Transcriptomic Analysis of Genes Associated with Stinger Development at Different Life Stages of Apis mellifera
Abstract
1. Introduction
2. Results
2.1. Morphological Observations of Stingers at Different Developmental Stages
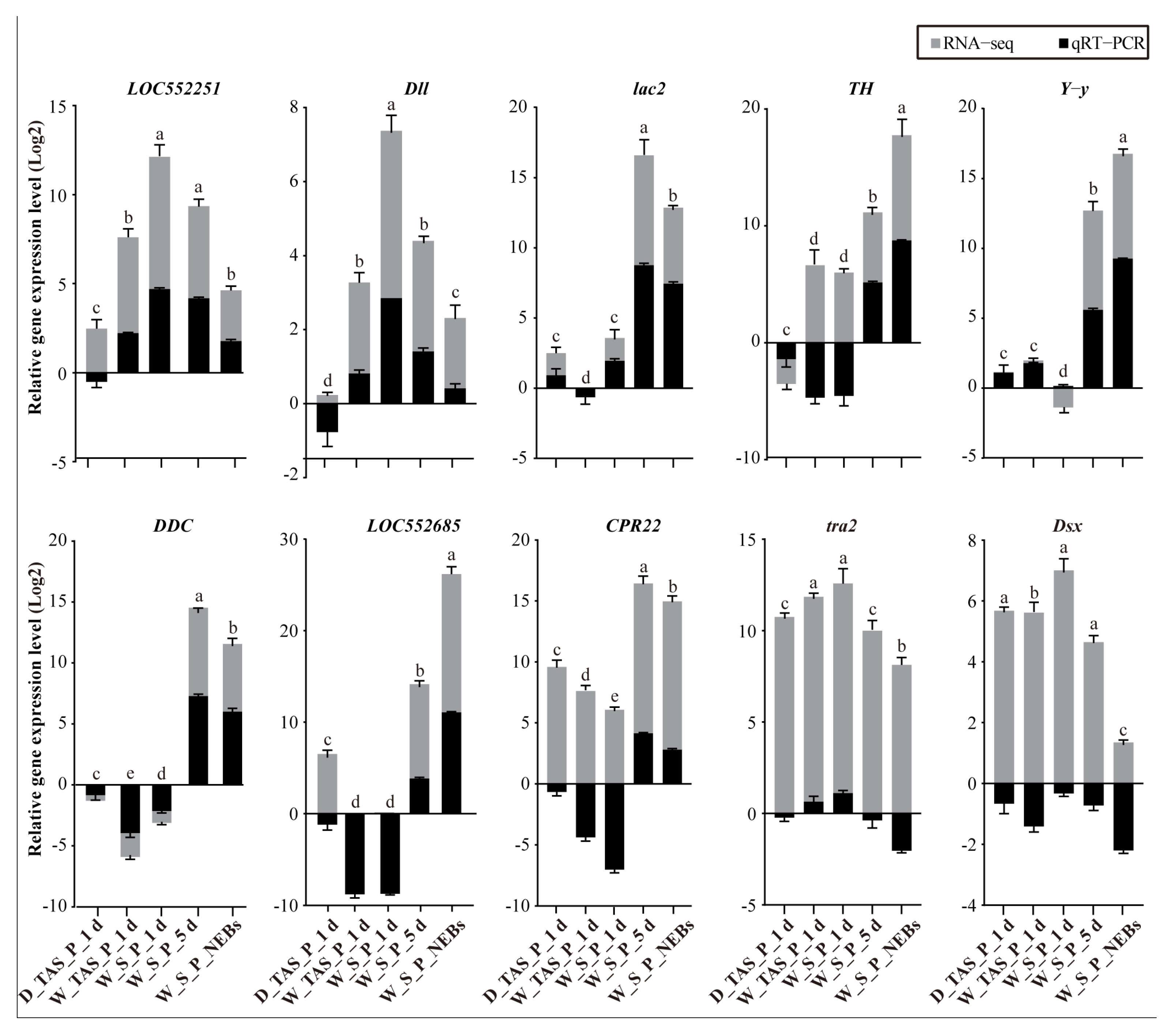
2.2. Statistics and Validation of Transcriptome Data
2.3. Highly Expressed Genes in Stingers at Different Developmental Stages
2.4. Identification of DEGs Associated with Stinger Development
2.5. Expression Profiles of Genes Involved in Sex Determination in Stingers at Different Stages
2.6. Dll Knockdown Lead to Tip Bending of the Piercing Parts of Stingers
3. Discussion
4. Materials and Methods
4.1. Collection of Bee Samples
4.2. Morphological Observation of A. mellifera
4.3. RNA Extraction and cDNA Synthesis
4.4. cDNA Library Construction and Sequencing
4.5. Transcriptome Data Analysis
4.6. Quantitative Reverse Transcriptase Polymerase Chain Reaction (qRT-PCR)
4.7. RNAi Experiment
4.8. Statistical Analysis
5. Conclusions
Supplementary Materials
Author Contributions
Funding
Institutional Review Board Statement
Informed Consent Statement
Data Availability Statement
Acknowledgments
Conflicts of Interest
References
- Ramirez-Esquivel, F.; Ravi, S. Functional anatomy of the worker honeybee stinger (Apis mellifera). iScience 2023, 26, 107103. [Google Scholar] [CrossRef] [PubMed]
- Shorter, J.R.; Rueppell, O. A review on self-destructive defense behaviors in social insects. Insectes Sociaux 2012, 59, 1–10. [Google Scholar] [CrossRef]
- Smith, E.L. Evolutionary morphology of the external insect genitalia. 2. Hymenoptera. Ann. Entomol. Soc. Am. 1970, 63, 1–27. [Google Scholar] [CrossRef]
- Ogawa, H.; Kawakami, Z.; Yamaguchi, T. Motor pattern of the stinging response in the honeybee Apis mellifera. J. Exp. Biol. 1995, 198, 39–47. [Google Scholar] [CrossRef] [PubMed]
- Zhao, Z.-L.; Zhao, H.-P.; Ma, G.-J.; Wu, C.-W.; Yang, K.; Feng, X.-Q. Structures, properties, and functions of the stings of honey bees and paper wasps: A comparative study. Biol. Open 2015, 4, 921–928. [Google Scholar] [CrossRef]
- Matushkina, N. Sting microsculpture in the digger wasp Bembix rostrata (Hymenoptera, Crabronidae). J. Hymenopt. Res. 2011, 21, 41–52. [Google Scholar] [CrossRef]
- Snodgrass, R.E. Anatomy of the Honey Bee; Cornell University Press: Ithaca, NY, USA, 1956. [Google Scholar]
- Ling, J.; Song, Z.; Wang, J.; Chen, K.; Li, J.; Xu, S.; Ren, L.; Chen, Z.; Jin, D.; Jiang, L. Effect of honeybee stinger and its microstructured barbs on insertion and pull force. J. Mech. Behav. Biomed. Mater. 2017, 68, 173–179. [Google Scholar] [CrossRef]
