Research on the Electron Structure and Antimicrobial Properties of Mandelic Acid and Its Alkali Metal Salts
Abstract
:1. Introduction
2. Results and Discussion
2.1. IR and Raman Spectroscopy
2.2. NMR Study
2.2.1. 1H NMR
2.2.2. 13C NMR
2.3. Theoretical Computations
2.3.1. Structures and Aromaticity
2.3.2. Natural Bond Orbital (NBO)
2.3.3. Energy of HOMO and LUMO Orbitals and Reactivity Descriptors
2.3.4. Electrostatic Potential Map
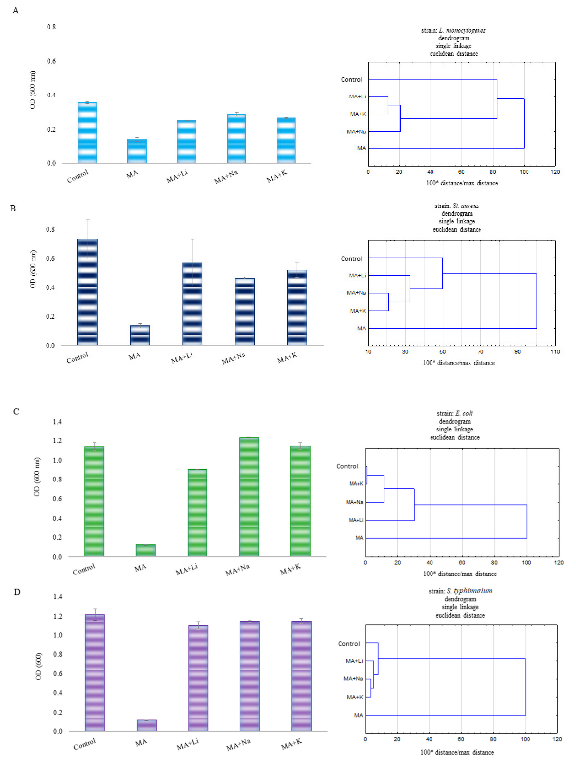
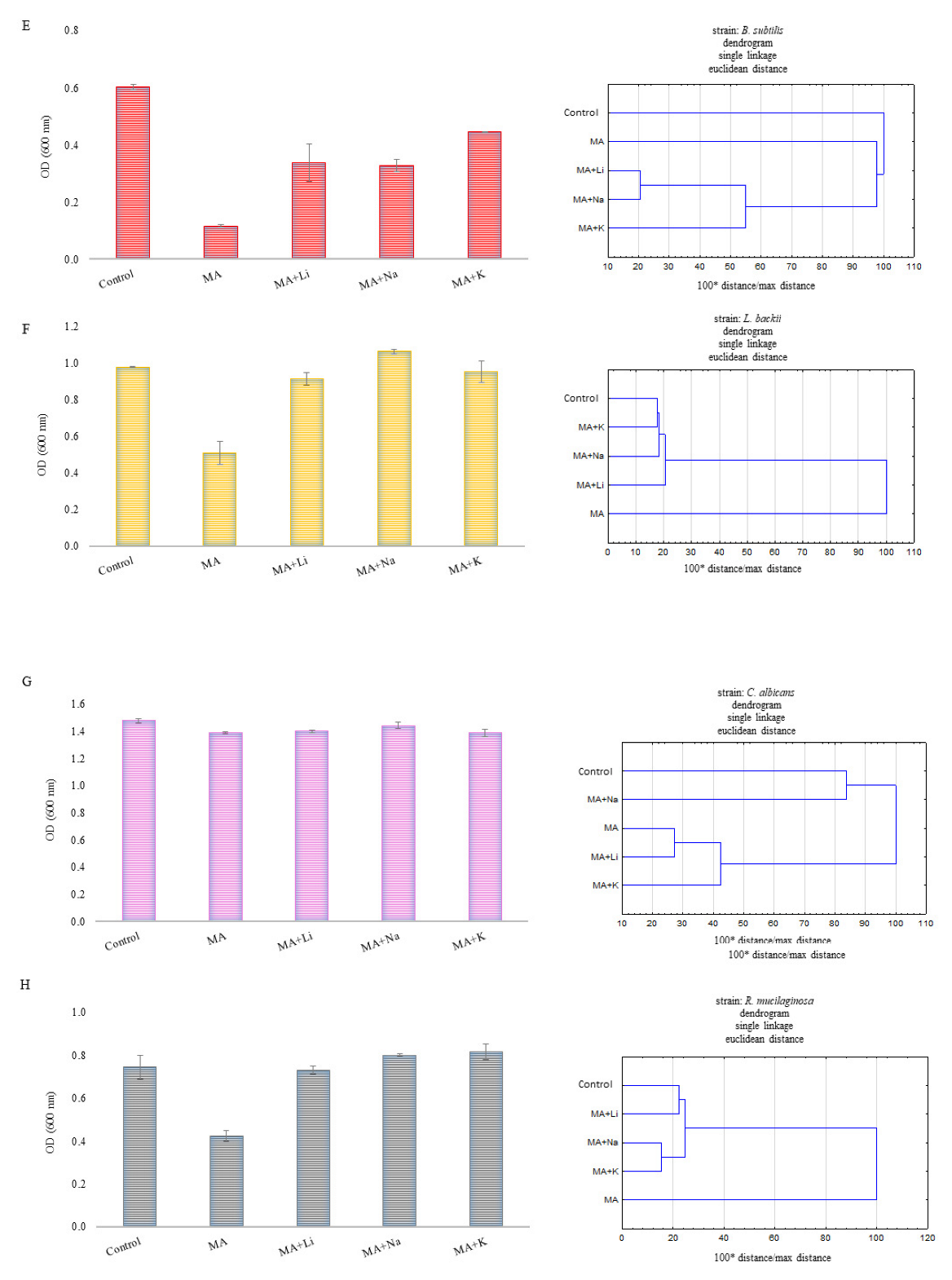
2.4. Antimicrobial Study
3. Materials and Methods
3.1. Synthesis
3.2. Spectroscopic Study
3.3. Theoretical Computations
3.4. Antimicrobial Study
3.4.1. Preparation of the Inoculum
3.4.2. Preparation of Almond Acid and Its Derivatives for Antimicrobial Activity Test
3.4.3. Bioscreen C Pro Device
3.4.4. Minimum Inhibitory Concentration (MIC) and Minimal Bactericidal Concentration (MBC)/Minimal Fungicidal Concentration (MFC)
3.4.5. Growth Characteristics of the Tested Strains
3.4.6. Statistical Analysis
4. Conclusions
Supplementary Materials
Author Contributions
Funding
Institutional Review Board Statement
Informed Consent Statement
Data Availability Statement
Conflicts of Interest
References
- Piper, J.D.; Piper, P.W. Benzoate and sorbate salts: A systematic review of the potential hazards of these invaluable preservatives and the expanding spectrum of clinical uses for sodium benzoate. Compr. Rev. Food Sci. Food Saf. 2017, 16, 868–880. [Google Scholar] [CrossRef]
- Zengin, N.; Yüzbaşıoğlu, D.; Ünal, F.; Yılmaz, S.; Aksoy, H. The evaluation of the genotoxicity of two food preservatives: Sodium benzoate and potassium benzoate. Food Chem. Toxicol. 2011, 49, 763–769. [Google Scholar] [CrossRef]
- Chipley, J.R. Sodium benzoate and benzoic acid. In Antimicrobials in food, 4th ed.; CRC Press: Boca Raton, FL, USA, 2020; pp. 41–88. [Google Scholar]
- Khoshnoud, M.J.; Siavashpour, A.; Bakhshizadeh, M.; Rashedinia, M. Effects of sodium benzoate, a commonly used food preservative, on learning, memory, and oxidative stress in brain of mice. J. Biochem. Mol. Toxicol. 2018, 32, e22022. [Google Scholar] [CrossRef]
- Dębowska, R.M.; Kaszuba, A.; Michalak, I.; Dzwigałowska, A.; Cieścińska, C.; Jakimiuk, E.; Zielińska, J.; Kaszuba, A. Evaluation of the efficacy and tolerability of mandelic acid-containing cosmetic formulations for acne skin care. Dermatol. Rev. 2015, 102, 316–321. [Google Scholar] [CrossRef]
- Choińska, R.; Dąbrowska, K.; Świsłocka, R.; Lewandowski, W.; Świergiel, A.H. Antimicrobial properties of mandelic acid, gallic acid and their derivatives. Mini Rev. Med. Chem. 2021, 21, 2544–2550. [Google Scholar] [CrossRef] [PubMed]
- Matejczyk, M.; Ofman, P.; Świsłocka, R.; Parcheta, M.; Lewandowski, W. The study of biological activity of mandelic acid and its alkali metal salts in wastewaters. Environ. Res. 2022, 205, 112429. [Google Scholar] [CrossRef] [PubMed]
