Track Structure of Light Ions: The Link to Radiobiology
Abstract
1. Introduction
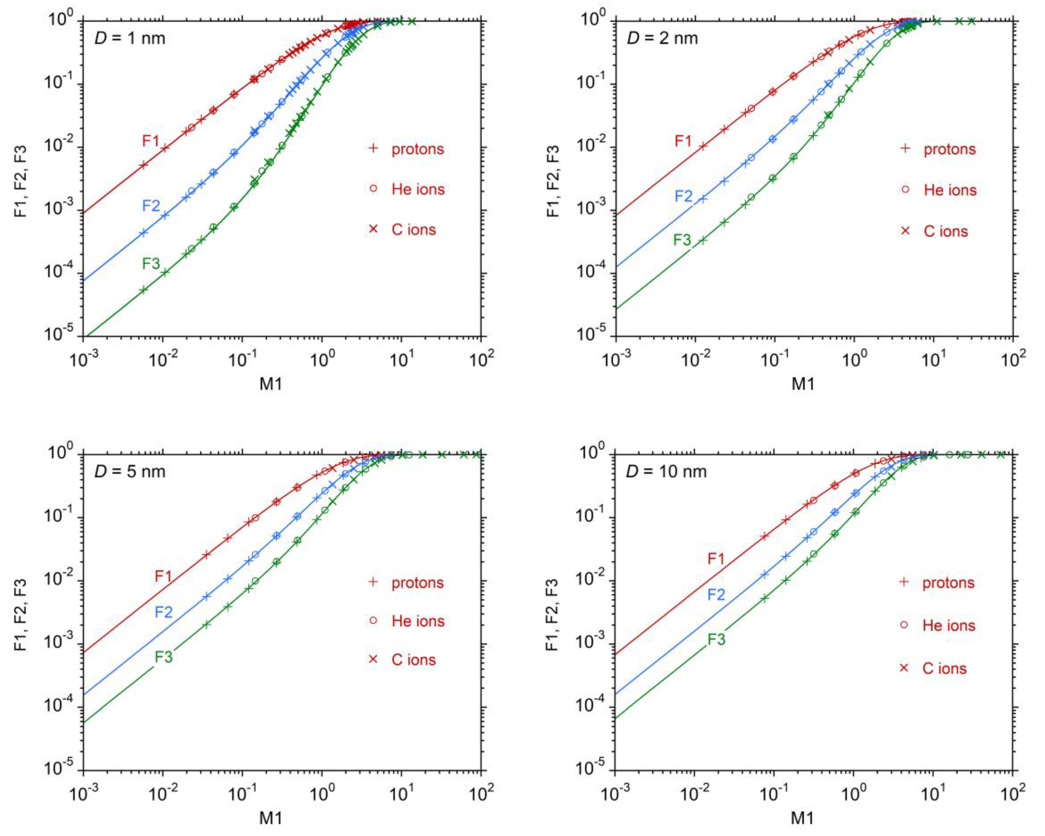
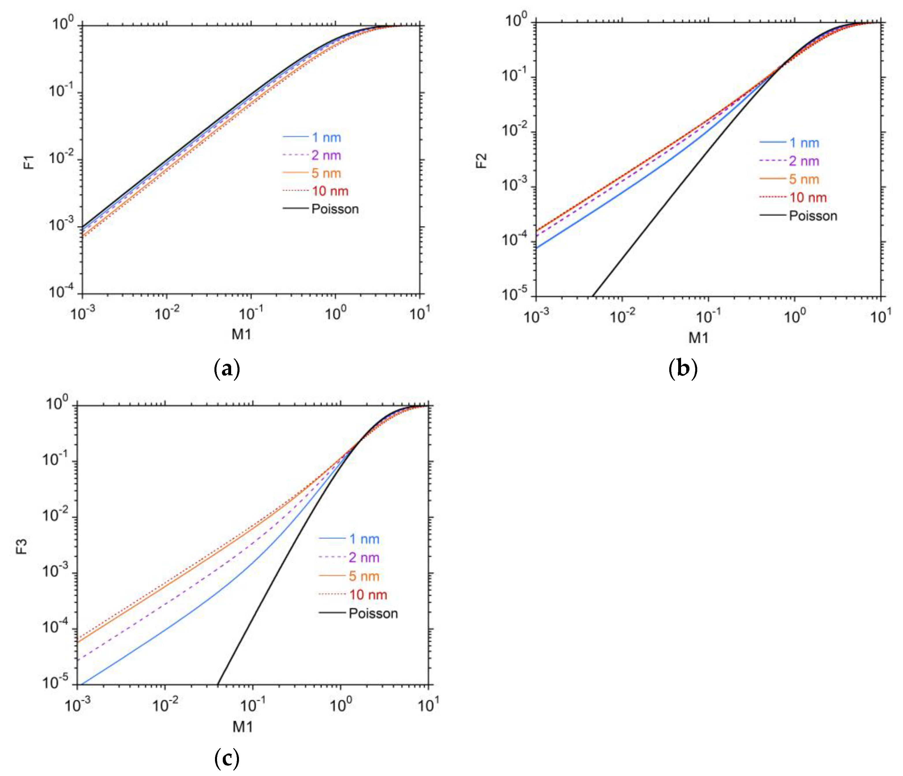
2. Results
2.1. Track Structure Characteristics
2.2. The Link to Radiobiology
3. Discussion
The Probabilistic Description of Ionization–Cluster Size Formation
4. Materials and Methods
5. Conclusions
Author Contributions
Funding
Data Availability Statement
Conflicts of Interest
Appendix A
| Particle Type | Energy per Unit Mass/MeV | ||||
|---|---|---|---|---|---|
| Protons | 1.00 | 0.510 | 0.370 | 0.105 | 0.0268 |
| 2.00 | 0.297 | 0.237 | 0.0482 | 0.00943 | |
| 5.00 | 0.140 | 0.120 | 0.0169 | 0.00260 | |
| 10.00 | 0.0785 | 0.0693 | 0.00794 | 0.00111 | |
| 20.00 | 0.0435 | 0.0390 | 0.00388 | 0.000507 | |
| 30.00 | 0.0306 | 0.0276 | 0.00261 | 0.000342 | |
| 50.00 | 0.0196 | 0.0178 | 0.00160 | 0.000203 | |
| 100.00 | 0.0106 | 0.00970 | 0.000833 | 0.000104 | |
| 200.00 | 0.00575 | 0.00524 | 0.000441 | 5.50 × 10−5 | |
| He-ions | 1.00 | 1.972 | 0.834 | 0.562 | 0.315 |
| 2.00 | 1.184 | 0.659 | 0.323 | 0.132 | |
| 5.00 | 0.562 | 0.400 | 0.120 | 0.0317 | |
| 10.00 | 0.316 | 0.250 | 0.0530 | 0.0108 | |
| 15.00 | 0.224 | 0.184 | 0.0325 | 0.00587 | |
| 20.00 | 0.176 | 0.147 | 0.0237 | 0.00423 | |
| 25.70 | 0.140 | 0.120 | 0.0171 | 0.00268 | |
| 50.00 | 0.0788 | 0.0690 | 0.00840 | 0.00116 | |
| 100.00 | 0.0431 | 0.0384 | 0.00403 | 0.000548 | |
| 200.00 | 0.0231 | 0.0207 | 0.00205 | 0.000247 | |
| C-ions | 1.00 | 13.6 | 1.00 | 1.00 | 1.000 |
| 2.00 | 9.45 | 1.000 | 0.998 | 0.992 | |
| 3.00 | 7.27 | 0.998 | 0.990 | 0.964 | |
| 5.00 | 5.01 | 0.989 | 0.944 | 0.848 | |
| 8.33 | 3.34 | 0.950 | 0.816 | 0.620 | |
| 10.00 | 2.87 | 0.924 | 0.748 | 0.525 | |
| 11.00 | 2.66 | 0.909 | 0.709 | 0.479 | |
| 12.00 | 2.46 | 0.890 | 0.674 | 0.432 | |
| 12.50 | 2.38 | 0.881 | 0.655 | 0.416 | |
| 13.00 | 2.30 | 0.872 | 0.637 | 0.393 | |
| 14.00 | 2.17 | 0.858 | 0.606 | 0.365 | |
| 15.00 | 2.04 | 0.841 | 0.576 | 0.331 | |
| 20.00 | 1.59 | 0.762 | 0.453 | 0.224 | |
| 30.00 | 1.12 | 0.636 | 0.304 | 0.121 | |
| 40.00 | 0.875 | 0.545 | 0.221 | 0.0762 | |
| 50.00 | 0.720 | 0.477 | 0.170 | 0.0526 | |
| 60.00 | 0.613 | 0.424 | 0.137 | 0.0389 | |
| 70.00 | 0.535 | 0.382 | 0.113 | 0.0304 | |