- Ogawa, H.; Kawakami, Z.; Yamaguchi, T. Proprioceptors involved in stinging response of the honeybee, Apis mellifera. J. Insect Physiol. 2011, 57, 1358–1367. [Google Scholar] [CrossRef]
- Lee, J.A.; Singletary, E.; Charlton, N. Methods of honey bee stinger removal: A systematic review of the literature. Cureus 2020, 12, e8078. [Google Scholar] [CrossRef] [PubMed]
- Visscher, P.K.; Vetter, R.S.; Camazine, S. Removing bee stings. Lancet 1996, 348, 301–302. [Google Scholar] [CrossRef]
- Schumacher, M.; Tveten, M.; Egen, N. Rate and quantity of delivery of venom from honeybee stings. J. Allergy Clin. Immunol. 1994, 93, 831–835. [Google Scholar] [CrossRef] [PubMed]
- Wu, J.; Yan, S.; Zhao, J.; Ye, Y. Barbs facilitate the helical penetration of honeybee (Apis mellifera ligustica) stingers. PLoS ONE 2014, 9, e103823. [Google Scholar] [CrossRef] [PubMed]
- Arif, F.; Williams, M. Hymenoptera Stings; StatPearls Publishing: Treasure Island, FL, USA, 2023. [Google Scholar]
- Panganiban, G.; Rubenstein, J.L. Developmental functions of the Distal-less/Dlx homeobox genes. Development 2002, 129, 4371–4386. [Google Scholar] [CrossRef] [PubMed]
- Singh, N.; Singh, D.; Bhide, A.; Sharma, R.; Bhowmick, S.; Patel, V.; Modi, D. LHX2 in germ cells control tubular organization in the developing mouse testis. Exp. Cell Res. 2023, 425, 113511. [Google Scholar] [CrossRef] [PubMed]
- Birk, O.S.; Casiano, D.E.; Wassif, C.A.; Cogliati, T.; Zhao, L.; Zhao, Y.; Grinberg, A.; Huang, S.; Kreidberg, J.A.; Parker, K.L.; et al. The LIM homeobox gene Lhx9 is essential for mouse gonad formation. Nature 2000, 403, 909–913. [Google Scholar] [CrossRef]
- Choi, Y.; Ballow, D.J.; Xin, Y.; Rajkovic, A. Lim homeobox gene, lhx8, is essential for mouse oocyte differentiation and survival. Biol. Reprod. 2008, 79, 442–449. [Google Scholar] [CrossRef] [PubMed]
- Kitamura; Kunio; Yanazawa; Masako; Sugiyama; Noriyuki; Miura; Hirohito; Iizuka-Kogo; Akiko, Mutation of ARX causes abnormal development of forebrain and testes in mice and X-linked lissencephaly with abnormal genitalia in humans. Nat. Genet. 2002, 32, 359–369. [CrossRef]
- Yu, H.; Pask, A.J.; Hu, Y.; Shaw, G.; Renfree, M.B. ARX/Arx is expressed in germ cells during spermatogenesis in both marsupial and mouse. Reproduction 2014, 147, 279–289. [Google Scholar] [CrossRef]
- Camara, N.; Whitworth, C.; Dove, A.; Van Doren, M. Doublesex controls specification and maintenance of the gonad stem cell niches in Drosophila. Development 2019, 146, dev170001. [Google Scholar] [CrossRef]