- Wang, Q.; Geng, S.; Wang, L.; Wen, Z.; Sun, X.; Huang, H. Bacterial mandelic acid degradation pathway and its application in biotechnology. J. Appl. Microbiol. 2022, 133, 273–286. [Google Scholar] [CrossRef]
- Saehuan, C.; Pinitchun, C.; Yimsiri, P. Antibacterial Activity of Mandelic Acid Against Klebsiellae Pneumoniae ATCC BAA-1705 Causing Skin Infection. J. Nurs. Health Sci. 2022, 16, 1–12. [Google Scholar]
- Motamedifar, M.; Bazargani, A.; Sarai, E.; Sedigh, H. Antimicrobial Activity of Mandelic Acid Against Methicillin-Resistant Staphylococcus aureus: A Novel Finding with Important Practical Implications. World Appl. Sci. J. 2014, 31, 925–929. [Google Scholar]
- Martinkova, L.; Kren, V. Biocatalytic production of mandelic acid and analogues; a review and comparision witch chemical processes. Appl. Microbiol. Biotechnol. 2018, 102, 3893–3900. [Google Scholar] [CrossRef] [PubMed]
- Reifenrath, M.; Boles, E. Engineering of hydroxymandelate synthases and the aromatic amino acid pathway enables de novo biosynthesis of mandelic and 4-hydroxymandelic acid with Saccharomyces cerevisiae. Metab. Eng. 2018, 45, 246–254. [Google Scholar] [CrossRef]
- Singh, R.V.; Sambyal, K. Green synthesis aspects of (R)-(-)-mandelic acid; a potent pharmaceutically active agent and its future prospects. Crit. Rev. Biotechnol. 2022, 1–10. [Google Scholar] [CrossRef]
- Bigi, F.; Sartori, G.; Maggi, R.; Cantarelli, E.; Galaverna, G. Synthesis of optically active 4-hydroxymandelic acid and derivatives via Regio-and Stereoselective Friedel-Crafts alkylation. Tetrahedron 1993, 4, 2411–2414. [Google Scholar] [CrossRef]
- Świsłocka, R.; Samsonowicz, M.; Regulska, E.; Lewandowski, W. Molecular structure of 4-aminobenzoic acid salts with alkali metals. J. Mol. Struct. 2006, 792, 227–238. [Google Scholar] [CrossRef]
- Kalinowska, M.; Świsłocka, R.; Lewandowski, W. The spectroscopic (FT-IR, FT-Raman and 1H, 13C NMR) and theoretical studies of cinnamic acid and alkali metal cinnamates. J. Mol. Struct. 2007, 834, 572–580. [Google Scholar] [CrossRef]
- Świderski, G.; Lewandowska, H.; Świsłocka, R.; Wojtulewski, S.; Siergiejczyk, L.; Wilczewska, A. Thermal, spectroscopic (IR, Raman, NMR) and theoretical (DFT) studies of alkali metal complexes with pyrazinecarboxylate and 2, 3-pyrazinedicarboxylate ligands. J. Therm. Anal. Calorim. 2016, 126, 205–224. [Google Scholar] [CrossRef]
- Lewandowski, W.; Świderski, G.; Świslocka, R.; Wojtulewski, S.; Koczoń, P. Spectroscopic (Raman, FT-IR and NMR) and theoretical study of alkali metal picolinates. J. Phys. Org. Chem. 2005, 18, 918–928. [Google Scholar] [CrossRef]
- Lewandowski, W.; Dasiewicz, B.; Koczoń, P.; Skierski, J.; Dobrosz-Teperek, K.; Świsłocka, R.; Fuks, L.; Mazurek, A.P. Vibrational study of alkaline metal nicotinates, benzoates and salicylates. J. Mol. Struct. 2002, 604, 189–193. [Google Scholar] [CrossRef]
- Koczoń, P.; Hrynaszkiewicz, T.; Świsłocka, R.; Samsonowicz, M.; Lewandowski, W. Spectroscopic (Raman, FT-IR, and NMR) study of alkaline metal nicotinates and isonicotinates. Vib. Spectrosc. 2003, 33, 215–222. [Google Scholar] [CrossRef]
