Next Article in Journal
De Novo Hybrid Assembly Unveils Multi-Chromosomal Mitochondrial Genomes in Ludwigia Species, Highlighting Genomic Recombination, Gene Transfer, and RNA Editing Events
Next Article in Special Issue
Identification and Characterization of the DOF Gene Family in Phoebe bournei and Its Role in Abiotic Stress—Drought, Heat and Light Stress
Previous Article in Journal
GAL3ST1 Deficiency Reduces Epithelial–Mesenchymal Transition and Tumorigenic Capacity in a Cholangiocarcinoma Cell Line
Previous Article in Special Issue
Identification and Analysis of PEPC Gene Family Reveals Functional Diversification in Orchidaceae and the Regulation of Bacterial-Type PEPC
 
 
Font Type:
Arial Georgia Verdana
Font Size:
Aa Aa Aa
Line Spacing:
Column Width:
Background:
Article

Comprehensive Expression Analysis of the WRKY Gene Family in Phoebe bournei under Drought and Waterlogging Stresses

College of Forestry, Fujian Agriculture and Forestry University, Fuzhou 350002, China
*
Authors to whom correspondence should be addressed.
These authors contributed equally to this work.
Int. J. Mol. Sci. 2024, 25(13), 7280; https://doi.org/10.3390/ijms25137280
Submission received: 3 June 2024 / Revised: 26 June 2024 / Accepted: 30 June 2024 / Published: 2 July 2024

Abstract

In response to biotic and abiotic stresses, the WRKY gene family plays a crucial role in plant growth and development. This study focused on Phoebe bournei and involved genome-wide identification of WRKY gene family members, clarification of their molecular evolutionary characteristics, and comprehensive mapping of their expression profiles under diverse abiotic stress conditions. A total of 60 WRKY gene family members were identified, and their phylogenetic classification revealed three distinct groups. A conserved motif analysis underscored the significant conservation of motif 1 and motif 2 among the majority of PbWRKY proteins, with proteins within the same class sharing analogous gene structures. Furthermore, an examination of cis-acting elements and protein interaction networks revealed several genes implicated in abiotic stress responses in P. bournei. Transcriptomic data were utilized to analyze the expression patterns of WRKY family members under drought and waterlogged conditions, with subsequent validation by quantitative real-time PCR (RT-qPCR) experiments. Notably, PbWRKY55 exhibited significant expression modulation under drought stress; PbWRKY36 responded prominently to waterlogging stress; and PbWRKY18, PbWRKY38, and PbWRKY57 demonstrated altered expression under both drought and waterlogging stresses. This study revealed the PbWRKY candidate genes that potentially play a pivotal role in enhancing abiotic stress resilience in P. bournei. The findings have provided valuable insights and knowledge that can guide further research aimed at understanding and addressing the impacts of abiotic stress within this species.

1. Introduction

Abiotic stress factors such as drought and waterlogging seriously affect the growth and development process of trees and seriously limit the production and sustainable development of forestry. Drought is one of the important abiotic stress factors that hinder plant growth and development, and it is also one of the most common forms of plant damage. Waterlogging stress results in root hypoxia, which induces a series of physiological changes. Unfortunately, prolonged anaerobic respiration can result in the accumulation of harmful substances in the rhizosphere. With global warming and environmental degradation, these problems are becoming more and more significant. Therefore, improving the drought resistance and waterlogging resistance of forest trees has become the focus of current research on forest tree breeding.
Phoebe bournei (Hemsl.) Yang, an evergreen broad-leaved tree species classified under the genus Phoebe in the Lauraceae family, holds the status of a class II protected plant in China because of its profound ecological, medicinal, and economic value. Renowned for its fine wood with a beautiful texture, robust corrosion resistance, and minimal susceptibility to cracking during drying, this tree species has been widely used in shipbuilding, construction, and wood artistry [1]. However, P. bournei faces challenges such as drought, waterlogging, and salinization, leading to a decline in population size and scattered distribution patterns [2]. Despite its environmental relevance, the intricate response mechanism of P. bournei to various stressors remains relatively unexplored.
The WRKY gene family is an important transcriptional regulator that plays an important regulatory role in plant resistance to biotic and abiotic stresses. The structural domain of WRKYGQK consists of approximately sixty strongly conserved amino acid residues, with an invariant heptapeptide amino acid sequence at the end of the N-terminus. There are two zinc-finger motifs at the C-terminus, C2H2 (C-X4–5-C-X22–23-H-X-H) or C2HC (C-X7-C-X23-H-X-C) [3]. Studies have shown that an amino acid in WRKYGQK is substituted, resulting in a change in its sequence, including WRKYGKK, WRKYGEK, WRKYGRK, and WRKYGQK. Additionally, the amino acids RR, SK, KR, VK, IK, RM, RI, or KK of the WRKY structural domain often replace the original “RK” [4]. The WRKY transcription factor (TF) can specifically bind to the W-box (TTGACC/T) in the promoter of target genes to activate or repress transcription to regulate the expression of downstream genes [5]. The WRKY family is classified according to the number of WRKY structural domains and the type of zinc-finger motif. Group I contains two WRKY conserved domains, and the zinc-finger structure is C2H2. Groups II and III both contain only one WRKY conserved domain. The Group II zinc-finger structure is the same as that of Group I, which is C2H2, while the Group III zinc-finger structure is C2HC. Additionally, according to conserved structural motifs other than WRKYGQK, Group II can be divided into IIa, IIb, IIc, IId, and IIe [6,7].
Many studies have reported that WRKY TFs regulate gene expression and play a variety of biological functions, especially in abiotic stress responses [8,9]. The overexpression of an Arabidopsis thaliana WRKY TF (AtWRKY30) significantly enhances the ability of wheat to resist heat and drought [10], and AtWRKY53 negatively regulates drought resistance in A. thaliana by mediating stomatal movement [11]. AtWRKY57 can improve A. thaliana drought resistance by increasing the level of abscisic acid ABA [12]. In rice, OsWRKY11 plays a significant role in rice resistance to high temperature and drought, improving the stress resistance of plants [13]. Similarly, the expression of OsWRKY45 increases significantly under ABA, NaCl, and polyethylene glycol PEG treatments, and the drought resistance of A. thaliana is enhanced [14]. Phyllostachys edulis, PheWRKY72-2 can enhance drought tolerance in transgenic A. thaliana by regulating stomatal closure [15]. In Camellia japonica, CjWRKY21 is overexpressed during low-temperature pressure, and CjWRKY22 is overexpressed during drought damage [16].
Although the WRKY gene family has been thoroughly researched in many plants, such as A. thaliana [17], Zea mays [18], Oryza sativa [13], and other plants, there has been no systematic analysis of the WRKY gene family in P. bournei. In particular, little is known about the response of P. bournei to abiotic stresses at the molecular level. In this study, members of the WRKY gene family were identified, and the phylogenetic relationship, gene structure, motif composition, cis-acting elements, exon–intron structure, evolutionary pattern, protein structure and interaction regulatory network, and gene expression patterns under waterlogging and drought stress were systematically analyzed. Additionally, the expression level of PbWRKY with different expression patterns was verified by a quantitative real-time PCR (RT-qPCR) analysis. This study provides a scientific basis for the in-depth study of the biological function of PbWRKY genes and their response mechanism in abiotic stress and also provides theoretical guidance for breeding P. bournei varieties with excellent resistance.

2. Results

2.1. The WRKY Gene Family in P. bournei

The conserved domain of the P. bournei WRKY was determined by the A. thaliana WRKY model. Finally, 60 WRKY were obtained and named PbWRKY1PbWRKY60 (Table 1). The physical and chemical properties (including amino acids, molecular weight, isoelectric point, and subcellular location) of the WRKY protein were analyzed by ExPaSy. Among the 60 WRKY proteins, there was a significant difference in the number of amino acids, with a minimum number of amino acids (104) and a maximum number of amino acids (883), a molecular weight range of 12.64 to 96.25 kDa, and an isoelectric point range of 4.80 to 10.80. Subcellular localization predicted that many PbWRKY proteins belong to nuclear proteins, while only PbWRKY52 may belong to chloroplasts or nuclei.

2.2. PbWRKY Protein Phylogenetic Analysis

There were three groups of PbWRKY proteins (Figure 1): Group I in yellow, which contains 13 PbWRKYs; Group IIa in red, which contains 3 PbWRKYs; Group IIb in green, which contains five PbWRKYs; Group IIc in blue, which contains 16 PbWRKYs; Group IId in orange, which contains five PbWRKYs; Group IIe in purple, which contains 11 PbWRKYs; and the number of members was lowest in Group IIa and highest in Group IIc. The proportion of PbWRKY genes in each group was different from that of the AtWRKY genes in A. thaliana. Group I had the highest number of WRKY proteins in A. thaliana, but Group II had the most predominant WRKY proteins in P. bournei.

2.3. PbWRKY Multiple Sequence Alignment

PbWRKY domains and conserved motifs spanning 60 amino acids were investigated using multiple sequence alignment (Figure 2). The investigation of the PbWRKY subfamily conserved domains revealed that the members of the subfamily contained highly conserved WRKY domains, individual members with WRKYGQK heptapeptide domain variants, and zinc-finger structure variants. Group I contained two WRKY conserved domains. They were classified as I-N and I-C according to their position in the sequence. Group I-N PbWRKYs contained a WRKYGQK domain and a CX4CX22HXH zinc-finger structure. Group I-C PbWRKYs contained a WRKYGQK domain and a CX4CX23HXH zinc-finger structure. Relative to Groups I, II, and III, only one conserved domain exists. Group II was further divided into five distinct groups (Group IIa–Group IIe) based on the amino acid sequence differences. Groups IIa, IIb, IId, and IIe were similar, containing a WRKYGQK domain and a CX5CX23HXH zinc-finger structure. A WRKYGQK domain and a CX4CX23HXH zinc-finger structure were found in Group IIc PbWRKYs. A WRKYGQK domain and a CX7CX23HXC zinc-finger structure were found in Group III PbWRKYs.

