Abstract
The need to protect human and environmental health and avoid the widespread use of substances obtained from nonrenewable sources is steering research toward the discovery and development of new molecules characterized by high biocompatibility and biodegradability. Due to their very widespread use, a class of substances for which this need is particularly urgent is that of surfactants. In this respect, an attractive and promising alternative to commonly used synthetic surfactants is represented by so-called biosurfactants, amphiphiles naturally derived from microorganisms. One of the best-known families of biosurfactants is that of rhamnolipids, which are glycolipids with a headgroup formed by one or two rhamnose units. Great scientific and technological effort has been devoted to optimization of their production processes, as well as their physicochemical characterization. However, a conclusive structure–function relationship is far from being defined. In this review, we aim to move a step forward in this direction, by presenting a comprehensive and unified discussion of physicochemical properties of rhamnolipids as a function of solution conditions and rhamnolipid structure. We also discuss still unresolved issues that deserve further investigation in the future, to allow the replacement of conventional surfactants with rhamnolipids.
1. Introduction
In the last few years, increasing attention toward environmental issues is steering the scientific and technological research. The need to protect human and environmental health and to avoid the widespread use of substances obtained from nonrenewable sources has prompted research toward the discovery and development of new sustainable molecules characterized by high biocompatibility and biodegradability, obtained from a natural origin or a synthetic route based on green chemistry principles. A class of substances for which this need is particularly urgent is that of surfactants [,,,]. Indeed, surface-active agents, whose contraction gives origin to the word surfactants, find large use in an incredible variegate range of applications [,]; they are at the basis of all detergent formulations, including those for household [] and personal care [], for example; they are amply used in many industrial processes [,,,,,,], as well as in agriculture [], oil recovery [], and remediation processes []; they are crucial components of food [], cosmetic [], and pharmacological products [,,,,,]. Such a variety of applications and markets justifies surfactant production volumes of about 17 million tons per year [].
However, both the use and the synthesis of surfactants are associated with unfavorable environmental issues that represent an increasing concern worldwide. Most surfactants are produced from petrochemical resources by means of polluting industrial processes [,,]. Moreover, they can cause allergic reactions and skin irritation [,,] and, when dispersed in the environment, may be toxic to different organisms [,,,].
For these reasons, the development of environmentally friendly surfactants with good biodegradability is in great demand []. In this respect, an attractive and promising alternative to commonly used synthetic surfactants is represented by so-called biosurfactants [,,,,,,,]; these are surfactants naturally derived from microorganisms, such as bacteria and yeasts [,,,,,,]. However, this term is often used in a larger meaning to indicate not only surfactants extracted from natural sources or produced enzymatically or microbially, but also those surfactants that are chemically synthesized from biomass, such as sugars, plant oils, and amino acids [,]; for the latter class, a more appropriate term should be bioderived or bioinspired surfactants, and they should be discussed as a class of their own [].
Biosurfactants are usually classified on the basis of their molecular weight, a distinction due to Rosenberg and Ron [], rather than the features of the polar head, as happens for canonical synthetic surfactants; hence, biosurfactants are divided into low-molecular-weight (LMW) and high-molecular-weight (HMW) ones (Figure 1) [,,,,,]. Glycolipids and lipopeptides belong to the former class, while polymeric compounds, such as proteins, polysaccharides, and combined forms of lipoproteins or lipopolysaccharides belong to the latter [,,,]. Properties of these two kinds of biosurfactants differ one from the other, with HMW biosurfactants characterized by good emulsifying and surface adhesion properties and LMW biosurfactants characterized by strong surface and interfacial tension reduction and wetting abilities [,,,,]. LMW biosurfactants are good candidates to replace canonical surfactants, also considering their general capacity to be active at low concentrations and to withstand extreme conditions of pH, temperature, and salinity, as well as their high biodegradability, low toxicity, and better environmental compatibility [,,,,,,,].
Figure 1.
Classification of biosurfactants according to their molecular weight.
One of the best-known families of LMW biosurfactants is that of rhamnolipids; these are glycolipids formed by one or two rhamnose units acetylated with up to three long-chain hydroxy fatty acids [,,,,,,,,,,,,].
Rhamnolipids are typically produced by Pseudomonas aeruginosa [,,,,,,,,,,,,,,,,,,,,,], but they have also been isolated from other Pseudomonas bacteria [,,,,], as well as from bacteria belonging to other families [,,,,], classes [,,,], or even phyla [,,,,]. In bacteria, rhamnolipids play many different physiological roles, including solubilization and uptake of hydrophobic nutrients, adhesion to surfaces, formation and maintenance of biofilms, and cell motility [,,,,,].
The structural properties of microbial rhamnolipids depend on environmental and growth conditions [,,,,,,,,,,,,]. They are generally obtained as complex mixtures of congeners: mono-rhamnolipids and di-rhamnolipids, differing in the number of rhamnose groups present; within each of these two classes, congeners differ in terms of chain length, degree of branching, and unsaturation of the fatty acid chains [,]. As an example, rhamnolipids produced by P. aeruginosa are reported to be mixtures of about 30 different molecules; by considering all the possible microbial origins, up to 60 different rhamnolipid congeners and homologs have been identified [,,,,,]. As for the growth conditions, for example, it has been found that, when the strain P. aeruginosa LBI grows on hydrophilic substrates, such as glycerol and glucose, di-rhamnolipids are mostly obtained, whereas, when it is grown on hydrophobic carbon sources, mono-rhamnolipids are the predominant homologs in the mixture [].
Given the potential of rhamnolipids as replacements of conventional surfactants, immediately recognized on the basis of their impressive physicochemical properties, a rich research field has been devoted to improvement of their production, with the aim of optimizing large-scale cheap processes [,,,,,,,]. Rhamnolipids are produced at a higher level compared with other bacterial biosurfactants; they are biosurfactants with higher yields, with the only exception being glycolipids produced by yeasts []. With respect to synthetic surfactants, their cost is still nearly prohibitive, with the cost of synthetic surfactants being 1–3 USD/kg, and that of rhamnolipids being 20–25 USD/kg, depending on the volumetric productivity of rhamnolipid fermentation [,,]; however, these production costs are still the result of an impressive improvement, since, in the past, rhamnolipids were evaluated to be 1000 times as expensive as conventional surfactants []. The high cost of rhamnolipid production is mainly due to fermentation and product purification steps [,,,,,]. Some approaches that have achieved lower production costs include the use of inexpensive substrates [,,,,,], overproducing strains [,,,], metabolic engineering techniques [,,], and effective downstream processes [,,,]. In addition, it may be possible to overcome limitations of their high costs by focusing on refined applications (medical and pharmaceutical), whereby the benefits of using rhamnolipids can compensate for their costs []. On these premises, it should not surprise that the microbial surfactant market was valued at 14.2 million USD in the year 2020, and it is projected to reach a size of 18.7 million USD by 2027, with the rhamnolipid market projected to reach 3.1 million USD [].
At the same time, an increasing number of applications of rhamnolipids have been discovered and investigated in the last few years, as discussed in numerous papers [,,,,,,,,,,,,,,,,,,,,,,,,,,,,,,,,,].
Likely due to the difficulty of handling pure products and to the fact that even small changes in the composition of the congeners lead to significant differences in the behavior of rhamnolipids, the study of physicochemical properties of this class of biosurfactants has been somehow overlooked, with respect to research on their production and applications. Numerous reports on the characterization of rhamnolipids in terms of aggregation and surface/interface properties are present in the literature; moreover, quite recently, excellent papers reviewed the physicochemical properties of biosurfactants [,,,,], including rhamnolipids. However, what is still lacking, in our opinion, is an in-depth overall analysis of the surface and aggregation behavior of this class of molecules as a function of the pH, the presence of salts or additives, the purity of the rhamnolipid, or the composition of the mixture employed. In this review, we aim to fill this gap, by presenting a comprehensive and unified discussion of the physicochemical properties of rhamnolipids and discussing what we consider still unresolved issues in the physicochemical behavior of rhamnolipids that deserve further investigation in the future.
Rhamnolipid Structure
Rhamnolipids are glycolipids in which the amphiphilic structure arises from the presence of a hydrophilic head, consisting of one or two L-rhamnose units (Rha) linked by an α-1,2-glycosidic linkage, and a hydrophobic part, composed of one, two, and, in a few cases, three β-hydroxy-fatty acids linked to each other through an ester bond formed between the β-hydroxyl group of the distal (relative to the glycosidic bond) chain with the carboxyl group of the proximal chain [,]. In most cases, the carboxyl group of the distal β-hydroxy fatty acid chain remains free; few congeners, however, have this group esterified with a short alkyl group []. The high structural diversity of different rhamnolipid molecules, resulting in a large pool of rhamnolipid homologs that approaches 60 structures, arises from the numerous combinations of the number of rhamnose moieties and the nature of the aliphatic chains, which may be saturated, monosaturated, or polyunsaturated and branched, with chain length varying from C8 to C16 [,]. As an example, Table 1 presents the rhamnolipid congeners produced by Pseudomonas aeruginosa grown using two different carbon sources: glycerol and soy [].
Table 1.
Rhamnolipid congeners produced by Pseudomonas aeruginosa using either glucose or soy as a carbon source []. The length of the tails is indicated by the first subscript number, while the second subscript number indicates the degree of unsaturation. For example, C12:2 indicates a tail 12 carbon atoms long with two degrees of unsaturation.
As for the stereochemistry of these molecules, the β-hydroxyl groups of fatty acid chains in natural rhamnolipids are strictly present in the R-configuration [], but non-natural molecules with different configurations have also been studied, to unveil the effect of stereochemistry on rhamnolipid properties [,].
Interestingly, the presence of the free carboxylic group makes rhamnolipids pH-sensitive surfactants. The pKa of the carboxylic group was determined to be around 5.5 [,,]; thus, they are expected to behave as nonionic surfactants at acidic pH below 5.5 and as anionic ones at neutral and basic pH; their physicochemical and aggregation properties depend on both the pH and the presence of ions.
The carboxylic group also affects the rhamnolipid structure in a more subtle way; with respect to most surfactants, where a net distinction between polar head and hydrophobic tails can be made, in rhamnolipids, the carboxylic end of the aliphatic chains contributes to the hydrophilic region of the surfactant and should be considered as part of the head []. A consequence is that the length of the hydrophobic tail is indeed shorter than expected on the basis of the number of carbon atoms of the hydroxy aliphatic acids forming the molecule. As an example, only seven methylene groups of the decanoic acid most frequently found in rhamnolipids contribute to the hydrophobic tail of the surfactant. Furthermore, considering the relatively hydrophobic character of the ester linkage, rhamnolipids can resemble surfactants with two separated hydrophilic headgroups, such as gemini surfactants or bolaamphiphiles; indeed, Baccile et al. suggested treating biosurfactants as biobolaamphiphiles [].
In general, the quite complex molecular structure of rhamnolipids distinguishes them from canonical surfactants, resulting in an inherent difficulty to rationalize and predict their physicochemical behavior, but also likely resulting in their impressive properties.
2. Surface Properties and Micellization
The main property of biosurfactants is probably their ability to lower surface/interface tension. This ability allows the presence of such molecules to be identified in bacterial media [,,,,,] and is at the basis of biosurfactant use in many different fields, with the surface tension being a parameter of crucial importance in different phenomena, such as adsorption, wetting, and catalysis [,]. Moreover, self-aggregation of biosurfactants, with formation of aggregate/solvent interfaces, results in the micellization phenomenon, on which other fundamental applications, such as detergency or contaminant removal, depend [,,].
Upon their addition to water, thanks to their amphiphilic nature, surfactants adsorb at the water–air interface, with hydrophobic tails pointing toward air and hydrophilic headgroups pointing toward water. The result of this preferential adsorption is the reduction in solution surface tension γ [,]. In thermodynamic terms, the presence of surfactants at the air/water interface reduces the surface free energy per unit area required to create a new surface.
As the surfactant concentration is increased, the surface tension decreases to a critical concentration where no further change is observed; at this concentration, the air/water interface is saturated by surfactant molecules, and the added surfactant molecules self-assemble into ordered aggregates where hydrophobic tails hide inside, while hydrophilic heads face outward, toward the water phase. Such aggregates are known as micelles, and the concentration at which they start to form is called the critical micelle concentration (cmc) [,,,].
The surface tension of surfactant solutions can be determined as a function of surfactant concentration by means of tensiometric titration experiments []. These experiments allow the determination not only of the maximum lowering of surface tension 𝛾𝑚𝑖𝑛, defining surfactant effectiveness, but also of its cmc. Moreover, from the slope of the plot of 𝛾 versus the logarithm of surfactant molar concentration c, it is possible to calculate the maximal surface excess concentration Γ by means of the Gibbs equation [,,,]:
where R is the gas constant, T is the absolute temperature, and n is a coefficient that takes into account the dissociation of ionic surfactants known as the Gibbs prefactor. In turn, the area occupied by a surfactant molecule at the air/solution interface, Amin, is given by
where NA is the Avogadro number. Amin gives a good idea of the packing of molecules and on their structuring and interactions at the interface.
Surface properties, including 𝛾𝑚𝑖𝑛 and A𝑚𝑖𝑛, as well as self-aggregation features, such as the cmc, have been determined for a great variety of rhamnolipids, for mixtures of congeners and purified forms, for natural rhamnolipids and synthetic ones, and in conditions differing with respect to pH, ionic strength, and presence of additives. In the next sub-sections, these studies are reviewed considering separately complex mixtures of rhamnolipids as derived from microbial fermentation processes (Section 2.1), rhamnolipids presented as pure forms, obtained upon purification of microbial rhamnolipid mixtures, via optimized (bio)synthetic routes (i.e., by knocking down the gene coding for the enzyme responsible for the binding of the second rhamnose unit on mono-rhamnolipids, thus inhibiting production of di-rhamnolipids) (Section 2.2), or rhamnolipids chemically synthesized to investigate the specific effects of acyl chains or stereochemistry (Section 2.3). However, it can also be seen that rhamnolipids presented as pure forms are often not really pure; for example, they are mixture of only mono-rhamnolipids (or di-rhamnolipids) with a largely predominant congener, but the concentration of other molecules differing for the acyl chains is non-negligible. Particularly for “pure” rhamnolipids, we focus on the effects of different conditions, namely, pH and ionic strength, on their properties. Lastly, we discuss the results obtained by means of molecular dynamics on the behavior of rhamnolipids at the air/water interface (Section 2.4).
2.1. Crude Extracts
The surface properties of crude extracts obtained by bacterial growth have been amply characterized as the first step in the identification and possible exploitation of rhamnolipids for different applications. We review their surface properties in Table 2, reporting the bacterial strain, the growth conditions, the main congeners present in each mixture, and the cmc and γmin values. For these surfactant mixtures, as it is not possible to univocally define a molecular weight, cmc values are reported in milligrams per liter. Moreover, when possible, we report the conditions of pH, temperature, and ionic strength to which rhamnolipids were subjected to prior to the analysis.
Table 2.
The cmc and surface activity of microbial rhamnolipid characterized as crude extracts.
Mixtures of rhamnolipids obtained by different bacterial strains and in different growth conditions are characterized by different abilities to lower surface tension, with γmin values in the range 26–39 mN/m [,,,]. They are also characterized by a large variety of cmc values, ranging from about 10 [,] to about 600 mg/L []. In particular, the cmc depends on the growth medium employed for rhamnolipid production; when sources containing long carbon chains are used, lower cmc values are obtained, with respect to cases where glucose or other carbon sources are employed.
Interestingly, an extensive characterization of rhamnolipid mixture obtained from different strains of P. aeruginosa (NCIM 5514 [], BS20 [], and SG []) and from P. stutzeri Rhl [] subjected to different, extreme, conditions of temperature (from 4 to 120 °C), pH (from 2 to 13), and ionic strength (from 0 to 20% w/v NaCl) highlighted the outstanding resistance of biosurfactants and the possibility to employ them in industrial applications where canonical surfactants undergo degradation and inactivation. For example, almost no effect on surface tension reduction ability was observed upon 1 or 25 h incubation at 100 °C for rhamnolipids from P. aeruginosa NCIM 5514 [] or upon autoclaving at 121 °C for 10 min for rhamnolipids from P. aeruginosa BS20 []. A decrease but not an abolition of activity, with γmin values of about 40 mN/m, was found for rhamnolipids from P. aeruginosa NCIM 5514 upon incubation at high temperature for 120 h []. All kinds of rhamnolipids preserve their activity in a very large pH range, from 2 to 10, and they are also scarcely affected by ionic strength, being tolerant to concentrations of NaCl up to 18% w/v [,,]. Rhamnolipids produced by P. aeruginosa SG in aerobic or anaerobic conditions still reduced the surface tension of water to lower than 31 and 35.0 mN/m, respectively, after treatment at various temperatures (4–121 °C), pH values (2–10), and concentrations of NaCl (0–150 g/L), whereas, when untreated, their γmin values were 29 and 33 mN/m, respectively []. In this respect, it is worth noting that chemical surfactants are generally deactivated by 2–3% salt concentration []. Therefore, these findings prove the advantages of rhamnolipid use.
Interestingly another effect of growth conditions was highlighted by Zhao et al., who analyzed the effects of oxygen on rhamnolipid production, by performing bacterial growth in either aerobic or anaerobic conditions []. They found that rhamnolipids obtained in aerobic conditions are characterized by lower cmc and γmin values than those obtained in the absence of oxygen. These differences were ascribed to different compositions of rhamnolipid mixtures; aerobically produced rhamnolipids contained fewer mono-rhamnolipids (54.8%) than those produced in anaerobic conditions (94.7%). Specifically, the main congeners were Rha-C8-C10, Rha-Rha-C10-C12:1 and Rha-Rha-C8-C10 for the former and Rha-C10-C12 and Rha-C10-C10 for the latter []. Given the supposed higher hydrophobicity of mono-rhamnolipids with respect to di-rhamnolipids, it is surprising that aerobically produced rhamnolipids are more surface-active than anaerobically produced ones, but we should not overlook the effects of hydrophobic tails and, most importantly, the fact that we are discussing complex mixtures and not pure products.
Indeed, analysis of Table 2 gives precious insights into the behavior of rhamnolipids produced by different bacteria and in different conditions; however, since it focuses on complex mixtures of different congeners, it does not allow a proper structure–function relationship to be deduced. For this aim to be achieved, it is necessary to move our attention toward the study of rhamnolipids in as pure a form as possible.
2.2. “Pure” Rhamnolipids
The surface properties of pure rhamnolipids are reported in Table 3. The capacity to decrease surface tension strongly depends on the surfactant molecular structure, which affects the ability of these molecules to pack at interface, to be dispersed in water, and to arrange in micellar aggregates. Each physicochemical parameter able to affect surfactant molecular structure and reciprocal interactions affects, in turn, the surface activity and aggregation properties of the surfactant. In this respect, in the case of rhamnolipids, the dissociation of the carboxylic group is expected to significantly change their properties, making, in principle, the pH of the solution or the ionic strength crucial parameters, particularly at pH values where the surfactant is expected to be in its anionic form. Thus, we explicitly report the pH at which measurements were performed, as well as if this pH was adjusted by means of addition of buffers or by use of very small quantities of NaOH and HCl solutions, as well as the presence of salts, usually sodium chloride, to increase ionic strength of the solution. For purified rhamnolipids, where it is possible to define a molecular weight, cmc values are reported as millimolar concentrations. Moreover, in many cases, it was possible to calculate Amin, as described above. In view of the importance of dissociation to define the properties of ionic surfactants, we also report the value of prefactor n used by each author in the Gibbs equation (Equation (1)). It should be 1 for non-dissociable surfactants and in the case of high ionic strengths, while it should be 2 for completely dissociated surfactants [,,]. However, for incompletely dissociated surfactants, at low ionic strength, intermediate values should be considered; thus, the choice of the n value is not always straightforward, and abnormal Amin values may be obtained if the choice of n was wrong.
Table 3.
The cmc and surface properties of “pure” rhamnolipids (obtained either via purification of microbial extracts or via modified biosynthetic routes) and synthetic rhamnolipids. According to the rhamnolipid pKa = 5.5, rhamnolipids are expected to be neutral at pH < 5.5 and negatively charged at pH > 5.5.
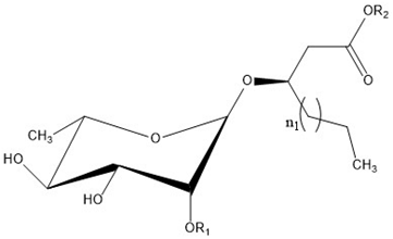
As can be seen in Table 3, most of the studies concerning pure rhamnolipids focused on the two most abundant and frequently found molecules in complex mixtures of microbial congeners: l-rhamnosyl-3-hydroxydecanoyl-3-hydroxydecanoate (Rha-C10-C10 or R1) and α-l-rhamnopyranosyl-α-l-rhamnopyranosyl-β-hydroxydecanoyl-β-hydroxydecanoate (Rha-Rha-C10-C10 or R2), sharing the same composition of the hydrophobic portion and differing in the number of rhamnose units in the polar head (Figure 2).
Figure 2.