| 80.00 | 0.476 | 0.348 | 0.0962 | 0.0241 | |
| 90.00 | 0.429 | 0.320 | 0.0830 | 0.0200 | |
| 100.00 | 0.391 | 0.296 | 0.0728 | 0.0168 | |
| 200.00 | 0.211 | 0.173 | 0.0310 | 0.00576 | |
| 309.00 | 0.143 | 0.121 | 0.0185 | 0.00310 |
| Particle Type | Energy per Unit Mass/MeV | ||||
|---|---|---|---|---|---|
| Protons | 1.00 | 1.12 | 0.605 | 0.295 | 0.130 |
| 2.00 | 0.648 | 0.419 | 0.150 | 0.0520 | |
| 5.00 | 0.305 | 0.227 | 0.0562 | 0.0153 | |
| 10.00 | 0.170 | 0.134 | 0.0270 | 0.00664 | |
| 20.00 | 0.0943 | 0.0767 | 0.0134 | 0.00313 | |
| 50.00 | 0.0426 | 0.0354 | 0.00551 | 0.00124 | |
| 100.00 | 0.0231 | 0.0194 | 0.00289 | 0.000646 | |
| 200.00 | 0.0125 | 0.0105 | 0.00152 | 0.000334 | |
| He-ions | 1.00 | 4.34 | 0.972 | 0.889 | 0.752 |
| 2.00 | 2.57 | 0.884 | 0.670 | 0.447 | |
| 5.00 | 1.23 | 0.641 | 0.329 | 0.151 | |
| 10.00 | 0.689 | 0.438 | 0.162 | 0.0579 | |
| 15.00 | 0.488 | 0.336 | 0.104 | 0.0327 | |
| 20.00 | 0.383 | 0.274 | 0.0763 | 0.0227 | |
| 50.00 | 0.173 | 0.134 | 0.0281 | 0.00718 | |
| 100.00 | 0.0935 | 0.0753 | 0.0137 | 0.00328 | |
| 200.00 | 0.0505 | 0.0414 | 0.00690 | 0.00163 | |
| C-ions | 1.00 | 30.0 | 1.00 | 1.00 | 1.00 |
| 2.00 | 20.9 | 1.00 | 1.00 | 1.00 | |
| 5.00 | 11.1 | 1.000 | 0.999 | 0.995 | |
| 10.00 | 6.32 | 0.994 | 0.970 | 0.913 | |
| 12.00 | 5.43 | 0.988 | 0.945 | 0.858 | |
| 12.50 | 5.24 | 0.986 | 0.937 | 0.841 | |
| 13.00 | 5.09 | 0.985 | 0.932 | 0.829 | |
| 14.00 | 4.76 | 0.980 | 0.914 | 0.798 | |
| 15.00 | 4.50 | 0.975 | 0.897 | 0.768 | |
| 16.70 | 4.11 | 0.966 | 0.869 | 0.719 | |
| 20.00 | 3.52 | 0.944 | 0.810 | 0.628 | |
| 50.00 | 1.59 | 0.728 | 0.432 | 0.227 | |
| 100.00 | 0.863 | 0.507 | 0.216 | 0.0864 | |
| 200.00 | 0.465 | 0.317 | 0.0998 | 0.0324 |
| Particle Type | Energy per Unit Mass/MeV | ||||
|---|---|---|---|---|---|
| Protons | 1.00 | 3.23 | 0.901 | 0.725 | 0.535 |
| 2.00 | 1.85 | 0.742 | 0.468 | 0.276 | |
| 5.00 | 0.866 | 0.474 | 0.207 | 0.0937 | |
| 10.00 | 0.483 | 0.302 | 0.103 | 0.0414 | |
| 20.00 | 0.267 | 0.180 | 0.0512 | 0.0193 | |
| 50.00 | 0.121 | 0.0859 | 0.0208 | 0.00758 | |
| 100.00 | 0.0655 | 0.0476 | 0.0108 | 0.00390 | |
| 200.00 | 0.0353 | 0.0260 | 0.00565 | 0.00203 | |
| He-ions | 1.00 | 12.5 | 1.000 | 0.999 | 0.996 |
| 2.00 | 7.40 | 0.995 | 0.977 | 0.933 | |