2.4. PbWRKY Gene Structure and Motif Composition

Sixty PbWRKY protein sequences contained 20 motifs: the number of motifs in PbWRKYs ranged from one (PbWRKY1) to nine (PbWRKY17, PbWRKY24, PbWRKY28, and PbWRKY57) (Figure 3B). Motifs 1, 2, and 20 were observed in Group III of PbWRKY proteins, but motifs 1, 2, 4, 8, 11, 16, and 18 were identified in Group IId, whereas motifs 1, 2, 10, and 12 were observed in Group IIa. PbWRKYs all had motifs 1 and 2, while motifs 3, 9, 13, and 17 were only identified in Group I, and motifs 5, 6, and 18 were only identified in Group IId. Motifs 15 and 19 were unique to Groups IIc and IIe. Most branches containing motifs 4 and 16 were present in Group I, but PbWRKY10, which contained motif 16, was located in Group IIc.
The exon/intron structure and number of exons were analyzed to detect features of the evolutionary events in the PbWRKY genes family in P. bournei (Figure 3C). The PbWRKY gene contained two to eight exons, with PbWRKY1 and PbWRKY52 having eight exons (n = 8). PbWRKYs had similar exons and introns in the same group, such as in Groups IIa and IId, which had a low number of exons and a conserved structure. PbWRKY Group III contained two to three exons, with approximately 86% (6/7) containing three exons. Group IIe contained three to seven exons, with approximately 64% (7/11) containing three exons, and Group IIb contained four to seven exons, with approximately 60% (3/5) containing five exons. In conclusion, almost all PbWRKYs of the same group or subgroup had very similar motif compositions and gene structures. This indicated that these PbWRKY proteins may have similar functions, further validating the phylogenetic relationship of PbWRKYs.

2.5. Ka and Ks of the PbWRKY Gene Family

The origin and evolution of the PbWRKYs were further identified by calculating the Ka and Ks values for homologous gene pairs. We identified a total of 21 homologous gene pairs in the P. bournei genome (Table 2). The Ks values ranged from 0.07 to 3.14 for P. bournei homologous pairs, indicating that the duplication event occurred approximately 5.4–241.94 million years ago, whereas only six homologous pairs were identified in P. bournei and A. thaliana (Table 3). The Ks values for P. bournei and A. thaliana homologous gene pairs ranged from 1.82 to 4.03, suggesting that the replication event occurred between 140.37 and 309.77 million years ago. To understand the evolutionary selection pressure on different PbWRKY gene pairs, we also calculated the Ka/Ks ratio. Ka/Ks indicates a positive or diversifying selection when Ka or Ks is >1 and a neutral selection when Ka or Ks = 1. The results showed that the Ka/Ks ratios of the 21 PbWRKY homologous gene pairs were all <0.5 (Table 2), indicating that the WRKY gene family of P. bournei had undergone strong purifying selection during evolution, eliminating most of the deleterious mutations and resulting in a high level of protein conservation. Six P. bournei and A. thaliana homologous gene pairs (except PbWRKY37-AtWRKY34) had Ka/Ks ratios that were all <0.4 (Table 3), indicating that the WRKY gene families of P. bournei and A. thaliana have undergone mainly strong negative selection during evolution.

2.6. Analysis of Cis-Acting Elements in the Promoter Region of PbWRKYs

The cis-acting elements of the promoter sequence of PbWRKYs were obtained using the PlantCARE database to understand and speculate their possible response mechanisms under various stresses. The 56 cis-elements identified could be classified into four categories according to their functions, including 26 light-responsive elements, 12 hormone-related elements, 12 development elements, and six abiotic stress-responsive elements (Figure 4). A total of 111 G-boxes were the most abundant among all cis-elements, in addition to 48 Box 4 elements and 39 GT1 motifs, suggesting that the expression of PbWRKYs was mainly induced by light. Additionally, 100 ABA response elements (ABREs), 52 CGTCA motifs, and 27 TCA elements (salicylic acid response elements) were identified, indicating that PbWRKYs play a large part in the hormone response process. Significantly, many stress response elements were identified in the PbWRKYs, including 84 ARE elements (anaerobic elements), thirty MBS elements (drought response elements), and sixteen TC-rich repeat elements (defense and stress response elements).
As shown in Figure 5, fifty-three of the sixty PbWRKY genes possessed different cis-acting elements, while seven other PbWRKYs were not detected due to short sequences upstream of the translation initiation site. These five cis-acting elements had a different distribution across the different PbWRKY gene families. Most of the PbWRKYs contained cis-elements essential for anaerobic induction (83.02%), followed by cis-elements associated with drought stress (49.06%). There were fewer development-related motifs. The CAT-box only had 29 motifs, and the AuxRR-core, circadian, and GON4 motifs had nearly eight motifs, while the others had nearly two or three motifs. From the results, members of the same group or subgroup shared similar potential functions (Figure 5). For example, none of the PbWRKY genes in Group IId had cis-elements related to anoxia-specific induction and low-temperature responses, indicating that this subgroup may not function in this area. Similarly, none of the members of Group III contained enhancer-like elements related to anoxia-specific induction, and therefore, members of this group may not respond to anoxic stress (waterlogging stress, etc.). Members of Group IIb lacked the MYB binding site elements involved in drought induction, implying that members of this group may not respond to drought stress. This indicates that PbWRKYs are responsive to a variety of abiotic stresses.

2.7. Protein Tertiary Structure Prediction

To further validate the results for the different groupings of PbWRKYs, the protein tertiary structure of PbWRKYs was predicted using the SWISS-MODE online software (https://swissmodel.expasy.org/ (accessed on 25 June 2024)). Each final structure was the most predicted structure in its respective grouping (Figure 6). The results indicated that the tertiary structure of the proteins in each group or subgroup differed significantly. The members of the different subgroups all had similar proportions to those of the corresponding structures, representing a group or subgroup with similar protein structures that may perform similar functions. PbWRKY36 in Group I had 90% homology (Seq Identity) to AtWRKY4, and the value of the qualitative model energy analysis (QMEAN) was 0.59; PbWRKY46 in Group IIa had 80.30% homology with AtWRKY18, and the value of QMEAN was 0.61; PbWRKY38 in Group IIb had 58.18% homology with AtWRKY4, and the value of QMEAN was 0.49; PbWRKY20 in Group IIc had 66.20% homology with AtWRKY4, and the value of QMEAN was 0.58; PbWRKY17 in Group IId had 55.71% homology with AtWRKY1, and the value of QMEAN was 0.67; PbWRKY45 in Group IIe had 62.34% homology with RRS1, and the value of QMEAN was 0.66; PbWRKY41 in Group III had 57.81% homology with OsWRKY45, and the value of QMEAN was 0.55. PbWRKY had the highest homology with AtWRKY4 and was most likely a homologous protein.

2.8. PbWRKY Protein Interaction Network Prediction

To understand the potential regulatory network between PbWRKY proteins, a predicted protein interaction network consisting of 26 PbWRKY proteins was constructed from 60 PbWRKYs using STRING based on homologs of A. thaliana (Figure 7). Among the twenty-six PbWRKY proteins, three genes pertained to Group I, 19 genes pertained to Group II, and four genes pertained to Group III. The 26 nodes were divided into two categories, one of which had only four WRKY proteins that may be collectively associated with a simple regulatory pathway. AtWRKY40 (PbWRKY9, PbWRKY46, and PbWRKY52) was located at the center of the regulatory network and had the highest degree of connectivity. It interacted with AtWRKY18 (PbWRKY47) and AtWRKY60 (PbWRKY44), which together regulate ABA signaling. In addition, the interactions of AtWRKY22 (PbWRKY16 and PbWRKY59) and AtWRKY33 (PbWRKY34 and PbWRKY35) are associated with hypoxic adaptation to waterlogging stress. AtWRKY53 (PbWRKY8 and PbWRKY23) plays a significant role in leaf senescence and is also central to stress responses. AtWRKY70 (PbWRKY42) negatively regulates drought resistance by repressing the expression of drought-inducible genes. The homologs of these seven AtWRKY counterparts, PbWRKY, are also involved in a network of other protein interactions with different AtWRKY functions. In summary, these results indicate that there are multiple interactions between PbWRKY proteins in response to multiple stresses.

2.9. Expression Analysis of the PbWRKYs

Waterlogging and drought stress affect plant growth, and the response to biotic and abiotic stresses occurs mainly at the transcriptional level. To determine whether PbWRKYs play a critical role in waterlogging and drought stress responses, we used transcriptome data from two periods (7 and 14 d) under waterlogging stress and three periods (3, 6, and 9 d) under drought stress, as well as rehydration for 3 d after 9 d drought stress, to explore the expression of 60 PbWRKYs under waterlogging and drought stress (Figure 8 and Figure 9).
Under drought stress, most PbWRKY expression patterns could be classified as either low expression in almost all periods, consistently high expression, or high expression at different periods. Drought treatment for 3, 6, and 9 d, followed by 3 d of rehydration, resulted in 35 (58%), 21 (35%), 24 (40%), and 40 (67%) genes being upregulated compared to the control. PbWRKY26 and PbWRKY60 reached the highest expression levels at 3 d with downregulated expression in other periods, and PbWRKY20 had the highest expression at 9 d. PbWRKY10, PbWRKY22, PbWRKY32, PbWRKY50, PbWRKY51, and PbWRKY58 had high expression levels in all periods, while PbWRKY2, PbWRKY4, PbWRKY15, PbWRKY18, PbWRKY21, PbWRKY29, PbWRKY36, PbWRKY38, and PbWRKY53 were expressed at low levels in most periods.
The response of PbWRKYs under waterlogging stress was not as pronounced as the response to drought stress, with most genes showing a downregulated expression pattern. Their expression profiles under waterlogging stress could be divided into two categories: low expression in most periods and high expression in different periods. PbWRKY18 and PbWRKY53 reached their highest expression at 7 d and were subsequently downregulated, while PbWRKY4, PbWRKY49, and PbWRKY56 reached their highest expression at 14 d. PbWRKY2, PbWRKY15, PbWRKY21, PbWRKY29, PbWRKY36, and PbWRKY38 were consistently highly expressed, which was different from drought stress (Figure 8). This suggests that PbWRKY expression patterns differed under waterlogging stress. PbWRKY10, PbWRKY20, PbWRKY22, PbWRKY26, PbWRKY32, PbWRKY50, PbWRKY51, PbWRKY58, and PbWRKY60 primarily promoted the P. bournei response under drought stress, whereas PbWRKY2 and PbWRKY4 mainly promoted the P. bournei response under waterlogging stress.