- Wee, J.L.Q.; Das Banerjee, T.; Prakash, A.; Seah, K.S.; Monteiro, A. Distal-less and spalt are distal organisers of pierid wing patterns. EvoDevo 2022, 13, 12. [Google Scholar] [CrossRef] [PubMed]
- Turner, C.T.; Davy, M.W.; MacDiarmid, R.M.; Plummer, K.M.; Birch, N.P.; Newcomb, R.D. RNA interference in the light brown apple moth, Epiphyas postvittana (Walker) induced by double-stranded RNA feeding. Insect Mol. Biol. 2006, 15, 383–391. [Google Scholar] [CrossRef]
- Amdam, G.V.; Simões, Z.L.; Guidugli, K.R.; Norberg, K.; Omholt, S.W. Disruption of vitellogenin gene function in adult honeybees by intra-abdominal injection of double-stranded RNA. BMC Biotechnol. 2003, 3, 1. [Google Scholar] [CrossRef]
- Prentice, K.; Smagghe, G.; Gheysen, G.; Christiaens, O. Nuclease activity decreases the RNAi response in the sweetpotato weevil Cylas puncticollis. Insect Biochem. Mol. Biol. 2019, 110, 80–89. [Google Scholar] [CrossRef] [PubMed]
- Zheng, Y.; Liu, C.; Wang, S.; Qian, K.; Feng, Y.; Yu, F.; Wang, J. Genome-wide analysis of cuticle protein family genes in rice stem borer Chilo suppressalis: Insights into their role in environmental adaptation and insecticidal stress response. Int. J. Biol. Macromol. 2023, 242, 124989. [Google Scholar] [CrossRef]
- Zhao, X.; Su, Y.; Shao, T.; Fan, Z.; Cao, L.; Liu, W.; Zhang, J. Cuticle protein gene LmCP8 is involved in the structural development of the ovipositor in the migratory locust Locusta migratoria. Insect Mol. Biol. 2022, 31, 747–759. [Google Scholar] [CrossRef] [PubMed]
- Wang, X.; Lin, Y.; Liang, L.; Geng, H.; Zhang, M.; Nie, H.; Su, S. Transcriptional profiles of diploid mutant Apis mellifera embryos after knockout of csd by CRISPR/Cas9. Insects 2021, 12, 704. [Google Scholar] [CrossRef]
- Nie, H.Y.; Liang, L.Q.; Li, Q.F.; Li, Z.H.; Zhu, Y.N.; Guo, Y.K.; Zheng, Q.L.; Lin, Y.; Yang, D.L.; Li, Z.G.; et al. CRISPR/Cas9 mediated knockout of Amyellow-y gene results in melanization defect of the cuticle in adult Apis mellifera. J. Insect Physiol. 2021, 132, 104264. [Google Scholar] [CrossRef] [PubMed]
- Schulte, C.; Theilenberg, E.; Müller-Borg, M.; Gempe, T.; Beye, M. Highly efficient integration and expression of piggyBac-derived cassettes in the honeybee (Apis mellifera). Proc. Natl. Acad. Sci. USA 2014, 111, 9003–9008. [Google Scholar] [CrossRef] [PubMed]
- Chen, T.; Chen, X.; Zhang, S.; Zhu, J.; Tang, B.; Wang, A.; Dong, L.; Zhang, Z.; Yu, C.; Sun, Y.; et al. The genome sequence archive family: Toward explosive data growth and diverse data types. Genom. Proteom. Bioinform. 2021, 19, 578–583. [Google Scholar] [CrossRef] [PubMed]