| 5.00 | 3.54 | 0.925 | 0.771 | 0.590 | |
| 10.00 | 1.98 | 0.763 | 0.497 | 0.301 | |
| 20.00 | 1.09 | 0.549 | 0.268 | 0.132 | |
| 50.00 | 0.493 | 0.302 | 0.106 | 0.0441 | |
| 100.00 | 0.269 | 0.178 | 0.0524 | 0.0204 | |
| 200.00 | 0.145 | 0.0998 | 0.0262 | 0.0100 | |
| C-ions | 1.00 | 87.8 | 1.00 | 1.00 | 1.00 |
| 2.00 | 61.0 | 1.00 | 1.00 | 1.00 | |
| 5.00 | 32.3 | 1.00 | 1.00 | 1.00 | |
| 10.00 | 18.5 | 1.00 | 1.00 | 1.000 | |
| 20.00 | 10.3 | 0.999 | 0.995 | 0.983 | |
| 40.00 | 5.64 | 0.981 | 0.923 | 0.826 | |
| 50.00 | 4.64 | 0.961 | 0.866 | 0.730 | |
| 100.00 | 2.52 | 0.828 | 0.600 | 0.403 | |
| 200.00 | 1.36 | 0.614 | 0.337 | 0.183 |
| Particle Type | Energy per Unit Mass/MeV | ||||
|---|---|---|---|---|---|
| Protons | 1.00 | 7.08 | 0.990 | 0.956 | 0.890 |
| 2.00 | 4.03 | 0.933 | 0.795 | 0.628 | |
| 5.00 | 1.87 | 0.722 | 0.447 | 0.265 | |
| 10.00 | 1.04 | 0.511 | 0.241 | 0.120 | |
| 20.00 | 0.578 | 0.327 | 0.121 | 0.0545 | |
| 50.00 | 0.261 | 0.164 | 0.0482 | 0.0205 | |
| 100.00 | 0.141 | 0.0925 | 0.0245 | 0.0103 | |
| 200.00 | 0.0763 | 0.0510 | 0.0126 | 0.00527 | |
| He-ions | 1.00 | 27.4 | 1.00 | 1.00 | 1.00 |
| 2.00 | 16.1 | 1.00 | 1.00 | 0.999 | |
| 5.00 | 7.69 | 0.994 | 0.971 | 0.922 | |
| 10.00 | 4.30 | 0.943 | 0.819 | 0.663 | |
| 20.00 | 2.38 | 0.796 | 0.549 | 0.357 | |
| 50.00 | 1.08 | 0.511 | 0.246 | 0.127 | |
| 100.00 | 0.583 | 0.322 | 0.122 | 0.0569 | |
| 200.00 | 0.315 | 0.189 | 0.0603 | 0.0268 | |
| C-ions | 1.00 | 194 | 1.00 | 1.00 | 1.00 |
| 2.00 | 135 | 1.00 | 1.00 | 1.00 | |
| 5.00 | 71.3 | 1.00 | 1.00 | 1.00 | |
| 10.00 | 40.8 | 1.00 | 1.00 | 1.00 | |
| 20.00 | 22.7 | 1.00 | 1.00 | 1.000 | |
| 50.00 | 10.2 | 0.998 | 0.991 | 0.972 | |
| 100.00 | 5.56 | 0.970 | 0.893 | 0.779 | |
| 200.00 | 3.00 | 0.849 | 0.641 | 0.455 |
References
- Ward, J.F. DNA damage produced by ionizing radiation in mammalian cells: Identities, mechanisms of formation, and reparability. Prog. Nucleic Acid Res. Mol. Biol. 1988, 35, 95–125. [Google Scholar] [CrossRef]
- Goodhead, D.T. The initial physical damage produced by ionizing radiations. Int. J. Radiat. Biol. 1989, 56, 623–634. [Google Scholar] [CrossRef]
- Goodhead, D.T. Initial events in the cellular effects of ionizing radiations: Clustered damage in DNA. Int. J. Radiat. Biol. 1994, 65, 7–17. [Google Scholar] [CrossRef]