Molecular structures of the most abundant and frequently found rhamnolipids: the mono-rhamnolipid l-rhamnosyl-3-hydroxydecanoyl-3-hydroxydecanoate (Rha-C10-C10, R1) in (a) sphere (CPK) and (b) ball & stick representations, respectively, and the di-rhamnolipid α-l-rhamnopyranosyl-α-l-rhamnopyranosyl-β-hydroxydecanoyl-β-hydroxydecanoate di-rhamnolipid (Rha-Rha-C10-C10, R2) in (c) sphere (CPK) and (d) ball & stick representations, respectively. The molecules are coloured according to the Atom Type of MacroModel (green: carbon atoms; white: hydrogens; red: oxygen atoms). The structures were built using the Built facility in Maestro program in the Schrödinger suite (Maestro, Schrödinger, LLC, New York, NY, USA) and, then, minimized using AMBER* force field and water as solvent [].
In this respect, a thorough comparison of the properties of these two representatives of mono- and di-rhamnolipids should shed light on the role of the rhamnose moieties in determining rhamnolipid properties. According to the molecular structures of R1 and R2 only, one should expect R1, being more hydrophobic than R2, to be characterized by lower cmc and 𝛾𝑚𝑖𝑛 values than R2, while the bulky di-rhamnose headgroup should determine for R2 larger Amin values than for R1. However, analysis of Table 3 clearly indicates that these predictions are not always fulfilled, and that the behavior of this kind of biosurfactants is more complex than expected, as discussed below.
2.2.1. Critical Micellar Concentration
Most of the cmc values reported for pure rhamnolipids are determined by means of surface tension titration measurements, and, when other techniques were employed as control, a good agreement among these values was found [].
For both R1 and R2, different values of cmc were determined depending on pH, ionic strength, and presence of additives; cmc values range from 0.01 to 0.40 mM in the case of R1, and from 0.01 to 0.46 mM in the case of R2. The very similar cmc ranges immediately highlight a close similarity between R1 and R2 despite the different number of rhamnose moieties in the headgroup. For both R1 and R2, the smallest cmc values are determined in acidic conditions, pH ~4–5 < 5.6 = pKa, corresponding to conditions where rhamnolipids are expected to be fully protonated, with no net charge and minimal electrostatic repulsions. At acid pH, cmc values for R1 and R2 are perfectly coincident when highly pure (>96%) forms of rhamnolipids are used, and the pH is kept constant by the use of buffers []. At pH > pKa, cmc values of both rhamnolipids significantly increase, in agreement with the supposition that carboxylic groups are deprotonated and the rhamnolipids bear a net negative charge, causing electrostatic repulsion among headgroups. Notably, when highly pure R1 and R2 forms are analyzed in strongly basic conditions (pH = 9) with the pH controlled by means of buffers, R1 is characterized by a cmc value that is twice that of R2 [,], suggesting that, for rhamnolipids in anionic form, a slight effect of the number of rhamnose moieties in the headgroup could exist.
These results may be rationalized taking into account the contribution of the different intermolecular forces in the micellization process; micellization is essentially an entropy-driven process due to the repulsions between water and the hydrophobic portion of the surfactant. R1 and R2, as said, share the same composition of the hydrophobic part; thus, when no other strong intermolecular force exists (i.e., at very acidic pHs when polar headgroups are not charged and electrostatic interactions are absent), they behave in the same way. On the other hand, when the carboxylic group is negatively charged, increased headgroup hydrophilicity and/or electrostatic repulsion among neighboring headgroups hamper micellization, causing a significant increase in the cmc. However, in this case, the second rhamnose unit in the polar headgroup is suggested to be somehow able to partially screen the negative charge [], resulting in a lower cmc for R2 than for R1.
The effect of ionic strength was investigated for both R1 and R2 at acidic [,] and neutral [,,,] pH, when they are supposed to be nonionic and anionic, respectively. It was observed that addition of increasing quantities of NaCl has near no effect when R1 and R2 are protonated. However, it should be noted that experiments at acid pH were performed in the presence of 100 mM acetate buffer, providing a sufficiently high salt concentration that could mask NaCl effects. Moreover, it is known that buffers are able to significantly affect cmc values of surfactants even at very low concentrations []. On the other hand, by increasing NaCl concentration at pH around 7, cmc values decrease for both rhamnolipids, with cmc decreasing by a factor of 2–4 for R1 and of 4–5 for R2 [,,,]. Such a trend agrees with the expected ionic nature of rhamnolipids at neutral pH, with an increase in ionic strength able to better screen the repulsion among charged headgroups brought together in the micellization process, favoring the formation of micelles at lower concentrations than when no salt is present. However, it is worth noting that the variations found for rhamnolipids are small compared to those observed for canonical anionic surfactants; as an example, in the case of sodium dodecyl sulfate, the addition of 25 mM NaCl causes a cmc decrease by a factor of 2–8, while addition of 800 mM NaCl causes a decrease by a factor of about 30 [,]. Such findings suggest that rhamnolipids have a very slight anionic character and mostly behave as nonionic surfactants.
The cmc decrease observed for R1 and R2 is not linear with NaCl concentration and, moreover, follows a different trend for the two rhamnolipids. These results were justified by Helvacy et al., proposing the formation of different kinds of aggregates depending on the nature of the rhamnolipid and the concentration of NaCl [], but their hypothesis did not find support by other researchers.
Through a thorough comparison of cmc values determined for R1 and R2, no clear trend emerges, with R2 cmc values higher than or equal to R1 ones, opposite to what is expected on the basis of molecular structures. This is particularly true at neutral–slightly basic pH, as well as when R1 and R2 are the main components of the respective mixtures but other congeners are also present [,]. In these cases, it must be recalled that the presence of several congeners, even if in small concentrations, can significantly affect the aggregation of rhamnolipids; for example, the heterogeneity of di-rhamnolipid solutions may cause the formation of aggregates below the classical cmc determined by surface tension measurements [].
Overall, the presence of one or two rhamnose moieties in the headgroup has a slight influence on the micellization of rhamnolipids only when they are in their anionic form. On the other hand, pH affects the cmc of rhamnolipids, and an effect of electrolytes is also envisaged at pH > pKa, but much less strong than that found for canonical ionic surfactants.
2.2.2. Surface Tension Reduction
The ability to lower the surface tension of water has been tested for both R1 and R2 in many different conditions, allowing a thorough analysis of their surface behavior to be carried out.
With γmin values that fall in the 25–36 mN/m range for R1 and in the 28–37 mN/m range for R2, the more hydrophobic R1 appears only slightly more surface-active than the more hydrophilic R2. The highest values are found for both rhamnolipids at highly basic pH when significant dissociation might occur [,,]. As for the smallest values, they are generally found for acidic pH when rhamnolipids fully behave as nonionic surfactants []. However, a strict comparison between R1 and R2, as well as a definition of a universal trend of γmin changes with the pH, is hampered by the presence of congeners in many of the systems analyzed. When highly pure molecules are used, at pH = 5, R1 and R2 are characterized by the same minimum surface tension of 28.2 mN/m []. Thus, in the case of pure rhamnolipids, neither the minimum surface tension at the cmc nor the value of the cmc itself appears to be significantly affected by the rhamnolipid type and depend only on the pH of the solution.
The effect of electrolytes in conditions where R1 and R2 are expected to be deprotonated, pH 6.8, was investigated by Helvacy et al. [] and Wu et al. []. Both research groups found almost irrelevant changes of γmin for both rhamnolipids up to 1.7 M NaCl. Unfortunately, other studies dealing with the effect of electrolytes at different pHs focused on the cmc only and did not determine γmin as a function of NaCl concentration [,]. The minimal change in surface tension observed for R2 with increasing ionic strength was justified by Helvacy et al., invoking its more hydrophilic character with respect to R1 []. Moreover, as already stated, the presence of a second rhamnose unit in the polar head was suggested to effectively screen the negative charge, and this could be the cause of R2′s scarce susceptibility to the ionic strength. However, the variation of γmin found for both R1 and R2 is so small that it could question the actual deprotonation of R1 and R2 at pH 6.8.
2.2.3. Surface Adsorption
For what concerns Amin values, they crucially depend on the choice of the prefactor n employed in the Gibbs equation (Equation (1)) [,,,,].
At pH < pKa, as well as at pH > pKa and high ionic strength, a Gibbs prefactor n = 1 is used, as can be seen in Table 3. In these conditions, Amin values for R1 range between 52 [] and 84 [] Å2, a significant variation that cannot be related to the different experimental conditions, since the lowest value is found for pure R1 in water at neutral pH and in the presence of 0.5 M NaCl [] and the highest value is found in very similar conditions, i.e., in pure water, where the pH should be around 7, and in the presence of 1 M NaCl []. The main difference is the purity of the rhamnolipid employed: around 96% in the former case, but significantly lower, even if not specified, in the latter case. When only highly pure R1 samples are taken into account, the smallest Amin value, about 60 Å2, is found at acidic pH, when electrostatic repulsion among the headgroups should be null [].
In the case of R2, Amin values range between 65 [] and 84 [] Å2 when a Gibbs prefactor of 1 is used. Surprisingly the highest value, found in pure water and in the absence of salts, is the same as found for R1, and, overall, Amin values for R2 are not so different or always larger than those found for R1, despite the presence of two rhamnose units in the headgroup rather than one.
At pH > pKa and at low ionic strength, a Gibbs prefactor of 2 should be used to take into account surfactant dissociation [,,,,]. In these conditions, Amin for R2 is about 130 Å2 [,,,], while, for R1, it ranges between 86 [] and 135 [] Å2, a great variability that cannot be easily justified on the basis of the pH or the ionic strength; for example, Amin varies from 86 to 109 Å2 by decreasing the pH from 8 to 7 and increasing the phosphate buffer concentration from 10 mM to about 100 mM []. Molecular dynamics simulations of anionic Rha-C10-C10 at the air/water interface indicated an energetically preferred Amin value of ∼80 Å2 []. However, values ranging from 60 to 140 Å2 were all found to be energetically accessible at room temperature. The highest surface concentrations, corresponding to the smallest surface areas, were found in the simulations when the monolayer began to exhibit significant undulations, which depended, in turn, on the balance of possible headgroup–headgroup and tail–tail interactions, which are difficult to predict []. This may justify variations of Amin values that cannot be easily linked to molecular structure or solution conditions.
When pure R1 and R2 are analyzed in the same conditions, e.g., in pure water at pH = 6.8 [,,], R1 is characterized by a slightly larger area per molecule at interface, 135 vs. 131 Å2. This counterintuitive finding was explained invoking the screening effect of the double rhamnosyl group of R2 molecules on the carboxylate group, allowing R2 molecules to pack more densely than R1 ones at the interface [], However, such a difference is indeed small and mostly suggests a very similar packing for R1 and R2, irrespective of the supposed bulkiness of the polar head.
As for the effect of ionic strength, Chen et al. reported no change in Amin for R1 and only a slight decrease for R2 in pure water (pH above the pKa) upon addition of 0.5 M NaCl [], while Helvacy and Ozdemir discussed a doubling of surface concentration and, therefore, a sharp decrease of the area per molecule at the interface, upon addition of 0.05 M NaCl to water solutions of R1 and R2 at pH 6.8 []. In this respect, it should be noted that the authors calculated surface concentrations and, consequently, Amin by using a Gibbs prefactor of 2 in the absence of NaCl and of 1 in the presence of NaCl []; therefore, the strong variation they observed is likely to have been an artefact of the choice of the Gibbs prefactor with a consequent overestimation of the dissociation of the carboxylate group at pH 6.8 and of the effect of the electrolyte. Indeed, when they further increased the ionic strength but calculated Amin using a prefactor equal to 1, only minimal changes in Amin and no clear trend were observed, with Amin that decreased at 0.5 M and increased at 1 M NaCl in the case of R1, but increased with NaCl concentration for R2, never reaching the values obtained in the absence of salt and with a prefactor of 2 [].
The structural characterization of interface layers of rhamnolipids by means of different experimental techniques questions the values of Amin determined by means of surface tension titration and Gibbs fitting, particularly the assumption of complete dissociation of the carboxylate group and the use of a Gibbs prefactor of 2. Indeed, investigation of the surface behavior of the mono-rhamnolipid Rha-C18-C18 by means of polarization modulated-infrared reflection absorption spectroscopy at pH 2, at which the carboxylic acid group of Rha-C18-C18 should be fully protonated and the molecule is expected to be nonionic, at pH 5, at which the carboxylic acid of Rha-C18-C18 should be partially deprotonated and Rha-C18-C18 is expected to be a mixture of nonionic and anionic species, and at pH 8, at which the carboxylic acid should be completely deprotonated, making Rha-C18-C18 anionic, showed no pH dependence for conformation and packing of molecules in the monolayer []. Moreover, complementary investigation of R1 and R2 interface monolayers by means of neutron reflectivity (NR) indicated that there is little systematic difference between the adsorption isotherms measured in water and in pH 9 buffered solutions []. Thanks to a strict comparison between the adsorbed amounts of surfactants determined by means of either surface tension or neutron reflectivity experiments, Chen et al. highlighted the necessity to use a Gibbs prefactor greater than 1.0 but smaller than 2.0 to be reconciled, in agreement with the only weakly anionic character of rhamnolipids [].
2.3. Synthetic Rhamnolipids
Apart from the naturally abundant R1 and R2, an extensive characterization of some synthetic rhamnolipids has been reported in the literature, focusing on the effects of stereochemistry [] and of asymmetry between the acyl chains []. Their main physicochemical features are also collected in Table 3.
Natural rhamnolipids have an (R,R) configuration, while Palos Pacheco et al. synthesized the pure (R,S), (S,S), (S,R), and (R,R) diastereomers of R1 and characterized their behavior at both acidic and basic pH (4 and 8, respectively) []. The cmc values at pH = 4 are very similar for all the diastereomers, with values around 0.015–0.025 mM. It is worth noting that all these values agree well with those determined for natural R1 in acidic conditions and suggest that a mixture of mono-rhamnolipid congeners and even the native mono-rhamnolipid mixture produced by Pseudomonas aeruginosa ATCC 9027, an exclusive producer of mono-rhamnolipids, share very similar aggregation properties with the chemically pure (R,R)-Rha-C10-C10 diastereomer produced by chemical synthesis []. The increase in pH to 8 causes a significant increase in cmc, with values around 0.2 mM, in agreement with a supposed dissociation of rhamnolipids and with the literature data for natural rhamnolipids, also reported in Table 3 and discussed in Section 2.2. The only exception is represented by the (R,S) diastereomer with a cmc of 0.079 mM. Interestingly this diastereomer seems to adopt a structure for which aggregation is more energetically favorable in the anionic form and slightly less favorable in the nonionic form (doubled cmc with respect to the other diastereomers at pH = 4) compared to the other diastereoisomers [].
As for the surface properties, minimum surface tensions of the four diastereomers are all about 28 mN/m, and no significant change is observed with the change in pH, as found also for natural rhamnolipids, indicating that not only the pH but also the lipid tail stereochemistry has little effect on the adsorption of these surfactants at the air/water interface. Similarly, stereochemistry seems to not affect packing at the interface much, with Amin values being very similar for the investigated rhamnolipids at each pH. However, in all cases, a dramatic change in minimum interface area per molecules is found upon changing the pH from 4 to 8. At the latter pH, Amin ranges between 80 and 117 Å2; these values are close to those determined for natural R1 at basic pH, when a Gibbs prefactor of 2 is used. The different values obtained for the single diastereomers suggest that slight differences in lipid tail orientation of the surfactants adsorbed at the air/water interface exist, leading to small differences in packing []. On the other hand, at pH 4, when rhamnolipids are nonionic and a prefactor of 1 is used, Amin values are almost identical for all diastereomers and very small (about 20 Å2). Such surface areas per molecule are smaller than half the values obtained for natural rhamnolipids at acid pH and identical to the cross-sectional area of a single alkyl chain. To rationalize this finding, the authors hypothesized the formation of small lamellar packets of bilayer mono-rhamnolipids, contiguous with the mono-rhamnolipid monolayer at the air/water interface, which results in artificially low values of Amin. Such an arrangement is likely hampered by the presence of different congeners in the natural rhamnolipids analyzed so far [].
The same researchers also investigated the effect of acyl chain asymmetry by characterizing diastereomeric mixtures of mono-rhamnolipids with the general structure Rha-C14-Cx, where x varies between 6 and 14, as well as the monotailed Rha-C14, at pH = 8 []. As can be seen in Table 3, the cmc significantly changes within the series of Rha-C14-Cx rhamnolipids, with values ranging between 0.01 and 1.6 mM. According to the increasing hydrophobicity of the surfactant with the lengthening of the second acyl chain, one would expect cmc to decrease moving to Rha-C14-C14; however, experimentally, the authors found different results. Surprisingly, Rha-C14-C14, despite being more hydrophobic, had a cmc higher than Rha-C14-C8, Rha-C14-C10, and Rha-C14-C12, but less than four times lower than the much more hydrophilic Rha-C14-C6. Minimum surface tension varied much less than cmc within the series, with γmin ranging between 24 and 36 mN/m, but followed the same unexpected trend, with the only exception being the monotailed Rha-C14. Notably, Rha-C14-C6 and Rha-C14-C14 were characterized by the same minimum surface tension, which was also the highest among the different congeners (36 mN/m). The minimum surface area for molecule was calculated in all cases using a Gibbs prefactor of 2 and, thus, considering the rhamnolipids completely dissociated. The values obtained in this way varied very much, with a minimum value of 38 Å2 for Rha-C14-C10 and a maximum value of 114 Å2 for Rha-C14-C6. As said in Section 2.2.3, such variability could depend on the formation of highly undulated monolayers promoted by intermolecular interactions among headgroups and/or tails of surfactants that are difficult to predict []. Another intriguing possibility is that the optimization of interactions between acyl tails, particularly when they have similar length, causes a conformational change that in turn affects the size of the polar headgroup, enhancing or diminishing steric repulsions in an unpredictable way.
2.4. Computational Results
Precious insights into the properties of rhamnolipids have also been obtained by means of molecular dynamics (MD) simulations. In particular, the research group of Schwartz and Pemberton investigated the aggregation of R1 in its nonionic and anionic forms [], as well as the nonionic form of R2 [] at the air/water interface, while Euston et al. focused on R1 and R2, in both ionic and nonionic forms, and mono-rhamnolipids differing in the length and symmetry of alkyl chains (Rha-C14-C14, Rha C14-C10 and Rha C10-C14) [] to elucidate the role played by the rhamnose units, the deprotonation of the carboxylate group, and the hydrophobic tails in determining surface properties of these molecules.
At the air/water interface, the presence of the second rhamnose unit determines a slightly different orientation of alkyl chains, but no change in the alkyl chain tilt, a different preferred conformation of the headgroup and the tails (one of the chains is more elongated than the other in R2 but not in R1), and a slight larger surface area per molecule at complete surface coverage (90 vs. 80 Å2) for R2 with respect to R1. These differences may be the cause of the different pressure–area isotherms calculated for the two molecules, but they are so small that the surface behavior of R1 and R2 can reasonably be considered the same []. Euston et al. investigate using molecular dynamics simulation less packed air/water interfaces than Luft et al. did; nevertheless, they found the same density profiles, overall layer thickness, and distribution of components for adsorbed R1 and R2, and only a 10 Å2 difference in surface area per molecule values (70 Å2 vs. 60 Å2 for R2 and R1, respectively) [].
MD simulation results agree with experimental NR data indicating that R1 and R2 are characterized by similar reflectivity profiles and the same thickness of the adsorbed monolayer (about 22 Å) [].
When focusing on R1, Munusamy et al. found that its two forms, anionic and nonionic, present the same area per molecule (80 Å2), an equal structure of the monolayer at complete surface coverage concentration, and a similar pressure–area isotherm, indicating an indistinguishable behavior at the air/water interface for charged and non-charged molecules []. Such findings are in agreement with the results obtained by MD simulations of R1 and R2 in their charged and nonionic forms by Euston et al.; the average area per molecule at the interface did not change with the charge for both R1 and R2, while an increase of 10 Å2 was found for the charged form of congeners with longer tails [].
A deeper look at R1 molecules at the interface revealed a different hydration pattern and stability of hydrogen bonds for the headgroup of anionic and nonionic forms [].
Thus, molecular dynamic simulations confirm the identical surface behavior of nonionic and anionic forms of rhamnolipids that also emerges from the analysis of experimental results reported in Table 3, but they are able to highlight slight structural differences between the two forms that could be the cause of this unexpected finding; the rhamnolipid headgroup forms a sort of pocket in which the anionic charge is buried along with its counterion, and this headgroup configuration could isolate the charge and its counterion from neighboring headgroups, minimizing electrostatic repulsion and allowing little to no impact of headgroup charge on packing within the monolayer [].
MD studies also tried to shed light on the properties of rhamnolipid congeners differing in the hydrophobic region; they showed that, in contrast to the number of rhamnose units and the charge state of the carboxylic group, variations in the hydrophobic region of rhamnolipid molecules, either an increase of the length of the alkyl chains or an asymmetry between tails, have several effects on the properties of these molecules []. In particular, increasing the length of the alkyl chains increases the area occupied at the interface, and the different values obtained for Rha-C10-C14 and Rha-C14-C10 indicate that the position of the alkyl chains is also important. An asymmetry of the length of alkyl chains causes a different tilt of the second tail, while, in symmetric molecules, they all have similar values. Moreover, mono-rhamnolipids with longer tails (Rha-C14-C14, Rha-C14-C10, and Rha-C10-C14) all present different surface areas for charged and non-charged forms []. Thus, it can be stated that there are differences in the conformations adopted by the various rhamnolipids at the air/water interface, but most of these are relatively small; hence, the effect on surface activity may also be small.
