Alterations in Peripheral Lymphocyte Subsets under Immunochemotherapy in Stage IV SCLC Patients: Th17 Cells as Potential Early Predictive Biomarker for Response
Abstract
1. Introduction
2. Results
2.1. Patient Characteristics
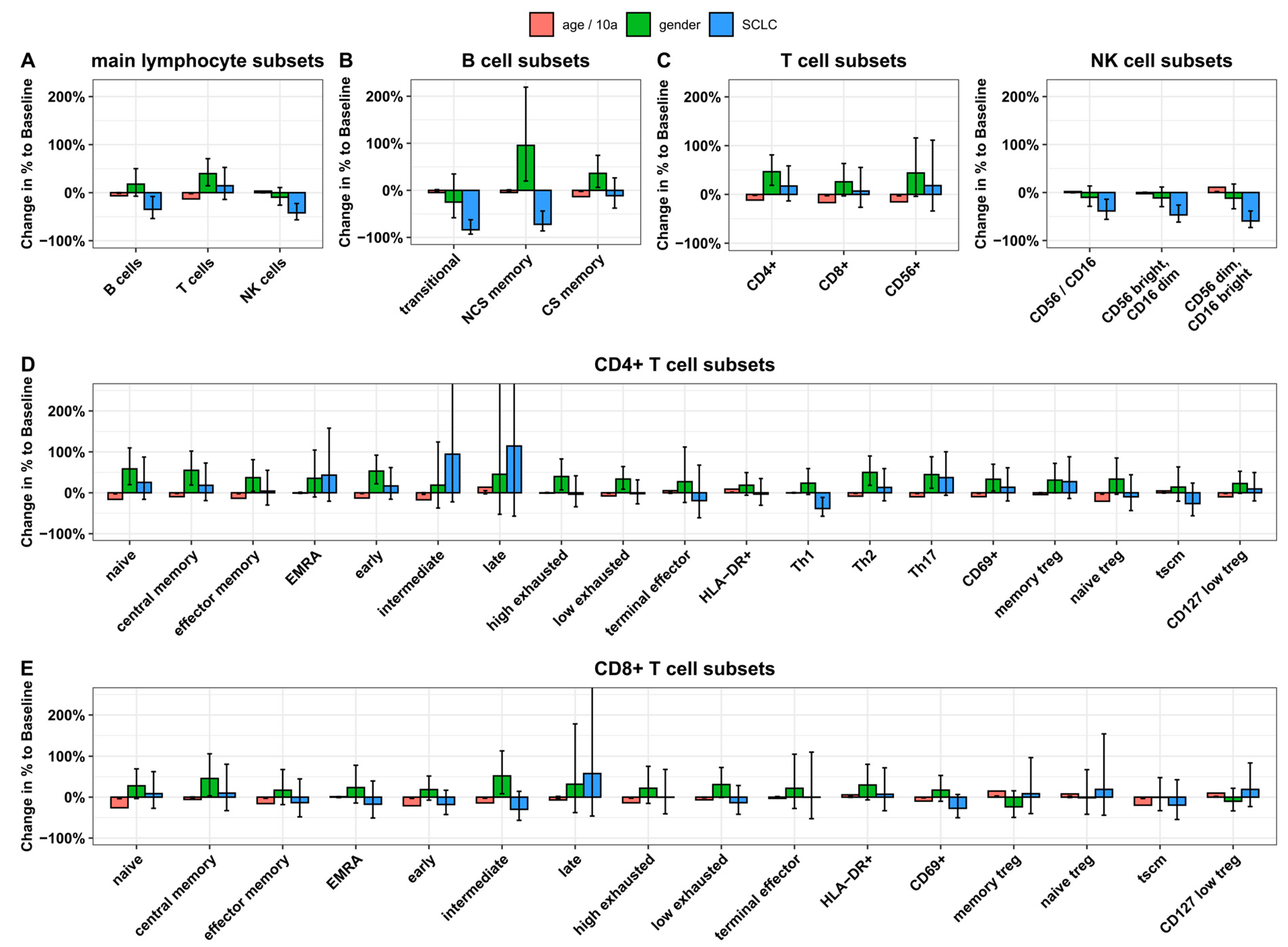
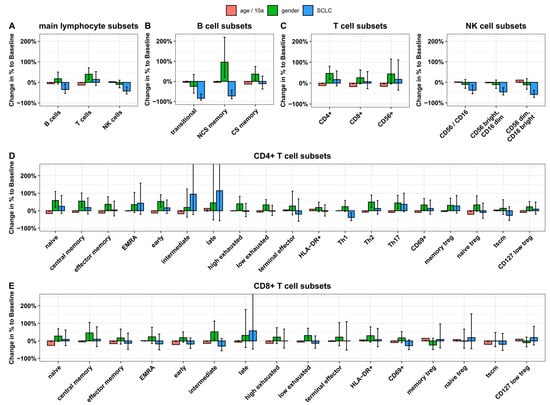
2.2. Comparison to Healthy Control Group via Multivariable Analysis
2.3. Longitudinal Analysis of Lymphocyte Subsets
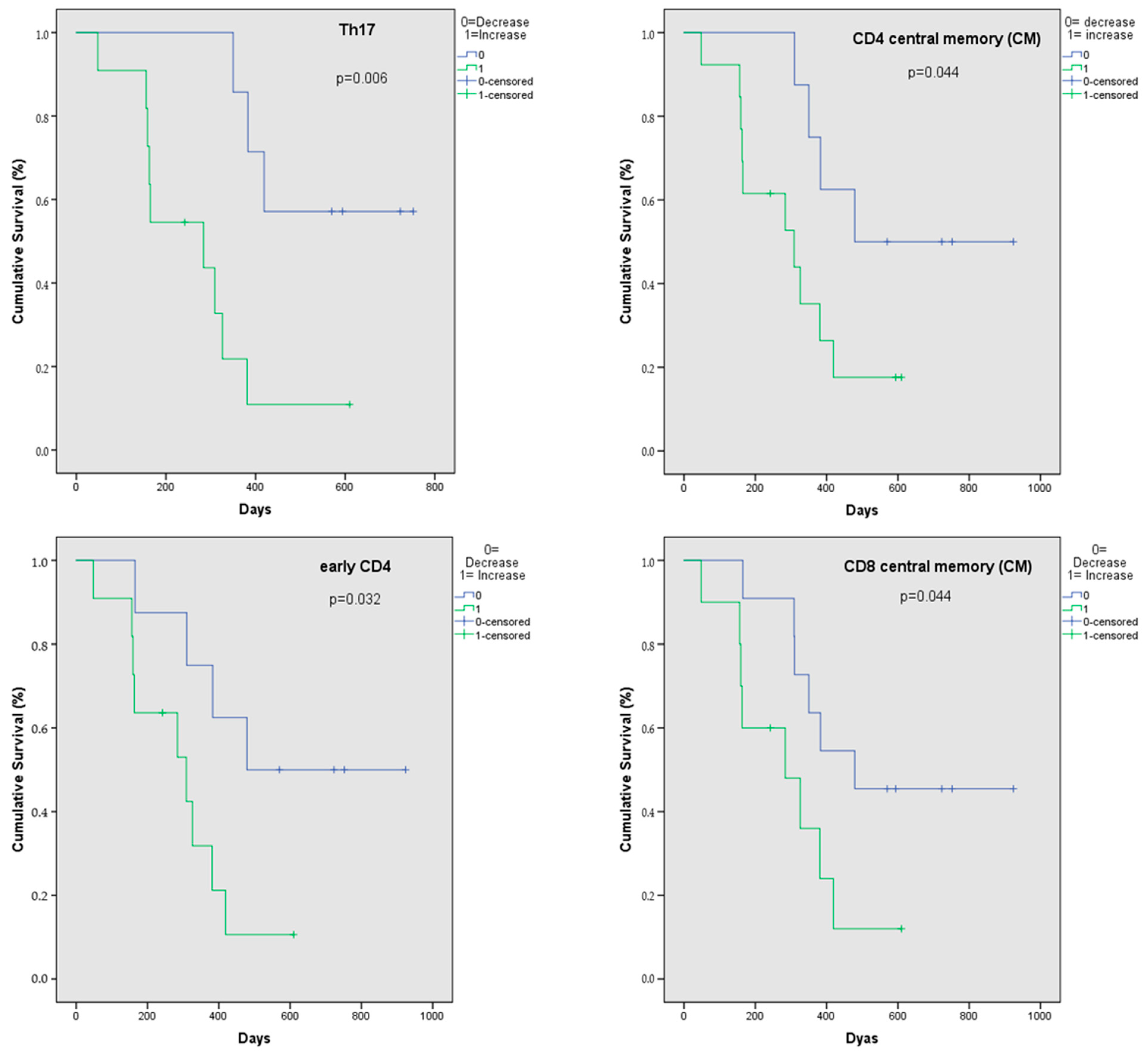
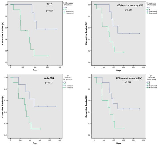
2.4. Predictive Biomarkers for Survival
3. Discussion
4. Materials and Methods
4.1. Study Population
4.2. Analysis of Lymphocytes and Subsets
4.3. Statistical Analysis
Supplementary Materials
Author Contributions
Funding
Institutional Review Board Statement
Informed Consent Statement
Data Availability Statement
Conflicts of Interest
References
- Horn, L.; Mansfield, A.S.; Szczęsna, A.; Havel, L.; Krzakowski, M.; Hochmair, M.J.; Huemer, F.; Losonczy, G.; Johnson, M.L.; Nishio, M.; et al. First-Line Atezolizumab plus Chemotherapy in Extensive-Stage Small-Cell Lung Cancer. N. Engl. J. Med. 2018, 379, 2220–2229. [Google Scholar] [CrossRef]
- Paz-Ares, L.; Dvorkin, M.; Chen, Y.; Hotta, K.; Trukhin, D.; Statsenko, G.; Hochmair, M.J.; Özgüroğlu, M.; Ji, J.H.; Voitko, O.; et al. Durvalumab plus platinum–etoposide versus platinum–etoposide in first-line treatment of extensive-stage small-cell lung cancer (CASPIAN): A randomised, controlled, open-label, phase 3 trial. Lancet 2019, 394, 1929–1939. [Google Scholar] [CrossRef]
- Krpina, K.; Vranić, S.; Tomić, K.; Samaržija, M.; Batičić, L. Small Cell Lung Carcinoma: Current Diagnosis, Biomarkers, and Treatment Options with Future Perspectives. Biomedicines 2023, 11, 1982. [Google Scholar] [CrossRef]
- Longo, V.; Catino, A.; Montrone, M.; Pizzutilo, P.; Annese, T.; Pesola, F.; Marech, I.; Cassiano, S.; Ribatti, D.; Galetta, D. What Are the Biomarkers for Immunotherapy in SCLC? Int. J. Mol. Sci. 2021, 22, 11123. [Google Scholar] [CrossRef]
- Hardy-Werbin, M.; Rocha, P.; Arpi, O.; Taus, Á.; Nonell, L.; Durán, X.; Villanueva, X.; Joseph-Pietras, D.; Nolan, L.; Danson, S.; et al. Serum cytokine levels as predictive biomarkers of benefit from ipilimumab in small cell lung cancer. OncoImmunology 2019, 8, e1593810. [Google Scholar] [CrossRef]