2.10. Verification of the Expression of PbWRKYs by RT-qPCR

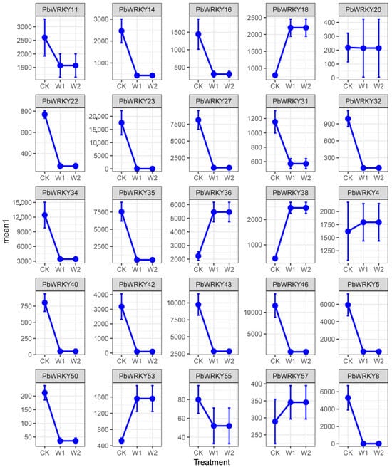
The expression patterns of 25 selected PbWRKYs under drought and waterlogging stresses were examined by RT-qPCR (Figure 10 and Figure 11). Most genes had significant expression after drought and waterlogging stress treatments. Under drought stress, most genes repressed expression in the D2 and D3 periods and upregulated expression in the D4 period (3 d with water after 9 d of drought stress); however, PbWRKY20, PbWRKY50, PbWRKY55, and PbWRKY57 were upregulated in the D2 and D3 periods; PbWRKY18, PbWRKY36, and PbWRKY38 were upregulated in the D2 period and repressed in the D3 period; and PbWRKY4 repressed expression in the D2 period and regulated expression in the D3 period. The genes with low expression in the D3 period were PbWRKY23, PbWRKY34, and PbWRKY43, and the genes with high expression in the D4 period were PbWRKY23, PbWRKY34, PbWRKY35, PbWRKY43, PbWRKY46, and PbWRKY5.
Some genes were upregulated under waterlogging stress, while others were repressed. PbWRKY18, PbWRKY36, PbWRKY38, PbWRKY4, PbWRKY53, and PbWRKY57 were upregulated in the W1 and W2 periods. PbWRKY11, PbWRKY14, PbWRKY16, PbWRKY22, PbWRKY23, PbWRKY27, PbWRKY31, PbWRKY32, PbWRKY34, PbWRKY35, PbWRKY40, PbWRKY42, PbWRKY43, PbWRKY46, PbWRKY5, PbWRKY50, PbWRKY55, and PbWRKY8 were all repressed in the W1 and W2 periods. PbWRKY20 was almost the same as the CK in the W1 and W2 periods. The gene with the highest expression during the W1 period was PbWRKY36; the genes with relatively high expression during the W1 period were PbWRKY11, PbWRKY18, PbWRKY34, PbWRKY36, PbWRKY38, and PbWRKY43. The gene with the highest expression during the W2 period was PbWRKY43; the genes with relatively high expression during the W2 period were PbWRKY4, PbWRKY34, PbWRKY36, PbWRKY38, and PbWRKY43.
In summary, our investigation focused on PbWRKY23, PbWRKY34, and PbWRKY43, specifically observing their responses under drought stress. Similarly, PbWRKY34, PbWRKY36, PbWRKY38, and PbWRKY43 were the focal points of our examination under waterlogging stress conditions. Notably, PbWRKY34 and PbWRKY43 demonstrated distinctive expression patterns, showing specificity under either drought or waterlogging stress, making them particularly intriguing subjects for focused research in these respective environmental conditions.

3. Discussion

3.1. Different Species and the Number of WRKY Members

The WRKY TF gene family is widespread in woody and herbaceous plants, such as A. thaliana [17], Vitis vinifera [4], Triticum aestivum [10], Z. mays [18], and Nicotiana tabacum [19] (Table 4). In this study, a search of the WRKY genes in the whole bournei genome identified 60 members, which were named PbWRKY1-PbWRKY60 (Table 3). Phoebe bournei has fewer WRKY members than Lycopersicon esculentum (81) [20], Osmanthus fragrans (154) [21], and Nicotiana tabacum (164) [19]. However, the number of WRKY genes of P. bournei is similar to that of Santalum album (64) [22], V. vinifera (59) [4], and Prunus persica (58) [5], which may be related to the size of the genome. Studies have shown that the quantity of WRKY genes in herbaceous plants is higher than in woody plants, which may be related to the different growth environments of species [10,23,24].

3.2. Construction of Phylogenetic Tree and Multiple Sequence Alignment of PbWRKYs

According to the gene structure and conserved motif analysis, PbWRKYs could be classified into three groups, namely, Groups I, II, and III, among which Group II could be further divided into five subgroups (IIa–IIe). The numbers of the 60 PbWRKYs differed among the different groups. Groups I, II, and III contained thirteen, forty, and seven proteins, respectively. The number of WRKY groups was different in different tree species, such as A. thaliana [17] and Populus tomentosa [25]. The number of WRKY groups was largest in Group I, while the number of WRKY groups in O. sativa was previously reported to be largest in Group III [12]. However, the number of WRKY groups in P. bournei has been reported to be largest in Group II, which is the same in Eucommia ulmoides, O. fragrans, and Solanum lycopersicum [21,26,27], indicating that more gene duplications have occurred in Group II during evolution. As shown in Figure 2, the PbWRKY proteins of Groups IIa and IIb, as well as IId and IIe, were located close to each other. Therefore, Group II could be divided into five subgroups according to the phylogenetic relationship: IIa, IIb, IIc, IId, and IIe.
The conserved motifs of PbWRKY proteins were then evaluated. As shown in Figure 4, the WRKYGQK motif was highly conserved in PbWRKY proteins, but slight variations were found in four genes (PbWRKY19, PbWRKY29, PbWRKY39, and PbWRKY44). The WRKY motif of PbWRKY19 was replaced by WKKY, the same sequence variation occurred in PbWRKY44, and the domains of PbWRKY29 and PbWRKY39 in Group IIc had deletions. It was previously found that variants of the WRKYGQK motif may affect the selection and regulation of the WRKY TF target genes [28,29], and therefore, the function and binding specificity of PbWRKY19, PbWRKY29, PbWRKY39, and PbWRKY44 are worthy of further research.
The variation in the structural domain is the divergent force of the expansion and evolution of the PbWRKY gene family. Variations in the WRKY domain are common in many species, such as E. ulmoides and Cinnamomum camphora [27,30]. There were large variations in the N-terminal domain of WRKY, which could affect its binding activity to DNA targets. However, the PbWRKY19 protein in Group I in P. bournei displayed a domain loss event, and it was located close to the N-terminus. PbWRKY29 and PbWRKY39 in Group IIc and PbWRKY44 in Group III also had domain loss events. WRKYGQK at the conserved site of PbWRKYs became WKKYGQK, and it has been speculated that this variation may produce some new biological functions [31,32].

3.3. Protein Conserved Motifs and Gene Structure

According to the protein motif composition, PbWRKYs were relatively well conserved, with multiple conserved motifs. Motifs 1, 2, 5, 8, 14, and 16 appeared in pairs, indicating that they were functionally related to subgroup classification; motifs 14 and motif 17 were distributed irregularly across the seven subgroups. In general, members of the same subgroup shared common motifs. In terms of gene structure, all members of Group IId contained three exons, and the gene structure was conserved; however, different groups had different numbers of exons. For example, most members of Group I had seven exons, and members of Group III had a maximum of three exons, and therefore, the gene structure was relatively simple. The members of Group II had a maximum of seven to eight exons, and therefore, the gene structure was more complex than that of Groups I and III. This distribution of quantities is similar to that of grape and wheat [10,33].

3.4. Ka and Ks Evolutionary Selection

Gene duplication events are one of the reasons why different species have different numbers of WRKY gene families. Gene duplication leads to the evolution of WRKY genes, which may result in new functions, thus improving plant stress resistance [34,35]. According to the duplication sequences of PbWRKY, the Ka/Ks mutation ratios of 21 pairs of PbWRKY duplicated genes were calculated (Table 2). This ratio is an important indicator of study selection limitations and can be used to estimate the approximate timing of duplication events. The Ka/Ks ratio of 21 pairs of PbWRKYs was <1, which means that the PbWRKYs eliminated deleterious mutation sites through purification selection during evolution and that PbWRKYs were highly conserved. Additionally, a total of six duplication events were found in 60 PbWRKYs and 66 AtWRKYs (Table 3), of which five pairs of Ka/Ks ratios were <1, and only PbWRKY37 and AtWRKY34 had Ka/Ks ratios >1, indicating positive selection between these two genes [36,37].

3.5. Protein Tertiary Structure Prediction and Protein Regulatory Networks

The protein regulatory network of the PbWRKY gene family was investigated. In the network, the colored spheres (protein nodes) were used as optical aids to represent the various input proteins and the forecasted interactions. The protein nodes demonstrated the accuracy of the protein three-dimensional model information. Gray lines connect the proteins, which are related to the circular text evidence. The strength of the data support was indicated by the thickness of the line [38,39]. AtWRKY40 (PbWRKY9, PbWRKY46, and PbWRKY52) was at the center of the regulatory network and had the most sides, interacting with AtWRKY18 (PbWRKY47) and AtWRKY60 (PbWRKY44), which together regulate ABA signaling [40,41]. Additionally, the interactions of AtWRKY22 (PbWRKY16 and PbWRKY59) and AtWRKY33 (PbWRKY34 and PbWRKY35) are associated with hypoxic adaptation to waterlogging stress. AtWRKY53 (PbWRKY8 and PbWRKY23) regulates leaf senescence and is essential for responding to abiotic stresses such as drought [11]. At the same time, AtWRKY70 (PbWRKY42) negatively regulates drought resistance by repressing the expression of drought-inducible genes [42], and the interactions of PbWRKY16, PbWRKY59, PbWRKY34, PbWRKY35, PbWRKY8, and PbWRKY23 may be involved in the mechanism of the waterlogging stress response. There were no obvious interactions between these proteins, and a further correlation analysis may be needed to determine if any exist.

3.6. Promoter Cis-Acting Elements

Cis-acting elements in the promoter region affect gene expression by binding to TFs [43]. The analysis results indicated the number of light response elements in the PbWRKY promoter, followed by hormone response elements and then stress response elements. A total of 60 PbWRKY genes contained 111 G-boxes, which were related to plant hypoxia. They also included hundreds of ABRE response elements and 84 ARE response elements, which were related to anaerobic induction. Finally, they also contained 30 MBS response elements, which are related to the resistance of plants to drought stress. These may respond to drought and waterlogging stress. This discovery suggests that PbWRKYs play an important role in the adaptation of P. bournei to environmental deterioration, such as waterlogging and drought.