- Lewandowski, W.; Fuks, L.; Kalinowska, M.; Koczoń, P. The influence of selected metals on the electronic system of biologically important ligands. Spectrochim. Acta Part A 2003, 59, 3411–3420. [Google Scholar] [CrossRef]
- Świsłocka, R.; Regulska, E.; Karpińska, J.; Świderski, G.; Lewandowski, W. Molecular structure and antioxidant properties of alkali metal salts of rosmarinic acid. Experimental and DFT studies. Molecules 2019, 24, 2645. [Google Scholar] [CrossRef]
- Amirpour, M.; Arman, A.; Yolmeh, A.; Akbari Azam, M.; Moradi-Khatoonabadi, Z. Sodium benzoate and potassium sorbate preservatives in food stuffs in Iran. Food Addit. Contam. Part B 2015, 8, 142–148. [Google Scholar] [CrossRef]
- Rosenthal, N.E.; Goodwin, F.K. The role of the lithium ion in medicine. Annu. Rev. Med. 1982, 33, 555–568. [Google Scholar] [CrossRef]
- Praphanproj, V.; Boyadjiev, S.A.; Waber, L.J.; Brusilow, S.W.; Geraghty, M.T. Three cases of intravenous sodium benzoate and sodium phenylacetate toxicity occurring in the treatment of acute hyperammonaemia. J. Inherit. Metab. Dis. 2000, 23, 129–136. [Google Scholar] [CrossRef]
- Methods for the determination of susceptibility of bacteria to antimicrobial agents. Terminology. Clin. Microbiol. Infect. 1998, 4, 291–296. [CrossRef]
- Parcheta, M.; Świsłocka, R.; Świderski, G.; Matejczyk, M.; Lewandowski, W. Spectroscopic Characterization and Antioxidant Properties of Mandelic Acid and Its Derivatives in a Theoretical and Experimental Approach. Materials 2022, 15, 5413. [Google Scholar] [CrossRef] [PubMed]
- Varsanyi, G. Vibrational Spectra of 700 Benzene Derivatives, Vol. I–II; Academic Kiado: Budapest, Hungary, 1973. [Google Scholar]
- Cai, W.; Marciniak, J.; Andrzejewski, M.; Katrusiak, A. Pressure effect on D, L-mandelic acid racemate crystallization. J. Phys. Chem. C 2013, 117, 7279–7285. [Google Scholar] [CrossRef]
- Domingo, L.R.; Aurell, M.J.; Pérez, P.; Contreras, R. Quantitative characterization of the global electrophilicity power of common diene/dienophile pairs in Diels–Alder reactions. Tetrahedron 2002, 58, 4417–4423. [Google Scholar] [CrossRef]
- Bird, C.W. A new aromaticity index and its application to five-membered ring heterocycles. Tetrahedron 1985, 41, 1409–1414. [Google Scholar] [CrossRef]
- Chen, Z.; Wannere, C.S.; Corminboeuf, C.; Puchta, R.; Schleyer, P.V.R. Nucleus-independent chemical shifts (NICS) as an aromaticity criterion. Chem. Rev. 2005, 105, 3842–3888. [Google Scholar] [CrossRef]
- Gibson, A.M.; Bratchell, N.; Roberts, T.A. The effect of sodium chloride and temperature on the rate and extent of growth of Clostridium botulinum type A in pasteurized pork slurry. J. Appl. Bacteriol. 1987, 62, 479–490. [Google Scholar] [CrossRef]
- Fuursted, K.; Hjort, A.; Knudsen, L. Evaluation of bactericidal activity and lag of regrowth (postantibiotic effect) of five antiseptics on nine bacterial pathogens. J. Antimicrob. Chemother. 1997, 40, 221–226. [Google Scholar] [CrossRef] [PubMed]