Overall, experimental and computational results indicate that the presence of one or two rhamnose units has nearly no effect on the surface properties and micellization of rhamnolipids. A further confirmation of this conclusion comes from the characterization of R1/R2 mixtures, for which an ideal mixing behavior and micellization and surface properties very similar to those of single components is observed [,,].
Quite unexpectedly, the pH, the ionic strength, and the stereochemistry seem to not significantly affect the capability of rhamnolipids to lower the surface tension of water solutions. At a first glance, analysis of Table 3 indicates that the pH affects micellization and apparently the packing of molecules at the air/water interfaces; however, concerning the latter point, great precautions are required when discussing Amin values, since big variations are likely to be artefacts due to the choice of the Gibbs prefactor, as neutron reflectivity, polarization modulated-infrared reflection absorption spectroscopy, and molecular dynamics simulations have pointed toward an identical aggregation of anionic and nonionic forms of rhamnolipids at the air/water interface.
Lastly, the length and, in particular, the symmetry of the acyl chains appear to have a significant effect on the micellization and surface properties of rhamnolipids, but this cannot be easily predicted because experimental and computational data on this subject are still scarce.
3. Aggregation Behavior
Glycolipids self-assemble into spherical, disc-like (oblate) or rod-like (prolate) spheroid micelles in dilute conditions [,], while, at higher concentrations, they show a complex phase behavior with a range of liquid crystalline states [,]. Similarly, rhamnolipids are suggested to form various structures, such as micelles, vesicles, bilayers, and various mesophases, which could be important for their applications. In principle, the presence of the carboxylic acid group further complicates this scenario, conferring a pH dependence to rhamnolipid aggregation properties, in addition to the dependence on concentration, temperature, presence of additives, salts, or impurities, and sample heterogeneity due to the presence of different congeners. Therefore, in Table 4, we report the nature and the dimensions of the aggregates formed by mono- and di-rhamnolipids, as well as the degree of purity, the temperature, the pH, the presence of additives, and the experimental technique employed for analysis of aggregates.
Rhamnolipids are indeed able to form aggregates with very different dimensions, depending on the concentration, the pH, and the temperature. However, a clear identification of the kind of aggregates formed is often not possible as many studies employed dynamic light scattering (DLS) as the only technique to analyze aggregate features, providing only the hydrodynamic radius (Rh) or diameter. In this respect, rhamnolipids are shown to form mainly smaller aggregates with hydrodynamic radii on the order of tens of nanometers (10–60 nm) and larger aggregates with hydrodynamic radii on the order of hundreds of nanometers. A first source of confusion arises because the former aggregates are considered as micelles by some research groups and as vesicles by others. Actually, species with Rh ~10/30 nm are probably micelles; however, because of their large dimensions, they cannot be identified as simple spherical micelles and are likely to be elongated, ellipsoidal, or even cylindrical ones. Aggregates with Rh ~50/60 nm could be identified as vesicles, but a clear distinction between very large micelles and vesicles requires the use of additional experimental techniques in conjugation with DLS, such as small-angle neutron scattering (SANS) or polarized optical microscopy (POM). Nonetheless, it is worth noting that neither of these two techniques gives a clear-cut definition of the aggregate nature on its own. When SANS or POM are employed, the presence of a lamellar arrangement of rhamnolipids is assessed by a q−2 trend of the SANS profiles at small q or by the presence of Maltese crosses in POM images; however, whether we are in the presence of flat lamellae or spherical vesicles (and if the latter are uni- or multi-lamellar) cannot be established without the combination of complementary techniques. Therefore, the actual nature of lamellar aggregates is also elusive. Lastly, some ambiguous or wrong classifications could be the result of misinterpretation of the experimental data.
The aggregation behavior of R1 and R2 has also been rationalized in some cases through the calculation of the critical packing parameter (cpp) [,], but very different values are reported in different papers, with cpp values ranging from 0.24 [] to 1 [] for R1 and from 0.27 [] to 0.73 [] for R2.
The cpp is defined as
where an are the volume and the length of the hydrophobic tail, respectively, and is the equilibrium area occupied by the headgroup at the interface [].
Within the simplicity of the above formula, calculating the cpp of surfactants, particularly complex surfactants such as biosurfactants in general and rhamnolipids in particular, is not trivial []. Focusing only on the main issues, one has to consider not only the possibility of tail deformation when defining and , but also, in the case of rhamnolipids, the presence of two tails and their actual lengths, since delimitation of hydrophobic and hydrophilic regions is much more blurred than in canonical surfactants. The most difficult geometrical parameter to calculate among those present in the cpp definition is . Often, it is regarded as an index of the steric hindrance of the headgroups; considering this oversimplification, the conformational flexibility of the rhamnolipid headgroup, particularly for di-rhamnolipids, significantly complicates evaluation. In addition, strictly represents an equilibrium area per molecule, obtained from the minimization of the free energy of micellization. Therefore, it includes effects deriving from electrostatic interaction, hydration of the headgroup, binding and hydration of counterions, and hydrophobicity of the headgroup [,], all of which are effects difficult to evaluate and more significant for rhamnolipids than for canonical surfactants. Lastly, the influence of the hydrophobic region usually is not accounted for in calculation [,], but is likely to play a crucial role in determining headgroup conformation in the case of rhamnolipids. For all these reasons, the observed variability of cpp values is not surprising; moreover, great caution is required when ascribing a specific morphology to rhamnolipid aggregates on the basis of cpp values.
With these premises, we nonetheless attempt an analysis of rhamnolipid aggregation behavior as a function of the different environmental and structural parameters. We keep the distinction between “pure” (Section 3.1) and synthetic (Section 3.2) rhamnolipids presented in Section 2, while we skip the review of the aggregation behavior of crude extracts obtained by microbial fermentation, which has been carried out in several cases [,,,], since it is our opinion that it does not significantly contribute to elucidation of structure–function relationships, given the inherent complexity of the behavior of “pure” forms. Lastly, we discuss insights from molecular dynamics simulations (Section 3.3).
3.1. “Pure” Rhamnolipids
As can be seen in Table 4, most of the studies dealt with rhamnolipids R1 and R2 in neutral or basic conditions, above their pKa, where they are expected to behave as anionic surfactants; very few data are available on rhamnolipid aggregation behavior in acidic conditions where they have a fully nonionic character.
Table 4.
Aggregation properties of “pure” rhamnolipids obtained either by purification of microbial extracts or by modified biosynthetic routes. Based on the rhamnolipid pKa = 5.5, rhamnolipids are expected to be neutral at pH < 5.5 and negatively charged at pH > 5.5.
Table 4.
Aggregation properties of “pure” rhamnolipids obtained either by purification of microbial extracts or by modified biosynthetic routes. Based on the rhamnolipid pKa = 5.5, rhamnolipids are expected to be neutral at pH < 5.5 and negatively charged at pH > 5.5.
| Rhamnolipid | Purity (%) | Concentration (mM) | T | pH | Additive | Aggregate | Dimensions (R, nm) | Experimental Technique § | cpp | Ref |
|---|---|---|---|---|---|---|---|---|---|---|
| Rha-C10-C10 | 96 | 0.02–0.1 | 25 | 6.8 | Micelles | 75 * 25 ** | DLS | 0.62 | [] | |
| 96 | 0.5–1 | 25 | 6.8 | Micelles | 80 * 35 ** | DLS | 0.62 | [] | ||
| 96 | 10 | 25 | 6.8 | Micelles | 100 * 50 ** | DLS | 0.62 | [] | ||
| 96 | 15–20 | 25 | 6.8 | Vesicles | 30, 125 * 20 ** | DLS | 0.62 | [] | ||
| 96 | 45 | 25 | 6.8 | Vesicles | 30, 150 * 20 ** | DLS | 0.62 | [] | ||
| 96 | 1 | 25 | 6.8 | Elliptical vesicles | 75 | SEM | 0.62 | [] | ||
| 98 † | 5 | RT | 8 | Ellipsoidal micelles Vesicles | 2.2, 10.5, 100 * 2.2 ** | DLS | 0.48 | [] | ||
| 98 † | 20 | RT | 8 | Ellipsoidal micelles Vesicles | 2.8, 10.2, 90 * 2.8 ** | DLS | [] | |||
| 98 † | 0.05–15 | RT | 8 | 250 nM prodan | Lamellar aggregates | Fluorescence | [] | |||
| 98 † | 0.05–15 | RT | 4 | 250 nM prodan | Lamellar aggregates | Fluorescence | [] | |||
| 98 † | 0.05–15 | RT | 8 | 250 nM prodan | Micelles | Fluorescence | [] | |||
| 98 † | 10 | RT | 8 | 250 nM pyrene | Micelles | Fluorescence | [] | |||
| 96 | >5% (w/v) | RT | 6.8 | - | Spherical micelles/lamellar | POM | 0.24 | [] | ||
| 96 | >5% (w/v) | RT | 6.8 | 0.05 M NaCl | Spherical micelles/lamellar | POM | 0.50 | [] | ||
| 96 | >5% (w/v) | RT | 6.8 | 0.5 M NaCl | Lamellar/bilayers or multilamellar | POM | 0.61 | [] | ||
| 96 | >5% (w/v) | RT | 6.8 | 1.0 M NaCl | Isotropic hexagonal | POM | 0.41 | [] | ||
| Purified | 20 | 9 | Borax 0.023 M HCl 0.008 M | Micelles | SANS | [] | ||||
| Purified | 30–100 | 9 | Borax 0.023 M HCl 0.008 M | Lamellar structures | SANS | [] | ||||
| Purified | 0.02 | RT | 6.8 | Micelles | 25 | DLS | [] | |||
| Purified | 0.05 | RT | 6.8 | Micelles | 28 | DLS | [] | |||
| Purified | 0.1 | RT | 6.8 | Micelles | 28 | DLS | [] | |||
| Purified | 0.5 | RT | 6.8 | Micelles | 39 | DLS | [] | |||
| Purified | 1.0 | RT | 6.8 | Micelles | 45 | DLS | [] | |||
| Purified | 0.5 | 293 | 6.8 | Micelles | 29 | DLS | [] | |||
| Purified | 0.5 | 298 | 6.8 | Micelles | 25 | DLS | [] | |||
| Purified | 0.5 | 303 | 6.8 | Micelles | 26 | DLS | [] | |||
| Purified | 0.5 | 308 | 6.8 | Micelles | 34 | DLS | [] | |||
| Purified | 0.5 | 313 | 6.8 | Micelles | 30 | DLS | [] | |||
| Purified | 0.5 | 318 | 6.8 | Vesicles | 130 | DLS | [] | |||
| Purified | 0.5 | 323 | 6.8 | Vesicles | 115 | DLS | [] | |||
| Purified | 0.5 | RT | 2.5 | Vesicles | 170 | DLS | [] | |||
| Purified | 0.5 | RT | 3.5 | Micelles/vesicles | 70 | DLS | [] | |||
| Purified | 0.5 | RT | 4.5 | Micelles/vesicles | 70 | DLS | [] | |||
| Purified | 0.5 | RT | 5.5 | Micelles | 35 | DLS | [] | |||
| Purified | 0.5 | RT | 6.5 | Micelles | 38 | DLS | [] | |||
| Purified | 0.5 | RT | 7.5 | Micelles | 38 | DLS | [] | |||
| Purified | 0.5 | RT | 8.5 | Micelles | 30 | DLS | [] | |||
| Purified | 0.5 | RT | 9.5 | Micelles | 25 | DLS | [] | |||
| Purified | 0.5 | RT | 10.5 | Micelles | 23 | DLS | [] | |||
| Purified | 20 | RT | 9 | Borax 0.023 M HCl 0.008 M | Ellipsoidal micelles | 1.4 a 1.7 b Nagg = 47 | SANS | [] | ||
| Purified | 20 | RT | 9 | Borax 0.023 M HCl 0.008 M 2 mM Ca2+ | Ellipsoidal micelles | 1.5 a 1.8 b Nagg = 55 | SANS | [] | ||
| 95 †† | 0.05 | RT | 7.4 | Hepes 5 mM/NaCl 100 mM | Micelles | 25 | DLS | [] | ||
| 95 †† | 0.5 | RT | 7.4 | Hepes 5 mM/Na Cl 100 mM | Cylindrical micelles | 105 | DLS | [] | ||
| 90 | 20 | RT | 9 | Borax 0.023 M HCl 0.008 M | Ellipsoidal micelles | SANS | [] | |||
| 90 | 50 | RT | 9 | Borax 0.023 M HCl 0.008 M | Lamellar structures | SANS | [] | |||
| 1 | RT | 7.17 | Vesicles | 130 | DLS | [] | ||||
| 1 | RT | 3.20 | Large aggregates | 1250 | DLS | [] | ||||
| Rha-Rha-C10-C10 | 99 | >5% (w/v) | RT | 6.8 | - | Spherical micelles/ lamellar | POM | 0.27 | [] | |
| 99 | >5% (w/v) | RT | 6.8 | 0.05 M NaCl | Spherical micelles/ lamellar | POM | 0.52 | [] | ||
| 99 | >5% (w/v) | RT | 6.8 | 0.5 M NaCl | Lamellar/bilayers or multilamellar | POM | 0.52 | [] | ||
| 99 | >5% (w/v) | RT | 6.8 | 1.0 M NaCl | Isotropic hexagonal | POM | 0.40 | [] | ||
| 50% ††† | 0.125 | 25 | 7.4 | 5 mM Hepes 0.15 M NaCl | Cylindrical micelles Vesicles | 20–30 175–275 | DLS | [] | ||
| 50% ††† | 0.25 | 25 | 7.4 | 5 mM Hepes 0.15 M NaCl | Cylindrical micelles Vesicles | 20–30 175–275 | DLS | [] | ||
| 50% ††† | 0.5 | 25 | 7.4 | 5 mM Hepes 0.15 M NaCl | Cylindrical micelles Vesicles | 20–30 175–275 | DLS | [] | ||
| 50% ††† | 1 | 25 | 7.4 | 5 mM Hepes 0.15 M NaCl | Cylindrical micelles Vesicles | 20–30 175–275 | DLS | [] | ||
| 50% ††† | 1.5 | 25 | 7.4 | 5 mM Hepes 0.15 M NaCl | Vesicles | 175–275 >750 | DLS | [] | ||
| 50% ††† | 2.5 | 25 | 7.4 | 5 mM Hepes 0.15 M NaCl | Vesicles | >750 | DLS | [] | ||
| 50% ††† | 5 | 25 | 7.4 | 5 mM Hepes 0.15 M NaCl | Vesicles | >750 | DLS | [] | ||
| 50% ††† | >2.5 | 25 | 7.4 | 5 mM Hepes 0.15 M NaCl | MLV Elongated vesicles | >75–100 >500 | TEM | [] | ||
| 50% ††† | 20 | 25 | 7.4 | 5 mM Hepes 0.15 M NaCl | Lamellar multilayers | SAXS | [] | |||
| Purified | 50 | RT | 9 | Borax 0.023 M 0.008 M HCl | Ellipsoidal micelles | 1.15 a 1.5 b Nagg = 34 | SANS | [] | ||
| Purified | 20 | RT | 9 | Borax 0.023 M 0.008 M HCl | Ellipsoidal micelles | 1.2 a 1.5 b Nagg = 26 | SANS | [] | ||
| Purified | 50 | RT | 9 | Borax 0.023 M HCl 0.008 M | Ellipsoidal micelles | 1.2 a 1.5 b Nagg = 34 | SANS | [] | ||
| Purified | 100 | RT | 9 | Borax 0.023 M 0.008 M HCl | Ellipsoidal micelles | 1.1 a 1.5 b Nagg = 86 | SANS | [] | ||
| Purified | 20 | RT | 9 | Borax 0.023 M 0.008 M HCl | Ellipsoidal micelles | 1.2 a 1.5 b Nagg = 26 | SANS | [] | ||
| Purified | 20 | RT | 9 | Borax 0.023 M 0.008 M HCl 2 mM Ca2+ | Ellipsoidal micelles | 1.2 a 1.6 b Nagg = 28 | SANS | [] | ||
| Purified | 50 | RT | 9 | Borax 0.023 M HCl 0.008 M | Ellipsoidal micelles | 1.2 a 1.5 b Nagg = 34 | SANS | [] | ||
| Purified | 50 | RT | 9 | Borax 0.023 M 0.008 M HCl 2 mM Ca2 | Ellipsoidal micelles | 1.2 a 1.6 b Nagg = 38 | SANS | [] | ||
| Purified | 100 | RT | 9 | Borax 0.023 M HCl 0.008 M | Ellipsoidal micelles | 1.1 a 1.5 b Nagg = 86 | SANS | [] | ||
| Purified | 100 | RT | 9 | Borax 0.023 M HCl 0.008 M 2 mM Ca2 | Ellipsoidal micelles | 1.1 a 1.4 b Nagg = 91 | SANS | [] | ||
| Purified | 0.02 | RT | 6.8 | Micelles/vesicles | 75 | DLS | [] | |||
| Purified | 0.05 | RT | 6.8 | Micelles | 35 | DLS | [] | |||
| Purified | 0.1 | RT | 6.8 | Micelles | 35 | DLS | [] | |||
| Purified | 0.5 | RT | 6.8 | Micelles | 22 | DLS | [] | |||
| Purified | 1.0 | RT | 6.8 | Micelles | 30 | DLS | [] | |||
| Purified | 0.5 | 293 | 6.8 | Micelles | 25 | DLS | [] | |||
| Purified | 0.5 | 298 | 6.8 | Micelles | 30 | DLS | [] | |||
| Purified | 0.5 | 303 | 6.8 | Micelles | 25 | DLS | [] | |||
| Purified | 0.5 | 308 | 6.8 | Micelles | 20 | DLS | [] | |||
| Purified | 0.5 | 313 | 6.8 | Micelles | 15 | DLS | [] | |||
| Purified | 0.5 | 318 | 6.8 | Micelles/vesicles | 90 | DLS | [] | |||
| Purified | 0.5 | 323 | 6.8 | Vesicles | 95 | DLS | [] | |||
| Purified | 0.5 | RT | 2.5 | Vesicles | 230 | DLS | [] | |||
| Purified | 0.5 | RT | 3.5 | Vesicles | 145 | DLS | [] | |||
| Purified | 0.5 | RT | 4.5 | Vesicles | 140 | DLS | [] | |||
| Purified | 0.5 | RT | 5.5 | Micelles/vesicles | 80 | DLS | [] | |||
| Purified | 0.5 | RT | 6.5 | Micelles/vesicles | 70 | DLS | [] | |||
| Purified | 0.5 | RT | 7.5 | Micelles/vesicles | 65 | DLS | [] | |||
| Purified | 0.5 | RT | 8.5 | Micelles | 25 | DLS | [] | |||
| Purified | 0.5 | RT | 9.5 | Micelles | 25 | DLS | [] | |||
| Purified | 0.5 | RT | 10.5 | Micelles | 25 | DLS | [] | |||
| 99 | 0.02 | 25 | 6.8 | Vesicles | 100 * 85 ** | DLS | 0.73 | [] | ||
| 99 | 0.04 | 25 | 6.8 | Vesicles | 85 * 70 ** | DLS | 0.73 | [] | ||
| 99 | 0.1 | 25 | 6.8 | Micelles/vesicles | 85 * 50 ** | DLS | 0.73 | [] | ||
| 99 | 0.5 | 25 | 6.8 | Micelles/vesicles | 85 * 25 ** | DLS | 0.73 | [] | ||
| 99 | 1 | 25 | 6.8 | Micelles/vesicles | 80 * 30 ** | DLS | 0.73 | [] | ||
| 99 | 10 | 25 | 6.8 | Micelles/vesicles | 75 * 50 ** | DLS | 0.73 | [] | ||
| 99 | 20–100 | 25 | 6.8 | Micelles/vesicles | 2–4, 75–90 * 2–4 ** | DLS | 0.73 | [] |
§ DLS (dynamic light scattering), SEM (scanning electron microscopy), POM (polarized optical microscopy), SANS (small-angle neutron scattering), TEM (transmission electron microscopy), SAXS (small-angle X-ray scattering). † Mono-rhamnolipids 98%, Rha-C10-C10 72%. †† Rha-C10-C10, Rha-C10-C12, and Rha-C10-C12:1. ††† Rha-Rha-C10-C10 50%, Rha-Rha-C10-C12 29%. * Intensity-based particle size distributions. ** Number-based particle size distributions. a Inner radius. b Outer radius.
Small R1 aggregates, with radii on the order of a few nanometers, were detected and analyzed by different research groups [,] by means of DLS, fluorescence, and SANS.
In intensity-weighted DLS profiles of R1 solutions at pH 8 and concentrations ranging from 5 to 20 mM, Eismin et al. found three populations, Rh = 2.4, 10, and 90 nm, with only the first population still visible in number-weighted profiles []. This result indicates that the most abundant species was the smallest one at all R1 concentrations investigated. The shape of these aggregates was first deduced by comparison between experimentally determined Rh and the molecular length plus an arbitrary hydration shell as derived from molecular modeling []; a ratio of Rh on the molecular length (ee parameter) higher than 1 was obtained, pointing toward an ellipsoidal micellar shape. Structural features of these objects were further investigated by means of fluorescence experiments with different probes. By means of fluorescence spectroscopy, the authors distinguished between aggregates formed below and above 7.5 mM; in the former case, aggregates were loosely packed allowing significant water penetration and they were classified as pre-micelles, whereas, in the latter case, water penetration into aggregates decreased, as they were much more closely packed, and these aggregates, characterized by aggregation numbers of about 26, were identified as “true” micelles []. The authors corroborated their hypothesis of pre-micellar aggregation by means of MD simulations, as detailed in Section 3.3, observing formation of an aggregate composed of seven monomers in systems containing 10 R1 molecules. Moreover, they found that hydrogen bonding interactions between rhamnose headgroups stabilized these kinds of aggregates, favoring pre-micellization []. The formation of aggregates of multiple monomers taken together by intermolecular interactions prior to the formation of full micelles has been postulated for multiple surfactant systems [,,,,], but a significant difference with respect to the R1 case concerns the surfactant concentration at which it takes place; in other cases, for pre-micelles formed at concentrations below or very close to the cmc, in the R1 case, they should exist up to concentrations of about 50 times the cmc. Therefore, it is our opinion that some caution should be taken before identifying the loose aggregates experimentally observed in solution as pre-micelles.