3.7. The Expression Pattern of PbWRKYs

The expression pattern of PbWRKYs under waterlogging and drought stress was analyzed through the use of heatmaps. An RT-qPCR method was used to verify 25 genes, but only PbWRKY4, PbWRKY18, PbWRKY20, PbWRKY22, PbWRKY23, PbWRKY36, PbWRKY38, PbWRKY40, PbWRKY50, PbWRKY53, PbWRKY55, and PbWRKY57 had significant expressions under drought and waterlogging stresses.
Under long-term drought stress, the expression levels of each gene were different on different drought days. The expression of PbWRKY18, PbWRKY22, PbWRKY23, PbWRKY40, PbWRKY50, and PbWRKY55 increased markedly under the 3 d drought treatment. After 6 d of drought, PbWRKY18, PbWRKY50, and PbWRKY55 remained upregulated; PbWRKY20, PbWRKY38, and PbWRKY57 started to be upregulated; and PbWRKY22, PbWRKY23, and PbWRKY40, which were upregulated during D1, started to decrease. At 9 d of drought, PbWRKY5, PbWRKY55, PbWRKY5, PbWRKY20, and PbWRKY38 remained upregulated, while the remaining five genes, PbWRKY18, PbWRKY22, PbWRKY23, PbWRKY40, and PbWRKY50, started to decrease. PbWRKY55 remained upregulated during drought and had a significant resistance effect, while all nine genes underwent upregulation under drought treatment. PbWRKY55, PbWRKY18, PbWRKY50, PbWRKY22, PbWRKY23, and PbWRKY40 played the most important roles in drought stress, followed by PbWRKY20, PbWRKY38, and PbWRKY57.
The six genes PbWRKY18, PbWRKY36, PbWRKY38, PbWRKY4, PbWRKY53, and PbWRKY57 displayed a gradually increasing expression trend under the 7 d waterlogging stress, with the highest expression under the 14 d waterlogging stress. The highest expression was found for PbWRKY36. These six genes were the most sensitive to waterlogging treatments. PbWRKY18, PbWRKY20, PbWRKY22, PbWRKY23, PbWRKY38, PbWRKY40, PbWRKY50, PbWRKY55, and PbWRKY57 may play a major role in drought stress. PbWRKY18, PbWRKY36, PbWRKY38, PbWRKY4, PbWRKY53, and PbWRKY57 played a significant role in the waterlogging treatment, while PbWRKY18, PbWRKY38, and PbWRKY57 played positive regulatory roles under both the waterlogging and drought treatments.
The protein interaction network displayed the same trend as in the transcriptome data. PbWRKY46, PbWRKY16, PbWRKY34, PbWRKY35, PbWRKY8, and PbWRKY42 decreased significantly under both drought and waterlogging stress. PbWRKY23 increased first and then decreased under drought stress and decreased significantly under waterlogging stress.

3.8. Significantly Expressed PbWRKYs under Drought and Waterlogging Stresses

During drought stress in P. bournei, PbWRKY55 expression was upregulated during D1, D2, and D3, and therefore, it may play a major role in drought stress in P. bournei. AtWRKY61 was located on the same branch as PbWRKY55, with both belonging to Group IIb. Jiang showed that AtWRKY61 expression was significantly increased after drought, cold, and ABSA, which was consistent with the PbWRKY transcriptome. AtWRKY61 may respond to nonbiological stress by interacting with AtWRKY9 [24,44], and PbWRKY55 was in the same position as AtWRKY9 in the protein interaction network. We, therefore, speculated that PbWRKY55 is an important drought-regulating gene in P. bournei.
PbWRKY36 was consistently upregulated and expressed at high values in W1 and W2 during waterlogging stress in P. bournei. We, therefore, speculated that PbWRKY36 plays a significant role in waterlogging stress in P. bournei. AtWRKY4 is located on the same branch as PbWRKY36, and both belong to Group I. Most PbWRKYs were similar to AtWRKY4 in the predicted tertiary structure model of P. bournei proteins. Previous research has shown that AtWRKY4 is a vital salt stress gene; Li and Peng showed that AtWRKY4 was overexpressed under salt and Me-JA stresses. The role of the AtWRKY3 and AtWRKY4 genes in plant defense responses to necrotrophic pathogens has been reported [45]. Roots gradually decay and become necrotic under waterlogged conditions, and we, therefore, speculated that PbWRKY36 promotes defense responses through the upregulation of root necrosis under waterlogging stress.
PbWRKY18, PbWRKY38, and PbWRKY57 had positive regulatory roles under both drought and waterlogging stresses. AtWRKY45 is homologous to PbWRKY18, and previous studies have reported that it displays a strong response to jasmonate treatment [46]. AtWRKY45 also responds strongly under low-phosphorus stress. AtWRKY6 is homologous to PbWRKY38, and the expression of AtWRKY6 is affected by the triggering of senescence and plant defense response signals. AtWRKY6 overexpression has been observed in the presence of low levels of phosphorus, and eight potential target genes have been identified, including 14-3-3 protein, tryptophan synthase, carbonic anhydrases, ATP synthase, and Gln synthetase [47]. AtWRKY15 is homologous to PbWRKY57 and regulates plant growth and salt stress responses [48]. CsWRKY7, AtWRKY7, and AtWRKY15 are homologous genes. CsWRKY7 is localized to the nucleus and is involved in the plant response to environmental stress and growth [49]. Therefore, we hypothesized that PbWRKY18, PbWRKY38, and PbWRKY57 are all important defense genes in P. bournei.

3.9. Different Transcription Factors under Drought and Waterlogging Stresses

Transcription factors can regulate the expression of multiple stress-related genes to improve plant stress resistance. Therefore, by overexpressing plant-specific transcription factors in plants, they can simultaneously regulate multiple functional genes and thus improve plant stress resistance, which has become a research focus in genetic improvement and breeding of plant stress resistance. WRKY, MYB, and AP2/ERF are the main transcription factors related to drought and flood resistance in plants.
The WRKY gene family is one of the larger gene families in plants, and the WRKY gene can specifically bind to the downstream gene promoter cis-acting element, which contains a very conserved (C/T) TGAC (T/C) sequence, so it is called W-box. The WRKY gene binds to this element, thereby activating or inhibiting the expression of downstream genes. Drought stress and waterlogging are the most common abiotic stress factors suffered by plants. Plants can regulate their resistance to stress through the WRKY gene regulatory network and hormone signal transduction. The overexpression of the GhWRKY6-like gene in cotton can enhance the tolerance of cotton to drought and osmotic stress, while the MdWRKY30 gene can enhance the tolerance of overexpressed apple callus to salt and osmotic stress by regulating the expression of downstream related genes. It was also found that Arabidopsis thaliana had stronger salt tolerance and osmotic ability than the wild type. In addition, the WRKY gene can also regulate the content of osmotic regulatory substances, such as soluble sugar and proline, and reduce the content of malondialdehyde so as to improve the drought resistance of plants.
MYB is one of the largest transcription factor families in plants. All genes in this family contain a specific conserved domain. The MYB domain consists of 1–4 tandem and non-repetitive R motifs. Numerous studies have shown that MYB genes are involved in abiotic stress pathways and resist stress through their transcriptional regulatory networks. MYB gene is also directly involved in the regulation of external environmental signals. MYB plays an important role in drought stress, and PtoMYB170 plays a role in the regulation of secondary wall synthesis. Meanwhile, drought experiments in Arabidopsis Thaliana showed that the PtoMYB170 gene plays a regulatory role in drought stress. In addition, it was found that the MYB156 and MYB221 genes of poplar, the AtMYB14 gene of Arabidopsis Thaliana, the MdMYB121 gene of apple, and the ApMYBs gene of Andrographis andrographis were involved in the regulation of drought stress.
AP2/ERF gene is a transcription factor unique to plants, and its family genes are numerous and versatile. According to the sequence similarity and the number of AP2/ERF functional domains, the AP2/ERF gene family can be divided into AP2, RAV, ERF, and Soloist subfamilies, and the ERF subfamily can be further divided into DREB and ERF subfamilies. DREB gene regulates the expression of related genes by binding to DRE elements in the downstream gene promoter region, the ERF gene activates downstream gene expression by binding to GCC-box elements in the downstream target gene promoter region, and RAV and ERF subfamily genes participate in plant hormone response and abiotic stress response. At present, a large number of AP2/ERF genes have been identified in Arabidopsis Thaliana and rice, and gene function analysis has found that AP2/ERF genes are involved in abiotic stress responses such as waterlogging and drought. BpERF13 overexpressed transgenic strains of Betulae alba were subjected to cold stress, and it was found that SOD, POD, and CBF genes of transgenic strains were significantly upregulated, indicating that transgenic strains were more cold-resistant. The upregulated expression of AcERF74 in kiwifruit is involved in the waterlogging response of kiwifruit, and the upregulated expression of ZmEREB102 in maize is involved in the drought resistance response of maize. In summary, AP2/ERF gene family members are widely involved in abiotic stress responses such as waterlogging, salt, and drought.

4. Materials and Methods

4.1. WRKY Gene Family Members in P. bournei

The WRKY proteins of A. thaliana were downloaded from The Arabidopsis Information Resource (TAIR) website (https://www.arabidopsis.org/ (accessed on 12 April 2023)). Genome Warehouse’s Hidden Markov Model (HMM) (PF03106) was used to identify potential WRKY gene family members (E-value < 10−5) [50,51]. Multiple sequence alignment by MEGA was used to exclude redundant fragments [52]. Then, the candidate gene sequences were confirmed in the National Centre for Biotechnology Conserved Domains Database (NCBI-CDD) (https://www.ncbi.nlm.nih.gov/cdd/ (accessed on 20 April 2023)) and the Pfam database (http://pfam-legacy.xfam.org/ (accessed on 9 May 2023)) [51]. ExPASy prediction (https://web.ExPASy.org/protparam/ (accessed on 24 May 2023)) was used to obtain the physicochemical properties of the completed PbWRKY gene family members, which included molecular weight, isoelectric point, number of amino acids, instability coefficient, aliphatic index, hydropathicity, and predicted location.

4.2. Multiple Sequence Alignment and Phylogenetic Analysis

The phylogenetic relationship among the aligned sequences obtained was estimated by the neighbor-joining (NJ) method using the MEGA 7.0 software [52]. Further, phylogenetic tree beautification was performed by Evolview 8 (https://www.evolgenius.info/evolview (accessed on 7 June 2023)). Ultimately, the protein evolutionary tree consisted of the WRKY family members of A. thaliana and P. bournei.

4.3. Gene Structures and Conserved Motif Analysis

The PlantCARE database (https://bioinformatics.psb.ugent.be/webtools/plantcare/html/ (accessed on 12 June 2023)) and TBtools [53] were used to predict the structure of PbWRKY introns and exons. To identify the motif structure of the conserved domain of PbWRKYs, an online MEME was used (https://meme-suite.org/meme/doc/meme.html (accessed on 12 June 2023)) [54].

4.4. Calculation of Non-Synonymous (Ka) and Synonymous (Ks) Values

Non-synonymous and synonymous substitution events were estimated using Ka/Ks values, and Ks and Ka replacement rates were calculated using the Nei and Gojobori methods implemented in the KaKs calculator (http://code.google.com/p/kaks-calculator/wiki/KaKs_Calculator (accessed on 15 June 2023)) [55].

4.5. Promoter Cis-Regulatory Element Analysis

The start codon of the P. bournei genome was located by PlantCARE (https://bioinformatics.psb.ugent.be/webtools/plantcare/html/ (accessed on 24 June 2023)), and the 1500-bp sequence of its upstream region was intercepted as the gene promoter sequence. The results were processed using Excel software (2016), followed by TBtools software (v2. 056) for visualization [53].