- Rosenheim, M.L. Mandelic acid in the treatment of urinary tract infections. Lancet 1935, 1, 1032–1034. [Google Scholar] [CrossRef]
- Prydderch, H.; Haiβ, A.; Spulak, M.; Quilty, B.; Kümmerer, K.; Heise, A.; Zbieraj, M. Mandelic acid derived ionic liquids: Synthesis, toxicity and biodegradability. RSC Adv. 2017, 7, 2115–2126. [Google Scholar] [CrossRef]
- Ventura, S.; Gurbisz, M.; Ghavre, M.; Ferreira, F.; Gonçalves, F.; Beadham, I.; Quilty, B.; Gathergood, N. Imidazolium and Pyridinium Ionic Liquids from Mandelic Acid Derivatives: Synthesis and Bacteria and Algae Toxicity Evaluation. ACS Sustain. Chem. Eng. 2013, 1, 393–402. [Google Scholar] [CrossRef]
- Sıdır, İ.; Sıdır, Y.G.; Kumalar, M.; Taşal, E. Ab initio Hartree–Fock and density functional theory investigations on the conformational stability, molecular structure and vibrational spectra of 7-acetoxy-6-(2, 3-dibromopropyl)-4, 8-dimethylcoumarin molecule. J. Mol. Struct. 2010, 964, 134–151. [Google Scholar] [CrossRef]
- Frisch, M.; Trucks, G.; Schlegel, H.; Scuseria, G.; Robb, M.; Cheeseman, J.; Scalmani, G.; Barone, V.; Mennucci, B.; Petersson, G.; et al. Gaussian 09, revision A.02; Gaussian, Inc.: Wallingford, CT, USA, 2009; pp. 227–238. [Google Scholar]
- Krygowski, T.M.; Cyrański, M.K. Separation of the energetic and geometric contributions to the aromaticity of π-electron carbocyclics. Tetrahedron 1996, 52, 1713–1722. [Google Scholar] [CrossRef]








| Assignment [29] | MA–Li | MA–Na | MA–K | MA–Rb | MA–Cs | ||||||||||||||||
|---|---|---|---|---|---|---|---|---|---|---|---|---|---|---|---|---|---|---|---|---|---|
| IRKBr | IRATR | Raman | Teor. | Int. | IRKBr | IRATR | Raman | Teor. | Int. | IRKBr | IRATR | Raman | Teor. | Int. | IRKBr | IRATR | Raman | IRKBr | IRATR | ||
| cm−1 (int.) | cm−1 (int.) | cm−1 (int.) | cm−1 | KM/Mole | cm−1 (int.) | cm−1 (int.) | cm−1 (int.) | cm−1 | KM/Mole | cm−1 (int.) | cm−1 (int.) | cm−1 (int.) | cm−1 | KM/ Mole | cm−1 (int.) | cm−1 (int.) | cm−1 (int.) | cm−1 | |||
| νOHalif | 3549 w | 3706 | 130.3 | 3567 m | 3679 | 151.7 | 3549 s | 3548 m | 3653 | 167.5 | 3549s | 3548 s | |||||||||
| νOH(H2O) | 3253 vs | 3249 w | 3458 s | 3458 w | 3396 s | 3386 w | 3396 vs | 3376 w | 3392 vs | 3351 w | |||||||||||
| 2 | ν(CH) | 3062 m | 3064 vw | 3059 s | 3188 | 12.8 | 3062- w | 3063 vw | 3056 vs | 3188 | 10.5 | 3062 m | 3065 vw | 3064 vs | 3189 | 9.6 | 3063 s | 3065 vw | 3065 vs | 3062 s | |
| 20a | ν(CH) | 3032 m | 3038 vw | 3179 | 22.3 | 3031 w | 3034 vw | 3178 | 26.0 | 3028 m | 3028 vw | 3177 | 29.6 | 3029 s | 3031 vw | 3029 s | |||||
| 20b | ν(CH) | 2953 s | 2953 w | 2954 m | 3167 | 13.7 | 2956 vw | 3164 | 17.7 | 2953 vw | 3163 | 19.9 | 2950 vw | 2950 w | |||||||
| 7b | ν(CH) | 3157 | 0.1 | 2919 w | 2916 vw | 2918 m | 3154 | 0.1 | 2919 m | 2924 w | 3153 | 0.1 | 2919 m | 2919 m | |||||||
| νCHOH | 2675 m | 3019 | 18.2 | 2854 w | 3018 | 21.3 | 2883 m | 3012 | 24.2 | 2883 m | 2883 m | ||||||||||