Chen et al. characterized R1 aggregation at pH 9 by means of SANS in the 20–100 mM range, finding small micellar aggregates only at the lowest concentration, and lamellar arrangements starting from 30 mM concentration []. According to fitting of SANS data with a core–shell model, they described the micelles as elliptical (ee parameter 2.2), with an inner radius of about 1.4 nm and an outer radius of about 1.7 nm, an aggregation number of 47 monomers, and a surface charge of 5 []. This surface charge corresponds to a degree of micelle ionization of about 0.15, low compared to values of 0.2–0.3 generally encountered in ionic micelles of similar size [], again arguing against a fully anionic nature of rhamnolipids even at pH 9. This finding is further supported by the relative insensitivity of the R1 micelle geometry to the addition of Ca2+ in solution, an index of the weak binding of cations to the predominantly nonionic rhamnolipid [].
R2 forms small aggregates similarly to R1 at pH = 9, as clearly evidenced by SANS. With respect to R1, R2 micelles are found in a larger range of concentrations (20–100 mM), as an increase in concentration was found to determine an increase of the aggregation number, from 26 to 34 to 86 by moving from 20 to 50 to 100 mM, respectively, along with no significant morphological change []. Such small aggregates were identified as elliptical micelles, with an inner radius of about 1.2 nm, an outer radius of about 1.5 nm, and a surface charge of 2, indicating a degree of micelle ionization even lower than that found for R1 [].
Above the rhamnolipid pKa, most researchers found R1 and R2 aggregates with larger dimensions than a few nanometers.
In the case of R1, the Rh of aggregates is in the order of tens of nanometers (10–50 nm) with the most frequent value of about 25 nm, as determined by DLS [,,]. These aggregates could be identified as micelles, but their dimensions suggest that they are elongated micelles. An increase in rhamnolipid concentration at fixed pH and room temperature determines a significant increase in dimensions that could be due to a transition from micellar to vesicular aggregates []; however, the actual concentration at which such a structural rearrangement occurs is not univocally defined. Wu et al., for example, only discussed the change in dimensions but did not attempt to define the nature of the objects they characterized with DLS []. Abbasi et al. observed the presence of aggregates with Rh ~25 nm in the vicinity of the cmc (about 0.3 mM), and with Rh ~100 nm at a concentration 10 times higher (3 mM). On the basis of the low turbidity and the close similarity of the polydispersity index of the two samples, they hypothesized that these aggregates were not large structures and were similar in both samples, concluding that, up to 3 mM R1 concentration, no lamellar arrangements (vesicles) are formed []. On the other hand, Chen et al., on the basis of SANS results, claimed that R1 forms small globular elliptical micelles with aggregation numbers of about 50 at about 20 mM concentration, while, at higher concentrations, it forms predominantly planar structures, unilamellar or bilamellar vesicles. Hence, they reported a micelle-to-vesicle transition occurring at significantly high concentrations, i.e., 50–100 mM []. Lastly, Eismin et al. observed larger aggregates in the compresence of small micelles at concentrations ranging from 0.1 to 100 mM and identified them as vesicles by means of fluorescence spectroscopy. However, in their case, the micelles were the most abundant among the different species at all the concentrations, and only the polydispersity increased with the R1 concentration [].
R2 behaves very similarly to its analogous counterpart with just one rhamnose moiety in the headgroup; it forms both smaller aggregates (probably elongated micelles) with radii ranging between 15 and 35 nm, with the most frequent value found equal to 25 nm, and larger aggregates with radii ranging between 70 and about 300 nm. Conversion from one form of aggregates to the other occurs, as in the case of R1, upon increasing the concentration; however, R2 is reported to be able to arrange in micellar assemblies up to higher concentrations with respect to R1. At pH 6.8, a purified sample of this rhamnolipid was shown to form micelles of about 25 nm radius between 0.05 and 1 mM concentration [], while a mixture of di-rhamnolipids with R2 representing the most abundant species at pH 7.4 was shown to form micelles of similar dimensions coexisting with larger aggregates, probably vesicles, between 0.125 and 1 mM []. By increasing the concentration beyond 1 mM at pH 7.4, only vesicles remained visible, in a few cases together with very large aggregates with radii larger than 500 nm, associated with elongated vesicles []. The transmission electron microscopy (TEM) characterization of R2 vesicles at concentrations higher than 2.5 mM indicated that they are formed by several lamellae, a finding supported by small-angle X-ray scattering (SAXS) data indicating the presence of lamellar multilayers at 20 mM concentration []. An opposite trend of morphological changes with concentration was described for R2 by İkizler et al. []; by means of DLS, they showed the formation of vesicles at very low concentrations (0.02–0.04 mM), as well as coexistence of micelles and vesicles in a wide range of concentrations from 0.1 to 100 mM, with very small aggregates (Rh of a few nanometres) only present at the highest concentrations employed []. Such findings contrast most results obtained not only with rhamnolipids, but also with different glycolipids [] and other surfactants [,,,], describing a micelle-to-vesicle transition induced by an increase in concentration.
Keeping the rhamnolipid concentration fixed at 0.5 mM, slightly higher than the cmc, and by increasing the temperature at pH = 6.8, Wu et al. observed a significant increase in aggregate dimensions for both R1 and R2, with the hydrodynamic radius changing from about 25 nm to more than 130 nm for R1 and to about 90 nm for R2, respectively []. This was interpretated as a micelle-to-vesicle transition occurring at about 45 °C []. Such temperature-induced transition has been observed for numerous surfactant systems [,,]. The theoretical justification of this behavior rests on the fact that, at high temperature, the surfactant molecules are expected to be less hydrated and more hydrophobic, and a decrease in the head area [,] results in a larger value of the cpp. Therefore, a temperature increase promotes the formation of aggregates with lower curvature than micelles, such as vesicles.
The effect of pH was investigated at concentrations close to the cmc for both rhamnolipids. In both the cases, the dimension of the aggregates was found to decrease with increasing pH. For R1, below the pKa (pH 2.5, 3.5, 4.5), Rh of more than 50 nm was determined, suggesting the presence of vesicles, whereas, above the pKa and up to neutral pH (7.5), aggregates with Rh of about 35 nm were the main species present in solution and they were likely to be elongated micelles. Lastly, upon further increasing the pH, a gradual decrease in dimensions was observed. For R2, only vesicles were likely to be present below the pKa (pH 2.5, 3.5, 4.5), in contrast to coexisting vesicle and micelles for 5.5 ≤ pH ≤ 7.5, and only micelles for pH ≥ 8.5 []. This behavior was ascribed to the dissociation degree of the carboxylic group []. With the increase in pH, the number of ionized rhamnolipids increases; thus, electrostatic repulsion among the headgroups also increases, favoring the formation of aggregates with larger curvature (vesicle-to-micelle transition) and smaller dimensions.
Lastly, at pH > pKa, electrolytes affect the aggregation behavior of R1; the screening of the negative charges and the binding of ions to the polar head promotes the formation of larger aggregates with smaller curvature, such that addition of NaCl was found to cause a transition from micellar to lamellar structures [], similarly to what happened upon increasing the rhamnolipid concentration and the temperature or upon decreasing the pH. No systematic analysis of the effect of electrolytes on R2 aggregation was reported, but a comparison between measurements performed at pH 9 in the absence and in the presence of calcium ions highlighted minimal structural changes of R2 micelles, confirming the very slight ionic nature of this rhamnolipid [].
The effect of electrolytes was amply discussed by Helvacy and Ozdemir, who reported that R1 and R2 formed spherical micelles in the absence of electrolytes, and that, upon increasing the NaCl concentration, a micelle-to-vesicle and then a vesicle-to-rod-like micelle transition occurred []. However, despite their results often being cited in the literature, particularly as an indication that rhamnolipids may form spherical micelles, they should be reconsidered as several questionable assumptions were made to support their conclusions. First, they calculated a cpp = 0.24 for R1 and 0.27 for R2 in the absence of electrolytes and related these values to a preferential aggregation into spherical micelles, but derived the mean molecular area ae for cpp calculation from surface tension data, i.e., from the intercept of the tangent line drawn at the compaction end of the surface pressure–molecular area (π–A) isotherm evaluated from surface tension data []. In this respect, as discussed in Section 2.2.3, they likely overestimated the extent of rhamnolipid dissociation and, consequently, the area per molecule at the interface, resulting in abnormally large values of ae, from which unusual small cpp values are obtained. Indeed, most authors agree on the fact that rhamnolipid only forms ellipsoidal/elongated micelles, in addition to lamellar aggregates, incompatible with cpp <1/3. Furthermore, as further support for the spherical nature of rhamnolipid micelles, Helvacy and Ozdemir brought into play the presence of small Maltese crosses in POM images [], whereas they were only indicative of the presence of anisotropic lamellar aggregates [,,,].
Overall, R1 and R2 aggregation behavior is similar, despite the different size of the headgroups; a tendency toward the formation of aggregates with low curvature, likely multilamellar vesicles, is envisaged, and, in particular, aggregation into lamellar arrangements is promoted by high temperatures and concentrations, low pH, and, at pH > pKa, by an increase in ionic strength. The scarce influence of the number of rhamnose moieties on the aggregation behavior of rhamnolipids agrees well with the very close cpp values determined for R1 and R2, notwithstanding all the precautions required for calculation of this parameter; for R1, cpp values of 0.5–0.6 are mostly reported, whereas, for R2, the mean value is 0.7. These values predict the actual kind of aggregates observed, as surfactants with ⅓ < cpp < ½ are known to form cylinders and those with cpp > ½ are known to form vesicles []; indeed, both R1 and R2 form either elongated micelles or ellipsoidal, cylindrical, or lamellar structures such as vesicles.
Overall, R2 micelles are stable in a larger range of rhamnolipid concentrations than R1, but both rhamnolipids undergo a micelle-to-vesicle transition upon increasing their concentration. However, strong discrepancies exist in the actual kind of aggregates formed at a given concentration. In this respect, it should always be taken in mind that rhamnolipid samples rarely present the same purity grade, and purified rhamnolipids are often still a mixture of congeners, with different compositions of the apolar tail, and this may be the reason for the significant differences encountered.
3.2. Synthetic Rhamnolipids
Unfortunately the structural characterization of aggregates formed by highly pure synthetic rhamnolipids has up to now been very limited, and only few hints on the effects of tail symmetry and stereochemistry can be deduced on the basis of studies by the research group of Pemberton [,]. The authors probed the aggregation features of the four diastereomers of Rha-C10-C10 by means of fluorescence spectroscopy using pyrene as a probe []. They found a practically indistinguishable behavior for the four molecules, very close to that of the natural mono-rhamnolipid, indicating that stereochemistry has a negligible effect on the aggregation of rhamnolipids. Specifically, Palos Pacheco et al. observed the full incorporation of the probe within what they supposed to be well-formed aggregates only at concentrations well above the cmc (>5 mM), and they interpreted their findings on the basis of the formation of pre-micelles, similarly to what was described in the case of the mono-rhamnolipids purified by Pseudomonas aeruginosa ATCC 9027 (as described in Section 3.1) [].
Much more interesting is the effect of modifications of the hydrophobic portion []. Mono-rhamnolipids with one tail of 14 carbon atoms and a second tail with variable length from C6 to C14 all form three kinds of coexisting aggregates: small micelles with Rh of a few nanometers, and larger aggregates with Rh = 5–20 nm and Rh = 50–100 nm. The authors suggested that larger aggregates may be unilamellar and multilamellar vesicles, respectively []; however, on the basis of the results discussed above, the population with Rh on the order of tens of nanometers may also be due to cylindrical micelles. The smallest aggregates are the most abundant ones for all congeners in the concentration range 0.1–30 mM. However, as the length of the second tail increases, larger aggregates become more abundant, with significant polydispersity of solutions of Rha-C14-C10, Rha-C14-C12, and Rha-C14-C14 []. Interestingly, the polarity experienced by pyrene appears higher in vesicular aggregates formed by more symmetric congeners than in micellar ones formed by more asymmetric congeners, in contrast with findings obtained for different surfactants []. Such an unexpected result was justified on the basis of a strong tail–tail interaction in symmetric rhamnolipids, causing changes in the headgroup conformation and pushing the pyrene outward toward the more polar headgroup region []. In this respect, it would be legitimate to wonder how other factors, particularly the rhamnolipid concentration, may affect the head conformation, and whether the pre-micellar aggregates identified by the Pemberton group on the basis of fluorescence results [] were not simply micellar aggregates differing in terms of head conformation.
3.3. Computational Results
The aggregation behavior of rhamnolipids has also been investigated by means of molecular dynamics simulations [,,,]. However, it is worth recalling some limitations of computational approaches for the prediction of aggregates formed by these surfactants. The timescale for the formation of micellar and vesicular aggregates is longer than that usually analyzed by MD []; therefore, a simulated annealing [] approach is always employed. The time evolution of arbitrary states is analyzed upon heating, equilibration at high temperature, and slow cooling down to room temperature [,,]; however, in this way some structures can escape investigation, and others may not reflect the actual aggregates present in solution. Another difficulty arises from the constant evolution of aggregates, particularly association of small micelles into larger aggregates (cylindrical or wormlike micelles and vesicles) []. Nonetheless computational results complement the experimental data and provide some precious hints on the self-aggregation of rhamnolipids in water.
The aggregation behavior of both the anionic [] and the nonionic [] forms of Rha-C10-C10 was studied by MD simulations. In the former case, the authors started from systems containing a different number of rhamnolipid molecules, i.e., from 10 to 100 molecules. As briefly mentioned in Section 3.1, very small aggregates identified as pre-micelles and composed of 7 R1 molecules were observed in the system containing only 10 molecules. However, in this respect, the very limited dimension of the starting state is likely to strongly affect the results, and some caution when bringing this finding to support the pre-micellization of R1 should be adopted. In the largest system, containing 100 molecules, small aggregates of ∼25 monomers are observed, as well as merging of aggregates with Nagg < 25 into larger structures. On this basis, the authors suggested that an aggregation number of ∼25 is the most probable for R1 anionic micelles. Moreover, MD simulations showed that these micelles are almost spherical at low aggregation numbers (about 25 monomers/micelle) and gradually grow along one direction, becoming increasingly elliptical up to tubular upon increasing the R1 concentration and the consequent aggregation number [].
Furthermore, in the case of the nonionic form of R1, very small aggregates (Nagg = 5–10) are observed in the smallest systems, but aggregates with Nagg = 8 and 16 are also found in systems composed of 50 and 60 molecules, respectively. However, the hydrophobic core of these aggregates is significantly exposed to the surrounding solvent and too small to stabilize them; therefore, they cannot be considered as stable micelles. The observation of aggregates with an aggregation number close to ∼40 in most simulations suggests that this may be the stable Nagg of nonionic R1. In support of this hypothesis, the authors found that larger aggregates, formed by 80 or 100 molecules, do not present a hydrophobic core enclosed by hydrophilic moieties, as expected for micelles, not even when simulated for longer times, unlike what has been found for anionic R1, which is able to form elongated, tubular aggregates with high aggregation numbers.
The dimension of micelles formed by nonionic R1 is close to experimental data obtained by means of SANS for anionic R1 (the average radius is about 2 nm), but the highly dynamic nature of these aggregates does not allow the exact morphology (spherical, ellipsoidal, and cylindrical) to be determined. Nonetheless, for Nagg = 40 aggregates, the eccentricity distributions provide an indication that the micelles may be ellipsoidal [].
Interestingly, the different aggregation behavior of anionic and nonionic forms of R1 could be related to their different ability to form H-bonds between neighboring headgroups. While the anionic headgroups are involved in H-bond networks, stabilizing aggregates with Nagg > 40 [], the nonionic headgroups are not; therefore, the stability of nonionic aggregates is only due to the hydrophobic interactions between the tails, and their limited length (only seven carbon atoms) hampers the formation of aggregates larger than about 40 molecules [].
In the case of the nonionic mono-rhamnolipids, Munusamy et al. also investigated using MD simulations the stability of large aggregates formed by hundreds of molecules, namely, a torus-like aggregate and a unilamellar vesicle, finding that both are highly stabilized by the hydrophobic bilayer, and that the presence of structured water molecules within the hollow core of vesicles further stabilizes vesicular aggregates [].
From a morphological viewpoint, the preference of anionic R1 to form micellar aggregates in addition to large lamellar vesicles, and of nonionic R1 to form lamellar vesicles over small micellar aggregates can also be related to the lack of the hydrogen bonding interactions between the nonionic monomers in small micelles, driving the formation of larger lamellar vesicles stabilized by a strong hydrophobic interaction within the bilayer arrangement of the tails [].
A similar investigation was also performed for the di-rhamnolipid Rha-Rha-C10-C10 in its nonionic form, as well as for Rha-Rha-C14-C14 and Rha-Rha-C18-C18, in order to test the effects of tail length []. MD simulations highlight that R2 has a tendency to form aggregates smaller than those formed by R1, with Nagg = 22 and an almost spherical shape. These aggregates present a good separation between hydrophobic and hydrophilic components and can, therefore, be considered full-fledged micelles. On the contrary, no such separation is detected for aggregates with Nagg higher or lower than 22, which are, therefore, merely interacting monomers []. The authors related this behavior to an imbalance between the hydrophilic and hydrophobic components of R2 due to the presence of the additional rhamnose moiety []; on one hand, the larger headgroup requires greater solvation than the mono-rhamnolipid and this should drive the mean aggregation number down [], while, on the other hand, it hampers stabilization of larger aggregates. In support of the latter point, the increase in size of the hydrophobic region in Rha-Rha-C14-C14 and Rha-Rha-C18-C18 results in the formation of micellar aggregates with Nagg ~30 that grow with the concentration evolving from spherical to cylindrical micelles.
Overall, the self-aggregation behavior in bulk solution of mono- and di-rhamnolipids is quite similar; both show a tendency toward the formation of elongated micelles and aggregates with low curvature such as vesicles. Moreover, changes in solution conditions, such as pH, temperature, concentration, or ionic strength, induce the transition from one kind of aggregate to the other. Interestingly experimental and computation data highlight the significant influence played by the length and symmetry of the hydrophobic region of the molecules, while computational results also provide a justification of the different behavior of anionic and nonionic forms of R1, depending on their different ability to form hydrogen bonds between the headgroups.
4. Open Issues
The characterization of rhamnolipid behavior in aqueous solutions and at the air/water interface also includes a few examples focusing on surfactant mixtures composed of rhamnolipids and other surfactants, either anionic or nonionic ones, namely, sodium dodecylbenzenesulfonate [,], sodium dodecylsulfate [], sodium laurylethersulfate [], lactonic sophorolipid [], the aliphatic alcohol ethoxylate surfactant tergitol 15-S-7 [], Triton X-100 [], and Triton X-165 []. These studies highlight deviations from the ideal mixing pointing toward synergistic interactions between rhamnolipids and sophorolipid [], sodium dodecylsulfate [], and both Triton surfactants [,]. On the other hand, antagonistic interactions take place between rhamnolipids and sodium laurylethersulfate [], while the scenario is more complex in the case of dodecylbenzenesulfonate, with an ideal behavior for mixtures containing R1 and deviations from ideality for mixture containing R2 or both R1 and R2 []. Such limited results do not allow a full understanding of the interactions established between rhamnolipids and other surfactants. In this respect, the rhamnolipid behavior in mixtures with other surfactants, which may be nonionic, anionic, or cationic, deserves further investigation in the future not only for scientific, but also for applicative reasons. On one hand, synergism of surfactant mixtures is amply exploited for enhancement of formulation performances []; on the other hand, the possibility to form catanionic mixtures based on rhamnolipids can be investigated for the delivery of several actives [].
What is mostly unexplored is rhamnolipid self-aggregation in concentrated mixtures. Formation of lyotropic liquid crystalline (LLC) phases has been proposed in some papers on the basis of quite weak experimental evidence [,], whose reliability was later questioned [], as well as on the basis of computational simulations []. For conventional surfactants, the formation of LLC phases and the transition between them has been rationalized using the theory of colloid stability [], which considers various contributions, including electrostatic, electrolyte adsorption [], curvature and bending of the aggregate surface [], and van der Waals energies []. However, to date, no similar approach has been used for biosurfactants in general and rhamnolipids in particular. A poor scientific understanding of concentrated rhamnolipid systems severely impacts their possible industrial applications, as ecological concerns arising from CO2 emissions and plastic packaging disposal, connected to the large volumes of surfactant formulations transported and marketed worldwide, is driving formulation scientists and technologists toward the design of water-poor products [].
