Diel Cycle Proteomics: Illuminating Molecular Dynamics in Purple Bacteria for Optimized Biotechnological Applications
Abstract
1. Introduction
2. Results and Discussion
2.1. Impact of Light Conditions on R. rubrum Growth
2.2. Proteomic Analysis of R. rubrum under the LD Cycle
2.2.1. Cyclic Protein Regulation
2.2.2. Impact of Light Conditions on Biological Processes
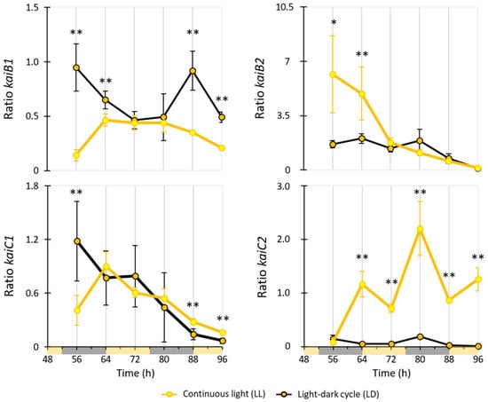
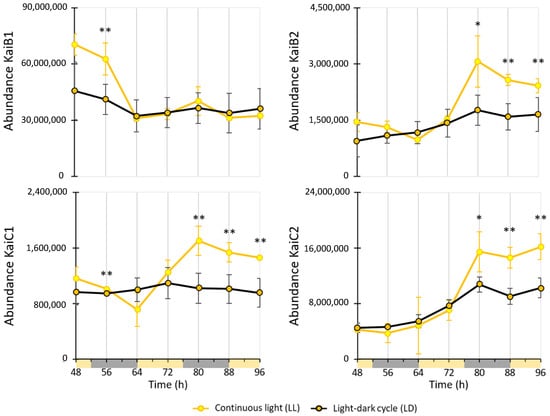
2.3. Kai Gene Expression
3. Materials and Methods
3.1. Bacterial Culture Conditions and Sampling
3.2. Protein and RNA Isolation
3.3. RT-qPCR Analyses
3.4. Proteomic Analysis
4. Conclusions
Supplementary Materials
Author Contributions
Funding
Data Availability Statement
Conflicts of Interest
References
- Saini, R.; Jaskolski, M.; Davis, S.J. Circadian oscillator proteins across the kingdoms of life: Structural aspects. BMC Biol. 2019, 17, 13. [Google Scholar] [CrossRef] [PubMed]
- Huang, T.-C.; Tu, J.; Chow, T.-J.; Chen, T.-H. Circadian Rhythm of the Prokaryote Synechococcus sp. RF-1. Plant Physiol. 1990, 92, 531–533. [Google Scholar] [CrossRef] [PubMed]
- Chen, T.H.; Chen, T.L.; Hung, L.M.; Huang, T.C. Circadian Rhythm in Amino Acid Uptake by Synechococcus RF-1. Plant Physiol. 1991, 97, 55–59. [Google Scholar] [CrossRef][Green Version]
- Kondo, T.; Strayer, C.A.; Kulkarni, R.D.; Taylor, W.; Ishiura, M.; Golden, S.S.; Johnson, C.H. Circadian rhythms in prokaryotes: Luciferase as a reporter of circadian gene expression in Cyanobacteria. Proc. Natl. Acad. Sci. USA 1993, 90, 5672–5676. [Google Scholar] [CrossRef] [PubMed]
- Markson, J.S.; Piechura, J.R.; Puszynska, A.M.; O’Shea, E.K. Circadian control of global gene expression by the cyanobacterial master regulator RpaA. Cell 2013, 155, 1396–1408. [Google Scholar] [CrossRef]
- Cohen, S.E.; Golden, S.S. Circadian rhythms in Cyanobacteria. Microbiol. Mol. Biol. Rev. 2015, 79, 373–385. [Google Scholar] [CrossRef]
- Swan, J.A.; Golden, S.S.; LiWang, A.; Partch, C.L. Structure, function, and mechanism of the core circadian clock in Cyanobacteria. J. Biol. Chem. 2018, 293, 5026–5034. [Google Scholar] [CrossRef]
- Snijder, J.; Axmann, I.M. The Kai-Protein Clock-Keeping Track of Cyanobacteria’s Daily Life. Subcell. Biochem. 2019, 93, 359–391. [Google Scholar] [CrossRef]
- Schmelling, N.M.; Lehmann, R.; Chaudhury, P.; Beck, C.; Albers, S.-V.; Axmann, I.M.; Wiegard, A. Minimal tool set for a prokaryotic circadian clock. BMC Evol. Biol. 2017, 17, 169. [Google Scholar] [CrossRef]
- Axmann, I.M.; Dühring, U.; Seeliger, L.; Arnold, A.; Vanselow, J.T.; Kramer, A.; Wilde, A. Biochemical evidence for a timing mechanism in Prochlorococcus. J. Bacteriol. 2009, 191, 5342–5347. [Google Scholar] [CrossRef] [PubMed]
- Aoki, S.; Onai, K. Circadian Clocks of Synechocystis sp. Strain PCC 6803, Thermosynechococcus elongatus, Prochlorococcus spp., Trichodesmium spp. and Other Species. In Bacterial Circadian Programs; Ditty, J.L., Mackey, S.R., Johnson, C.H., Eds.; Springer: Berlin/Heidelberg, Germany, 2009; pp. 259–282. [Google Scholar]