- Herbst, R.S.; Giaccone, G.; de Marinis, F.; Reinmuth, N.; Vergnenegre, A.; Barrios, C.H.; Morise, M.; Felip, E.; Andric, Z.; Geater, S.; et al. Atezolizumab for First-Line Treatment of PD-L1–Selected Patients with NSCLC. N. Engl. J. Med. 2020, 383, 1328–1339. [Google Scholar] [CrossRef]
- Nie, W.; Xu, M.-D.; Gan, L.; Zhang, Y.; Qian, J.; Gu, K.; Zhang, X.-Y.; Wang, H.-M.; Yan, B.; Gu, P.; et al. Advanced Non–Small Cell Lung Cancer Patients with Low Tumor Mutation Burden Might Derive Benefit from Immunotherapy. J. Immunother. 2020, 43, 189–195. [Google Scholar] [CrossRef]
- Löhr, P.; Schiele, S.; Arndt, T.T.; Grützner, S.; Claus, R.; Römmele, C.; Müller, G.; Schmid, C.; Dennehy, K.M.; Rank, A. Impact of age and gender on lymphocyte subset counts in patients with COVID-19. Cytom. Part A 2021, 103, 127–135. [Google Scholar] [CrossRef]
- Waidhauser, J.; Nerlinger, P.; Arndt, T.T.; Schiele, S.; Sommer, F.; Wolf, S.; Löhr, P.; Eser, S.; Müller, G.; Claus, R.; et al. Alterations of circulating lymphocyte subsets in patients with colorectal carcinoma. Cancer Immunol. Immunother. 2022, 71, 1937–1947. [Google Scholar] [CrossRef]
- Kverneland, A.H.; Streitz, M.; Geissler, E.; Hutchinson, J.; Vogt, K.; Boës, D.; Niemann, N.; Pedersen, A.E.; Schlickeiser, S.; Sawitzki, B. Age and gender leucocytes variances and references values generated using the standardized ONE-Study protocol. Cytom. Part A 2016, 89, 543–564. [Google Scholar] [CrossRef]
- Li, M.; Yao, D.; Zeng, X.; Kasakovski, D.; Zhang, Y.; Chen, S.; Zha, X.; Li, Y.; Xu, L. Age related human T cell subset evolution and senescence. Immun. Ageing 2019, 16, 24. [Google Scholar] [CrossRef]
- Reitsam, N.G.; Märkl, B.; Dintner, S.; Sipos, E.; Grochowski, P.; Grosser, B.; Sommer, F.; Eser, S.; Nerlinger, P.; Jordan, F.; et al. Alterations in Natural Killer Cells in Colorectal Cancer Patients with Stroma AReactive Invasion Front Areas (SARIFA). Cancers 2023, 15, 994. [Google Scholar] [CrossRef]
- Spacek, J.; Vocka, M.; Netikova, I.; Skalova, H.; Dundr, P.; Konopasek, B.; Zavadova, E.; Lubos, P. Immunological examination of peripheral blood in patients with colorectal cancer compared to healthy controls. Immunol. Investig. 2018, 47, 643–653. [Google Scholar] [CrossRef]
- Richards, J.; McNally, B.; Fang, X.; Caligiuri, M.A.; Zheng, P.; Liu, Y. Tumor Growth Decreases NK and B Cells as well as Common Lymphoid Progenitor. PLoS ONE 2008, 3, e3180. [Google Scholar] [CrossRef]