Lastly, the investigation of salt effects on rhamnolipid self-aggregation has been very limited, as discussed in the previous section; no effort has been devoted to the analysis of salts other than sodium chloride, and salt addition has been considered only with respect to an increase in ionic strength. This represents a severe weakness of these studies, because ion effects strongly depend on the nature of the ions, which can be classified according to Hofmeister or reversal Hofmeister series [,,,,]. Some crucial issues concern the fact that ions affect all possible interactions in a considered system [], and that many phenomena involve the action of both ions of an electrolyte; thus, one needs to consider both of them. For all these reasons, and taking into account the structural complexity of rhamnolipids and the inherent flexibility of their headgroup, a systematic study on ion-specific effects with respect to bulk and surface physicochemical properties of rhamnolipids should be undertaken in the future, and the results should be rationalized in the context of currently employed theoretical models [,,,]. Achieving a good understanding of ion-specific effects on rhamnolipid behavior is a necessary step toward the replacement of conventional surfactants with rhamnolipids in technological applications, given how deeply ions affect formulation features.
5. Conclusions and Future Perspectives
Rhamnolipids are a class of biosurfactants with great potential for the replacement of synthetic surfactants in a wide range of applications. Impressive scientific and technological progress has been achieved, and effort is still devoted toward optimization of their production processes to decrease production costs making them competitive with petrochemical-derived surfactants. At the same time, their physicochemical properties, particularly their self-aggregation in aqueous solutions, have been analyzed as a function of rhamnolipid structure and environmental conditions. However, despite a consistent amount of data on rhamnolipid behavior, a conclusive structure–function relationship is far from being defined. The comprehensive review of rhamnolipid physicochemical properties we presented here allows us to move a step forward in the definition of a structure–function relationship, particularly by disproving rooted beliefs.
On the basis of molecular structure, one would expect a different behavior for mono- and di-rhamnolipids; indeed, several studies assumed a strong effect of the bulky headgroup of di-rhamnolipids to exist. On the contrary, we highlight a negligible effect of the second rhamnose moiety, for what concerns self-aggregation at the air/water interface and in bulk solution; mono- and di-rhamnolipids are characterized by very similar cmc, γmin, and Amin values and form similar kinds of aggregates in aqueous solution, which undergo morphological transitions in response to changes in rhamnolipid concentration, temperature, pH, and ionic strength.
The presence of a carboxylic group is supposed to confer to rhamnolipids a strong pH dependence; indeed, the solution pH affects the self-aggregation of both mono- and di-rhamnolipids, with cmc values decreasing and the aggregate nature changing from micellar to vesicular with a decrease in pH. However, a strict comparison of experimental data shows that the effects of pH on the minimum surface tension and maximum surface concentration are almost negligible. In this respect, it is worth stressing that complementary experimental investigations, e.g., by means of neutron reflectivity or polarization modulated-infrared reflection absorption spectroscopy, as well as computational results from molecular dynamics simulations, indicate that determination of maximum surface concentration and minimum molecular area at the interface by fitting of tensiometry data are strongly biased by the choice of the prefactor used in the Gibbs equation and can give wrong results. At pH above the pKa, the effect of ionic strength on self-aggregation is detectable but much less significant than that found for conventional ionic surfactants. Overall, rhamnolipids present a very slight anionic character at pH above the pKa, and this is more so true for di-rhamnolipids than for mono-rhamnolipids.
Both the close similarity between mono-and di-rhamnolipids and the poor ionic character of these biosurfactants above their pKa can be related to the high conformational flexibility of the headgroup, as shown by MD simulations. Indeed, the adoption of a folded structure for di-rhamnolipids results in a significant reduction in the headgroup volume, making it not so dissimilar from that of mono-rhamnolipids, despite the presence of the additional rhamnose moiety. Furthermore, the headgroup of both rhamnolipids can adopt a closed conformation with the formation of a sort of pocket in which the anionic charge can be buried along with its counterion, making rhamnolipids behave as nonionic surfactants even when they bear a net negative charge (Figure 3).
Figure 3.
Representative spatial arrangements of di-rhamnolipid molecule (Rha-Rha-C10-C10) obtained as result of molecular dynamic simulation highlighting headgroup conformational flexibility. The three structures differ for the potential energy value: (a) 39.019 kJ/mol (medium energy) (corresponding to the closed conformation described by Luft et al. []), (b) 38.892 kJ/mol (local minimum energy) (corresponding to the open conformation described by Luft et al. []), (c) 37.967 kJ/mol (global minimum energy), (d) 42.255 kJ/mol (highest energy). The H-bond distance between the carboxyl group and the -OH at position C4 of the first rhamnose is explicitly shown. The structures were built using the Built facility in Maestro program in the Schrödinger suite (Maestro, Schrödinger, LLC, New York, NY, USA). MD parameters: AMBER* force field, water as solvent, at 298 K, 100 ns simulation time, monitoring 10,000 structures.
While modifications of the rhamnolipid headgroup structural features have scarce effects on determining their self-aggregation properties, the molecular structure of the hydrophobic region of these biosurfactants seems to play a crucial role, with significant effects of alkyl chain length, as well as of the asymmetry between tails. What is intriguing in the case of rhamnolipids is that, thanks to the blurred distinction between hydrophilic and hydrophobic portions of the molecule and the conformational flexibility of the headgroup, a modification of the tails can also induce changes in the headgroup, thus giving unexpected and unpredictable results in terms of intermolecular interactions and consequent self-aggregation. This aspect is very difficult to investigate given the inherent heterogeneity of rhamnolipids with regard to the composition of the hydrophobic tails.
Aiming at defining structure–function relationships and elaborating theoretical models able to rationalize and predict the behavior of rhamnolipids, it would be highly desirable in the future to have the possibility to investigate pure molecules obtained by means of synthetic or biotechnological approaches or through purification of natural mixtures, as the heterogeneity of rhamnolipid solutions with the coexistence of several congeners often hampers a straightforward interpretation of results. Moreover, a thorough characterization of their aggregation behavior in solution, with a strict definition of the kinds of aggregates formed as a function of temperature and, in particular, rhamnolipid concentration, appears necessary for the definition of a complete phase diagram.
We believe that a deep understanding of the molecular determinants of rhamnolipid physicochemical properties would be beneficial for a large scientific community, by providing a basis for the rational design of rhamnolipid-based formulations and expanding their use in different applications, particularly in refined applications such as medical and pharmaceutical ones.
Author Contributions
Conceptualization, G.D. and I.R.K.; Data curation, R.E., I.S., C.D.C., G.D. and I.R.K.; Formal analysis, R.E., I.S., C.D.C., G.D. and I.R.K.; Funding acquisition, I.R.K., C.D.C. and G.D.; Methodology, G.D. and I.R.K.; Project administration, G.D. and I.R.K.; Supervision, G.D. and I.R.K.; Validation, G.D. and I.R.K.; Visualization, R.E., I.S. and I.R.K.; Writing—original draft, I.R.K.; Writing—review & editing, G.D. and I.R.K. All authors have read and agreed to the published version of the manuscript.
Funding
The work was supported by Programma per il Finanziamento della Ricerca di Ateneo (FRA) 2020, funded by the University of Naples Federico II, project title “Development of rhamnoxylosurfactants for dermatologic applications” and PON Ricerca e Innovazione 2014–2020, project title “Prodotti e processi innovativi per la filiera ortofrutticola della IV gamma—ProFood IV”. This study was carried out within the Agritech National Research Center and received funding from the European Union Next-Generation EU (PIANO NAZIONALE DI RIPRESA E RESILIENZA (PNRR)—MISSIONE 4 COMPONENTE 2, INVESTIMENTO 1.4—D.D. 1032 17/06/2022, CN00000022).
Acknowledgments
The authors wish to thank the European Union (FSE, POC Ricerca e Innovazione 2014–2020, Azione I.1 “Dottorati Innovativi con caratterizzazione Industriale”) for funding an XXXV Cycle Ph.D. grant to Rodolfo Esposito and the University of Naples Federico II (Programma per il Finanziamento della Ricerca di Ateneo (FRA) 2020, project title “Development of rhamnoxylosurfactants for dermatologic applications”) for the research fellowship of Immacolata Speciale. This manuscript reflects only the authors’ views and opinions; neither the European Union nor the European Commission can be considered responsible for them.
Conflicts of Interest
The authors declare no conflict of interest.
References
- Otzen, D.E. Biosurfactants and Surfactants Interacting with Membranes and Proteins: Same but Different? Biochim. Biophys. Acta-Biomembr. 2017, 1859, 639–649. [Google Scholar] [CrossRef]
- Sarubbo, L.A.; Silva, M.D.G.C.; Durval, I.J.B.; Bezerra, K.G.O.; Ribeiro, B.G.; Silva, I.A.; Twigg, M.S.; Banat, I.M. Biosurfactants: Production, Properties, Applications, Trends, and General Perspectives. Biochem. Eng. J. 2022, 181, 108377. [Google Scholar] [CrossRef]
- Müller, M.M.; Kügler, J.H.; Henkel, M.; Gerlitzki, M.; Hörmann, B.; Pöhnlein, M.; Syldatk, C.; Hausmann, R. Rhamnolipids—Next Generation Surfactants? J. Biotechnol. 2012, 162, 366–380. [Google Scholar] [CrossRef] [PubMed]
- Baccile, N.; Seyrig, C.; Poirier, A.; Castro, S.A.-D.; Roelants, S.L.K.W.; Abel, S. Self-Assembly, Interfacial Properties, Interactions with Macromolecules and Molecular Modelling and Simulation of Microbial Bio-Based Amphiphiles (Biosurfactants)—A Tutorial Review. Green Chem. 2021, 23, 3842–3944. [Google Scholar] [CrossRef]
- Hargreaves, A.E. Chemical Formulation: An Overview of Surfactant Based Chemical Preparations Used in Everyday Life; Royal Society of Chemistry: London, UK, 2007; ISBN 978-1-84755-038-5. [Google Scholar]
- Falbe, J. Surfactants in Consumer Products: Theory, Technology and Application; Springer Science & Business Media: Berlin/Heidelberg, Germany, 2012; ISBN 978-3-642-71545-7. [Google Scholar]
- Scheibel, J.J. The Evolution of Anionic Surfactant Technology to Meet the Requirements of the Laundry Detergent Industry. J. Surfactants Deterg. 2004, 7, 319–328. [Google Scholar] [CrossRef]
- Cornwell, P.A. A Review of Shampoo Surfactant Technology: Consumer Benefits, Raw Materials and Recent Developments. Int. J. Cosmet. Sci. 2018, 40, 16–30. [Google Scholar] [CrossRef]
- Tadros, T.F. Applied Surfactants: Principles and Applications; John Wiley & Sons: Hoboken, NJ, USA, 2006; ISBN 978-3-527-60453-1. [Google Scholar]
- Farn, R.J. Chemistry and Technology of Surfactants; John Wiley & Sons: Hoboken, NJ, USA, 2008; ISBN 978-1-4051-7179-3. [Google Scholar]
- Chowdhury, S.; Shrivastava, S.; Kakati, A.; Sangwai, J.S. Comprehensive Review on the Role of Surfactants in the Chemical Enhanced Oil Recovery Process. Ind. Eng. Chem. Res. 2022, 61, 21–64. [Google Scholar] [CrossRef]
- Pradip; Rai, B. Design of Tailor-Made Surfactants for Industrial Applications Using a Molecular Modelling Approach. Colloids Surf. A Physicochem. Eng. Asp. 2002, 205, 139–148. [Google Scholar] [CrossRef]
- Kumar, N.; Tyagi, R. Industrial Applications of Dimeric Surfactants: A Review. J. Dispers. Sci. Technol. 2014, 35, 205–214. [Google Scholar] [CrossRef]
- Tadros, T.F. Polymeric Surfactants: Dispersion Stability and Industrial Applications; Walter de Gruyter GmbH & Co KG: Berlin, Germany, 2017; ISBN 978-3-11-048728-2. [Google Scholar]
- Rosen, M.J.; Kunjappu, J.T. Surfactants and Interfacial Phenomena; John Wiley & Sons: Hoboken, NJ, USA, 2012; ISBN 978-0-470-54194-4. [Google Scholar]
- Castro, M.J.L.; Ojeda, C.; Cirelli, A.F. Surfactants in Agriculture. In Green Materials for Energy, Products and Depollution; Lichtfouse, E., Schwarzbauer, J., Robert, D., Eds.; Environmental Chemistry for a Sustainable World; Springer Netherlands: Dordrecht, The Netherlands, 2013; pp. 287–334. ISBN 978-94-007-6836-9. [Google Scholar]
- Rasheed, T.; Shafi, S.; Bilal, M.; Hussain, T.; Sher, F.; Rizwan, K. Surfactants-Based Remediation as an Effective Approach for Removal of Environmental Pollutants—A Review. J. Mol. Liq. 2020, 318, 113960. [Google Scholar] [CrossRef]
- Kralova, I.; Sjöblom, J. Surfactants Used in Food Industry: A Review. J. Dispers. Sci. Technol. 2009, 30, 1363–1383. [Google Scholar] [CrossRef]
- Moldes, A.B.; Rodríguez-López, L.; Rincón-Fontán, M.; López-Prieto, A.; Vecino, X.; Cruz, J.M. Synthetic and Bio-Derived Surfactants Versus Microbial Biosurfactants in the Cosmetic Industry: An Overview. Int. J. Mol. Sci. 2021, 22, 2371. [Google Scholar] [CrossRef]
- Salager, J.-L.; Antón, R.; Bullón, J.; Forgiarini, A.; Marquez, R. How to Use the Normalized Hydrophilic-Lipophilic Deviation (HLDN) Concept for the Formulation of Equilibrated and Emulsified Surfactant-Oil-Water Systems for Cosmetics and Pharmaceutical Products. Cosmetics 2020, 7, 57. [Google Scholar] [CrossRef]
- Chen, S.; Hanning, S.; Falconer, J.; Locke, M.; Wen, J. Recent Advances in Non-Ionic Surfactant Vesicles (Niosomes): Fabrication, Characterization, Pharmaceutical and Cosmetic Applications. Eur. J. Pharm. Biopharm. 2019, 144, 18–39. [Google Scholar] [CrossRef]
- Fait, M.E.; Bakas, L.; Garrote, G.L.; Morcelle, S.R.; Saparrat, M.C.N. Cationic Surfactants as Antifungal Agents. Appl. Microbiol. Biotechnol. 2019, 103, 97–112. [Google Scholar] [CrossRef] [PubMed]
- Colomer, A.; Pinazo, A.; Manresa, M.A.; Vinardell, M.P.; Mitjans, M.; Infante, M.R.; Pérez, L. Cationic Surfactants Derived from Lysine: Effects of Their Structure and Charge Type on Antimicrobial and Hemolytic Activities. J. Med. Chem. 2011, 54, 989–1002. [Google Scholar] [CrossRef]
- Zakharova, L.Y.; Pashirova, T.N.; Doktorovova, S.; Fernandes, A.R.; Sanchez-Lopez, E.; Silva, A.M.; Souto, S.B.; Souto, E.B. Cationic Surfactants: Self-Assembly, Structure-Activity Correlation and Their Biological Applications. Int. J. Mol. Sci. 2019, 20, 5534. [Google Scholar] [CrossRef]
- Freeling, F.; Alygizakis, N.A.; von der Ohe, P.C.; Slobodnik, J.; Oswald, P.; Aalizadeh, R.; Cirka, L.; Thomaidis, N.S.; Scheurer, M. Occurrence and Potential Environmental Risk of Surfactants and Their Transformation Products Discharged by Wastewater Treatment Plants. Sci. Total Environ. 2019, 681, 475–487. [Google Scholar] [CrossRef] [PubMed]
- Jimoh, A.A.; Lin, J. Biosurfactant: A New Frontier for Greener Technology and Environmental Sustainability. Ecotoxicol. Environ. Saf. 2019, 184, 109607. [Google Scholar] [CrossRef] [PubMed]
- Foley, P.; Pour, A.K.; Beach, E.S.; Zimmerman, J.B. Derivation and Synthesis of Renewable Surfactants. Chem. Soc. Rev. 2012, 41, 1499–1518. [Google Scholar] [CrossRef]
- Pardhi, D.S.; Panchal, R.R.; Raval, V.H.; Joshi, R.G.; Poczai, P.; Almalki, W.H.; Rajput, K.N. Microbial Surfactants: A Journey from Fundamentals to Recent Advances. Front. Microbiol. 2022, 13, 982603. [Google Scholar] [CrossRef] [PubMed]
- Seweryn, A. Interactions between Surfactants and the Skin—Theory and Practice. Adv. Colloid Interface Sci. 2018, 256, 242–255. [Google Scholar] [CrossRef] [PubMed]
- Presley, C.L.; Militello, M.; Barber, C.; Ladd, R.; Laughter, M.; Ferguson, H.; Dewey, J.; Pulsipher, K.J.; Rundle, C.W.; Dunnick, C.A. The History of Surfactants and Review of Their Allergic and Irritant Properties. Dermatitis 2021, 32, 289. [Google Scholar] [CrossRef]
- Weinhammer, A.P.; Scheman, A.; Reeder, M.J. Prevalence of Surfactant in the Contact Allergen Management Program. Dermatitis 2019, 30, 358. [Google Scholar] [CrossRef]
- Han, J.-H.; Jung, S.-K. Toxicity Evaluation of Household Detergents and Surfactants Using Zebrafish. Biotechnol. Bioproc. E 2021, 26, 156–164. [Google Scholar] [CrossRef]
- Olkowska, E.; Ruman, M.; Polkowska, Ż. Occurrence of Surface Active Agents in the Environment. J. Anal. Methods Chem. 2014, 2014, e769708. [Google Scholar] [CrossRef]
- Belanger, S.E.; Boeije, G.; Federle, T.W.; McAvoy, D.C.; Morrall, S.W.; Eckhoff, W.S.; Dunphy, J.C.; Itrich, N.R.; Price, B.B.; Matthijs, E.; et al. Special Issue on the Environmental Risk Assessment of Alcohol Ethoxylate Nonionic Surfactant. Ecotoxicol. Environ. Saf. 2006, 64, 1–2. [Google Scholar] [CrossRef]
- Rebello, S.; Anoopkumar, A.N.; Sindhu, R.; Binod, P.; Pandey, A.; Aneesh, E.M. 23—Comparative Life-Cycle Analysis of Synthetic Detergents and Biosurfactants—An Overview. In Refining Biomass Residues for Sustainable Energy and Bioproducts; Kumar, R.P., Gnansounou, E., Raman, J.K., Baskar, G., Eds.; Academic Press: Cambridge, MA, USA, 2020; pp. 511–521. ISBN 978-0-12-818996-2. [Google Scholar]
- Bognolo, G. Biosurfactants as Emulsifying Agents for Hydrocarbons. Colloids Surf. A Physicochem. Eng. Asp. 1999, 152, 41–52. [Google Scholar] [CrossRef]
- Makkar, R.S.; Rockne, K.J. Comparison of Synthetic Surfactants and Biosurfactants in Enhancing Biodegradation of Polycyclic Aromatic Hydrocarbons. Environ. Toxicol. Chem. 2003, 22, 2280–2292. [Google Scholar] [CrossRef] [PubMed]
- Johnson, P.; Trybala, A.; Starov, V.; Pinfield, V.J. Effect of Synthetic Surfactants on the Environment and the Potential for Substitution by Biosurfactants. Adv. Colloid Interface Sci. 2021, 288, 102340. [Google Scholar] [CrossRef]
- De, S.; Malik, S.; Ghosh, A.; Saha, R.; Saha, B. A Review on Natural Surfactants. RSC Adv. 2015, 5, 65757–65767. [Google Scholar] [CrossRef]
- Gayathiri, E.; Prakash, P.; Karmegam, N.; Varjani, S.; Awasthi, M.K.; Ravindran, B. Biosurfactants: Potential and Eco-Friendly Material for Sustainable Agriculture and Environmental Safety—A Review. Agronomy 2022, 12, 662. [Google Scholar] [CrossRef]
- Rodrigues, L.R. Microbial Surfactants: Fundamentals and Applicability in the Formulation of Nano-Sized Drug Delivery Vectors. J. Colloid Interface Sci. 2015, 449, 304–316. [Google Scholar] [CrossRef] [PubMed]
- Deleu, M.; Paquot, M. From Renewable Vegetables Resources to Microorganisms: New Trends in Surfactants. C. R. Chim. 2004, 7, 641–646. [Google Scholar] [CrossRef]
- Rosenberg, E.; Ron, E.Z. High- and Low-Molecular-Mass Microbial Surfactants. Appl. Microbiol. Biotechnol. 1999, 52, 154–162. [Google Scholar] [CrossRef]
- Drakontis, C.E.; Amin, S. Biosurfactants: Formulations, Properties, and Applications. Curr. Opin. Colloid Interface Sci. 2020, 48, 77–90. [Google Scholar] [CrossRef]
- Jahan, R.; Bodratti, A.M.; Tsianou, M.; Alexandridis, P. Biosurfactants, Natural Alternatives to Synthetic Surfactants: Physicochemical Properties and Applications. Adv. Colloid Interface Sci. 2020, 275, 102061. [Google Scholar] [CrossRef]
- Kashif, A.; Rehman, R.; Fuwad, A.; Shahid, M.K.; Dayarathne, H.N.P.; Jamal, A.; Aftab, M.N.; Mainali, B.; Choi, Y. Current Advances in the Classification, Production, Properties and Applications of Microbial Biosurfactants—A Critical Review. Adv. Colloid Interface Sci. 2022, 306, 102718. [Google Scholar] [CrossRef] [PubMed]
- Bioemulsifiers Derived from Microorganisms: Applications in the Drug and Food Industry. Available online: https://apb.tbzmed.ac.ir/Article/apb-19533 (accessed on 19 December 2022).