- Kanesaki, Y.; Shiwa, Y.; Tajima, N.; Suzuki, M.; Watanabe, S.; Sato, N.; Ikeuchi, M.; Yoshikawa, H. Identification of substrain-specific mutations by massively parallel whole-genome resequencing of Synechocystis sp. PCC 6803. DNA Res. 2012, 19, 67–79. [Google Scholar] [CrossRef]
- Wiegard, A.; Dörrich, A.K.; Deinzer, H.-T.; Beck, C.; Wilde, A.; Holtzendorff, J.; Axmann, I.M. Biochemical analysis of three putative KaiC clock proteins from Synechocystis sp. PCC 6803 suggests their functional divergence. Microbiology 2013, 159 Pt 5, 948–958. [Google Scholar] [CrossRef][Green Version]
- Köbler, C.; Schmelling, N.M.; Pawlowski, A.; Spät, P.; Scheurer, N.M.; Berwanger, L.; Maček, B.; Axmann, I.M.; Wilde, A. A chimeric KaiA-like regulator extends the nonstandard KaiB3-KaiC3 clock system in bacteria. bioRxiv 2021. [Google Scholar] [CrossRef]
- Dvornyk, V.; Vinogradova, O.; Nevo, E. Origin and evolution of circadian clock genes in prokaryotes. Proc. Natl. Acad. Sci. USA 2003, 100, 2495–2500. [Google Scholar] [CrossRef] [PubMed]
- Loza-Correa, M.; Gomez-Valero, L.; Buchrieser, C. Circadian clock proteins in prokaryotes: Hidden rhythms? Front. Microbiol. 2010, 1, 130. [Google Scholar] [CrossRef] [PubMed]
- Géron, A.; Werner, J.; Wattiez, R.; Matallana-Surget, S. Towards the discovery of novel molecular clocks in Prokaryotes. Crit. Rev. Microbiol. 2023, 18, 1–13. [Google Scholar] [CrossRef] [PubMed]
- Eelderink-Chen, Z.; Bosman, J.; Sartor, F.; Dodd, A.N.; Kovács, Á.T.; Merrow, M. A circadian clock in a nonphotosynthetic prokaryote. Sci. Adv. 2021, 7, eabe2086. [Google Scholar] [CrossRef]
- Sartor, F.; Xu, X.; Popp, T.; Dodd, A.N.; Kovács, Á.T.; Merrow, M. The circadian clock of the bacterium B. subtilis evokes properties of complex, multicellular circadian systems. Sci. Adv. 2023, 9, eadh1308. [Google Scholar] [CrossRef]
- Paulose, J.K.; Cassone, C.V.; Graniczkowska, K.B.; Cassone, V.M. Entrainment of the Circadian Clock of the Enteric Bacterium Klebsiella aerogenes by Temperature Cycles. iScience 2019, 19, 1202–1213. [Google Scholar] [CrossRef]
- Ma, J.; Chen, T.; Wu, S.; Yang, C.; Bai, M.; Shu, K.; Li, K.; Zhang, G.; Jin, Z.; He, F.; et al. iProX: An integrated proteome resource. Nucleic Acids Res. 2018, 47, D1211–D1217. [Google Scholar] [CrossRef]
- Min, H.; Guo, H.; Xiong, J. Rhythmic gene expression in a purple photosynthetic bacterium, Rhodobacter sphaeroides. FEBS Lett. 2005, 579, 808–812. [Google Scholar] [CrossRef] [PubMed]
- Van Praag, E.; Degli Agosti, R.; Bachofen, R. Rhythmic activity of uptake hydrogenase in the prokaryote Rhodospirillum rubrum. J. Biol. Rhythm. 2000, 15, 218–224. [Google Scholar] [CrossRef] [PubMed]