- Xue, Y.; Chen, F.; Zhang, D.; Lim, S.; Cao, Y. Tumor-derived VEGF modulates hematopoiesis. J. Angiogenesis Res. 2009, 1, 9. [Google Scholar] [CrossRef]
- Melani, C.; Chiodoni, C.; Forni, G.; Colombo, M.P. Myeloid cell expansion elicited by the progression of spontaneous mammary carcinomas in c-erbB-2 transgenic BALB/c mice suppresses immune reactivity. Blood 2003, 102, 2138–2145. [Google Scholar] [CrossRef]
- Hasegawa, Y.; Takanashi, S.; Okudera, K.; Kumagai, M.; Hayashi, A.; Morimoto, T.; Okumura, K. Vascular Endothelial Growth Factor Level as a Prognostic Determinant of Small Cell Lung Cancer in Japanese Patients. Intern. Med. 2005, 44, 26–34. [Google Scholar] [CrossRef][Green Version]
- Wojcik, E.; Jakubowicz, J.; Skotnicki, P.; Sas-Korczynska, B.; Kulpa, J. IL-6 and VEGF in small cell lung cancer patients. Anticancer Res. 2010, 30, 1773–1778. [Google Scholar] [PubMed]
- Montanino, A.; Manzo, A.; Carillio, G.; Palumbo, G.; Esposito, G.; Sforza, V.; Costanzo, R.; Sandomenico, C.; Botti, G.; Piccirillo, M.C.; et al. Angiogenesis Inhibitors in Small Cell Lung Cancer. Front. Oncol. 2021, 11, 665316. [Google Scholar] [CrossRef]
- Stratigos, M.; Matikas, A.; Voutsina, A.; Mavroudis, D.; Georgoulias, V. Targeting angiogenesis in small cell lung cancer. Transl. Lung Cancer Res. 2016, 5, 389–400. [Google Scholar] [CrossRef] [PubMed]
- Gebhardt, T.; Park, S.L.; Parish, I.A. Stem-like exhausted and memory CD8+ T cells in cancer. Nat. Rev. Cancer 2023, 23, 780–798. [Google Scholar] [CrossRef] [PubMed]
- Im, S.J.; Hashimoto, M.; Gerner, M.Y.; Lee, J.; Kissick, H.T.; Burger, M.C.; Shan, Q.; Hale, J.S.; Lee, J.; Nasti, T.H.; et al. Defining CD8+ T cells that provide the proliferative burst after PD-1 therapy. Nature 2016, 537, 417–421. [Google Scholar] [CrossRef]
- Miller, B.C.; Sen, D.R.; Al Abosy, R.; Bi, K.; Virkud, Y.V.; LaFleur, M.W.; Yates, K.B.; Lako, A.; Felt, K.; Naik, G.S.; et al. Subsets of exhausted CD8+ T cells differentially mediate tumor control and respond to checkpoint blockade. Nat. Immunol. 2019, 20, 326–336. [Google Scholar] [CrossRef] [PubMed]
- Siddiqui, I.; Schaeuble, K.; Chennupati, V.; Marraco, S.A.F.; Calderon-Copete, S.; Ferreira, D.P.; Carmona, S.J.; Scarpellino, L.; Gfeller, D.; Pradervand, S.; et al. Intratumoral Tcf1+PD-1+CD8+ T Cells with Stem-like Properties Promote Tumor Control in Response to Vaccination and Checkpoint Blockade Immunotherapy. Immunity 2019, 50, 195–211.e10. [Google Scholar] [CrossRef]