- Nikjoo, H.; Uehara, S.; Emfietzoglou, D.; Cucinotta, F.A. Track-structure codes in radiation research. Radiat. Meas. 2006, 41, 1052–1074. [Google Scholar] [CrossRef]
- Amols, H.I.; Wuu, C.S.; Zaider, M. On Possible Limitations of Experimental Nanodosimetry. Radiat. Prot. Dosim. 1990, 31, 125–128. [Google Scholar] [CrossRef]
- Selva, A.; Bolst, D.; Guatelli, S.; Conte, V. Energy imparted and ionization yield in nanometre-sized volumes. Radiat. Phys. Chem. 2022, 192, 109910. [Google Scholar] [CrossRef]
- Taioli, S.; Trevisanutto, P.E.; de Vera, P.; Simonucci, S.; Abril, I.; García-Molina, R.; Dapor, M. Relative Role of Physical Mechanisms on Complex Biodamage Induced by Carbon Irradiation. J. Phys. Chem. Lett. 2020, 12, 487–493. [Google Scholar] [CrossRef]
- Grosswendt, B. Formation of ionization clusters in nanometric structures of propane-based tissue-equivalent gas or liquid water by electrons and α-particles. Radiat. Environ. Biophys. 2002, 41, 103–112. [Google Scholar] [CrossRef] [PubMed]
- De Nardo, L.; Colautti, P.; Conte, V.; Baek, W.Y.; Grosswendt, B.; Tornielli, G. Ionization-cluster distributions of a-particles in nanometric volumes of propane: Measurement and calculation. Radiat. Environ. Biophys. 2002, 41, 235–256. [Google Scholar] [CrossRef]
- Conte, V.; Colautti, P.; Grosswendt, B.; Moro, D.; De Nardo, L. Track structure of light ions: Experiment and simulations. New. J. Phys. 2012, 14, 093010. [Google Scholar] [CrossRef]
- Conte, V.; Colautti, P.; Moro, D.; Grosswendt, B. Track structure of carbon ions: Measurements and simulations. Radiat. Prot. Dosim. 2014, 161, 445–448. [Google Scholar] [CrossRef] [PubMed]
- Bantsar, A.; Pietrzak, M.; Jaskóła, M.; Korman, A.; Pszona, S.; Szefliński, Z. Status report: Nanodosimetry of carbon ion beam at HIL. Rep. Pract. Oncol. Radiother. 2014, 19, S42–S46. [Google Scholar] [CrossRef]
- Bantsar, A.; Hilgers, G.; Pszona, S.; Rabus, H.; Szeflinski, Z. Experimental investigation of ionisation track structure of carbon ions at HIL Warsaw. Radiat. Prot. Dosim. 2015, 166, 253–256. [Google Scholar] [CrossRef]
- Bantsar, A.; Hilgers, G.; Pszona, S.; Rabus, H.; Szeflinski, Z. Nanodosimetric characterization of ion beams. Eur. Phys. J. D 2014, 68, 217. [Google Scholar] [CrossRef]