- De Meur, Q.; Deutschbauer, A.; Koch, M.; Bayon-Vicente, G.; Cabecas Segura, P.; Wattiez, R.; Leroy, B. New perspectives on butyrate assimilation in Rhodospirillum rubrum S1H under photoheterotrophic conditions. BMC Microbiol. 2020, 20, 126. [Google Scholar] [CrossRef] [PubMed]
- McEwan, A.G. Photosynthetic electron transport and anaerobic metabolism in purple non-sulfur phototrophic bacteria. Antonie Van Leeuwenhoek 1994, 66, 151–164. [Google Scholar] [CrossRef]
- Bayon-Vicente, G.; Wattiez, R.; Leroy, B. Global Proteomic Analysis Reveals High Light Intensity Adaptation Strategies and Polyhydroxyalkanoate Production in Rhodospirillum rubrum Cultivated with Acetate as Carbon Source. Front. Microbiol. 2020, 11, 464. [Google Scholar] [CrossRef]
- Rodríguez, A.; Hernández-Herreros, N.; García, J.L.; Auxiliadora Prieto, M. Enhancement of biohydrogen production rate in Rhodospirillum rubrum by a dynamic CO-feeding strategy using dark fermentation. Biotechnol. Biofuels 2021, 14, 168. [Google Scholar] [CrossRef]
- Takaichi, S. Distribution and Biosynthesis of Carotenoids. In The Purple Phototrophic Bacteria; Hunter, C.N., Daldal, F., Thurnauer, M.C., Beatty, J.T., Eds.; Springer: Dordrecht, The Netherlands, 2009; pp. 97–117. [Google Scholar]
- Picard, F.; Dressaire, C.; Girbal, L.; Cocaign-Bousquet, M. Examination of posttranscriptional regulations in prokaryotes by integrative biology. Comptes Rendus Biol. 2009, 332, 958–973. [Google Scholar] [CrossRef]
- Ito, H.; Mutsuda, M.; Murayama, Y.; Tomita, J.; Hosokawa, N.; Terauchi, K.; Sugita, C.; Sugita, M.; Kondo, T.; Iwasaki, H. Cyanobacterial daily life with Kai-based circadian and diurnal genome-wide transcriptional control in Synechococcus elongatus. Proc. Natl. Acad. Sci. USA 2009, 106, 14168–14173. [Google Scholar] [CrossRef]
- Waldbauer, J.R.; Rodrigue, S.; Coleman, M.L.; Chisholm, S.W. Transcriptome and Proteome Dynamics of a Light-Dark Synchronized Bacterial Cell Cycle. PLoS ONE 2012, 7, e43432. [Google Scholar] [CrossRef]
- Guerreiro, A.C.L.; Benevento, M.; Lehmann, R.; van Breukelen, B.; Post, H.; Giansanti, P.; Maarten Altelaar, A.F.; Axmann, I.M.; Heck, A.J.R. Daily rhythms in the cyanobacterium Synechococcus elongatus probed by high-resolution mass spectrometry-based proteomics reveals a small defined set of cyclic proteins. Mol. Cell. Proteom. 2014, 13, 2042–2055. [Google Scholar] [CrossRef]
- Vijayan, V.; Zuzow, R.; O’Shea, E.K. Oscillations in supercoiling drive circadian gene expression in Cyanobacteria. Proc. Natl. Acad. Sci. USA 2009, 106, 22564–22568. [Google Scholar] [CrossRef] [PubMed]
- von Mering, C.; Huynen, M.; Jaeggi, D.; Schmidt, S.; Bork, P.; Snel, B. STRING: A database of predicted functional associations between proteins. Nucleic Acids Res. 2003, 31, 258–261. [Google Scholar] [CrossRef] [PubMed]
- Thore, A.; Keister, D.L.; Pietro, A.S. Studies on the respiratory system of aerobically (Dark) and anaerobically (Light) grown Rhodospirillum rubrum. Arch. Microbiol. 1969, 67, 378–396. [Google Scholar] [CrossRef]