| 8a | ν(CC) | 1641 | 5.9 | 1626 vs | 1624 s | 1641 | 9.9 | 1702 m | 1641 | 14.1 | 1699 m | ||||||||||
| νasCOO; δCHOH | 1602 vs | 1596 vs | 1587 w | 1586 | 327.3 | 1607 vs | 1606 s | 1587 w | 1606 | 361.8 | 1583 vs | 1582 vs | 1585 w | 1622 | 1.6 | 1583 vs | 1585 w | 1589 vs | |||
| 19a | ν(CC) | 1604 m | 1603 m | 1603 m | 1616 | 323.3 | 1605 vs | 1601 m | 1609 vs | ||||||||||||
| 19b | ν(CC) | 1497 m | 1522 | 11.3 | 1496 w | 1496 w | 1522 | 12.9 | 1493 m | 1493 w | 1521 | 13.3 | 1493 m | 1497 w | 1493 m | 1497 m | |||||
| βOH; δCHOH | 1455 vs | 1455 m | 1479 | 28.0 | 1452 m | 1452 m | 1478 | 22.1 | 1450 m | 1450 w | 1478 | 21.1 | 1450 s | 1455 w | 1450 s | 1456 m | |||||
| 14 | ν(CC) | 1346 | 3.4 | 1411 m | 1411 m | 1377 vw | 1416 | 171.5 | 1408 s | 1406 m | 1415 | 156.1 | 1408 s | 1402 m | 1406 s | ||||||
| νsCOO; δCHOH | 1402 vs | 1402 s | 1402 w | 1397 | 178.2 | 1360 m | 1359 s | 1360 vw | 1394 | 244.4 | 1392 s | 1389 m | 1346 | 1.9 | 1392 s | 1365 s | 1364 w | 1391 s | 1398 m | ||
| τCHOH | 1251 m | 1252 vw | 1254 w | 1306 | 1.6 | 1258 w | 1257 w | 1256 vw | 1305 | 1.8 | 1262 m | 1260 w | 1306 | 1.6 | 1262 m | 1262 m | |||||
| ωCHOH | 1246 | 3.7 | 1224 vw | 1224 vw | 1225 vw | 1242 | 4.2 | 1240 | 5.2 | ||||||||||||
| 9a | β(CH) | 1194 s | 1194 w | 1195 m | 1204 | 13.3 | 1190 m | 1190 m | 1184 m | 1204 | 17.3 | 1190 m | 1190 w | 1190 w | 1205 | 21.9 | 1191 m | 1201 m | 1201 m | 1191 s | 1200 s |
| 9b | β(CH) | 1165 m | 1190 | 27.9 | 1164 vw | 1164 vw | 1162 w | 1188 | 26.0 | 1177 m | 1189 | 25.1 | 1178 w | ||||||||
| β(CH) | 1082 vs | 1082 m | 1085 m | 1085 m | 1089 m | 1091 w | 1089 m | 1083 w | 1089 m | 1081 s | |||||||||||
| 18a | β(CH) | 1066 vs | 1066 s | 1066 w | 1084 | 54.3 | 1065 m | 1065 s | 1066 vw | 1082 | 57.2 | 1061 s | 1061 m | 1060 vw | 1080 | 55.5 | 1062 s | 1057 s | 1056 w | 1061 s | 1054 s |
| 18b | β(CH) | 1028 m | 1028 vw | 1030 m | 1120 | 39.7 | 1025 w | 1025 w | 1027 m | 1119 | 38.3 | 1028 m | 1028 w | 1029 w | 1119 | 32.3 | 1028 m | 1030 w | 1031 w | 1028 m | 1031 w |
| 1003 m | 1003 w | 1002 vs | 1003 vw | 1002 s | 1003 s | 1003 vw | 1003 vw | 1003 s | |||||||||||||
| 5 | γ(CH) | 950 s | 952 m | 953 vw | 1000 | 0.5 | 932 w | 932 m | 998 | 0.6 | 935 w | 935 vw | 935 w | 995 | 0.2 | 935 w | 930 m | 935 vw | 936 m | 928 m | |
| 10a | γ(CH) | 915 m | 915 vw | 858 | 0.3 | 904 vw | 905 vw | 907 vw | 858 | 0.4 | 909 w | 909 vw | 907 w | 857 | 0.4 | 911 w | 901 w | 901 w | 909 w | ||
| βsCOO | 868 m | 868 w | 874 m | 803 | 21.6 | 868 w | 868 w | 871 m | 795 | 12.9 | 870 vw | 869 w | 789 | 15.2 | 870 vw | 860 w | 875 w | 870 vw | |||
| 11 | γ(CH) | 796 m | 795 m | 795 w | 744 | 70.33 | 782 w | 781 w | 782 m | 742 | 54.9 | 789 w | 787 w | 788 w | 741 | 54.8 | 789 w | 786 m | 787 w | 787 m | 785 m |
| 4 | ϕ(CC) | 744 vs | 742 m | 746 w | 709 | 23.33 | 728 m | 727 vs | 732 vw | 709 | 28.8 | 736 m | 735 m | 709 | 32.2 | 736 m | 746 s | 748 w | 736 m | 745 s | |