4.6. Protein Tertiary Structure Prediction and Interaction Network Analysis

The protein tertiary structure was predicted using SWISS-MDEL (https://swissmodel.expasy.org/interactive (accessed on 27 June 2023)), and the highest percentage of protein tertiary structure models was found for each group. Using Ortho Venn 2 (https://orthovenn2.bioinfotoolkits.net/home (accessed on 28 June 2023)) and String (https://string-db.org/ (accessed on 29 June 2023)), the WRKY protein sequences of the two species were compared, and protein interaction networks were mapped.

4.7. Plant Materials and Abiotic Stress Treatments

Three hundred healthy P. bournei seedlings (three years old) were obtained from the Fujian Academy of Forestry Sciences and then transplanted to the Fujian Agriculture and Forestry University nursery for drought and waterlogging stress experiments. Place 300 young seedlings in a greenhouse, and for the seedlings under drought stress, no water is provided directly. For the seedlings under waterlogging stress, a large pot is placed inside a smaller pot so that the roots of the seedlings are fully submerged in water. Drought and waterlogging stress occurred between 29 July and 25 August 2021. Prior to 29 July, we initiated several drought stress experiments. However, due to weather conditions, i.e., the start of a rain event after 3 d of drought, we had to terminate the experiment. There was no rain from 29 July to 10 August. According to previous experiments, the seedlings were inactivated for 12 d under drought and 35 d under waterlogging stress. We took photographs and root samples after treatments of 0, 3, 6, and 9 d under drought stress and 3 d after rewatering. The post-stress recovery was suitable for drought-affected plants. During the pre-experiment period, we conducted recovery experiments on plants under waterlogging stress for 28 d, but at this time, the seedlings had already become inactive and could not be measured for transcriptome and physiological indicators. We took photographs and root samples after waterlogging treatments of 0, 7, 14, 21, and 28 d. Each sampling used the same procedure and was repeated five times, and the whole plant, as well as its roots and leaves, were photographed with a Leica M Type 240 camera (Figures S1 and S2). Generally, mature trees have better tolerance to environmental stress. Field observations have shown that seedlings are more likely to die when drought or waterlogging occurs. Because this was a controllable stress test, small seedlings were easy to work with. Currently, only the response characteristics of the seedling stage to stress are understood, and there are no clear results for the study of older trees.

4.8. RT-qPCR Analysis

Each sample was weighed to 0.1−0.2 g and ground rapidly in liquid nitrogen. The total RNA of P. bournei was extracted from different periods using a TIANGEN RNA prep Pure (DP441) Polysaccharide and Polyphenol Plant Total RNA Extraction Kit (centrifuge column), which was designed to prevent RNase contamination. The integrity of the RNA was checked using 1% agarose gel electrophoresis, and the concentration and purity were measured by ultraviolet spectroscopy. RNA was used for cDNA synthesis.
cDNA was synthesized using the NovaBio HyperScriptTM III RT Super Mix for RT-qPCR with the gDNA Remover Kit. Genomic DNA was removed to constitute a 20 μL reaction system (Table S1). RG6, RG7, and RG8 were used as internal reference genes [56]. The RT-qPCR technique was used to examine the expression of 11 internal reference genes at seven different times in the roots of P. bournei. The NovaBio 2*S6 Universal SYBR RT-qPCR Mix kit (operated on an Icycler iQ5 (BioRad, Hercules, CA, USA)) was used for this analysis. The total reaction system was 20 μL in a 96-well plate (Table S2), and three repeated operations were performed for each sample.

5. Conclusions

We studied the evolution of the WRKY gene family in P. bournei and other species and systematically identified the PbWRKY gene family in P. bournei at the genome-wide level. A total of 60 PbWRKY genes were identified and classified into three groups. These genes had similarities and differences in physicochemical properties, gene structure, conserved motifs, cis-regulatory elements, gene duplication, and the protein interaction network. Transcriptome data indicated that PbWRKY4, PbWRKY18, PbWRKY20, PbWRKY22, PbWRKY23, PbWRKY36, PbWRKY38, PbWRKY40, PbWRKY50, PbWRKY53, PbWRKY55, and PbWRKY57 had significant expression under drought and waterlogging stresses. The results serve not only as a foundation for the selection of alternative genes for abiotic stress responses but will also inform future studies of the effects of WRKY in woody plants.

Supplementary Materials

The following supporting information can be downloaded at https://www.mdpi.com/article/10.3390/ijms25137280/s1.

Author Contributions

S.C. and W.L. are co-corresponding authors; Z.W. and L.Y. are co-first authors; S.C. and W.L.: Writing—Reviewing and Editing and Validation; Z.W., L.Y., N.G., C.L. and Z.L.: Conceptualization, Data Curation, and Writing—Original Draft Preparation; J.S., L.W. and K.L.: Validation, Methodology, and Software; X.S. and L.F.: Resources and Data Curation. All authors have read and agreed to the published version of the manuscript.

Funding

This work was supported by the 7th Project of Forest Seeding Breaking in Fujian Province ([2-22]357), the Forestry Science and Technology Projects in Fujian Province (ZMGG-0708), and Forestry Peak Discipline Construction Project of Fujian Agriculture and Forestry University (72202200205).

Institutional Review Board Statement

Not applicable.

Informed Consent Statement

Not applicable.

Data Availability Statement

Genome sequences have been submitted to the National Genomics Data Center (NGDC). The raw whole-genome data of P. bournei have been deposited in BioProject/GSA (https://bigd.big.ac.cn/gsa (accessed on 25 March 2023)) under the accession codes PRJCA002001/CRA002192, and the assembly and annotation of the whole-genome data have been deposited at BioProject/GWH (https://bigd.big.ac.cn/gwh (accessed on 27 March 2023)) under the accession codes PRJCA002001/GWHACDM00000000.

Conflicts of Interest

The authors declare that the research was conducted in the absence of any commercial or financial relationships that could be construed as a potential conflict of interest.

