milenkovic, J.; Milanovic, P.; Vasovic, M.; Markovic, S.D.; Zivanovic, M.; et al. The Beneficial Role of Filipendula ulmaria Extract in Prevention of Prodepressant Effect and Cognitive Impairment Induced by Nanoparticles of Calcium Phosphates in Rats. Oxidative Med. Cell. Longev. 2021, 2021, 6670135. [Google Scholar] [CrossRef]
- Schulze, J.; Kaiser, O.; Paasche, G.; Lamm, H.; Pich, A.; Hoffmann, A.; Lenarz, T.; Warnecke, A. Effect of hyperbaric oxygen on BDNF-release and neuroprotection: Investigations with human mesenchymal stem cells and genetically modified NIH3T3 fibroblasts as putative cell therapeutics. PLoS ONE 2017, 12, e0178182. [Google Scholar] [CrossRef]
- Zhang, L.; Sun, Q.; Xin, Q.; Qin, J.; Zhang, L.; Wu, D.; Gao, G.; Xia, Y. Hyperbaric oxygen therapy mobilized circulating stem cells and improved delayed encephalopathy after acute carbon monoxide poisoning with up-regulation of brain-derived neurotrophic factor. Am. J. Emerg. Med. 2021, 42, 95–100. [Google Scholar] [CrossRef]
- Wang, C.; Hao, H.; He, K.; An, Y.; Pu, Z.; Gamper, N.; Zhang, H.; Du, X. Neuropathic Injury-Induced Plasticity of GABAergic System in Peripheral Sensory Ganglia. Front. Pharmacol. 2021, 12, 702218. [Google Scholar] [CrossRef]
- Brewer, A.L.; Liu, S.; Buhler, A.V.; Shirachi, D.Y.; Quock, R.M. Role of spinal GABA receptors in the acute antinociceptive response of mice to hyperbaric oxygen. Brain Res. 2018, 1699, 107–116. [Google Scholar] [CrossRef]
- Lund, I.V.; Hu, Y.; Raol, Y.H.; Benham, R.S.; Faris, R.; Russek, S.J.; Brooks-Kayal, A.R. BDNF selectively regulates GABAA receptor transcription by activation of the JAK/STAT pathway. Sci. Signal 2008, 1, ra9. [Google Scholar] [CrossRef]
- Stajic, D.; Selakovic, D.; Jovicic, N.; Joksimovic, J.; Arsenijevic, N.; Lukic, M.L.; Rosic, G. The role of galectin-3 in modulation of anxiety state level in mice. Brain Behav. Immun. 2019, 78, 177–187. [Google Scholar] [CrossRef]
- Reiter, R.J.; Mayo, J.C.; Tan, D.X.; Sainz, R.M.; Alatorre-Jimenez, M.; Qin, L. Melatonin as an antioxidant: Under promises but over delivers. J. Pineal Res. 2016, 61, 253–278. [Google Scholar] [CrossRef] [PubMed]
- Wang, J.; Li, Y.; Luo, P.; Chen, Y.; Xi, Q.; Wu, H.; Zhao, W.; Shu, G.; Wang, S.; Gao, P.; et al. Oral supplementation with ginseng polysaccharide promotes food intake in mice. Brain Behav. 2019, 9, e01340. [Google Scholar] [CrossRef] [PubMed]
- Liu, Y.; Zhang, D.; Yuan, J.; Song, L.; Zhang, C.; Lin, Q.; Li, M.; Sheng, Z.; Ma, Z.; Lv, F.; et al. Hyperbaric Oxygen Ameliorates Insulin Sensitivity by Increasing GLUT4 Expression in Skeletal Muscle and Stimulating UCP1 in Brown Adipose Tissue in T2DM Mice. Front. Endocrinol. 2020, 11, 32. [Google Scholar] [CrossRef] [PubMed]
- Li, L.; Chen, J.; Li, Y.-Q. The Downregulation of Opioid Receptors and Neuropathic Pain. Int. J. Mol. Sci. 2023, 24, 5981. [Google Scholar] [CrossRef] [PubMed]
- Gibbons, C.R.; Liu, S.; Zhang, Y.; Sayre, C.L.; Levitch, B.R.; Moehlmann, S.B.; Shirachi, D.Y.; Quock, R.M. Involvement of brain opioid receptors in the anti-allodynic effect of hyperbaric oxygen in rats with sciatic nerve crush-induced neuropathic pain. Brain Res. 2018, 1537, 111–116. [Google Scholar] [CrossRef]
- Lazarini-Lopes, W.; Silva-Cardoso, G.K.; Cortes de Oliveira, J.A.; Corrêa Passos, L.A.; Ruis Salgado, A.; Rodrigues Demolin, D.M.; Leite-Panissi, C.R.A.; Garcia-Cairasco, N.; Coimbra, N.C. Inherited pain hypersensitivity and increased anxiety-like behaviors are associated with genetic epilepsy in Wistar Audiogenic Rats: Short- and long-term effects of acute and chronic seizures on nociception and anxiety. Epilepsy Behav. 2023, 141, 109160. [Google Scholar] [CrossRef] [PubMed]