- Sałek, K.; Euston, S.R. Sustainable Microbial Biosurfactants and Bioemulsifiers for Commercial Exploitation. Process Biochem. 2019, 85, 143–155. [Google Scholar] [CrossRef]
- Liu, K.; Sun, Y.; Cao, M.; Wang, J.; Lu, J.R.; Xu, H. Rational Design, Properties, and Applications of Biosurfactants: A Short Review of Recent Advances. Curr. Opin. Colloid Interface Sci. 2020, 45, 57–67. [Google Scholar] [CrossRef]
- Liu, G.; Zhong, H.; Yang, X.; Liu, Y.; Shao, B.; Liu, Z. Advances in Applications of Rhamnolipids Biosurfactant in Environmental Remediation: A Review. Biotechnol. Bioeng. 2018, 115, 796–814. [Google Scholar] [CrossRef]
- Varjani, S.J.; Upasani, V.N. Critical Review on Biosurfactant Analysis, Purification and Characterization Using Rhamnolipid as a Model Biosurfactant. Bioresour. Technol. 2017, 232, 389–397. [Google Scholar] [CrossRef] [PubMed]
- Chong, H.; Li, Q. Microbial Production of Rhamnolipids: Opportunities, Challenges and Strategies. Microb. Cell Factories 2017, 16, 137. [Google Scholar] [CrossRef] [PubMed]
- Maier, R.M.; Soberón-Chávez, G. Pseudomonas Aeruginosa Rhamnolipids: Biosynthesis and Potential Applications. Appl. Microbiol. Biotechnol. 2000, 54, 625–633. [Google Scholar] [CrossRef]
- Soberón-Chávez, G.; González-Valdez, A.; Soto-Aceves, M.P.; Cocotl-Yañez, M. Rhamnolipids Produced by Pseudomonas: From Molecular Genetics to the Market. Microb. Biotechnol. 2020, 14, 136–146. [Google Scholar] [CrossRef]
- Abdel-Mawgoud, A.M.; Lépine, F.; Déziel, E. Rhamnolipids: Diversity of Structures, Microbial Origins and Roles. Appl. Microbiol. Biotechnol. 2010, 86, 1323–1336. [Google Scholar] [CrossRef] [PubMed]
- Lang, S. Biological Amphiphiles (Microbial Biosurfactants). Curr. Opin. Colloid Interface Sci. 2002, 7, 12–20. [Google Scholar] [CrossRef]
- Jarvis, F.G.; Johnson, M.J. A Glyco-Lipide Produced by Pseudomonas Aeruginosa. J. Am. Chem. Soc. 1949, 71, 4124–4126. [Google Scholar] [CrossRef]
- Zhong, H.; Zeng, G.M.; Liu, J.X.; Xu, X.M.; Yuan, X.Z.; Fu, H.Y.; Huang, G.H.; Liu, Z.F.; Ding, Y. Adsorption of Monorhamnolipid and Dirhamnolipid on Two Pseudomonas Aeruginosa Strains and the Effect on Cell Surface Hydrophobicity. Appl. Microbiol. Biotechnol. 2008, 79, 671–677. [Google Scholar] [CrossRef]
- Sánchez, M.; Aranda, F.J.; Espuny, M.J.; Marqués, A.; Teruel, J.A.; Manresa, Á.; Ortiz, A. Aggregation Behaviour of a Dirhamnolipid Biosurfactant Secreted by Pseudomonas Aeruginosa in Aqueous Media. J. Colloid Interface Sci. 2007, 307, 246–253. [Google Scholar] [CrossRef]
- Nicolò, M.S.; Cambria, M.G.; Impallomeni, G.; Rizzo, M.G.; Pellicorio, C.; Ballistreri, A.; Guglielmino, S.P.P. Carbon Source Effects on the Mono/Dirhamnolipid Ratio Produced by Pseudomonas Aeruginosa L05, a New Human Respiratory Isolate. New Biotechnol. 2017, 39, 36–41. [Google Scholar] [CrossRef]
- Deepika, K.V.; Ramu Sridhar, P.; Bramhachari, P.V. Characterization and Antifungal Properties of Rhamnolipids Produced by Mangrove Sediment Bacterium Pseudomonas Aeruginosa Strain KVD-HM52. Biocatal. Agric. Biotechnol. 2015, 4, 608–615. [Google Scholar] [CrossRef]
- Guo, Y.-P.; Hu, Y.-Y.; Gu, R.R.; Lin, H. Characterization and Micellization of Rhamnolipidic Fractions and Crude Extracts Produced by Pseudomonas Aeruginosa Mutant MIG-N146. J. Colloid Interface Sci. 2009, 331, 356–363. [Google Scholar] [CrossRef] [PubMed]
- Charles Oluwaseun, A.; Julius Kola, O.; Mishra, P.; Ravinder Singh, J.; Kumar Singh, A.; Singh Cameotra, S.; Oluwasesan Micheal, B. Characterization and Optimization of a Rhamnolipid from Pseudomonas Aeruginosa C1501 with Novel Biosurfactant Activities. Sustain. Chem. Pharm. 2017, 6, 26–36. [Google Scholar] [CrossRef]
- Abdel-Mawgoud, A.M.; Aboulwafa, M.M.; Hassouna, N.A.-H. Characterization of Rhamnolipid Produced by Pseudomonas Aeruginosa Isolate Bs20. Appl. Biochem. Biotechnol. 2009, 157, 329–345. [Google Scholar] [CrossRef]
- Christova, N.; Tuleva, B.; Cohen, R.; Ivanova, G.; Stoev, G.; Stoilova-Disheva, M.; Stoineva, I. Chemical Characterization and Physical and Biological Activities of Rhamnolipids Produced by Pseudomonas Aeruginosa BN10. Z. Nat. C 2011, 66, 394–402. [Google Scholar] [CrossRef]
- Benincasa, M.; Abalos, A.; Oliveira, I.; Manresa, A. Chemical Structure, Surface Properties and Biological Activities of the Biosurfactant Produced by Pseudomonas Aeruginosa LBI from Soapstock. Antonie Leeuwenhoek 2004, 85, 1–8. [Google Scholar] [CrossRef]
- Varjani, S.J.; Upasani, V.N. Core Flood Study for Enhanced Oil Recovery through Ex-Situ Bioaugmentation with Thermo- and Halo-Tolerant Rhamnolipid Produced by Pseudomonas Aeruginosa NCIM 5514. Bioresour. Technol. 2016, 220, 175–182. [Google Scholar] [CrossRef]
- Zhao, F.; Shi, R.; Zhao, J.; Li, G.; Bai, X.; Han, S.; Zhang, Y. Heterologous Production of Pseudomonas Aeruginosa Rhamnolipid under Anaerobic Conditions for Microbial Enhanced Oil Recovery. J. Appl. Microbiol. 2015, 118, 379–389. [Google Scholar] [CrossRef]
- Nitschke, M.; Costa, S.G.V.A.O.; Haddad, R.; Gonçalves, L.A.G.; Eberlin, M.N.; Contiero, J. Oil Wastes as Unconventional Substrates for Rhamnolipid Biosurfactant Production by Pseudomonas Aeruginosa LBI. Biotechnol. Prog. 2005, 21, 1562–1566. [Google Scholar] [CrossRef]
- Zhao, F.; Shi, R.; Ma, F.; Han, S.; Zhang, Y. Oxygen Effects on Rhamnolipids Production by Pseudomonas Aeruginosa. Microb. Cell Factories 2018, 17, 39. [Google Scholar] [CrossRef] [PubMed]
- Abbasi, H.; Noghabi, K.A.; Hamedi, M.M.; Zahiri, H.S.; Moosavi-Movahedi, A.A.; Amanlou, M.; Teruel, J.A.; Ortiz, A. Physicochemical Characterization of a Monorhamnolipid Secreted by Pseudomonas Aeruginosa MA01 in Aqueous Media. An Experimental and Molecular Dynamics Study. Colloids Surf. B Biointerfaces 2013, 101, 256–265. [Google Scholar] [CrossRef]
- Bharali, P.; Konwar, B.K. Production and Physico-Chemical Characterization of a Biosurfactant Produced by Pseudomonas Aeruginosa OBP1 Isolated from Petroleum Sludge. Appl. Biochem. Biotechnol. 2011, 164, 1444–1460. [Google Scholar] [CrossRef] [PubMed]
- Amani, H.; Müller, M.M.; Syldatk, C.; Hausmann, R. Production of Microbial Rhamnolipid by Pseudomonas Aeruginosa MM1011 for Ex Situ Enhanced Oil Recovery. Appl. Biochem. Biotechnol. 2013, 170, 1080–1093. [Google Scholar] [CrossRef] [PubMed]
- Pornsunthorntawee, O.; Chavadej, S.; Rujiravanit, R. Solution Properties and Vesicle Formation of Rhamnolipid Biosurfactants Produced by Pseudomonas Aeruginosa SP4. Colloids Surf. B Biointerfaces 2009, 72, 6–15. [Google Scholar] [CrossRef]
- El-Housseiny, G.S.; Aboshanab, K.M.; Aboulwafa, M.M.; Hassouna, N.A. Structural and Physicochemical Characterization of Rhamnolipids Produced by Pseudomonas Aeruginosa P6. AMB Express 2020, 10, 201. [Google Scholar] [CrossRef]
- Costa, S.G.V.A.O.; Nitschke, M.; Lépine, F.; Déziel, E.; Contiero, J. Structure, Properties and Applications of Rhamnolipids Produced by Pseudomonas Aeruginosa L2-1 from Cassava Wastewater. Process Biochem. 2010, 45, 1511–1516. [Google Scholar] [CrossRef]
- Onbasli, D.; Aslim, B. Biosurfactant Production in Sugar Beet Molasses by Some Pseudomonas spp. J. Environ. Biol. 2009, 30, 161–163. [Google Scholar]
- Gunther, N.W.; Nuñez, A.; Fett, W.; Solaiman, D.K.Y. Production of Rhamnolipids by Pseudomonas Chlororaphis, a Nonpathogenic Bacterium. Appl. Environ. Microbiol. 2005, 71, 2288–2293. [Google Scholar] [CrossRef] [PubMed]
- Gunther, N.W.; Nuñez, A.; Fortis, L.; Solaiman, D.K.Y. Proteomic Based Investigation of Rhamnolipid Production by Pseudomonas Chlororaphis Strain NRRL B-30761. J. Ind. Microbiol. Biotechnol. 2006, 33, 914–920. [Google Scholar] [CrossRef]
- Nayak, A.S.; Vijaykumar, M.H.; Karegoudar, T.B. Characterization of Biosurfactant Produced by Pseudoxanthomonas Sp. PNK-04 and Its Application in Bioremediation. Int. Biodeterior. Biodegrad. 2009, 63, 73–79. [Google Scholar] [CrossRef]
- Rooney, A.P.; Price, N.P.J.; Ray, K.J.; Kuo, T.-M. Isolation and Characterization of Rhamnolipid-Producing Bacterial Strains from a Biodiesel Facility. FEMS Microbiol. Lett. 2009, 295, 82–87. [Google Scholar] [CrossRef]
- Vasileva-Tonkova, E.; Gesheva, V. Biosurfactant Production by Antarctic Facultative Anaerobe Pantoea Sp. during Growth on Hydrocarbons. Curr. Microbiol. 2007, 54, 136–141. [Google Scholar] [CrossRef] [PubMed]
- Hošková, M.; Ježdík, R.; Schreiberová, O.; Chudoba, J.; Šír, M.; Čejková, A.; Masák, J.; Jirků, V.; Řezanka, T. Structural and Physiochemical Characterization of Rhamnolipids Produced by Acinetobacter Calcoaceticus, Enterobacter Asburiae and Pseudomonas Aeruginosa in Single Strain and Mixed Cultures. J. Biotechnol. 2015, 193, 45–51. [Google Scholar] [CrossRef]
- Hošková, M.; Schreiberová, O.; Ježdík, R.; Chudoba, J.; Masák, J.; Sigler, K.; Řezanka, T. Characterization of Rhamnolipids Produced by Non-Pathogenic Acinetobacter and Enterobacter Bacteria. Bioresour. Technol. 2013, 130, 510–516. [Google Scholar] [CrossRef]
- Dubeau, D.; Déziel, E.; Woods, D.E.; Lépine, F. Burkholderia Thailandensis Harbors Two Identical Rhl Gene Clusters Responsible for the Biosynthesis of Rhamnolipids. BMC Microbiol. 2009, 9, 263. [Google Scholar] [CrossRef] [PubMed]
- Andrä, J.; Rademann, J.; Howe, J.; Koch, M.H.J.; Heine, H.; Zähringer, U.; Brandenburg, K. Endotoxin-like Properties of a Rhamnolipid Exotoxin from Burkholderia (Pseudomonas) Plantarii: Immune Cell Stimulation and Biophysical Characterization. Biol. Chem. 2006, 387, 301–310. [Google Scholar] [CrossRef]
- Häußler, S.; Nimtz, M.; Domke, T.; Wray, V.; Steinmetz, I. Purification and Characterization of a Cytotoxic Exolipid of Burkholderia Pseudomallei. Infect. Immun. 1998, 66, 1588–1593. [Google Scholar] [CrossRef] [PubMed]
- Elshikh, M.; Funston, S.; Chebbi, A.; Ahmed, S.; Marchant, R.; Banat, I.M. Rhamnolipids from Non-Pathogenic Burkholderia Thailandensis E264: Physicochemical Characterization, Antimicrobial and Antibiofilm Efficacy against Oral Hygiene Related Pathogens. New Biotechnol. 2017, 36, 26–36. [Google Scholar] [CrossRef]
- Arino, S.; Marchal, R.; Vandecasteele, J.-P. Production of New Extracellular Glycolipids by a Strain of Cellulomonas Cellulans (Oerskovia Xanthineolytica) and Their Structural Characterization. Can. J. Microbiol. 1998, 44, 238–243. [Google Scholar] [CrossRef]
- Christova, N.; Tuleva, B.; Lalchev, Z.; Jordanova, A.; Jordanov, B. Rhamnolipid Biosurfactants Produced by Renibacterium Salmoninarum 27BN during Growth on N-Hexadecane. Z. Nat. C 2004, 59, 70–74. [Google Scholar] [CrossRef] [PubMed]
- Lee, M.; Kim, M.K.; Vancanneyt, M.; Swings, J.; Kim, S.-H.; Kang, M.S.; Lee, S.-T. Tetragenococcus Koreensis Sp. Nov., a Novel Rhamnolipid-Producing Bacterium. Int. J. Syst. Evol. Microbiol. 2005, 55, 1409–1413. [Google Scholar] [CrossRef] [PubMed]
- Vasileva-Tonkova, E.; Gesheva, V. Glycolipids Produced by Antarctic Nocardioides Sp. during Growth on n-Paraffin. Process Biochem. 2005, 40, 2387–2391. [Google Scholar] [CrossRef]
- Roy, S.; Chandni, S.; Das, I.; Karthik, L.; Kumar, G.; Bhaskara Rao, K.V. Aquatic Model for Engine Oil Degradation by Rhamnolipid Producing Nocardiopsis VITSISB. 3Biotech 2015, 5, 153–164. [Google Scholar] [CrossRef]
- Kaczorek, E.; Pacholak, A.; Zdarta, A.; Smułek, W. The Impact of Biosurfactants on Microbial Cell Properties Leading to Hydrocarbon Bioavailability Increase. Colloids Interfaces 2018, 2, 35. [Google Scholar] [CrossRef]
- Sharma, J.; Sundar, D.; Srivastava, P. Biosurfactants: Potential Agents for Controlling Cellular Communication, Motility, and Antagonism. Front. Mol. Biosci. 2021, 8, 727070. [Google Scholar] [CrossRef] [PubMed]
- Chrzanowski, Ł.; Ławniczak, Ł.; Czaczyk, K. Why Do Microorganisms Produce Rhamnolipids? World J. Microbiol. Biotechnol. 2012, 28, 401–419. [Google Scholar] [CrossRef]
- Van Hamme, J.D.; Singh, A.; Ward, O.P. Physiological Aspects: Part 1 in a Series of Papers Devoted to Surfactants in Microbiology and Biotechnology. Biotechnol. Adv. 2006, 24, 604–620. [Google Scholar] [CrossRef]
- Wittgens, A.; Kovacic, F.; Müller, M.M.; Gerlitzki, M.; Santiago-Schübel, B.; Hofmann, D.; Tiso, T.; Blank, L.M.; Henkel, M.; Hausmann, R.; et al. Novel Insights into Biosynthesis and Uptake of Rhamnolipids and Their Precursors. Appl. Microbiol. Biotechnol. 2017, 101, 2865–2878. [Google Scholar] [CrossRef]
- Abalos, A.; Pinazo, A.; Infante, M.R.; Casals, M.; García, F.; Manresa, A. Physicochemical and Antimicrobial Properties of New Rhamnolipids Produced by Pseudomonas a Eruginosa AT10 from Soybean Oil Refinery Wastes. Langmuir 2001, 17, 1367–1371. [Google Scholar] [CrossRef]
- Santos, D.K.F.; Rufino, R.D.; Luna, J.M.; Santos, V.A.; Sarubbo, L.A. Biosurfactants: Multifunctional Biomolecules of the 21st Century. Int. J. Mol. Sci. 2016, 17, 401. [Google Scholar] [CrossRef] [PubMed]
- Déziel, E.; Lépine, F.; Dennie, D.; Boismenu, D.; Mamer, O.A.; Villemur, R. Liquid Chromatography/Mass Spectrometry Analysis of Mixtures of Rhamnolipids Produced by Pseudomonas Aeruginosa Strain 57RP Grown on Mannitol or Naphthalene. Biochim. Biophys. Acta 1999, 1440, 244–252. [Google Scholar] [CrossRef] [PubMed]
- Geys, R.; Soetaert, W.; Van Bogaert, I. Biotechnological Opportunities in Biosurfactant Production. Curr. Opin. Biotechnol. 2014, 30, 66–72. [Google Scholar] [CrossRef]
- Lotfabad, T.B.; Ebadipour, N.; RoostaAzad, R. Evaluation of a Recycling Bioreactor for Biosurfactant Production by Pseudomonas Aeruginosa MR01 Using Soybean Oil Waste. J. Chem. Technol. Biotechnol. 2016, 91, 1368–1377. [Google Scholar] [CrossRef]
- Lang, S.; Wullbrandt, D. Rhamnose Lipids—Biosynthesis, Microbial Production and Application Potential. Appl. Microbiol. Biotechnol. 1999, 51, 22–32. [Google Scholar] [CrossRef] [PubMed]
- Nitschke, M.; Marangon, C.A. Microbial Surfactants in Nanotechnology: Recent Trends and Applications. Crit. Rev. Biotechnol. 2022, 42, 294–310. [Google Scholar] [CrossRef] [PubMed]
- Factors Influencing the Economics of Biosurfactants. Available online: https://www.taylorfrancis.com/chapters/mono/10.1201/9780585355702-22/factors-influencing-economics-biosurfactants-naim-kosaric-fazilet-vardar-sukan (accessed on 19 December 2022).
- Müller, M.M.; Hausmann, R. Regulatory and Metabolic Network of Rhamnolipid Biosynthesis: Traditional and Advanced Engineering towards Biotechnological Production. Appl. Microbiol. Biotechnol. 2011, 91, 251–264. [Google Scholar] [CrossRef]
- Banat, I.M.; Satpute, S.K.; Cameotra, S.S.; Patil, R.; Nyayanit, N.V. Cost Effective Technologies and Renewable Substrates for Biosurfactants’ Production. Front. Microbiol. 2014, 5, 697. [Google Scholar] [CrossRef] [PubMed]
- Moya Ramírez, I.; Altmajer Vaz, D.; Banat, I.M.; Marchant, R.; Jurado Alameda, E.; García Román, M. Hydrolysis of Olive Mill Waste to Enhance Rhamnolipids and Surfactin Production. Bioresour. Technol. 2016, 205, 1–6. [Google Scholar] [CrossRef]
- Gudiña, E.J.; Rodrigues, A.I.; de Freitas, V.; Azevedo, Z.; Teixeira, J.A.; Rodrigues, L.R. Valorization of Agro-Industrial Wastes towards the Production of Rhamnolipids. Bioresour. Technol. 2016, 212, 144–150. [Google Scholar] [CrossRef]
- Gutiérrez-Gómez, U.; Soto-Aceves, M.P.; Servín-González, L.; Soberón-Chávez, G. Overproduction of Rhamnolipids in Pseudomonas Aeruginosa PA14 by Redirection of the Carbon Flux from Polyhydroxyalkanoate Synthesis and Overexpression of the RhlAB-R Operon. Biotechnol. Lett. 2018, 40, 1561–1566. [Google Scholar] [CrossRef] [PubMed]
- Bator, I.; Karmainski, T.; Tiso, T.; Blank, L.M. Killing Two Birds with One Stone—Strain Engineering Facilitates the Development of a Unique Rhamnolipid Production Process. Front. Bioeng. Biotechnol. 2020, 8, 899. [Google Scholar] [CrossRef]
- Tiso, T.; Ihling, N.; Kubicki, S.; Biselli, A.; Schonhoff, A.; Bator, I.; Thies, S.; Karmainski, T.; Kruth, S.; Willenbrink, A.-L.; et al. Integration of Genetic and Process Engineering for Optimized Rhamnolipid Production Using Pseudomonas Putida. Front. Bioeng. Biotechnol. 2020, 8, 976. [Google Scholar] [CrossRef] [PubMed]
- Dobler, L.; Vilela, L.F.; Almeida, R.V.; Neves, B.C. Rhamnolipids in Perspective: Gene Regulatory Pathways, Metabolic Engineering, Production and Technological Forecasting. New Biotechnol. 2016, 33, 123–135. [Google Scholar] [CrossRef]
- Eslami, P.; Hajfarajollah, H.; Bazsefidpar, S. Recent Advancements in the Production of Rhamnolipid Biosurfactants by Pseudomonas Aeruginosa. RSC Adv. 2020, 10, 34014–34032. [Google Scholar] [CrossRef]
- Invally, K.; Sancheti, A.; Ju, L.-K. A New Approach for Downstream Purification of Rhamnolipid Biosurfactants. Food Bioprod. Process. 2019, 114, 122–131. [Google Scholar] [CrossRef]
- Anic, I.; Apolonia, I.; Franco, P.; Wichmann, R. Production of Rhamnolipids by Integrated Foam Adsorption in a Bioreactor System. AMB Express 2018, 8, 122. [Google Scholar] [CrossRef]
- Jadhav, J.; Dutta, S.; Kale, S.; Pratap, A. Fermentative Production of Rhamnolipid and Purification by Adsorption Chromatography. Prep. Biochem. Biotechnol. 2018, 48, 234–241. [Google Scholar] [CrossRef]
- Microbial Biosurfactants. Available online: https://www.marketresearch.com/Global-Industry-Analysts-v1039/Microbial-Biosurfactants-32495863/ (accessed on 20 December 2022).