- Miggelbrink, A.M.; Jackson, J.D.; Lorrey, S.J.; Srinivasan, E.S.; Waibl-Polania, J.; Wilkinson, D.S.; Fecci, P.E. CD4 T-Cell Exhaustion: Does It Exist and What Are Its Roles in Cancer? Clin. Cancer Res. 2021, 27, 5742–5752. [Google Scholar] [CrossRef]
- Sabzevary-Ghahfarokhi, M.; Shirzad, H.; Rafieian-Kopaei, M.; Ghatreh-Samani, M.; Shohan, M. The Role of Inflammatory Cytokines in Creating T Cell Exhaustion in Cancer. Cancer Biotherapy Radiopharm. 2018, 33, 267–273. [Google Scholar] [CrossRef]
- Stockis, J.; Roychoudhuri, R.; Halim, T.Y.F. Regulation of regulatory T cells in cancer. Immunology 2019, 157, 219–231. [Google Scholar] [CrossRef]
- Halvorsen, E.C.; Mahmoud, S.M.; Bennewith, K.L. Emerging roles of regulatory T cells in tumour progression and metastasis. Cancer Metastasis Rev. 2014, 33, 1025–1041. [Google Scholar] [CrossRef]
- Francisco, L.M.; Salinas, V.H.; Brown, K.E.; Vanguri, V.K.; Freeman, G.J.; Kuchroo, V.K.; Sharpe, A.H. PD-L1 regulates the development, maintenance, and function of induced regulatory T cells. J. Exp. Med. 2009, 206, 3015–3029. [Google Scholar] [CrossRef]
- Marshall, E.A.; Ng, K.W.; Kung, S.H.Y.; Conway, E.M.; Martinez, V.D.; Halvorsen, E.C.; Rowbotham, D.A.; Vucic, E.A.; Plumb, A.W.; Becker-Santos, D.D.; et al. Emerging roles of T helper 17 and regulatory T cells in lung cancer progression and metastasis. Mol. Cancer 2016, 15, 67. [Google Scholar] [CrossRef] [PubMed]
- Waidhauser, J.; Schuh, A.; Trepel, M.; Schmaelter, A.-K.; Rank, A. Chemotherapy markedly reduces B cells but not T cells and NK cells in patients with cancer. Cancer Immunol. Immunother. 2019, 69, 147–157. [Google Scholar] [CrossRef] [PubMed]
- Vivier, E.; Tomasello, E.; Baratin, M.; Walzer, T.; Ugolini, S. Functions of natural killer cells. Nat. Immunol. 2008, 9, 503–510. [Google Scholar] [CrossRef]
- Poli, A.; Michel, T.; Thérésine, M.; Andrès, E.; Hentges, F.; Zimmer, J. CD56bright natural killer (NK) cells: An important NK cell subset. Immunology 2009, 126, 458–465. [Google Scholar] [CrossRef]
- Montaldo, E.; Zotto, G.D.; Chiesa, M.D.; Mingari, M.C.; Moretta, A.; Maria, A.D.; Moretta, L. Human NK cell receptors/markers: A tool to analyze NK cell development, subsets and function. Cytometry A 2013, 83A, 702–713. [Google Scholar] [CrossRef]