References

  1. Li, S.G.; Li, X.W.; Li, J.; Huang, P.H.; Wei, F.N.; Cui, H.B.; Van Der Werff, H.; Wu, Z.Y.; Raven, P.H.; Hong, D.Y. Flora of China; Science Press & Missouri Botanical Garden Press: Beijing, China, 2008; Volume 7, p. 112. [Google Scholar]
  2. Chen, S.; Sun, W.; Xiong, Y.; Jiang, Y.; Liu, X.; Liao, X.; Zhang, D.; Jiang, S.; Li, Y.; Liu, B.; et al. The Phoebe Genome Sheds Light on the Evolution of Magnoliids. Hortic. Res. 2020, 7, 146. [Google Scholar] [CrossRef] [PubMed]
  3. Baillo, E.H.; Hanif, M.S.; Guo, Y.; Zhang, Z.; Xu, P.; Algam, S.A. Genome-Wide Identification of WRKY Transcription Factor Family Members in Sorghum (Sorghum bicolor (L.) Moench). PLoS ONE 2020, 15, e0236651. [Google Scholar] [CrossRef] [PubMed]
  4. Guo, C.; Guo, R.; Xu, X.; Gao, M.; Li, X.; Song, J.; Zheng, Y.; Wang, X. Evolution and Expression Analysis of the Grape (Vitis vinifera L.) WRKY Gene Family. J. Exp. Bot. 2014, 65, 1513–1528. [Google Scholar] [CrossRef] [PubMed]
  5. Chen, M.; Tan, Q.; Sun, M.; Li, D.; Fu, X.; Chen, X.; Xiao, W.; Li, L.; Gao, D. Genome-Wide Identification of WRKY Family Genes in Peach and Analysis of WRKY Expression during Bud Dormancy. Mol. Genet. Genom. 2016, 291, 1319–1332. [Google Scholar] [CrossRef] [PubMed]
  6. Bi, C.; Xu, Y.; Ye, Q.; Yin, T.; Ye, N. Genome-Wide Identification and Characterization of WRKY Gene Family in Salix suchowensis. PeerJ 2016, 4, e2437. [Google Scholar] [CrossRef]
  7. Cui, Q.; Yan, X.; Gao, X.; Zhang, D.; He, H.; Jia, G. Analysis of WRKY Transcription Factors and Characterization of Two Botrytis cinerea Responsive LrWRKY Genes from Lilium regale. Plant Physiol. Biochem. 2018, 127, 525–536. [Google Scholar] [CrossRef] [PubMed]
  8. Dong, X.; Yang, Y.; Zhang, Z.; Xiao, Z.; Bai, X.; Gao, J.; Hur, Y.; Hao, S.; He, F. Genome-Wide Identification of WRKY Genes and Their Response to Cold Stress in Coffea canephora. Forests 2019, 10, 335. [Google Scholar] [CrossRef]
  9. Song, H.; Wang, P.; Hou, L.; Zhao, S.; Zhao, C.; Xia, H.; Li, P.; Zhang, Y.; Bian, X.; Wang, X. Global Analysis of WRKY Genes and Their Response to Dehydration and Salt Stress in Soybean. Front. Plant Sci. 2016, 7, 9. [Google Scholar] [CrossRef] [PubMed]
  10. El-Esawi, M.A.; Al-Ghamdi, A.A.; Ali, H.M.; Ahmad, M. Overexpression of AtWRKY30 Transcription Factor Enhances Heat and Drought Stress Tolerance in Wheat (Triticum aestivum L.). Genes 2019, 10, 163. [Google Scholar] [CrossRef]
  11. Sun, Y.; Yu, D. Activated Expression of AtWRKY53 Negatively Regulates Drought Tolerance by Mediating Stomatal Movement. Plant Cell Rep. 2015, 34, 1295–1306. [Google Scholar] [CrossRef]
  12. Jiang, Y.; Qiu, Y.; Hu, Y.; Yu, D. Heterologous Expression of AtWRKY57 Confers Drought Tolerance in Oryza sativa. Front. Plant Sci. 2016, 7, 145. [Google Scholar] [CrossRef] [PubMed]
  13. Lee, H.; Cha, J.; Choi, C.; Choi, N.; Ji, H.-S.; Park, S.R.; Lee, S.; Hwang, D.-J. Rice WRKY11 Plays a Role in Pathogen Defense and Drought Tolerance. Rice 2018, 11, 5. [Google Scholar] [CrossRef] [PubMed]
  14. Qiu, Y.; Yu, D. Over-Expression of the Stress-Induced OsWRKY45 Enhances Disease Resistance and Drought Tolerance in Arabidopsis. Environ. Exp. Bot. 2009, 65, 35–47. [Google Scholar] [CrossRef]
  15. Li, L.; Mu, S.; Cheng, Z.; Cheng, Y.; Zhang, Y.; Miao, Y.; Hou, C.; Li, X.; Gao, J. Characterization and Expression Analysis of the WRKY Gene Family in Moso bamboo. Sci. Rep. 2017, 7, 6675. [Google Scholar] [CrossRef] [PubMed]
  16. Yang, X.; Zhou, Z.; Fu, M.; Han, M.; Liu, Z.; Zhu, C.; Wang, L.; Zheng, J.; Liao, Y.; Zhang, W.; et al. Transcriptome-Wide Identification of WRKY Family Genes and Their Expression Profiling toward Salicylic Acid in Camellia japonica. Plant Signal. Behav. 2021, 16, 1844508. [Google Scholar] [CrossRef] [PubMed]
  17. Wang, Q.; Wang, M.; Zhang, X.; Hao, B.; Kaushik, S.K.; Pan, Y. WRKY Gene Family Evolution in Arabidopsis thaliana. Genetica 2011, 139, 973–983. [Google Scholar] [CrossRef] [PubMed]
  18. Wang, Y.; Zhang, M.; Zhao, L.; Zhang, W.; Zhao, T.; Chu, J.; Qiu, Y.; Gong, H.; Li, R. Effects of Tetrabromobisphenol A on Maize (Zea mays L.) Physiological Indexes, Soil Enzyme Activity, and Soil Microbial Biomass. Ecotoxicol. 2019, 28, 1–12. [Google Scholar] [CrossRef] [PubMed]
  19. Yao, D.-M.; Zou, C.; Shu, Y.-N.; Liu, S.-S. WRKY Transcription Factors in Nicotiana tabacum Modulate Plant Immunity against Whitefly via Interacting with MAPK Cascade Pathways. Insects 2020, 12, 16. [Google Scholar] [CrossRef] [PubMed]
  20. Bai, Y.; Sunarti, S.; Kissoudis, C.; Visser, R.G.F.; van der Linden, C.G. The Role of Tomato WRKY Genes in Plant Responses to Combined Abiotic and Biotic Stresses. Front. Plant Sci. 2018, 9, 801. [Google Scholar] [CrossRef]
  21. Ding, W.; Ouyang, Q.; Li, Y.; Shi, T.; Li, L.; Yang, X.; Ji, K.; Wang, L.; Yue, Y. Genome-Wide Investigation of WRKY Transcription Factors in Sweet Osmanthus and Their Potential Regulation of Aroma synthesis. Tree Physiol. 2020, 40, 557–572. [Google Scholar] [CrossRef]
  22. Yan, H.; Li, M.; Xiong, Y.; Wu, J.; Teixeira da Silva, J.A.; Ma, G. Genome-Wide Characterization, Expression Profile Analysis of WRKY Family Genes in Santalum album and Functional Identification of Their Role in Abiotic Stress. Int. J. Mol. Sci. 2019, 20, 5676. [Google Scholar] [CrossRef]
  23. Goel, R.; Pandey, A.; Trivedi, P.K.; Asif, M.H. Genome-Wide Analysis of the Musa WRKY Gene Family: Evolution and Differential Expression during Development and Stress. Front. Plant Sci. 2016, 7, 299. [Google Scholar] [CrossRef]
  24. Jiang, J.; Ma, S.; Ye, N.; Jiang, M.; Cao, J.; Zhang, J. WRKY Transcription Factors in Plant Responses to Stresses. J. Integr Plant Biol. 2017, 59, 86–101. [Google Scholar] [CrossRef]
  25. He, H.; Dong, Q.; Shao, Y.; Jiang, H.; Zhu, S.; Cheng, B.; Xiang, Y. Genome-Wide Survey and Characterization of the WRKY Gene Family in Populus trichocarpa. Plant Cell Rep. 2012, 31, 1199–1217. [Google Scholar] [CrossRef]
  26. Huang, S.; Gao, Y.; Liu, J.; Peng, X.; Niu, X.; Fei, Z.; Cao, S.; Liu, Y. Genome-Wide Analysis of WRKY Transcription Factors in Solanum lycopersicum. Mol. Genet. Genom. 2012, 287, 495–513. [Google Scholar] [CrossRef]
  27. Liu, J.; Wang, X.; Chen, Y.; Liu, Y.; Wu, Y.; Ren, S.; Li, L. Identification, Evolution and Expression Analysis of WRKY Gene Family in Eucommia ulmoides. Genomics 2021, 113, 3294–3309. [Google Scholar] [CrossRef]
  28. Fan, C.; Yao, H.; Qiu, Z.; Ma, H.; Zeng, B. Genome-Wide Analysis of Eucalyptus Grandis WRKY Genes Family and Their Expression Profiling in Response to Hormone and Abiotic Stress Treatment. Gene 2018, 678, 38–48. [Google Scholar] [CrossRef]
  29. Zhang, Y.; Zhang, W.; Manzoor, M.A.; Sabir, I.A.; Zhang, P.; Cao, Y.; Song, C. Differential Involvement of WRKY Genes in Abiotic Stress Tolerance of Dendrobium huoshanense. Ind. Crops Prod. 2023, 204, 117295. [Google Scholar] [CrossRef]
  30. Ni, H.; Sun, W.-H.; Ding, L.; Zeng, W.-W.; Zhou, S.-Q. Identification and analysis of the WRKY gene family in whole genome of Cinnamomum camphora (L.) Presl. zwkxxb 2022, 40, 513–523. [Google Scholar] [CrossRef]
  31. Ding, M.; Chen, J.; Jiang, Y.; Lin, L.; Cao, Y.; Wang, M.; Zhang, Y.; Rong, J.; Ye, W. Genome-Wide Investigation and Transcriptome Analysis of the WRKY Gene Family in Gossypium. Mol. Genet. 2015, 290, 151–171. [Google Scholar] [CrossRef]
  32. Wei, Y.; Shi, H.; Xia, Z.; Tie, W.; Ding, Z.; Yan, Y.; Wang, W.; Hu, W.; Li, K. Genome-Wide Identification and Expression Analysis of the WRKY Gene Family in Cassava. Front. Plant Sci. 2016, 7, 25. [Google Scholar] [CrossRef]
  33. Kumar, K.; Srivastava, V.; Purayannur, S.; Kaladhar, V.C.; Cheruvu, P.J.; Verma, P.K. WRKY Domain-Encoding Genes of a Crop Legume Chickpea (Cicer arietinum): Comparative Analysis with Medicago truncatula WRKY Family and Characterization of Group-III Gene(s). DNA Res. 2016, 23, 225–239. [Google Scholar] [CrossRef]
  34. Meng, D.; Li, Y.; Bai, Y.; Li, M.; Cheng, L. Genome-Wide Identification and Characterization of WRKY Transcriptional Factor Family in Apple and Analysis of Their Responses to Waterlogging and Drought Stress. Plant Physiol. Biochem. 2016, 103, 71–83. [Google Scholar] [CrossRef]
  35. Zhao, N.; He, M.; Li, L.; Cui, S.; Hou, M.; Wang, L.; Mu, G.; Liu, L.; Yang, X. Identification and Expression Analysis of WRKY Gene Family under Drought Stress in Peanut (Arachis hypogaea L.). PLoS ONE 2020, 15, e0231396. [Google Scholar] [CrossRef]
  36. Li, Z.; Hua, X.; Zhong, W.; Yuan, Y.; Wang, Y.; Wang, Z.; Ming, R.; Zhang, J. Genome-Wide Identification and Expression Profile Analysis of WRKY Family Genes in the Autopolyploid Saccharum spontaneum. Plant Cell Physiol. 2020, 61, 616–630. [Google Scholar] [CrossRef]
  37. Yuan, H.; Guo, W.; Zhao, L.; Yu, Y.; Chen, S.; Tao, L.; Cheng, L.; Kang, Q.; Song, X.; Wu, J.; et al. Genome-Wide Identification and Expression Analysis of the WRKY Transcription Factor Family in Flax (Linum usitatissimum L.). BMC Genom. 2021, 22, 375. [Google Scholar] [CrossRef]
  38. Karanja, B.K.; Fan, L.; Xu, L.; Wang, Y.; Zhu, X.; Tang, M.; Wang, R.; Zhang, F.; Muleke, E.M.; Liu, L. Genome-Wide Characterization of the WRKY Gene Family in Radish (Raphanus sativus L.) Reveals Its Critical Functions under Different Abiotic Stresses. Plant Cell Rep. 2017, 36, 1757–1773. [Google Scholar] [CrossRef]
  39. Song, Y.; Cui, H.; Shi, Y.; Xue, J.; Ji, C.; Zhang, C.; Yuan, L.; Li, R. Genome-Wide Identification and Functional Characterization of the Camelina sativa WRKY Gene Family in Response to Abiotic Stress. BMC Genom. 2020, 21, 786. [Google Scholar] [CrossRef]
  40. Chen, H.; Lai, Z.; Shi, J.; Xiao, Y.; Chen, Z.; Xu, X. Roles of Arabidopsis WRKY18, WRKY40 and WRKY60 Transcription Factors in Plant Responses to Abscisic Acid and Abiotic Stress. BMC Plant Biol. 2010, 10, 281. [Google Scholar] [CrossRef]
  41. Van Aken, O.; Zhang, B.; Law, S.; Narsai, R.; Whelan, J. AtWRKY40 and AtWRKY63 Modulate the Expression of Stress-Responsive Nuclear Genes Encoding Mitochondrial and Chloroplast Proteins. Plant Physiol. 2013, 162, 254–271. [Google Scholar] [CrossRef]
  42. Ulker, B.; Shahid Mukhtar, M.; Somssich, I.E. The WRKY70 Transcription Factor of Arabidopsis Influences Both the Plant Senescence and Defense Signaling Pathways. Planta 2007, 226, 125–137. [Google Scholar] [CrossRef]
  43. Liu, J.-H.; Peng, T.; Dai, W. Critical Cis-Acting Elements and Interacting Transcription Factors: Key Players Associated with Abiotic Stress Responses in Plants. Plant Mol. Biol. Rep. 2014, 32, 303–317. [Google Scholar] [CrossRef]
  44. Rushton, P.J.; Somssich, I.E.; Ringler, P.; Shen, Q.J. WRKY Transcription Factors. Trends Plant Sci. 2010, 15, 247–258. [Google Scholar] [CrossRef]
  45. Li, P.; Li, X.; Jiang, M. CRISPR/Cas9-Mediated Mutagenesis of WRKY3 and WRKY4 Function Decreases Salt and Me-JA Stress Tolerance in Arabidopsis thaliana. Mol. Biol. Rep. 2021, 48, 5821–5832. [Google Scholar] [CrossRef]
  46. Banerjee, A.; Roychoudhury, A. WRKY Proteins: Signaling and Regulation of Expression during Abiotic Stress Responses. Sci. World J. 2015, 2015, e807560. [Google Scholar] [CrossRef]
  47. Robatzek, S.; Somssich, I.E. Targets of AtWRKY6 Regulation during Plant Senescence and Pathogen Defense. Genes Dev. 2002, 16, 1139–1149. [Google Scholar] [CrossRef]
  48. Vanderauwera, S.; Vandenbroucke, K.; Inzé, A.; Van De Cotte, B.; Mühlenbock, P.; De Rycke, R.; Naouar, N.; Van Gaever, T.; Van Montagu, M.C.E.; Van Breusegem, F. AtWRKY15 Perturbation Abolishes the Mitochondrial Stress Response That Steers Osmotic Stress Tolerance in Arabidopsis. Proc. Natl. Acad. Sci. USA 2012, 109, 20113–20118. [Google Scholar] [CrossRef]
  49. Chen, W.; Hao, W.-J.; Xu, Y.-X.; Zheng, C.; Ni, D.-J.; Yao, M.-Z.; Chen, L. Isolation and Characterization of CsWRKY7, a Subgroup IId WRKY Transcription Factor from Camellia Sinensis, Linked to Development in Arabidopsis. Int. J. Mol. Sci. 2019, 20, 2815. [Google Scholar] [CrossRef]
  50. Finn, R.D.; Clements, J.; Eddy, S.R. HMMER Web Server: Interactive Sequence Similarity Searching. Nucleic Acids Res. 2011, 39, W29–W37. [Google Scholar] [CrossRef]
  51. Finn, R.D.; Mistry, J.; Schuster-Böckler, B.; Griffiths-Jones, S.; Hollich, V.; Lassmann, T.; Moxon, S.; Marshall, M.; Khanna, A.; Durbin, R.; et al. Pfam: Clans, Web Tools and Services. Nucleic Acids Res. 2005, 34, D247–D251. [Google Scholar] [CrossRef]
  52. Kumar, S.; Stecher, G.; Tamura, K. MEGA7: Molecular Evolutionary Genetics Analysis Version 7.0 for Bigger Datasets. Mol. Biol. Evol. 2016, 33, 1870–1874. [Google Scholar] [CrossRef] [PubMed]
  53. Chen, C.; Chen, H.; Zhang, Y.; Thomas, H.R.; Frank, M.H.; He, Y.; Xia, R. TBtools: An Integrative Toolkit Developed for Interactive Analyses of Big Biological Data. Mol. Plant 2020, 13, 1194–1202. [Google Scholar] [CrossRef] [PubMed]
  54. Bailey, T.L.; Boden, M.; Buske, F.A.; Frith, M.; Grant, C.E.; Clementi, L.; Ren, J.; Li, W.W.; Noble, W.S. MEME SUITE: Tools for Motif Discovery and Searching. Nucleic Acids Res. 2009, 37, W202–W208. [Google Scholar] [CrossRef]
  55. Zhang, Z.; Li, J.; Zhao, X.-Q.; Wang, J.; Wong, G.K.-S.; Yu, J. KaKs_Calculator: Calculating Ka and Ks through Model Selection and Model Averaging. Genom. Proteom. Bioinform. 2006, 4, 259–263. [Google Scholar] [CrossRef]
  56. Liu, J.; Chen, S.; Huang, Y.; Wang, Z.; Wan, L.; Chen, S. Screening and Identification of Reference Genes in Phoebe bournei by New Method. Mol. Plant Breed. 2023, 1–16. [Google Scholar]