- Knutson, D.E.; Kodali, R.; Divović, B.; Treven, M.; Stephen, M.R.; Zahn, N.M.; Cook, J.M. Design and synthesis of novel deuterated ligands functionally selective for the γ-aminobutyric acid type A Receptor (GABAAR) α6 subtype with improved metabolic stability and enhanced bioavailability. J. Med. Chem. 2018, 61, 2422–2446. [Google Scholar] [CrossRef] [PubMed]
- Vinaik, R.; Aijaz, A.; Jeschke, M.G. Small animal models of thermal injury. Methods Cell Biol. 2022, 168, 161–189. [Google Scholar] [PubMed]
- Brkic, P.; Stojiljkovic, M.; Jovanovic, T.; Dacic, S.; Lavrnja, I.; Savic, D.; Parabucki, A.; Bjelobaba, I.; Rakic, L.; Pekovic, S. Hyperbaric oxygenation improves locomotor ability by enhancing neuroplastic responses after cortical ablation in rats. Brain Inj. 2012, 26, 1273–1284. [Google Scholar] [CrossRef]
- Selakovic, D.; Joksimovic, J.; Zaletel, I.; Puskas, N.; Matovic, M.; Rosic, G. The opposite effects of nandrolone decanoate and exercise on anxiety levels in rats may involve alterations in hippocampal parvalbumin-positive interneurons. PLoS ONE 2017, 12, e0189595. [Google Scholar] [CrossRef]
- Livak, K.J.; Schmittgen, T.D. Analysis of relative gene expression data using real-time quantitative PCR and the 2(-Delta Delta C(T)) Method. Methods 2001, 25, 402–408. [Google Scholar] [CrossRef]
- ISO 10993-2; Biological Evaluation of Medical Devices Part 2: Animal Welfare Requirements. International Organization for Standardization: Geneva, Switzerland, 2022.










Disclaimer/Publisher’s Note: The statements, opinions and data contained in all publications are solely those of the individual author(s) and contributor(s) and not of MDPI and/or the editor(s). MDPI and/or the editor(s) disclaim responsibility for any injury to people or property resulting from any ideas, methods, instructions or products referred to in the content. |
© 2024 by the authors. Licensee MDPI, Basel, Switzerland. This article is an open access article distributed under the terms and conditions of the Creative Commons Attribution (CC BY) license (https://creativecommons.org/licenses/by/4.0/).
Share and Cite
Krstic, B.; Selakovic, D.; Jovicic, N.; Krstic, M.; Katanic Stankovic, J.S.; Rosic, S.; Milovanovic, D.; Rosic, G. Complex Hippocampal Response to Thermal Skin Injury and Protocols with Hyperbaric Oxygen Therapy and Filipendula ulmaria Extract in Rats. Int. J. Mol. Sci. 2024, 25, 3033. https://doi.org/10.3390/ijms25053033
Krstic B, Selakovic D, Jovicic N, Krstic M, Katanic Stankovic JS, Rosic S, Milovanovic D, Rosic G. Complex Hippocampal Response to Thermal Skin Injury and Protocols with Hyperbaric Oxygen Therapy and Filipendula ulmaria Extract in Rats. International Journal of Molecular Sciences. 2024; 25(5):3033. https://doi.org/10.3390/ijms25053033
Chicago/Turabian StyleKrstic, Bojana, Dragica Selakovic, Nemanja Jovicic, Milos Krstic, Jelena S. Katanic Stankovic, Sara Rosic, Dragan Milovanovic, and Gvozden Rosic. 2024. "Complex Hippocampal Response to Thermal Skin Injury and Protocols with Hyperbaric Oxygen Therapy and Filipendula ulmaria Extract in Rats" International Journal of Molecular Sciences 25, no. 5: 3033. https://doi.org/10.3390/ijms25053033
APA StyleKrstic, B., Selakovic, D., Jovicic, N., Krstic, M., Katanic Stankovic, J. S., Rosic, S., Milovanovic, D., & Rosic, G. (2024). Complex Hippocampal Response to Thermal Skin Injury and Protocols with Hyperbaric Oxygen Therapy and Filipendula ulmaria Extract in Rats. International Journal of Molecular Sciences, 25(5), 3033. https://doi.org/10.3390/ijms25053033