- Vargas-Rojas, M.I.; Ramírez-Venegas, A.; Limón-Camacho, L.; Ochoa, L.; Hernández-Zenteno, R.; Sansores, R.H. Increase of Th17 cells in peripheral blood of patients with chronic obstructive pulmonary disease. Respir. Med. 2011, 105, 1648–1654. [Google Scholar] [CrossRef]
- Maciak, K.; Pietrasik, S.; Dziedzic, A.; Redlicka, J.; Saluk-Bijak, J.; Bijak, M.; Włodarczyk, T.; Miller, E. Th17-Related Cytokines as Potential Discriminatory Markers between Neuromyelitis Optica (Devic’s Disease) and Multiple Sclerosis—A Review. Int. J. Mol. Sci. 2021, 22, 8946. [Google Scholar] [CrossRef]
- Martin-Orozco, N.; Chung, Y.; Chang, S.H.; Wang, Y.; Dong, C. Th17 cells promote pancreatic inflammation but only induce diabetes efficiently in lymphopenic hosts after conversion into Th1 cells. Eur. J. Immunol. 2009, 39, 216–224. [Google Scholar] [CrossRef]
- Kryczek, I.; Banerjee, M.; Cheng, P.; Vatan, L.; Szeliga, W.; Wei, S.; Huang, E.; Finlayson, E.; Simeone, D.; Welling, T.H.; et al. Phenotype, distribution, generation, and functional and clinical relevance of Th17 cells in the human tumor environments. Blood 2009, 114, 1141–1149. [Google Scholar] [CrossRef]
- Theobald, L.; Stroeder, R.; Melchior, P.; Iordache, I.I.; Tänzer, T.; Port, M.; Glombitza, B.; Marx, S.; Schub, D.; Herr, C.; et al. Chemoradiotherapy-induced increase in Th17 cell frequency in cervical cancer patients is associated with therapy resistance and early relapse. Mol. Oncol. 2021, 15, 3559–3577. [Google Scholar] [CrossRef]
- Pan, B.; Shen, J.; Cao, J.; Zhou, Y.; Shang, L.; Jin, S.; Cao, S.; Che, D.; Liu, F.; Yu, Y. Interleukin-17 promotes angiogenesis by stimulating VEGF production of cancer cells via the STAT3/GIV signaling pathway in non-small-cell lung cancer. Sci. Rep. 2015, 5, 16053. [Google Scholar] [CrossRef]
- Xu, C.; Hao, K.; Yu, L.; Zhang, X. Serum interleukin-17 as a diagnostic and prognostic marker for non-small cell lung cancer. Biomarkers 2014, 19, 287–290. [Google Scholar] [CrossRef] [PubMed]
- Song, L.; Ma, S.; Chen, L.; Miao, L.; Tao, M.; Liu, H. Long-term prognostic significance of interleukin-17-producing T cells in patients with non-small cell lung cancer. Cancer Sci. 2019, 110, 2100–2109. [Google Scholar] [CrossRef]
- Li, Q.; Han, Y.; Fei, G.; Guo, Z.; Ren, T.; Liu, Z. IL-17 promoted metastasis of non-small-cell lung cancer cells. Immunol. Lett. 2012, 148, 144–150. [Google Scholar] [CrossRef]