- Pertea, M.; Kim, D.; Pertea, G.M.; Leek, J.T.; Salzberg, S.L. Transcript-level expression analysis of RNA-seq experiments with HISAT, StringTie and Ballgown. Nature 2016, 11, 1650–1667. [Google Scholar] [CrossRef] [PubMed]
- Livak, K.J.; Schmittgen, T.D. Analysis of relative gene expression data using real-time quantitative PCR and the 2−ΔΔCT method. Methods 2001, 25, 402–408. [Google Scholar] [CrossRef] [PubMed]
- Kaftanoglu, O.; Linksvayer, T.A.; Page, R.E. Rearing honey bees, Apis mellifera, in vitro I: Effects of sugar concentrations on survival and development. J. Insect Sci. 2011, 11, 96. [Google Scholar] [CrossRef] [PubMed]








Disclaimer/Publisher’s Note: The statements, opinions and data contained in all publications are solely those of the individual author(s) and contributor(s) and not of MDPI and/or the editor(s). MDPI and/or the editor(s) disclaim responsibility for any injury to people or property resulting from any ideas, methods, instructions or products referred to in the content. |
© 2024 by the authors. Licensee MDPI, Basel, Switzerland. This article is an open access article distributed under the terms and conditions of the Creative Commons Attribution (CC BY) license (https://creativecommons.org/licenses/by/4.0/).
Share and Cite
Zhou, S.; Zhang, J.; Yang, Z.; Fu, Y.; Lai, Y.; Xu, X.; Xu, R.; Lü, Y.; Li, Z.; Zhao, P.; et al. Transcriptomic Analysis of Genes Associated with Stinger Development at Different Life Stages of Apis mellifera. Int. J. Mol. Sci. 2024, 25, 10746. https://doi.org/10.3390/ijms251910746
Zhou S, Zhang J, Yang Z, Fu Y, Lai Y, Xu X, Xu R, Lü Y, Li Z, Zhao P, et al. Transcriptomic Analysis of Genes Associated with Stinger Development at Different Life Stages of Apis mellifera. International Journal of Molecular Sciences. 2024; 25(19):10746. https://doi.org/10.3390/ijms251910746
Chicago/Turabian StyleZhou, Shiwen, Juan Zhang, Zhenhui Yang, Yunxi Fu, Yu Lai, Xueling Xu, Ruixin Xu, Yang Lü, Zhiguo Li, Ping Zhao, and et al. 2024. "Transcriptomic Analysis of Genes Associated with Stinger Development at Different Life Stages of Apis mellifera" International Journal of Molecular Sciences 25, no. 19: 10746. https://doi.org/10.3390/ijms251910746
APA StyleZhou, S., Zhang, J., Yang, Z., Fu, Y., Lai, Y., Xu, X., Xu, R., Lü, Y., Li, Z., Zhao, P., Su, S., & Nie, H. (2024). Transcriptomic Analysis of Genes Associated with Stinger Development at Different Life Stages of Apis mellifera. International Journal of Molecular Sciences, 25(19), 10746. https://doi.org/10.3390/ijms251910746