Figure 1. Phylogenetic tree of WRKY proteins from P. bournei and Arabidopsis thaliana. The tree was divided into seven phylogenetic groups distinguished by color. The colors yellow, red, green, blue, orange, purple, and pink represent Groups I, IIa, IIb, IIc, IId, IIe, and III, respectively. The names of the subfamilies are shown outside of the circle.
Figure 1. Phylogenetic tree of WRKY proteins from P. bournei and Arabidopsis thaliana. The tree was divided into seven phylogenetic groups distinguished by color. The colors yellow, red, green, blue, orange, purple, and pink represent Groups I, IIa, IIb, IIc, IId, IIe, and III, respectively. The names of the subfamilies are shown outside of the circle.
Ijms 25 07280 g001
Figure 2. Multiple sequence alignment of the WRKY domains of 60 PbWRKY proteins. I-N, I-C, II-a, II-b, II-c, II-d, II-e, and III represent different subgroups in three subfamilies; colors indicate sequence similarity; and a darker color indicates higher conservatism.
Figure 2. Multiple sequence alignment of the WRKY domains of 60 PbWRKY proteins. I-N, I-C, II-a, II-b, II-c, II-d, II-e, and III represent different subgroups in three subfamilies; colors indicate sequence similarity; and a darker color indicates higher conservatism.
Ijms 25 07280 g002
Figure 3. Phylogenetic relationship, gene structure, and motif compositions of PbWRKYs. (A) An unrooted phylogenetic tree constructed using MEGA7.0. (B) Conserved motifs of 60 PbWRKY proteins. MEME was used to predict motifs, which are represented by different colored boxes numbered 1–20. (C) Exon–intron structure of PbWRKYs.
Figure 3. Phylogenetic relationship, gene structure, and motif compositions of PbWRKYs. (A) An unrooted phylogenetic tree constructed using MEGA7.0. (B) Conserved motifs of 60 PbWRKY proteins. MEME was used to predict motifs, which are represented by different colored boxes numbered 1–20. (C) Exon–intron structure of PbWRKYs.
Ijms 25 07280 g003
Figure 4. Prediction of cis-regulatory elements in the promoter regions of the PbWRKY gene family.
Figure 4. Prediction of cis-regulatory elements in the promoter regions of the PbWRKY gene family.
Ijms 25 07280 g004
Figure 5. Cis-element analysis in the promoter of PbWRKY genes. The cis-element distributed in the promoters of PbWRKY. The number of cis-acting elements in the promoter region of each PbWRKY gene.
Figure 5. Cis-element analysis in the promoter of PbWRKY genes. The cis-element distributed in the promoters of PbWRKY. The number of cis-acting elements in the promoter region of each PbWRKY gene.
Ijms 25 07280 g005
Figure 6. Prediction of protein tertiary structure. (AG) represent Groups I, IIa, IIb, IIc, IId, IIe, and III, respectively, and represent the most important protein structure predictions.
Figure 6. Prediction of protein tertiary structure. (AG) represent Groups I, IIa, IIb, IIc, IId, IIe, and III, respectively, and represent the most important protein structure predictions.
Ijms 25 07280 g006
Figure 7. Regulatory networks of the PbWRKY gene family. Colored balls (protein nodes) in the network were used as a visual aid to indicate different input proteins and predicted interactions. Protein nodes that are enlarged indicate the availability of three-dimensional protein structure information. Gray lines connect proteins that are associated with recurring text-mining evidence. Line thickness indicates the strength of data support.
Figure 7. Regulatory networks of the PbWRKY gene family. Colored balls (protein nodes) in the network were used as a visual aid to indicate different input proteins and predicted interactions. Protein nodes that are enlarged indicate the availability of three-dimensional protein structure information. Gray lines connect proteins that are associated with recurring text-mining evidence. Line thickness indicates the strength of data support.
Ijms 25 07280 g007
Figure 8. Heatmaps of expression profiles of PbWRKY genes in response to drought and waterlogging. CK represents normal watering; W1 represents 7 d under waterlogging stress; W2 represents 14 d under waterlogging stress; D1 represents 3 d under drought stress; D2 represents 6 d under drought stress; D3 represents 9 d under drought stress; D4 represents 3 d with water after 9 d of drought stress.
Figure 8. Heatmaps of expression profiles of PbWRKY genes in response to drought and waterlogging. CK represents normal watering; W1 represents 7 d under waterlogging stress; W2 represents 14 d under waterlogging stress; D1 represents 3 d under drought stress; D2 represents 6 d under drought stress; D3 represents 9 d under drought stress; D4 represents 3 d with water after 9 d of drought stress.
Ijms 25 07280 g008
Figure 9. Real-time quantitative PCR (RT-qPCR) expression levels of selected PbWRKY genes following drought stress and waterlogging stress. PbWRKY gene expression levels were analyzed by RT-qPCR, and RG6, RG7, and RG8 were used as internal reference genes. The relative expression levels were calculated using the 2−ΔΔCT method. Data represent the mean ± standard deviation (p < 0.05). To calculate the letters, we use least significant difference (LSD). The error bars a–f represent standard error in figures.
Figure 9. Real-time quantitative PCR (RT-qPCR) expression levels of selected PbWRKY genes following drought stress and waterlogging stress. PbWRKY gene expression levels were analyzed by RT-qPCR, and RG6, RG7, and RG8 were used as internal reference genes. The relative expression levels were calculated using the 2−ΔΔCT method. Data represent the mean ± standard deviation (p < 0.05). To calculate the letters, we use least significant difference (LSD). The error bars a–f represent standard error in figures.
Ijms 25 07280 g009
Figure 10. Expression patterns of 25 PbWRKY genes under drought stress. Gene expression levels at 0, 3, 6, and 9 d under drought stress and at 3 d with water after 9 d of drought stress.
Figure 10. Expression patterns of 25 PbWRKY genes under drought stress. Gene expression levels at 0, 3, 6, and 9 d under drought stress and at 3 d with water after 9 d of drought stress.
Ijms 25 07280 g010
Figure 11. Expression patterns of 25 PbWRKY genes under waterlogging stress. Gene expression levels at 0, 7, and 14 d under waterlogging stress.
Figure 11. Expression patterns of 25 PbWRKY genes under waterlogging stress. Gene expression levels at 0, 7, and 14 d under waterlogging stress.
Ijms 25 07280 g011
Table 1. Details of information on the WRKY transcription factor family in P. bournei.
Table 1. Details of information on the WRKY transcription factor family in P. bournei.
Gene NameGene IDGroupNumber of Amino Acids (aa)Isoelectric PointMolecular Weight (kDa)Instability CoefficientAliphatic IndexHydropathicityPredicted Location(s)
PbWRKY1Maker00000780Group IIc2739.8931,244.6156.2774.21−0.728Nucleus
PbWRKY2Maker00001301Group IIb5885.6763,553.7656.555.6−0.775Nucleus
PbWRKY3Maker00001465Group IIc1049.7412,638.4742.4653.27−1.159Nucleus
PbWRKY4Maker00002106Group IIc1539.4917,700.7125.5752.09−1.174Nucleus
PbWRKY5Maker00047617Group IIe2559.8727,413.1347.7362.43−0.567Nucleus
PbWRKY6Maker00003851Group IIc1688.918,891.2443.2662.14−0.776Nucleus
PbWRKY7Maker00049281Group IIc1574.8318,160.436.4675.73−0.533Nucleus
PbWRKY8Maker00006973Group III3436.0837,173.1861.9755.45−0.647Nucleus
PbWRKY9Maker00007836Group IIa3248.6535,884.6355.4278.21−0.572Nucleus
PbWRKY10Maker00007878Group IIc5066.9954,869.1957.1365.61−0.679Nucleus
PbWRKY11Maker00009559Group IIc2668.6729,50263.2347.63−0.73Nucleus
PbWRKY12Maker00050225Group IIe2385.727,228.0155.1548.66−1.092Nucleus
PbWRKY13Maker00010486Group IId3509.6838,517.9256.5762.4−0.694Nucleus
PbWRKY14Maker00013669Group IIe3099.5333,398.8947.264.17−0.541Nucleus
PbWRKY15Maker00014626Group IIc2819.1131,562.2475.9150.75−0.99Nucleus
PbWRKY16Maker00014633Group IIe3124.834,429.0153.4258.49−0.708Nucleus
PbWRKY17Maker00014832Group IId3169.7335,494.3458.2262.94−0.769Nucleus
PbWRKY18Maker00052053Group I5676.1761,295.155.562.33−0.778Nucleus
PbWRKY19Maker00014965Group I5266.8658,937.5856.764.89−0.734Nucleus
PbWRKY20Maker00015072Group IIc2996.6732,771.1953.8945.69−0.852Nucleus
PbWRKY21Maker00015451Group IIe3408.737,842.5151.0752.79−0.851Nucleus
PbWRKY22Maker00015513Group I4729.0352,455.1449.4562.14−0.906Nucleus
PbWRKY23Maker00016108Group III3355.6137,228.2760.5355.34−0.696Nucleus
PbWRKY24Maker00017029Group IId3469.6638,811.2655.4267.08−0.67Nucleus.
PbWRKY25Maker00019100Group III2457.2127,159.4455.266.98−0.657Nucleus
PbWRKY26Maker00019162Group III3935.6743,235.560.3263.46−0.649Nucleus
PbWRKY27Maker00019539Group I8046.2787,881.3852.4765.12−0.686Nucleus
PbWRKY28Maker00019925Group IId3529.6739,482.859.0762.59−0.718Nucleus
PbWRKY29Maker00022460Group IIc1529.1717,118.9656.0948.03−0.932Nucleus
PbWRKY30Maker00023278Group IIe3779.3942,276.2648.9467.51−0.551Nucleus
PbWRKY31Maker00054439Group IIe2444.826,674.4655.2651.19−0.71Nucleus
PbWRKY32Maker00024933Group I7555.8681,485.9151.0857.58−0.726Nucleus
PbWRKY33Maker00025694Group IIb4317.5847,405.2340.8669.74−0.448Nucleus
PbWRKY34Maker00027250Group I5897.2764,199.3459.5148.05−0.837Nucleus
PbWRKY35Maker00027367Group I4308.4347,970.6356.450.58−0.925Nucleus
PbWRKY36Maker00027433Group I5407.6858,680.9552.658.52−0.788Nucleus.
PbWRKY37Maker00028249Group IIc2876.1931,607.2461.1666.55−0.689Nucleus
PbWRKY38Maker00028411Group IIb4728.1151,029.3952.663.35−0.64Nucleus
PbWRKY39Maker00030322Group IIc1219.4213,742.4918.5554.63−1.029Nucleus
PbWRKY40Maker00031212Group I4718.8652,043.2847.3467.22−0.77Nucleus
PbWRKY41Maker00034790Group III3736.1241,383.3654.2864.08−0.61Nucleus
PbWRKY42Maker00034795Group III3185.6635,773.7562.6357.99−0.801Nucleus
PbWRKY43Maker00035060Group IIb3748.1441,736.3747.3958.37−0.923Nucleus
PbWRKY44Maker00035165Group III1218.3713,706.2932.8560.41−0.855Nucleus
PbWRKY45Maker00035245Group IIe4305.2847,093.0943.7354.05−0.794Nucleus
PbWRKY46Maker00038149Group IIa2818.4331,372.5455.7865.23−0.775Nucleus.
PbWRKY47Maker00038153Group IIa2919.5532,057.2943.0789.07−0.179Nucleus
PbWRKY48Maker00039321Group I5966.5664,711.8352.3464.41−0.689Nucleus
PbWRKY49Maker00039574Group IIc2136.8724,133.9958.5355.31−1.006Nucleus
PbWRKY50Maker00039996Group IIc2998.6432,793.4559.9450.9−0.787Nucleus
PbWRKY51Maker00040415Group I5796.4663,327.6352.3168.22−0.646Nucleus
PbWRKY52Maker00040441Group I5029.1655,453.7245.1870.14−0.608Chloroplast Nucleus
PbWRKY53Maker00040627Group IIe25910.829,016.7181.5350.85−1Nucleus
PbWRKY54Maker00042530Group IIc3438.2638,648.5252.0669.88−0.579Nucleus
PbWRKY55Maker00044088Group IIb4296.1847,339.7842.1363.73−0.708Nucleus
PbWRKY56Maker00045608Group IIe4106.8945,361.9660.2361.61−0.622Nucleus.
PbWRKY57Maker00046708Group IId3539.6539,400.8862.9972.41−0.656Nucleus
PbWRKY58Maker00047219Group IIc2617.6729,187.9364.667.62−0.737Nucleus
PbWRKY59Maker00047258Group IIe1916.321,820.4552.8160.21−0.913Nucleus
PbWRKY60Maker00047509Group I8836.1696,252.7853.7871.68−0.523Nucleus
Table 2. Ka/Ks analysis and divergence time estimated for P. bournei duplicated WRKY paralogs.
Table 2. Ka/Ks analysis and divergence time estimated for P. bournei duplicated WRKY paralogs.
Gene Pairs KaKsKa/KsDuplication Date (MYA)
PbWRKY17PbWRKY240.010.070.155.45
PbWRKY12PbWRKY590.180.410.4531.35
PbWRKY57PbWRKY280.120.440.2734.16
PbWRKY29PbWRKY390.150.530.2941.02
PbWRKY33PbWRKY550.190.630.3148.57
PbWRKY13PbWRKY190.220.690.3253.02
PbWRKY22PbWRKY400.230.690.3453.38
PbWRKY23PbWRKY80.210.770.2759.17
PbWRKY35PbWRKY340.240.770.3159.39
PbWRKY5PbWRKY140.170.950.1872.95
PbWRKY51PbWRKY180.360.990.3676.33
PbWRKY21PbWRKY450.311.000.3276.66
PbWRKY58PbWRKY110.131.020.1378.56
PbWRKY31PbWRKY530.361.260.2996.61
PbWRKY41PbWRKY260.461.300.3599.74
PbWRKY56PbWRKY530.581.380.42105.87
PbWRKY52PbWRKY470.421.440.29110.93
PbWRKY50PbWRKY200.261.580.17121.47
PbWRKY9PbWRKY460.381.860.21143.44
PbWRKY60PbWRKY320.432.240.19172.04
PbWRKY38PbWRKY20.543.150.17241.94
Table 3. Ka/Ks analysis and estimated divergence time of WRKY genes from P. bournei and A. thaliana.
Table 3. Ka/Ks analysis and estimated divergence time of WRKY genes from P. bournei and A. thaliana.
Gene Pairs KaKsKa/KsDuplication Date (MYA)
PbWRKY37AtWRKY343.111.821.71140.37
PbWRKY5AtWRKY290.642.230.29171.35
PbWRKY11AtWRKY450.402.440.16187.73
PbWRKY25AtWRKY630.852.650.32203.89
PbWRKY26AtWRKY540.842.700.31207.34
PbWRKY41AtWRKY300.664.030.16309.77
Table 4. The number and type of WRKY proteins in 28 plants.
Table 4. The number and type of WRKY proteins in 28 plants.
SpeicesGroup IGroup IIaGroup IIbGroup IIcGroup IIdGroup IIeGroup IIITotal
Camellia oleifera20610209111389
Poplar 84K21592413161098
Camphora officinarum114813116760
Pinus massoniana13104663143
Eucalyptus grandis1711915871279
Casuarina equisetifolia104816771264
Amborella trichopoda725633834
Nymphaea colorata186910710565
Cinnamomum micranthum1568129121173
Liriodendron chinense736847944
Liriodendron tulipifera96713671058
Brachypodium arbuscula1348237102691
Brachypodium distachyon17551610102689
Oryza sativa7481961151106
Sorghum bicolor958207113696
Zea mays1571230121744137
Zostera marina7281066746
Arabidopsis thaliana123818772883
Carya illinoinensis17613249101291
Citrus trifoliata10381357955
Coffea arabica2351528131132127
Corymbia citriodora1661118581579
Gossypium hirsutum36163169282632238
Malus pumila2361525141328124
Populus trichocarpa235924131214100
Passiflora edulis14591085455
Sinapis alba4182664241951233
Disclaimer/Publisher’s Note: The statements, opinions and data contained in all publications are solely those of the individual author(s) and contributor(s) and not of MDPI and/or the editor(s). MDPI and/or the editor(s) disclaim responsibility for any injury to people or property resulting from any ideas, methods, instructions or products referred to in the content.