| 1 | α(CCC) | 695 vs | 695 s | 634 | 4.84 | 693 m | 691 vs | 634 | 1.1 | 695 s | 695 m | 633 | 1.1 | 695 s | 703 s | 697 s | 702 m | ||||
| γsCOO– | 626 s | 627 m | 618 m | 620 | 53.9 | 622 w | 620 m | 618 m | 616 | 14.6 | 625 m | 623 w | 618 w | 614 | 15.0 | 626 m | 619 w | 625 m | |||
| γOH | 589 | 107.2 | 539 | 54.0 | 606 m | 558 | 75.0 | 608 w | 606 m | 608 m | 603 m | ||||||||||
| βasCOO | 514 m | 510 w | 527 | 36.8 | 507 m | 511 vw | 498 | 53.0 | 524 m | 515 | 24.4 | 525 m | 525 m | 531 m | |||||||
| 16b | ϕ(CC) | 450 s | 469 | 31.8 | 483 vw | 489 | 3.0 | 494 w | 479 vw | 485 | 4.0 | ||||||||||
| 16a | ϕ(CC) | 430 s | 413 | 1.6 | 414 | 0.3 | 413 | 0.2 | |||||||||||||
| Mandelic Acid | Alkaline Metal Salts of Mandelic Acid | |||||||||||
|---|---|---|---|---|---|---|---|---|---|---|---|---|
| Lithium | Sodium | Potassium | Rubidium | Cesium | ||||||||
| Calc. | Exp. | Calc. | Exp. | Calc. | Exp. | Calc. | Exp. | Calc. | Exp. | Calc. | Exp. | |
| H2 | 7.89 | 7.45 | 7.99 | 7.38 | 8.06 | 7.39 | 8.12 | 7.40 | - | 7.37 | - | 7.35 |
| H3 | 7.69 | 7.35 | 7.56 | 7.23 | 7.52 | 7.23 | 7.55 | 7.22 | - | 7.26 | - | 7.20 |
| H4 | 7.62 | 7.34 | 7.53 | 7.17 | 7.44 | 7.17 | 7.46 | 7.14 | - | 7.20 | - | 7.13 |
| H5 | 7.61 | 7.35 | 7.59 | 7.23 | 7.55 | 7.23 | 7.54 | 7.22 | - | 7.26 | - | 7.20 |
| H6 | 7.75 | 7.45 | 8.07 | 7.38 | 8.06 | 7.39 | 8.08 | 7.40 | - | 7.37 | - | 7.35 |
| H7a | 5.47 | 5.08 | 5.27 | 4.54 | 5.23 | 5.12 | 5.08 | 4.52 | - | 4.71 | 4.40 | |
| H7b | 3.37 | 12.69 | 3.52 | 4.54 | 3.60 | 4.55 | 3.81 | 4.42 | - | 4.71 | - | 4.40 |
| H8 | 6.60 | 12.69 | - | - | - | - | - | - | - | - | - | - |
| Atom No. | Mandelic Acid | Alkaline Metal Salt of Mandelic Acid | ||||||||||
|---|---|---|---|---|---|---|---|---|---|---|---|---|
| Lithium | Sodium | Potassium | Rubidium | Cesium | ||||||||
| Calc. | Exp. | Calc. | Exp. | Calc. | Exp. | Calc. | Exp. | Calc. | Exp. | Calc. | Exp. | |
| C1 | 146.02 | 140.39 | 148.97 | 143.38 | 150.81 | 143.86 | 150.69 | 144.18 | - | 142.39 | - | 144.37 |
| C2 | 129.71 | 126.85 | 132.20 | 126.01 | 131.86 | 125.98 | 132.65 | 125.90 | - | 126.43 | - | 125.69 |
| C3 | 133.36 | 128.34 | 132.17 | 126.40 | 132.08 | 126.32 | 131.69 | 126.34 | - | 126.60 | - | 126.23 |
| C4 | 133.39 | 127.87 | 131.32 | 127.29 | 130.50 | 127.79 | 130.67 | 127.30 | - | 127.59 | - | 127.16 |
| C5 | 133.15 | 128.34 | 132.52 | 126.40 | 132.42 | 126.32 | 131.87 | 126.34 | - | 126.60 | - | 126.23 |
| C6 | 133.58 | 126.85 | 127.83 | 126.01 | 127.47 | 125.98 | 127.68 | 125.90 | - | 126.43 | - | 125.69 |
| C7 | 75.56 | 72.63 | 76.33 | 73.83 | 76.63 | 73.63 | 76.46 | 73.74 | - | 72.99 | - | 73.57 |
| C8 | 182.50 | 174.36 | 194.80 | 173.95 | 189.57 | 174.85 | 188.59 | 174.52 | - | 177.92 | - | 173.44 |
| Aromaticity Indices | MA | MA–Li | MA–Na | MA–K |
|---|---|---|---|---|
| ΔCC a | 0.0037 | 0.0069 | 0.0074 | 0.0077 |
| ΔCCC b | 0.9950 | 1.194 | 1.401 | 1.573 |
| HOMA | 0.989 | 0.986 | 0.984 | 0.983 |
| GEO | 0.001 | 0.002 | 0.002 | 0.002 |
| EN | 0.010 | 0.012 | 0.014 | 0.015 |