- De Maio, A. Heat shock proteins: Facts, thoughts, and dreams. Shock 1999, 11, 1–12. [Google Scholar] [CrossRef]
- Esterházy, D.; King, M.S.; Yakovlev, G.; Hirst, J. Production of reactive oxygen species by complex I (NADH:ubiquinone oxidoreductase) from Escherichia coli and comparison to the enzyme from mitochondria. Biochemistry 2008, 47, 3964–3971. [Google Scholar] [CrossRef]
- Slilaty, S.N.; Little, J.W. Lysine-156 and serine-119 are required for LexA repressor cleavage: A possible mechanism. Proc. Natl. Acad. Sci. USA 1987, 84, 3987–3991. [Google Scholar] [CrossRef] [PubMed]
- Neher, S.B.; Flynn, J.M.; Sauer, R.T.; Baker, T.A. Latent ClpX-recognition signals ensure LexA destruction after DNA damage. Genes Dev. 2003, 17, 1084–1089. [Google Scholar] [CrossRef]
- Winter, C.; Herndl, G.J.; Weinbauer, M.G. Diel cycles in viral infection of bacterioplankton in the North Sea. Aquat. Microb. Ecol. 2004, 35, 207–216. [Google Scholar] [CrossRef]
- Berleman, J.E.; Bauer, C.E. A che-like signal transduction cascade involved in controlling flagella biosynthesis in Rhodospirillum centenum. Mol. Microbiol. 2005, 55, 1390–1402. [Google Scholar] [CrossRef]
- Grossart, H.-P.; Riemann, L.; Azam, F. Bacterial motility in the sea and its ecological Implications. Aquat. Microb. Ecol. 2001, 25, 247–258. [Google Scholar] [CrossRef]
- Mitchell, J.G.; Kogure, K. Bacterial motility: Links to the environment and a driving force for microbial physics. FEMS Microbiol. Ecol. 2006, 55, 3–16. [Google Scholar] [CrossRef]
- Kitayama, Y.; Iwasaki, H.; Nishiwaki, T.; Kondo, T. KaiB functions as an attenuator of KaiC phosphorylation in the cyanobacterial circadian clock system. EMBO J. 2003, 22, 2127–2134. [Google Scholar] [CrossRef] [PubMed]
- Gonzalez, G.; Gilles-Gonzalez, M.A.; Rybak-Akimova, E.V.; Buchalova, M.; Busch, D.H. Mechanisms of autoxidation of the oxygen sensor FixL and Aplysia myoglobin: Implications for oxygen-binding heme proteins. Biochemistry 1998, 37, 10188–10194. [Google Scholar] [CrossRef] [PubMed]
- Hörnlein, C.; Confurius-Guns, V.; Grego, M.; Stal, L.J.; Bolhuis, H. Circadian clock-controlled gene expression in co-cultured, mat-forming Cyanobacteria. Sci. Rep. 2020, 10, 14095. [Google Scholar] [CrossRef]
- Piwosz, K.; Vrdoljak, A.; Frenken, T.; González-Olalla, J.M.; Šantić, D.; McKay, R.M.; Spilling, K.; Guttman, L.; Znachor, P.; Mujakić, I.; et al. Light and Primary Production Shape Bacterial Activity and Community Composition of Aerobic Anoxygenic Phototrophic Bacteria in a Microcosm Experiment. mSphere 2020, 5, e00354-20. [Google Scholar] [CrossRef]
- Fitzmaurice, W.P.; Saari, L.L.; Lowery, R.G.; Ludden, P.W.; Roberts, G.P. Genes coding for the reversible ADP-ribosylation system of dinitrogenase reductase from Rhodospirillum rubrum. Mol. Gen. Genet. 1989, 218, 340–347. [Google Scholar] [CrossRef]