- Chen, G.; Zhang, P.-G.; Li, J.-S.; Duan, J.-J.; Su, W.; Guo, S.-P.; Wang, Y.-F.; Sun, J.-N.; Yang, X.-T. Th17 cell frequency and IL-17A production in peripheral blood of patients with non-small-cell lung cancer. J. Int. Med. Res. 2020, 48, 030006052092594. [Google Scholar] [CrossRef]
- Waidhauser, J.; Nerlinger, P.; Sommer, F.; Wolf, S.; Eser, S.; Löhr, P.; Rank, A.; Märkl, B. Circulating Lymphocytes Reflect the Local Immune Response in Patients with Colorectal Carcinoma. Diagnostics 2022, 12, 1408. [Google Scholar] [CrossRef]



| Variable | V0 Baseline Median (IQR) | V1 after Two Cycles ICT Median (IQR) | V2 after Four Cycles ICT Median (IQR) | V3 after Two Cycles CPI Maintenance Median (IQR) |
|---|---|---|---|---|
| Total lymphocytes | 1113.5 (866.25–1379) | 1256 (854–1638) | 1264 (941.5–1638.5) | 1102.5 (681–1507.25) |
| Total T cells (CD3+) | 782 (575.5–1008.25) | 923 (708–1136) | 1059 (702.5–1249.5) | 809.5 (519.25–1137.25) |
| Cytotoxic T cells (CD8+) | 196 (108–322) | 279 (202–326) | 287 (149–477) | 276 (115–394) |
| CD8+ naive | 56.6 (45.2–104.3) | 95 (71.1–134.2) | 110.9 (51.8–123.6) | 72.8 (28–127.1) |
| CD8+ CM | 22.5 (15.7–41.2) | 32.1 (18.4–59.2) | 25.3 (15.8–52.1) | 20.6 (14.6–40.6) |
| CD8+ EM | 17.2 (10–28.6) | 26.3 (19–40.5) | 24.6 (11.9–52.7) | 17 (12.7–45.5) |
| CD8+ EMRA | 53.2 (22.9–107.4) | 55.5 (41.6–99.5) | 88.1 (38–239.6) | 97.5 (20.5–171.8) |
| CD8+ TE | 19.8 (5.2–70.1) | 29.9 (9.9–94.6) | 40.5 (10–178.6) | 57.7 (4.9–109.2) |
| CD8+ TSCM | 1.3 (0.5–2.4) | 1.6 (1–2.3) | 1 (0.4–2.3) | 0.9 (0.7–2.5) |
| CD8+ early | 77.5 (55.9–114.9) | 121.6 (94.7–173.4) | 119.3 (69.6–140.8) | 83.2 (37.1–127.1) |
| CD8+ intermediate | 8.4 (3.3–13.4) | 9.6 (7.6–14.8) | 12.3 (7–20.1) | 10.2 (5–20.8) |
| CD8+ late | 37 (4.4–121.6) | 69 (20.7–172.7) | 133.9 (21–257.2) | 146.7 (15.5–243.2) |
| CD8+ high exhausted | 5.4 (2.7–8.7) | 9.7 (4.3–16.1) | 10.2 (6.2–15.1) | 6.5 (5–10.6) |
| CD8+ low exhausted | 66.6 (37–116.1) | 84.1 (54.3–10.5.4) | 128.3 (40.8–181.4) | 68.9 (42.4–155.9) |
| CD8+ HLA-DR | 74.1 (36.9–182.3) | 98.1 (52.7–209.9) | 108.7 (65.6–313.6) | 127.2. (43.7–252.7) |
| CD69+ CD8+ | 36 (21–59.8) | 35.9 (28.1–57) | 42.5 (30.9–74) | 33.2 (26.3–47.4) |
| Naive Treg CD8+ | 0.3 (0.1–0.4) | 0.4 (0.3–0.8) | 0.3 (0.2–0.4) | 0.2 (0.2–0.5) |
| Memory Treg CD8+ | 0.7 (0.3–1.1) | 0.9 (0.4–1.1) | 0.8 (0.5–1.4) | 0.5 (0.4–0.9) |
| Treg CD8+ CD127low | 0.9 (0.6–1.6) | 1.2 (0.8–2) | 1.1 (0.7–1.7) | 0.8 (0.4–1.5) |
| T helper cells (CD4+) | 509.5 (365.9–689.3) | 552 (386–986) | 542 (421–834) | 404 (247–682) |