| I6 | 98.74 | 98.16 | 97.85 | 97.69 |
| NICS | −8.15 | −7.98 | −8.02 | −8.01 |
| Atom | MA | MA–Li | MA–Na | MA–K |
|---|---|---|---|---|
| C1 | −0.060 | −0.052 | −0.048 | −0.045 |
| C2 | −0.192 | −0.197 | −0.197 | −0.197 |
| C3 | −0.197 | −0.201 | −0.204 | −0.206 |
| C4 | −0.200 | −0.210 | −0.214 | −0.217 |
| C5 | −0.194 | −0.199 | −0.202 | −0.203 |
| C6 | −0.190 | −0.199 | −0.201 | −0.202 |
| C7 | 0.036 | 0.037 | 0.036 | 0.032 |
| C8 | 0.799 | 0.767 | 0.767 | 0.770 |
| H8/M | 0.488 | 0.938 | 0.939 | 0.959 |
| H2 | 0.207 | 0.216 | 0.217 | 0.217 |
| H3 | 0.205 | 0.201 | 0.199 | 0.198 |
| H4 | 0.205 | 0.202 | 0.200 | 0.199 |
| H5 | 0.206 | 0.201 | 0.200 | 0.198 |
| H6 | 0.220 | 0.224 | 0.223 | 0.223 |
| H7a | 0.201 | 0.198 | 0.193 | 0.189 |
| H7b | 0.481 | 0.484 | 0.485 | 0.485 |
| O1 | −0.729 | −0.744 | −0.751 | −0.756 |
| O2 | −0.671 | −0.817 | −0.804 | −0.806 |
| O3 | −0.613 | −0.848 | −0.837 | −0.838 |
| Descriptor | MA II | MA–Li | MA–Na | MA–K |
|---|---|---|---|---|
| Energy HOMO [eV] | −7.208 | −6.536 | −6.275 | −6.076 |
| Energy LUMO [eV] | −1.181 | −1.301 | −1.820 | −1.502 |
| Δ = LUMO–HOMO [eV] | 6.027 | 5.236 | 4.455 | 4.574 |
| Electron affinity [eV] | 1.181 | 1.301 | 1.820 | 1.502 |
| Ionization potential [eV] | 7.208 | 6.536 | 6.275 | 6.076 |
| Chemical Hardness [eV] | 3.014 | 2.618 | 2.227 | 2.287 |
| Chemical Softness [eV] | 0.166 | 0.191 | 0.224 | 0.219 |
| Electronegativity [eV] | 4.195 | 3.919 | 4.048 | 3.789 |
| Electrophilicity [eV] | 2.919 | 2.933 | 3.678 | 3.139 |
| Nucleophilicity [eV] | −7.208 | −6.536 | −6.275 | −6.076 |
| Microorganism | MIC (mg/mL) | MBC/MFC (mg/mL) |
|---|---|---|
| Listeria monocytogenes ATCC 13932 | 1.50 | 2.00 |
| Staphylococcus aureus ATCC 25923 | 1.75 | 2.00 |
| Escherichia coli ATCC 25922 | 2.00 | 2.25 |
| Salmonella typhimurium ATCC 14028 | 2.25 | 2.25 |
| Bacillus subtilis ATCC 6633 | 1.50 | >5.00 |
| Loigolactobacillus backii KKP 3566 | >5.00 | >5.00 |
| Candida albicans ATCC 10231 | >5.00 | >5.00 |
| Rhodoturula mucilaginosa KKP 3560 | >5.00 | >5.00 |
| The Concentration of Mandelic Acid (mg/mL) | µmax [h−1] | |||||||
|---|---|---|---|---|---|---|---|---|
| L. monocytogenes ATCC 13932 | S. aureus ATCC 25923 | E. coli ATCC 25922 | S. typhimurium ATCC 14028 | B. subtilis ATCC 6633 | L.backii KKP 3566 | C. albicans ATCC 10231 | R. mucilaginosa KKP 3560 | |
| 0.00 (strain control) | 0.058 ± 0.006 bC | 0.099 ± 0.003 dE | 0.074 ± 0.002 bD | 0.073 ± 0.006 cCD | 0.034 ± 0.008 cB | 0.037 ± 0.001 eB | 0.137 ± 0.000 fF | 0.016 ± 0.002 cA |
| 0.75 | 0.017 ± 0.000 aB | 0.054 ± 0.000cD | 0.070±0.001 bE | 0.060 ± 0.005 cD | 0.007 ± 0.001 aA | 0.028 ± 0.001 dC | 0.137 ± 0.002 fF | 0.012 ± 0.004 bAB |
| 1.25 | 0.017 ± 0.002 aB | 0.010 ± 0.001 bA | 0.064 ± 0.007 bE | 0.042 ± 0.009 bD | 0.009 ± 0.001 bA | 0.026 ± 0.001 cdC | 0.136 ± 0.001 fF | 0.011 ± 0.003 bA |
| 1.50 | TI | 0.007 ± 0.001 abA | 0.034 ± 0.010 aC | 0.019 ± 0.006 aBC | TI | 0.025 ± 0.003 bcd BC | 0.130 ± 0.001 deD | 0.011 ± 0.003 bB |