- Bradford, M.M. A rapid and sensitive method for the quantitation of microgram quantities of protein utilizing the principle of protein-dye binding. Anal. Biochem. 1976, 72, 248–254. [Google Scholar] [CrossRef] [PubMed]
- Breslauer, K.J.; Frank, R.; Blöcker, H.; Marky, L.A. Predicting DNA duplex stability from the base sequence. Proc. Natl. Acad. Sci. USA 1986, 83, 3746–3750. [Google Scholar] [CrossRef]
- Pfaffl, M.W. A new mathematical model for relative quantification in real-time RTPCR. Nucleic Acids Res. 2001, 29, e45. [Google Scholar] [CrossRef]
- Ramakers, C.; Ruijter, J.M.; Deprez, R.H.; Moorman, A.F. Assumption-free analysis of quantitative real-time polymerase chain reaction (PCR) data. Neurosci. Lett. 2003, 339, 62–66. [Google Scholar] [CrossRef]






| Primers | ||
|---|---|---|
| Forward (5′–3′) | Reverse (5′–3′) | |
| 16S rRNA | CCTACGGGAGGCAGCAG | ATTACCGCGGCTGCTGG |
| kaiB1 | GCCCACGGAAACTAACGCTC | GTTCCGCGCAAATCCGTTC |
| kaiB2 | GATGTGATCGACAGTCCCGC | AGATCAAGGATGCGGCACAC |
| kaiC1 | TTCAGCGTTCTTCCCGTCTC | GACCAGGATGCTTGATCCCC |
| kaiC2 | TCTTTTCCGCCCAGTTCCTG | TCGACGAAGCTCCATTTCCC |
Disclaimer/Publisher’s Note: The statements, opinions and data contained in all publications are solely those of the individual author(s) and contributor(s) and not of MDPI and/or the editor(s). MDPI and/or the editor(s) disclaim responsibility for any injury to people or property resulting from any ideas, methods, instructions or products referred to in the content. |
© 2024 by the authors. Licensee MDPI, Basel, Switzerland. This article is an open access article distributed under the terms and conditions of the Creative Commons Attribution (CC BY) license (https://creativecommons.org/licenses/by/4.0/).
Share and Cite
Matallana-Surget, S.; Geron, A.; Decroo, C.; Wattiez, R. Diel Cycle Proteomics: Illuminating Molecular Dynamics in Purple Bacteria for Optimized Biotechnological Applications. Int. J. Mol. Sci. 2024, 25, 2934. https://doi.org/10.3390/ijms25052934
Matallana-Surget S, Geron A, Decroo C, Wattiez R. Diel Cycle Proteomics: Illuminating Molecular Dynamics in Purple Bacteria for Optimized Biotechnological Applications. International Journal of Molecular Sciences. 2024; 25(5):2934. https://doi.org/10.3390/ijms25052934
Chicago/Turabian StyleMatallana-Surget, Sabine, Augustin Geron, Corentin Decroo, and Ruddy Wattiez. 2024. "Diel Cycle Proteomics: Illuminating Molecular Dynamics in Purple Bacteria for Optimized Biotechnological Applications" International Journal of Molecular Sciences 25, no. 5: 2934. https://doi.org/10.3390/ijms25052934
APA StyleMatallana-Surget, S., Geron, A., Decroo, C., & Wattiez, R. (2024). Diel Cycle Proteomics: Illuminating Molecular Dynamics in Purple Bacteria for Optimized Biotechnological Applications. International Journal of Molecular Sciences, 25(5), 2934. https://doi.org/10.3390/ijms25052934