- Hilgers, G.; Bug, M.U.; Rabus, H. Measurement of track structure parameters of low and medium energy helium and carbon ions in nanometric volumes. Phys. Med. Biol. 2017, 62, 7569–7597. [Google Scholar] [CrossRef]
- Conte, V.; Selva, A.; Colautti, P.; Hilgers, G.; Rabus, H. Track structure characterization and its link to radiobiology. Radiat. Meas. 2017, 106, 506–511. [Google Scholar] [CrossRef]
- Conte, V.; Selva, A.; Colautti, P.; Hilgers, G.; Rabus, H.; Bantsar, A.; Pietrzak, M.; Pszona, S. Nanodosimetry: Towards a New Concept of Radiation Quality. Radiat. Prot. Dosim. 2018, 180, 150–156. [Google Scholar] [CrossRef] [PubMed]
- Grosswendt, B.; Conte, V.; Colautti, P. An upgraded track structure model: Experimental validation. Radiat. Prot. Dosim. 2014, 161, 464–468. [Google Scholar] [CrossRef] [PubMed]
- Grosswendt, B. Recent advances of nanodosimetry. Radiat. Prot. Dosim. 2004, 110, 789–799. [Google Scholar] [CrossRef]
- Alexander, F.; Villagrasa, C.; Rabus, H.; Wilkens, J.J. Local weighting of nanometric track structure properties in macroscopic voxel geometries for particle beam treatment planning. Phys. Med. Biol. 2015, 60, 9145–9156. [Google Scholar] [CrossRef]
- Ramos-Méndez, J.; Burigo, L.N.; Schulte, R.; Chuang, C.; Faddegon, B. Fast calculation of nanodosimetric quantities in treatment planning of proton and ion therapy. Phys. Med. Biol. 2018, 63, 235015. [Google Scholar] [CrossRef]
- Dai, T.; Li, Q.; Liu, X.; Dai, Z.; He, P.; Ma, Y.; Shen, G.; Chen, W.; Zhang, H.; Meng, Q.; et al. Nanodosimetric quantities and RBE of a clinically relevant carbon-ion beam. Med. Phys. 2020, 47, 772–780. [Google Scholar] [CrossRef] [PubMed]
- Belloni, F.; Bettega, D.; Calzolari, P.; Cherubini, R.; Massariello, P.; Tallone, L. Inactivation Cross Sections for Mammalian Cells Exposed to Charged Particles: A Phenomenological Approach. Radiat. Prot. Dosim. 2002, 99, 199–202. [Google Scholar] [CrossRef]
- Friedrich, T.; Scholz, U.; Elsässer, T.; Durante, M.; Scholz, M. Systematic analysis of RBE and related quantities using a database of cell survival experiments with ion beam irradiation. J. Radiat. Res. 2013, 54, 494–514. [Google Scholar] [CrossRef] [PubMed]