Share and Cite

MDPI and ACS Style

Wang, Z.; You, L.; Gong, N.; Li, C.; Li, Z.; Shen, J.; Wan, L.; Luo, K.; Su, X.; Feng, L.; et al. Comprehensive Expression Analysis of the WRKY Gene Family in Phoebe bournei under Drought and Waterlogging Stresses. Int. J. Mol. Sci. 2024, 25, 7280. https://doi.org/10.3390/ijms25137280

AMA Style

Wang Z, You L, Gong N, Li C, Li Z, Shen J, Wan L, Luo K, Su X, Feng L, et al. Comprehensive Expression Analysis of the WRKY Gene Family in Phoebe bournei under Drought and Waterlogging Stresses. International Journal of Molecular Sciences. 2024; 25(13):7280. https://doi.org/10.3390/ijms25137280

Chicago/Turabian Style

Wang, Zhongxuan, Limei You, Na Gong, Can Li, Zhuoqun Li, Jun Shen, Lulu Wan, Kaijin Luo, Xiaoqing Su, Lizhen Feng, and et al. 2024. "Comprehensive Expression Analysis of the WRKY Gene Family in Phoebe bournei under Drought and Waterlogging Stresses" International Journal of Molecular Sciences 25, no. 13: 7280. https://doi.org/10.3390/ijms25137280

APA Style

Wang, Z., You, L., Gong, N., Li, C., Li, Z., Shen, J., Wan, L., Luo, K., Su, X., Feng, L., Chen, S., & Lin, W. (2024). Comprehensive Expression Analysis of the WRKY Gene Family in Phoebe bournei under Drought and Waterlogging Stresses. International Journal of Molecular Sciences, 25(13), 7280. https://doi.org/10.3390/ijms25137280

Note that from the first issue of 2016, this journal uses article numbers instead of page numbers. See further details here.

Article Metrics

Back to TopTop