| CD4+ naive | 206.5 (147–290) | 278.2 (179.4–539) | 273.5 (178.7–382.8) | 149.8 (95.2–292.2) |
| CD4+ CM | 175 (104.5–251.5) | 202.8 (141.5–294.4) | 189.5 (140.5–293.1) | 161.7 (114.8–284.8) |
| CD4+ EM | 60.7 (42.2–93) | 70.8 (44.9–90.6) | 69.4 (35.4–97.4) | 56.5 (47.5–80.4) |
| CD4+ EMRA | 7.9 (4.4–15.7) | 9.4 (5.5–27.7) | 10.8 (5.1–25.2) | 9.2 (4.3–16.9) |
| CD4+ TE | 3.5 (1.1–9.7) | 5.8 (2.7–12.4) | 5.7 (3.2–9.4) | 3.9 (1.5–6.7) |
| CD4+ TSCM | 1.3 (1–2.2) | 1.9 (0.9–3.6) | 0.9 (0.5–1.4) | 0.8 (0.5–1.9) |
| CD4+ early | 439.8 (274.3–638.2) | 566.2 (351.8–936.6) | 465.3 (362.6–692.9) | 370 (204.5–605.9) |
| CD4+ intermediate | 0.1 (0.1–0.4) | 0.2 (0.1–0.6) | 0.1 (0–0.3) | 0.1 (0–0.6) |
| CD4 late | 1.4 (0.2–17.5) | 7.3 (0.6–35.6) | 5.4 (0.3–27.9) | 7.1 (1.7–30.3) |
| CD4+ high exhausted | 12.8 (8.4–17.5) | 21 (15.3–25.8) | 27.2 (15.4–33.5) | 17.1 (13.6–33.2) |
| CD4+ low exhausted | 112.6 (68.9–171.8) | 120.7 (93.6–178.7) | 144.9–77-182.2) | 143.9–82.6–182.2) |
| CD4+ HLA-DR | 58.2 (27.2–111.6) | 61.9 (37.6–10.9.9) | 76.8 (40.5–116.2) | 65.7 (45–95.6) |
| Naive Treg CD4+ | 9.8 (4.3–15.6) | 14.6 (9–19.6) | 14.1 (9.4–20.3) | 11.4 (3.8–13.4) |
| Memory Treg CD4+ | 25.1 (17.1–40.8) | 32.6 (22.1–42.1) | 37.7 (22.8–49.7) | 30.7 (21.4–43.4) |
| Treg CD4+ CD127low | 39.4 (21.9–57) | 50.2 (31.6–62.7) | 61.5 (30.9–72.4) | 41.6 (27–56.2) |
| CD69+ CD4+ | 61.7 (40.4–79.9) | 56.6 (46.4–79.1) | 58.6 (40.5–66.9) | 42.5 (20.9–75.2) |
| CD4+ CD8+ | 6.7 (3.2–8.4) | 6.9 (3.3–10.7) | 9.9 (4.1–10.7) | 5.7 (2.4–7.5) |
| Th 1 | 35.5 (24.7–51) | 42.5 (34.3–66.9) | 45.8 (25–68.1) | 39.8 (31.4–73.2) |
| Th 2 | 109 (78–180.3) | 164.3 (100.8–278) | 134 (106.5–203.7) | 112.7 (59.4–172.2) |
| Th 17 | 61.9 (32–92.4) | 79.5 (58.8–124.8) | 80.4 (52–109.9) | 56.9 (31.9–92.7) |
| NK like T cells | 15 (8.5–44.5) | 32 (16–79) | 35 (14.5–84) | 25.5 (12.5–74.75) |
| Total B cells (CD19+) | 91.5 (68–168.25) | 87 (35–115) | 61 (27.5–111) | 62.5 (34–101.25) |
| Naïve B cells | 64.5 (40–105) | 56 (18–81) | 41 (18–81.5) | 45.5 (26.5–72-5) |
| Non-class-switched memory B cells | 5 (2–13.5) | 4 (2–7) | 2 (1.5–4) | 1 (1–4.8) |
| Class-switched memory B cells | 15 (7.8–24) | 12 (7–22) | 11 (5–22) | 5 (2.8–13.8) |
| Transitional B cells | 1 (1–3) | 1 (0–1) | 0 (0–1.5) | 5.5 (4–10.5) |
| Natural killer cells | 167 (93–232) | 172 (117–227) | 180 (142–232) | 169 (135–272) |