- Shao, B.; Liu, Z.; Zhong, H.; Zeng, G.; Liu, G.; Yu, M.; Liu, Y.; Yang, X.; Li, Z.; Fang, Z.; et al. Effects of Rhamnolipids on Microorganism Characteristics and Applications in Composting: A Review. Microbiol. Res. 2017, 200, 33–44. [Google Scholar] [CrossRef] [PubMed]
- Inès, M.; Dhouha, G. Glycolipid Biosurfactants: Potential Related Biomedical and Biotechnological Applications. Carbohydr. Res. 2015, 416, 59–69. [Google Scholar] [CrossRef] [PubMed]
- Kitamoto, D.; Morita, T.; Fukuoka, T.; Konishi, M.; Imura, T. Self-Assembling Properties of Glycolipid Biosurfactants and Their Potential Applications. Curr. Opin. Colloid Interface Sci. 2009, 14, 315–328. [Google Scholar] [CrossRef]
- De Almeida, D.G.; Soares Da Silva, R.D.C.F.; Luna, J.M.; Rufino, R.D.; Santos, V.A.; Banat, I.M.; Sarubbo, L.A. Biosurfactants: Promising Molecules for Petroleum Biotechnology Advances. Front. Microbiol. 2016, 7, 1718. [Google Scholar] [CrossRef] [PubMed]
- Adu, S.A.; Naughton, P.J.; Marchant, R.; Banat, I.M. Microbial Biosurfactants in Cosmetic and Personal Skincare Pharmaceutical Formulations. Pharmaceutics 2020, 12, 1099. [Google Scholar] [CrossRef] [PubMed]
- Le Guenic, S.; Chaveriat, L.; Lequart, V.; Joly, N.; Martin, P. Renewable Surfactants for Biochemical Applications and Nanotechnology. J. Surfactants Deterg. 2019, 22, 5–21. [Google Scholar] [CrossRef]
- Srivastava, R.K.; Bothra, N.; Singh, R.; Sai, M.C.; Nedungadi, S.V.; Sarangi, P.K. Microbial Originated Surfactants with Multiple Applications: A Comprehensive Review. Arch Microbiol. 2022, 204, 452. [Google Scholar] [CrossRef]
- Nguyen, T.T.; Sabatini, D.A. Characterization and Emulsification Properties of Rhamnolipid and Sophorolipid Biosurfactants and Their Applications. Int. J. Mol. Sci. 2011, 12, 1232–1244. [Google Scholar] [CrossRef]
- Pornsunthorntawee, O.; Wongpanit, P.; Rujiravanit, R. Rhamnolipid Biosurfactants: Production and Their Potential in Environmental Biotechnology. In Biosurfactants; Sen, R., Ed.; Advances in Experimental Medicine and Biology; Springer: New York, NY, USA, 2010; pp. 211–221. ISBN 978-1-4419-5979-9. [Google Scholar]
- Kumar, R.; Das, A.J. Rhamnolipid Biosurfactant: Recent Trends in Production and Application; Springer: New York, NY, USA, 2018; ISBN 9789811312908. [Google Scholar]
- Kiran, G.S.; Ninawe, A.S.; Lipton, A.N.; Pandian, V.; Selvin, J. Rhamnolipid Biosurfactants: Evolutionary Implications, Applications and Future Prospects from Untapped Marine Resource. Crit. Rev. Biotechnol. 2016, 36, 399–415. [Google Scholar] [CrossRef]
- Nitschke, M.; Costa, S.G.V.A.O.; Contiero, J. Rhamnolipid Surfactants: An Update on the General Aspects of These Remarkable Biomolecules. Biotechnol. Prog. 2005, 21, 1593–1600. [Google Scholar] [CrossRef]
- Chen, J.; Wu, Q.; Hua, Y.; Chen, J.; Zhang, H.; Wang, H. Potential Applications of Biosurfactant Rhamnolipids in Agriculture and Biomedicine. Appl. Microbiol. Biotechnol. 2017, 101, 8309–8319. [Google Scholar] [CrossRef]
- Chebbi, A.; Franzetti, A.; Formicola, F.; Ambaye, T.G.; Gomez, F.H.; Murena, B.; De Marco, E.; Beltrani, T.; Sbaffoni, S.; Vaccari, M. Insights into Rhamnolipid-Based Soil Remediation Technologies by Safe Microorganisms: A Critical Review. J. Clean. Prod. 2022, 367, 133088. [Google Scholar] [CrossRef]
- Long, X.; Zhang, G.; Shen, C.; Sun, G.; Wang, R.; Yin, L.; Meng, Q. Application of Rhamnolipid as a Novel Biodemulsifier for Destabilizing Waste Crude Oil. Bioresour. Technol. 2013, 131, 1–5. [Google Scholar] [CrossRef] [PubMed]
- Suh, S.-J.; Invally, K.; Ju, L.-K. Chapter 5—Rhamnolipids: Pathways, Productivities, and Potential. In Biobased Surfactants, 2nd ed.; Hayes, D.G., Solaiman, D.K.Y., Ashby, R.D., Eds.; AOCS Press: Urbana, IL, USA, 2019; pp. 169–203. ISBN 978-0-12-812705-6. [Google Scholar]
- Thakur, P.; Saini, N.K.; Thakur, V.K.; Gupta, V.K.; Saini, R.V.; Saini, A.K. Rhamnolipid the Glycolipid Biosurfactant: Emerging Trends and Promising Strategies in the Field of Biotechnology and Biomedicine. Microb. Cell Factories 2021, 20, 1. [Google Scholar] [CrossRef] [PubMed]
- Moutinho, L.F.; Moura, F.R.; Silvestre, R.C.; Romão-Dumaresq, A.S. Microbial Biosurfactants: A Broad Analysis of Properties, Applications, Biosynthesis, and Techno-Economical Assessment of Rhamnolipid Production. Biotechnol. Prog. 2021, 37, e3093. [Google Scholar] [CrossRef]
- Whang, L.-M.; Liu, P.-W.G.; Ma, C.-C.; Cheng, S.-S. Application of Biosurfactants, Rhamnolipid, and Surfactin, for Enhanced Biodegradation of Diesel-Contaminated Water and Soil. J. Hazard. Mater. 2008, 151, 155–163. [Google Scholar] [CrossRef]
- Pacwa-Płociniczak, M.; Płaza, G.A.; Piotrowska-Seget, Z.; Cameotra, S.S. Environmental Applications of Biosurfactants: Recent Advances. Int. J. Mol. Sci. 2011, 12, 633–654. [Google Scholar] [CrossRef] [PubMed]
- Patowary, R.; Patowary, K.; Kalita, M.C.; Deka, S. Application of Biosurfactant for Enhancement of Bioremediation Process of Crude Oil Contaminated Soil. Int. Biodeterior. Biodegrad. 2018, 129, 50–60. [Google Scholar] [CrossRef]
- Mulligan, C.N. Recent Advances in the Environmental Applications of Biosurfactants. Curr. Opin. Colloid Interface Sci. 2009, 14, 372–378. [Google Scholar] [CrossRef]
- Sałek, K.; Euston, S.R.; Janek, T. Phase Behaviour, Functionality, and Physicochemical Characteristics of Glycolipid Surfactants of Microbial Origin. Front. Bioeng. Biotechnol. 2022, 10, 816613. [Google Scholar] [CrossRef]
- Herzog, M.; Li, L.; Blesken, C.C.; Welsing, G.; Tiso, T.; Blank, L.M.; Winter, R. Impact of the Number of Rhamnose Moieties of Rhamnolipids on the Structure, Lateral Organization and Morphology of Model Biomembranes. Soft Matter. 2021, 17, 3191–3206. [Google Scholar] [CrossRef]
- Zhang, Y.; Placek, T.L.; Jahan, R.; Alexandridis, P.; Tsianou, M. Rhamnolipid Micellization and Adsorption Properties. Int. J. Mol. Sci. 2022, 23, 11090. [Google Scholar] [CrossRef]
- Zhao, F.; Han, S.; Zhang, Y. Comparative Studies on the Structural Composition, Surface/Interface Activity and Application Potential of Rhamnolipids Produced by Pseudomonas Aeruginosa Using Hydrophobic or Hydrophilic Substrates. Bioresour.Technol. 2020, 295, 122269. [Google Scholar] [CrossRef]
- Abdel-Mawgoud, A.M.; Lépine, F.; Déziel, E. A Stereospecific Pathway Diverts β-Oxidation Intermediates to the Biosynthesis of Rhamnolipid Biosurfactants. Chem. Biol. 2014, 21, 156–164. [Google Scholar] [CrossRef] [PubMed]
- Palos Pacheco, R.; Eismin, R.J.; Coss, C.S.; Wang, H.; Maier, R.M.; Polt, R.; Pemberton, J.E. Synthesis and Characterization of Four Diastereomers of Monorhamnolipids. J. Am. Chem. Soc. 2017, 139, 5125–5132. [Google Scholar] [CrossRef]
- Palos Pacheco, R.; Kegel, L.L.; Pemberton, J.E. Interfacial and Solution Aggregation Behavior of a Series of Bioinspired Rhamnolipid Congeners Rha-C14-C x (x = 6, 8, 10, 12, 14). J. Phys. Chem. B 2021, 125, 13585–13596. [Google Scholar] [CrossRef]
- Lebrón-Paler, A.; Pemberton, J.E.; Becker, B.A.; Otto, W.H.; Larive, C.K.; Maier, R.M. Determination of the Acid Dissociation Constant of the Biosurfactant Monorhamnolipid in Aqueous Solution by Potentiometric and Spectroscopic Methods. Anal. Chem. 2006, 78, 7649–7658. [Google Scholar] [CrossRef] [PubMed]
- Ishigami, Y.; Gama, Y.; Nagahora, H.; Yamaguchi, M.; Nakahara, H.; Kamata, T. The PH-Sensitive Conversion of Molecular Aggregates of Rhamnolipid Biosurfactant. Chem. Lett. 1987, 16, 763–766. [Google Scholar] [CrossRef]
- Mohammed, I.U.; Deeni, Y.; Hapca, S.M.; McLaughlin, K.; Spiers, A.J. Predicting the Minimum Liquid Surface Tension Activity of Pseudomonads Expressing Biosurfactants. Lett. Appl. Microbiol. 2015, 60, 37–43. [Google Scholar] [CrossRef]
- Youssef, N.H.; Duncan, K.E.; Nagle, D.P.; Savage, K.N.; Knapp, R.M.; McInerney, M.J. Comparison of Methods to Detect Biosurfactant Production by Diverse Microorganisms. J. Microbiol. Methods 2004, 56, 339–347. [Google Scholar] [CrossRef]
- Georgiou, G.; Lin, S.-C.; Sharma, M.M. Surface–Active Compounds from Microorganisms. Nat. Biotechnol. 1992, 10, 60–65. [Google Scholar] [CrossRef]
- Das, P.; Yang, X.-P.; Ma, L.Z. Analysis of Biosurfactants from Industrially Viable Pseudomonas Strain Isolated from Crude Oil Suggests How Rhamnolipids Congeners Affect Emulsification Property and Antimicrobial Activity. Front. Microbiol. 2014, 5, 696. [Google Scholar] [CrossRef]
- Del Regno, A.; Warren, P.B.; Bray, D.J.; Anderson, R.L. Critical Micelle Concentrations in Surfactant Mixtures and Blends by Simulation. J. Phys. Chem. B 2021, 125, 5983–5990. [Google Scholar] [CrossRef] [PubMed]
- Vinarov, Z.; Katev, V.; Radeva, D.; Tcholakova, S.; Denkov, N.D. Micellar Solubilization of Poorly Water-Soluble Drugs: Effect of Surfactant and Solubilizate Molecular Structure. Drug Dev. Ind. Pharm. 2018, 44, 677–686. [Google Scholar] [CrossRef] [PubMed]
- Perinelli, D.R.; Cespi, M.; Lorusso, N.; Palmieri, G.F.; Bonacucina, G.; Blasi, P. Surfactant Self-Assembling and Critical Micelle Concentration: One Approach Fits All? Langmuir 2020, 36, 5745–5753. [Google Scholar] [CrossRef]
- Ghosh, S.; Ray, A.; Pramanik, N. Self-Assembly of Surfactants: An Overview on General Aspects of Amphiphiles. Biophys. Chem. 2020, 265, 106429. [Google Scholar] [CrossRef] [PubMed]
- Holmberg, K.; Jönsson, B.; Kronberg, B.; Lindman, B. Surfactants and Polymers in Aqueous Solution, 1st ed.; Wiley: Hoboken, NJ, USA, 2002; ISBN 978-0-471-49883-4. [Google Scholar]
- Kronberg, B.; Holmberg, K. Surface Chemistry of Surfactants and Polymers, 1st ed.; John Wiley & Sons, Ltd.: Hoboken, NJ, USA, 2014. [Google Scholar]
- Zana, R. Critical Micellization Concentration of Surfactants in Aqueous Solution and Free Energy of Micellization. Langmuir 1996, 12, 1208–1211. [Google Scholar] [CrossRef]
- Prosser, A.J.; Franses, E.I. Adsorption and Surface Tension of Ionic Surfactants at the Air–Water Interface: Review and Evaluation of Equilibrium Models. Colloids Surf. A Physicochem. Eng. Asp. 2001, 178, 1–40. [Google Scholar] [CrossRef]
- Mchedlov-Petrossyan, N.O. Adsorption of Ionic Surfactants on Water/Air Interface: One More Transformation of the Gibbs Equation. Surf. Eng. Appl. Electrochem. 2014, 50, 173–182. [Google Scholar] [CrossRef]
- Martínez-Balbuena, L.; Arteaga-Jiménez, A.; Hernández-Zapata, E.; Márquez-Beltrán, C. Applicability of the Gibbs Adsorption Isotherm to the Analysis of Experimental Surface-Tension Data for Ionic and Nonionic Surfactants. Adv. Colloid Interface Sci. 2017, 247, 178–184. [Google Scholar] [CrossRef]
- Bae, S.; Haage, K.; Wantke, K.; Motschmann, H. On the Factor in Gibbs Equation for Ionic Surfactants. J. Phys. Chem. B 1999, 103, 1045–1050. [Google Scholar] [CrossRef]
- Cohen, R.; Exerowa, D. Surface Forces and Properties of Foam Films from Rhamnolipid Biosurfactants. Adv. Colloid Interface Sci. 2007, 134–135, 24–34. [Google Scholar] [CrossRef]
- Twigg, M.S.; Tripathi, L.; Zompra, A.; Salek, K.; Irorere, V.U.; Gutierrez, T.; Spyroulias, G.A.; Marchant, R.; Banat, I.M. Identification and Characterisation of Short Chain Rhamnolipid Production in a Previously Uninvestigated, Non-Pathogenic Marine Pseudomonad. Appl. Microbiol. Biotechnol. 2018, 102, 8537–8549. [Google Scholar] [CrossRef]
- Hung, H.; Shreve, G.S. Effect of the Hydrocarbon Phase on Interfacial and Thermodynamic Properties of Two Anionic Glycolipid Biosurfactants in Hydrocarbon/Water Systems. J. Phys. Chem. B 2001, 105, 12596–12600. [Google Scholar] [CrossRef]
- Tripathi, L.; Twigg, M.S.; Zompra, A.; Salek, K.; Irorere, V.U.; Gutierrez, T.; Spyroulias, G.A.; Marchant, R.; Banat, I.M. Biosynthesis of Rhamnolipid by a Marinobacter Species Expands the Paradigm of Biosurfactant Synthesis to a New Genus of the Marine Microflora. Microb. Cell Factories 2019, 18, 164. [Google Scholar] [CrossRef] [PubMed]
- Wu, L.; Lai, L.; Lu, Q.; Mei, P.; Wang, Y.; Cheng, L.; Liu, Y. Comparative Studies on the Surface/Interface Properties and Aggregation Behavior of Mono-Rhamnolipid and Di-Rhamnolipid. Colloids Surf. B Biointerfaces 2019, 181, 593–601. [Google Scholar] [CrossRef]
- Özdemir, G.; Peker, S.; Helvaci, S.S. Effect of PH on the Surface and Interfacial Behavior of Rhamnolipids R1 and R2. Colloids Surf. A Physicochem. Eng. Asp. 2004, 234, 135–143. [Google Scholar] [CrossRef]
- Helvacı, Ş.Ş.; Peker, S.; Özdemir, G. Effect of Electrolytes on the Surface Behavior of Rhamnolipids R1 and R2. Colloids Surf. B Biointerfaces 2004, 35, 225–233. [Google Scholar] [CrossRef]
- Peker, S.; Helvacı, Ş.; Özdemir, G. Interface—Subphase Interactions of Rhamnolipids in Aqueous Rhamnose Solutions. Langmuir 2003, 19, 5838–5845. [Google Scholar] [CrossRef]
- Eismin, R.J.; Munusamy, E.; Kegel, L.L.; Hogan, D.E.; Maier, R.M.; Schwartz, S.D.; Pemberton, J.E. Evolution of Aggregate Structure in Solutions of Anionic Monorhamnolipids: Experimental and Computational Results. Langmuir 2017, 33, 7412–7424. [Google Scholar] [CrossRef]
- Chen, M.L.; Penfold, J.; Thomas, R.K.; Smyth, T.J.P.; Perfumo, A.; Marchant, R.; Banat, I.M.; Stevenson, P.; Parry, A.; Tucker, I.; et al. Solution Self-Assembly and Adsorption at the Air–Water Interface of the Monorhamnose and Dirhamnose Rhamnolipids and Their Mixtures. Langmuir 2010, 26, 18281–18292. [Google Scholar] [CrossRef]
- Chen, M.L.; Penfold, J.; Thomas, R.K.; Smyth, T.J.P.; Perfumo, A.; Marchant, R.; Banat, I.M.; Stevenson, P.; Parry, A.; Tucker, I.; et al. Mixing Behavior of the Biosurfactant, Rhamnolipid, with a Conventional Anionic Surfactant, Sodium Dodecyl Benzene Sulfonate. Langmuir 2010, 26, 17958–17968. [Google Scholar] [CrossRef]
- Mańko, D.; Zdziennicka, A.; Jańczuk, B. Thermodynamic Properties of Rhamnolipid Micellization and Adsorption. Colloids Surf. B Biointerfaces 2014, 119, 22–29. [Google Scholar] [CrossRef]
- Zhong, H.; Yang, L.; Yang, X.; Zeng, G.; Liu, Z.; Liu, Y.; Yuan, X. Aggregation of Low-Concentration Dirhamnolipid Biosurfactant in Electrolyte Solution. RSC Adv. 2015, 5, 88578–88582. [Google Scholar] [CrossRef]
- İkizler, B.; Arslan, G.; Kipcak, E.; Dirik, C.; Çelenk, D.; Aktuğlu, T.; Helvacı, Ş.Ş.; Peker, S. Surface Adsorption and Spontaneous Aggregation of Rhamnolipid Mixtures in Aqueous Solutions. Colloids Surf. A Physicochem. Eng. Asp. 2017, 519, 125–136. [Google Scholar] [CrossRef]
- Ishigami, Y.; Gama, Y.; Ishii, F.; Choi, Y.K. Colloid Chemical Effect of Polar Head Moieties of a Rhamnolipid-Type Biosurfactant. Langmuir 1993, 9, 1634–1636. [Google Scholar] [CrossRef]
- De Castro, C.; Klose, T.; Speciale, I.; Lanzetta, R.; Molinaro, A.; Van Etten, J.L.; Rossmann, M.G. Structure of the Chlorovirus PBCV-1 Major Capsid Glycoprotein Determined by Combining Crystallographic and Carbohydrate Molecular Modeling Approaches. Proc. Natl. Acad. Sci. USA 2018, 115, E44–E52. [Google Scholar] [CrossRef]
- Fuguet, E.; Ràfols, C.; Rosés, M.; Bosch, E. Critical Micelle Concentration of Surfactants in Aqueous Buffered and Unbuffered Systems. Anal. Chim. Acta 2005, 548, 95–100. [Google Scholar] [CrossRef]
- Dutkiewicz, E.; Jakubowska, A. Effect of Electrolytes on the Physicochemical Behaviour of Sodium Dodecyl Sulphate Micelles. Colloid Polym. Sci. 2002, 280, 1009–1014. [Google Scholar] [CrossRef]
- Naskar, B.; Dey, A.; Moulik, S.P. Counter-Ion Effect on Micellization of Ionic Surfactants: A Comprehensive Understanding with Two Representatives, Sodium Dodecyl Sulfate (SDS) and Dodecyltrimethylammonium Bromide (DTAB). J. Surfactants Deterg. 2013, 16, 785–794. [Google Scholar] [CrossRef]