| 1.75 | TI | TI | 0.031±0.011 aA | 0.016 ± 0.004 aC | TI | 0.025 ± 0.003 bcdBC | 0.133 ± 0.001 efD | 0.011 ± 0.000 bB |
| 2.00 | TI | TI | TI | 0.012 ± 0.001 aA | TI | 0.025 ± 0.003 bcdB | 0.127 ± 0.002 dC | 0.011 ± 0.000 bA |
| 2.25 | TI | TI | TI | TI | TI | 0.020 ± 0.001 bcB | 0.126 ± 0.001 dC | 0.011 ± 0.000 bA |
| 2.50 | TI | TI | TI | TI | TI | 0.020 ± 0.001 bcB | 0.120 ± 0.001 cC | 0.010 ± 0.000 bA |
| 3.00 | TI | TI | TI | TI | TI | 0.019 ± 0.001 bB | 0.109 ± 0.002 bC | 0.001 ± 0.000 bA |
| 5.00 | TI | TI | TI | TI | TI | 0.011 ± 0.001 aB | 0.058 ± 0.001 bA | 0.004 ± 0.000 aA |
| Strain | Medium | Incubation Condition | |
|---|---|---|---|
| Gram-positive | Listeria monocytogenes ATCC 13932 | MH broth/agar | 37 °C/24 h |
| Staphylococcus aureus ATCC 25923 | |||
| Bacillus subtilis ATCC 6633 | MRS broth/agar | 30 °C/72 h | |
| Loigolactobacillus backii KKP 3566 | |||
| Gram-negative | Escherichia coli ATCC 25922 | MH broth/agar | 37 °C/24 h |
| Salmonella Typhimurium ATCC 14028 | |||
| Yeast | Candida albicans ATCC 10231 | YPD broth/agar | 25 °C/72 h |
| Rhodotorulla mucilaginosa KKP 3560 |
Disclaimer/Publisher’s Note: The statements, opinions and data contained in all publications are solely those of the individual author(s) and contributor(s) and not of MDPI and/or the editor(s). MDPI and/or the editor(s) disclaim responsibility for any injury to people or property resulting from any ideas, methods, instructions or products referred to in the content. |
© 2023 by the authors. Licensee MDPI, Basel, Switzerland. This article is an open access article distributed under the terms and conditions of the Creative Commons Attribution (CC BY) license (https://creativecommons.org/licenses/by/4.0/).
Share and Cite
Świsłocka, R.; Świderski, G.; Nasiłowska, J.; Sokołowska, B.; Wojtczak, A.; Lewandowski, W. Research on the Electron Structure and Antimicrobial Properties of Mandelic Acid and Its Alkali Metal Salts. Int. J. Mol. Sci. 2023, 24, 3078. https://doi.org/10.3390/ijms24043078
Świsłocka R, Świderski G, Nasiłowska J, Sokołowska B, Wojtczak A, Lewandowski W. Research on the Electron Structure and Antimicrobial Properties of Mandelic Acid and Its Alkali Metal Salts. International Journal of Molecular Sciences. 2023; 24(4):3078. https://doi.org/10.3390/ijms24043078
Chicago/Turabian StyleŚwisłocka, Renata, Grzegorz Świderski, Justyna Nasiłowska, Barbara Sokołowska, Adrian Wojtczak, and Włodzimierz Lewandowski. 2023. "Research on the Electron Structure and Antimicrobial Properties of Mandelic Acid and Its Alkali Metal Salts" International Journal of Molecular Sciences 24, no. 4: 3078. https://doi.org/10.3390/ijms24043078
APA StyleŚwisłocka, R., Świderski, G., Nasiłowska, J., Sokołowska, B., Wojtczak, A., & Lewandowski, W. (2023). Research on the Electron Structure and Antimicrobial Properties of Mandelic Acid and Its Alkali Metal Salts. International Journal of Molecular Sciences, 24(4), 3078. https://doi.org/10.3390/ijms24043078