| CD56+ CD16+ | 127.5 (59.5–194) | 109 (76–170) | 114 (91–148.5) | 104 (74.3–174.8) |
| CD56bright CD16dim | 9 (4.8–15.5) | 15 (9–19) | 17 (8.5–31) | 13 (4.5–19) |
| CD56dim CD16bright | 22 (10.8–31.5) | 33 (11–40) | 43 (23.5–55.5) | 44.5 (26.5–64-3) |
Disclaimer/Publisher’s Note: The statements, opinions and data contained in all publications are solely those of the individual author(s) and contributor(s) and not of MDPI and/or the editor(s). MDPI and/or the editor(s) disclaim responsibility for any injury to people or property resulting from any ideas, methods, instructions or products referred to in the content. |
© 2024 by the authors. Licensee MDPI, Basel, Switzerland. This article is an open access article distributed under the terms and conditions of the Creative Commons Attribution (CC BY) license (https://creativecommons.org/licenses/by/4.0/).
Share and Cite
Schmälter, A.-K.; Löhr, P.; Konrad, M.; Waidhauser, J.; Arndt, T.T.; Schiele, S.; Thoma, A.; Hackanson, B.; Rank, A. Alterations in Peripheral Lymphocyte Subsets under Immunochemotherapy in Stage IV SCLC Patients: Th17 Cells as Potential Early Predictive Biomarker for Response. Int. J. Mol. Sci. 2024, 25, 5056. https://doi.org/10.3390/ijms25105056
Schmälter A-K, Löhr P, Konrad M, Waidhauser J, Arndt TT, Schiele S, Thoma A, Hackanson B, Rank A. Alterations in Peripheral Lymphocyte Subsets under Immunochemotherapy in Stage IV SCLC Patients: Th17 Cells as Potential Early Predictive Biomarker for Response. International Journal of Molecular Sciences. 2024; 25(10):5056. https://doi.org/10.3390/ijms25105056
Chicago/Turabian StyleSchmälter, Ann-Kristin, Phillip Löhr, Maik Konrad, Johanna Waidhauser, Tim Tobias Arndt, Stefan Schiele, Alicia Thoma, Björn Hackanson, and Andreas Rank. 2024. "Alterations in Peripheral Lymphocyte Subsets under Immunochemotherapy in Stage IV SCLC Patients: Th17 Cells as Potential Early Predictive Biomarker for Response" International Journal of Molecular Sciences 25, no. 10: 5056. https://doi.org/10.3390/ijms25105056
APA StyleSchmälter, A.-K., Löhr, P., Konrad, M., Waidhauser, J., Arndt, T. T., Schiele, S., Thoma, A., Hackanson, B., & Rank, A. (2024). Alterations in Peripheral Lymphocyte Subsets under Immunochemotherapy in Stage IV SCLC Patients: Th17 Cells as Potential Early Predictive Biomarker for Response. International Journal of Molecular Sciences, 25(10), 5056. https://doi.org/10.3390/ijms25105056