- Santos, F.K.G.; Neto, E.L.B.; Moura, M.C.P.A.; Dantas, T.N.C.; Neto, A.A.D. Molecular Behavior of Ionic and Nonionic Surfactants in Saline Medium. Colloids Surf. A Physicochem. Eng. Asp. 2009, 333, 156–162. [Google Scholar] [CrossRef]
- Eastoe, J.; Nave, S.; Downer, A.; Paul, A.; Rankin, A.; Tribe, K.; Penfold, J. Adsorption of Ionic Surfactants at the Air—Solution Interface. Langmuir 2000, 16, 4511–4518. [Google Scholar] [CrossRef]
- Munusamy, E.; Luft, C.M.; Pemberton, J.E.; Schwartz, S.D. Unraveling the Differential Aggregation of Anionic and Nonionic Monorhamnolipids at Air–Water and Oil–Water Interfaces: A Classical Molecular Dynamics Simulation Study. J. Phys. Chem. B 2018, 122, 6403–6416. [Google Scholar] [CrossRef]
- Wang, H.; Coss, C.S.; Mudalige, A.; Polt, R.L.; Pemberton, J.E. A PM-IRRAS Investigation of Monorhamnolipid Orientation at the Air–Water Interface. Langmuir 2013, 29, 4441–4450. [Google Scholar] [CrossRef] [PubMed]
- Luft, C.M.; Munusamy, E.; Pemberton, J.E.; Schwartz, S.D. A Classical Molecular Dynamics Simulation Study of Interfacial and Bulk Solution Aggregation Properties of Dirhamnolipids. J. Phys. Chem. B 2020, 124, 814–827. [Google Scholar] [CrossRef]
- Euston, S.R.; Banat, I.M.; Salek, K. Congener-Dependent Conformations of Isolated Rhamnolipids at the Vacuum-Water Interface: A Molecular Dynamics Simulation. J. Colloid Interface Sci. 2021, 585, 148–157. [Google Scholar] [CrossRef] [PubMed]
- Söderman, O.; Johansson, I. Polyhydroxyl-Based Surfactants and Their Physico-Chemical Properties and Applications. Curr. Opin. Colloid Interface Sci. 1999, 4, 391–401. [Google Scholar] [CrossRef]
- Imura, T.; Hikosaka, Y.; Worakitkanchanakul, W.; Sakai, H.; Abe, M.; Konishi, M.; Minamikawa, H.; Kitamoto, D. Aqueous-Phase Behavior of Natural Glycolipid Biosurfactant Mannosylerythritol Lipid A: Sponge, Cubic, and Lamellar Phases. Langmuir 2007, 23, 1659–1663. [Google Scholar] [CrossRef]
- Israelachvili, J.N.; Mitchell, D.J.; Ninham, B.W. Theory of Self-Assembly of Hydrocarbon Amphiphiles into Micelles and Bilayers. J. Chem. Soc. Faraday Trans. 2 1976, 72, 1525–1568. [Google Scholar] [CrossRef]
- Nagarajan, R. Molecular Packing Parameter and Surfactant Self-Assembly: The Neglected Role of the Surfactant Tail. Langmuir 2002, 18, 31–38. [Google Scholar] [CrossRef]
- Srinivasan, V.; Blankschtein, D. Effect of Counterion Binding on Micellar Solution Behavior: 2. Prediction of Micellar Solution Properties of Ionic Surfactant−Electrolyte Systems. Langmuir 2003, 19, 9946–9961. [Google Scholar] [CrossRef]
- Nagarajan, R. Constructing a Molecular Theory of Self-Assembly: Interplay of Ideas from Surfactants and Block Copolymers. Adv. Colloid Interface Sci. 2017, 244, 113–123. [Google Scholar] [CrossRef] [PubMed]
- Rodrigues, A.I.; Gudiña, E.J.; Teixeira, J.A.; Rodrigues, L.R. Sodium Chloride Effect on the Aggregation Behaviour of Rhamnolipids and Their Antifungal Activity. Sci. Rep. 2017, 7, 12907. [Google Scholar] [CrossRef]
- Champion, J.T.; Gilkey, J.C.; Lamparski, H.; Retterer, J.; Miller, R.M. Electron Microscopy of Rhamnolipid (Biosurfactant) Morphology: Effects of PH, Cadmium, and Octadecane. J. Colloid Interface Sci. 1995, 170, 569–574. [Google Scholar] [CrossRef]
- Chen, M.; Dong, C.; Penfold, J.; Thomas, R.K.; Smyth, T.J.P.; Perfumo, A.; Marchant, R.; Banat, I.M.; Stevenson, P.; Parry, A.; et al. Influence of Calcium Ions on Rhamnolipid and Rhamnolipid/Anionic Surfactant Adsorption and Self-Assembly. Langmuir 2013, 29, 3912–3923. [Google Scholar] [CrossRef]
- Arabadzhieva, D.; Soklev, B.; Mileva, E. Amphiphilic Nanostructures in Aqueous Solutions of Triethyleneglycol Monododecyl Ether. Colloids Surf. A Physicochem. Eng. Asp. 2013, 419, 194–200. [Google Scholar] [CrossRef]
- Lee, Y.-C.; Liu, H.-S.; Lin, S.-Y.; Huang, H.-F.; Wang, Y.-Y.; Chou, L.-W. An Observation of the Coexistence of Multimers and Micelles in a Nonionic Surfactant C10E4 Solution by Dynamic Light Scattering. J. Chin. Inst. Chem. Eng. 2008, 39, 75–83. [Google Scholar] [CrossRef]
- LeBard, D.N.; Levine, B.G.; DeVane, R.; Shinoda, W.; Klein, M.L. Premicelles and Monomer Exchange in Aqueous Surfactant Solutions above and below the Critical Micelle Concentration. Chem. Phys. Lett. 2012, 522, 38–42. [Google Scholar] [CrossRef]
- D’Errico, G.; Ortona, O.; Paduano, L.; Vitagliano, V. Transport Properties of Aqueous Solutions of Alkyltrimethylammonium Bromide Surfactants at 25 Degrees C. J. Colloid Interface Sci. 2001, 239, 264–271. [Google Scholar] [CrossRef] [PubMed]
- Ambrosone, L.; Costantino, L.; D’errico, G.; Vitagliano, V. Thermodynamic and Dynamic Properties of Micellar Aggregates of Nonionic Surfactants with Short Hydrophobic Tails. J. Colloid Interface Sci. 1997, 190, 286–293. [Google Scholar] [CrossRef] [PubMed]
- Hayter, J.B.; Penfold, J. Determination of Micelle Structure and Charge by Neutron Small-Angle Scattering. Colloid Polym. Sci. 1983, 261, 1022–1030. [Google Scholar] [CrossRef]
- Janek, T.; Krasowska, A.; Czyżnikowska, Ż.; Łukaszewicz, M. Trehalose Lipid Biosurfactant Reduces Adhesion of Microbial Pathogens to Polystyrene and Silicone Surfaces: An Experimental and Computational Approach. Front. Microbiol. 2018, 9, 2441. [Google Scholar] [CrossRef] [PubMed]
- Kuddushi, M.; Kumar, A.; Ray, D.; Aswal, V.K.; El Seoud, O.A.; Malek, N.I. Concentration- and Temperature-Responsive Reversible Transition in Amide-Functionalized Surface-Active Ionic Liquids: Micelles to Vesicles to Organogel. ACS Omega 2020, 5, 24272–24284. [Google Scholar] [CrossRef] [PubMed]
- Sun, Y.; Zhu, K.; Zhou, J.; Zhang, Y.; Di Serio, M.; Yang, X.; Li, Y. Concentration-Induced Micelle-to-Vesicle Transitions in Aqueous Sodium Ricinate Branched Polyoxyethylene Ether Solutions. J. Dispers. Sci. Technol. 2021, 42, 1099–1105. [Google Scholar] [CrossRef]
- Jiang, Z.; Liu, J.; Sun, K.; Dong, J.; Li, X.; Mao, S.; Du, Y.; Liu, M. PH- and Concentration-Induced Micelle-to-Vesicle Transitions in Pyrrolidone-Based Gemini Surfactants. Colloid Polym. Sci. 2014, 292, 739–747. [Google Scholar] [CrossRef]
- Zhai, L.; Zhang, J.; Shi, Q.; Chen, W.; Zhao, M. Transition from Micelle to Vesicle in Aqueous Mixtures of Anionic/Zwitterionic Surfactants Studied by Fluorescence, Conductivity, and Turbidity Methods. J. Colloid Interface Sci. 2005, 284, 698–703. [Google Scholar] [CrossRef]
- Yin, H.; Zhou, Z.; Huang, J.; Zheng, R.; Zhang, Y. Temperature-Induced Micelle to Vesicle Transition in the Sodium Dodecylsulfate/Dodecyltriethylammonium Bromide System. Angew. Chem. Int. Ed. 2003, 42, 2188–2191. [Google Scholar] [CrossRef]
- Yin, H.; Huang, J.; Lin, Y.; Zhang, Y.; Qiu, S.; Ye, J. Heating-Induced Micelle to Vesicle Transition in the Cationic—Anionic Surfactant Systems: Comprehensive Study and Understanding. J. Phys. Chem. B 2005, 109, 4104–4110. [Google Scholar] [CrossRef] [PubMed]
- Kroll, P.; Benke, J.; Enders, S.; Brandenbusch, C.; Sadowski, G. Influence of Temperature and Concentration on the Self-Assembly of Nonionic CiEj Surfactants: A Light Scattering Study. ACS Omega 2022, 7, 7057–7065. [Google Scholar] [CrossRef] [PubMed]
- Islam, N.; Kato, T. Influence of Temperature and Headgroup Size on Condensed-Phase Patterns in Langmuir Monolayers of Some Oxyethylenated Nonionic Surfactants. Langmuir 2005, 21, 2419–2424. [Google Scholar] [CrossRef] [PubMed]
- Baccile, N.; Cuvier, A.-S.; Prévost, S.; Stevens, C.V.; Delbeke, E.; Berton, J.; Soetaert, W.; Van Bogaert, I.N.A.; Roelants, S. Self-Assembly Mechanism of PH-Responsive Glycolipids: Micelles, Fibers, Vesicles, and Bilayers. Langmuir 2016, 32, 10881–10894. [Google Scholar] [CrossRef]
- Zaru, M.; Sinico, C.; De Logu, A.; Caddeo, C.; Lai, F.; Manca, M.L.; Fadda, A.M. Rifampicin-Loaded Liposomes for the Passive Targeting to Alveolar Macrophages: In Vitro and in Vivo Evaluation. J. Liposome Res. 2009, 19, 68–76. [Google Scholar] [CrossRef] [PubMed]
- Bellare, J.R.; Davis, H.T.; Miller, W.G.; Scriven, L.E. Polarized Optical Microscopy of Anisotropic Media: Imaging Theory and Simulation. J. Colloid Interface Sci. 1990, 136, 305–326. [Google Scholar] [CrossRef]
- Horbaschek, K.; Hoffmann, H.; Thunig, C. Formation and Properties of Lamellar Phases in Systems of Cationic Surfactants and Hydroxy-Naphthoate. J. Colloid Interface Sci. 1998, 206, 439–456. [Google Scholar] [CrossRef] [PubMed]
- Makai, M.; Csányi, E.; Németh, Z.; Pálinkás, J.; Erős, I. Structure and Drug Release of Lamellar Liquid Crystals Containing Glycerol. Int. J. Pharm. 2003, 256, 95–107. [Google Scholar] [CrossRef]
- Russo Krauss, I.; Imperatore, R.; De Santis, A.; Luchini, A.; Paduano, L.; D’Errico, G. Structure and Dynamics of Cetyltrimethylammonium Chloride-Sodium Dodecylsulfate (CTAC-SDS) Catanionic Vesicles: High-Value Nano-Vehicles from Low-Cost Surfactants. J. Colloid Interf Sci. 2017, 501, 112–122. [Google Scholar] [CrossRef] [PubMed]
- Munusamy, E.; Luft, C.M.; Pemberton, J.E.; Schwartz, S.D. Structural Properties of Nonionic Monorhamnolipid Aggregates in Water Studied by Classical Molecular Dynamics Simulations. J. Phys. Chem. B 2017, 121, 5781–5793. [Google Scholar] [CrossRef] [PubMed]
- Kirkpatrick, S.; Gelatt, C.D.; Vecchi, M.P. Optimization by Simulated Annealing. Science 1983, 220, 671–680. [Google Scholar] [CrossRef] [PubMed]
- Sanchez-Fernandez, A.; Hammond, O.S.; Jackson, A.J.; Arnold, T.; Doutch, J.; Edler, K.J. Surfactant–Solvent Interaction Effects on the Micellization of Cationic Surfactants in a Carboxylic Acid-Based Deep Eutectic Solvent. Langmuir 2017, 33, 14304–14314. [Google Scholar] [CrossRef]
- Mańko, D.; Zdziennicka, A.; Jańczuk, B. Adsorption and Aggregation Activity of Sodium Dodecyl Sulfate and Rhamnolipid Mixture. J. Surfactants Deterg. 2017, 20, 411–423. [Google Scholar] [CrossRef]
- Esposito, R.; Ingenito, L.; Cavasso, D.; Siciliano, A.; Alfieri, M.L.; Chiappisi, L.; Fragneto, G.; Ottaviani, M.F.; Guida, M.; Paduano, L.; et al. Rhamnolipid–SLES Aqueous Mixtures: From the Molecular Self-Aggregation to the Functional and Ecotoxicological Properties. J. Mol. Liq. 2022, 367, 120547. [Google Scholar] [CrossRef]
- Song, D.; Li, Y.; Liang, S.; Wang, J. Micelle Behaviors of Sophorolipid/Rhamnolipid Binary Mixed Biosurfactant Systems. Colloids Surf. A Physicochem. Eng. Asp. 2013, 436, 201–206. [Google Scholar] [CrossRef]
- Haidar, C.N.; Martini, G.; Pellegrini Malpiedi, L.; Nerli, B.B. Rhamnolipids Biosurfactants as Potential Modulators of Phase and Partitioning Behavior in Micellar Systems of Aliphatic Alcohol Ethoxylate Surfactants. J. Mol. Liq. 2020, 309, 113125. [Google Scholar] [CrossRef]
- Liu, J.; Wang, Y.; Li, H. Synergistic Solubilization of Phenanthrene by Mixed Micelles Composed of Biosurfactants and a Conventional Non-Ionic Surfactant. Molecules 2020, 25, 4327. [Google Scholar] [CrossRef] [PubMed]
- Rekiel, E.; Zdziennicka, A.; Szymczyk, K.; Jańczuk, B. Thermodynamic Analysis of the Adsorption and Micellization Activity of the Mixtures of Rhamnolipid and Surfactin with Triton X-165. Molecules 2022, 27, 3600. [Google Scholar] [CrossRef] [PubMed]
- Phaodee, P.; Sabatini, D.A. Anionic and Cationic Surfactant Synergism: Minimizing Precipitation, Microemulsion Formation, and Enhanced Solubilization and Surface Modification. J. Surfactants Deterg. 2021, 24, 551–562. [Google Scholar] [CrossRef]
- Xu, J.; Sun, S.; Wang, Z.; Peng, S.; Hu, S.; Zhang, L. PH-Induced Evolution of Surface Patterns in Micelles Assembled from Dirhamnolipids: Dissipative Particle Dynamics Simulation. Phys. Chem. Chem. Phys. 2018, 20, 9460–9470. [Google Scholar] [CrossRef]
- Safinya, C.R.; Radler, J. (Eds.) Handbook of Lipid Membranes: Molecular, Functional, and Materials Aspects; CRC Press: Boca Raton, FL, USA, 2021; ISBN 978-0-429-19407-8. [Google Scholar]
- Khunpetch, P.; Majee, A.; Podgornik, R. Curvature Effects in Charge-Regulated Lipid Bilayers. Soft Matter 2022, 18, 2597–2610. [Google Scholar] [CrossRef] [PubMed]
- Hossein, A.; Deserno, M. Spontaneous Curvature, Differential Stress, and Bending Modulus of Asymmetric Lipid Membranes. Biophys. J. 2020, 118, 624–642. [Google Scholar] [CrossRef]
- Zhou, Y.; Pellouchoud, L.A.; Reed, E.J. The Potential for Fast van Der Waals Computations for Layered Materials Using a Lifshitz Model. 2D Mater. 2017, 4, 025005. [Google Scholar] [CrossRef]
- Fabozzi, A.; Russo Krauss, I.; Vitiello, R.; Fornasier, M.; Sicignano, L.; King, S.; Guido, S.; Jones, C.; Paduano, L.; Murgia, S.; et al. Branched Alkyldimethylamine Oxide Surfactants: An Effective Strategy for the Design of High Concentration/Low Viscosity Surfactant Formulations. J. Colloid Interface Sci. 2019, 552, 448–463. [Google Scholar] [CrossRef]
- Russo Krauss, I.; Cavasso, D.; Ciccarelli, D.; Heenan, R.K.; Ortona, O.; D’Errico, G.; Paduano, L. A Hofmeister Series Perspective on the Mixed Micellization of Cationic and Non-Ionic Surfactants. J. Mol. Liq. 2021, 335, 116205. [Google Scholar] [CrossRef]
- Okur, H.I.; Hladílková, J.; Rembert, K.B.; Cho, Y.; Heyda, J.; Dzubiella, J.; Cremer, P.S.; Jungwirth, P. Beyond the Hofmeister Series: Ion-Specific Effects on Proteins and Their Biological Functions. J. Phys. Chem. B 2017, 121, 1997–2014. [Google Scholar] [CrossRef] [PubMed]
- Vlachy, N.; Jagoda-Cwiklik, B.; Vácha, R.; Touraud, D.; Jungwirth, P.; Kunz, W. Hofmeister Series and Specific Interactions of Charged Headgroups with Aqueous Ions. Adv. Colloid Interface Sci. 2009, 146, 42–47. [Google Scholar] [CrossRef] [PubMed]
- Kang, B.; Tang, H.; Zhao, Z.; Song, S. Hofmeister Series: Insights of Ion Specificity from Amphiphilic Assembly and Interface Property. ACS Omega 2020, 5, 6229–6239. [Google Scholar] [CrossRef]
- Gregory, K.P.; Elliott, G.R.; Robertson, H.; Kumar, A.; Wanless, E.J.; Webber, G.B.; Craig, V.S.J.; Andersson, G.G.; Page, A.J. Understanding Specific Ion Effects and the Hofmeister Series. Phys. Chem. Chem. Phys. 2022, 24, 12682–12718. [Google Scholar] [CrossRef] [PubMed]
- Ivanov, I.B.; Slavchov, R.I.; Basheva, E.S.; Sidzhakova, D.; Karakashev, S.I. Hofmeister Effect on Micellization, Thin Films and Emulsion Stability. Adv. Colloid Interface Sci. 2011, 168, 93–104. [Google Scholar] [CrossRef]
- Budroni, M.A.; Rossi, F.; Marchettini, N.; Wodlei, F.; Lo Nostro, P.; Rustici, M. Hofmeister Effect in Self-Organized Chemical Systems. J. Phys. Chem. B 2020, 124, 9658–9667. [Google Scholar] [CrossRef] [PubMed]
- Parsons, D.F.; Salis, A. Hofmeister Effects at Low Salt Concentration Due to Surface Charge Transfer. Curr. Opin. Colloid Interface Sci. 2016, 23, 41–49. [Google Scholar] [CrossRef]
- Salis, A.; Ninham, B.W. Models and Mechanisms of Hofmeister Effects in Electrolyte Solutions, and Colloid and Protein Systems Revisited. Chem. Soc. Rev. 2014, 43, 7358–7377. [Google Scholar] [CrossRef]
- Pollard, T.P.; Beck, T.L. Toward a Quantitative Theory of Hofmeister Phenomena: From Quantum Effects to Thermodynamics. Curr. Opin. Colloid Interface Sci. 2016, 23, 110–118. [Google Scholar] [CrossRef]
Disclaimer/Publisher’s Note: The statements, opinions and data contained in all publications are solely those of the individual author(s) and contributor(s) and not of MDPI and/or the editor(s). MDPI and/or the editor(s) disclaim responsibility for any injury to people or property resulting from any ideas, methods, instructions or products referred to in the content. |
© 2023 by the authors. Licensee MDPI, Basel, Switzerland. This article is an open access article distributed under the terms and conditions of the Creative Commons Attribution (CC BY) license (https://creativecommons.org/licenses/by/4.0/).