- Monini, C.; Cunha, M.; Testa, E.; Beuve, M. Study of the Influence of NanOx Parameters. Cancers 2018, 10, 87. [Google Scholar] [CrossRef] [PubMed]
- Rudd, M.E.; Kim, Y.-K.; Madison, D.H.; Gay, T.J. Electron production in proton collisions with atoms and molecules: Energy distributions. Rev. Mod. Phys. 1992, 64, 441–490. [Google Scholar] [CrossRef]







| Diameter D * | |||
|---|---|---|---|
| 1 nm | 0.907 | 0.831 | 0.898 |
| 2 nm | 0.831 | 0.705 | 0.804 |
| 5 nm | 0.735 | 0.579 | 0.678 |
| 10 nm | 0.670 | 0.520 | 0.612 |
| Q | |||
|---|---|---|---|
| 1H 5 AMeV | 0.14090 | 0.12670 | 0.899 |
| 4He 10 AMeV | 0.31640 | 0.28300 | 0.894 |
| He 25.7 AMeV | 0.14030 | 0.12640 | 0.901 |
| 1H 50 AMeV | 0.01963 | 0.01769 | 0.901 |
| 1H 100 AMeV | 0.01065 | 0.00961 | 0.902 |
| 12C 309 AMeV | 0.14291 | 0.12692 | 0.888 |
Disclaimer/Publisher’s Note: The statements, opinions and data contained in all publications are solely those of the individual author(s) and contributor(s) and not of MDPI and/or the editor(s). MDPI and/or the editor(s) disclaim responsibility for any injury to people or property resulting from any ideas, methods, instructions or products referred to in the content. |
© 2023 by the authors. Licensee MDPI, Basel, Switzerland. This article is an open access article distributed under the terms and conditions of the Creative Commons Attribution (CC BY) license (https://creativecommons.org/licenses/by/4.0/).
Share and Cite
Conte, V.; Bianchi, A.; Selva, A. Track Structure of Light Ions: The Link to Radiobiology. Int. J. Mol. Sci. 2023, 24, 5826. https://doi.org/10.3390/ijms24065826
Conte V, Bianchi A, Selva A. Track Structure of Light Ions: The Link to Radiobiology. International Journal of Molecular Sciences. 2023; 24(6):5826. https://doi.org/10.3390/ijms24065826
Chicago/Turabian StyleConte, Valeria, Anna Bianchi, and Anna Selva. 2023. "Track Structure of Light Ions: The Link to Radiobiology" International Journal of Molecular Sciences 24, no. 6: 5826. https://doi.org/10.3390/ijms24065826
APA StyleConte, V., Bianchi, A., & Selva, A. (2023). Track Structure of Light Ions: The Link to Radiobiology. International Journal of Molecular Sciences, 24(6), 5826. https://doi.org/10.3390/ijms24065826

