Electrochemical Kinetics and Detection of Paracetamol by Stevensite-Modified Carbon Paste Electrode in Biological Fluids and Pharmaceutical Formulations
Abstract
1. Introduction
2. Results and Discussion
2.1. Spectrochemical Characterisation of the Rhassoul Clay Mineral
2.2. Effect of the Electrode Composition and Operational Conditions
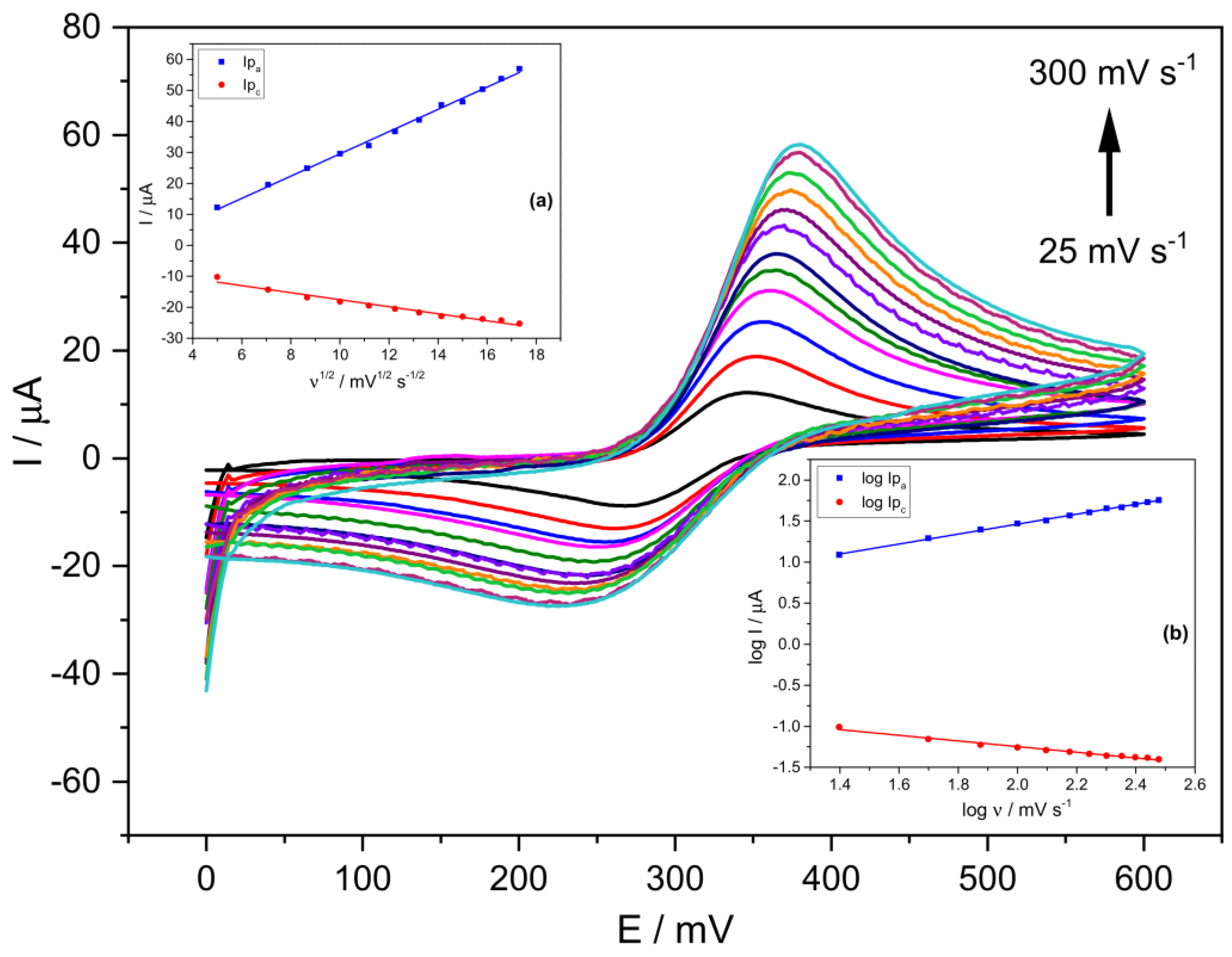
2.3. Effect of Scan Rate
2.4. Effect of pH
2.5. Electrochemical Kinetic Parameters
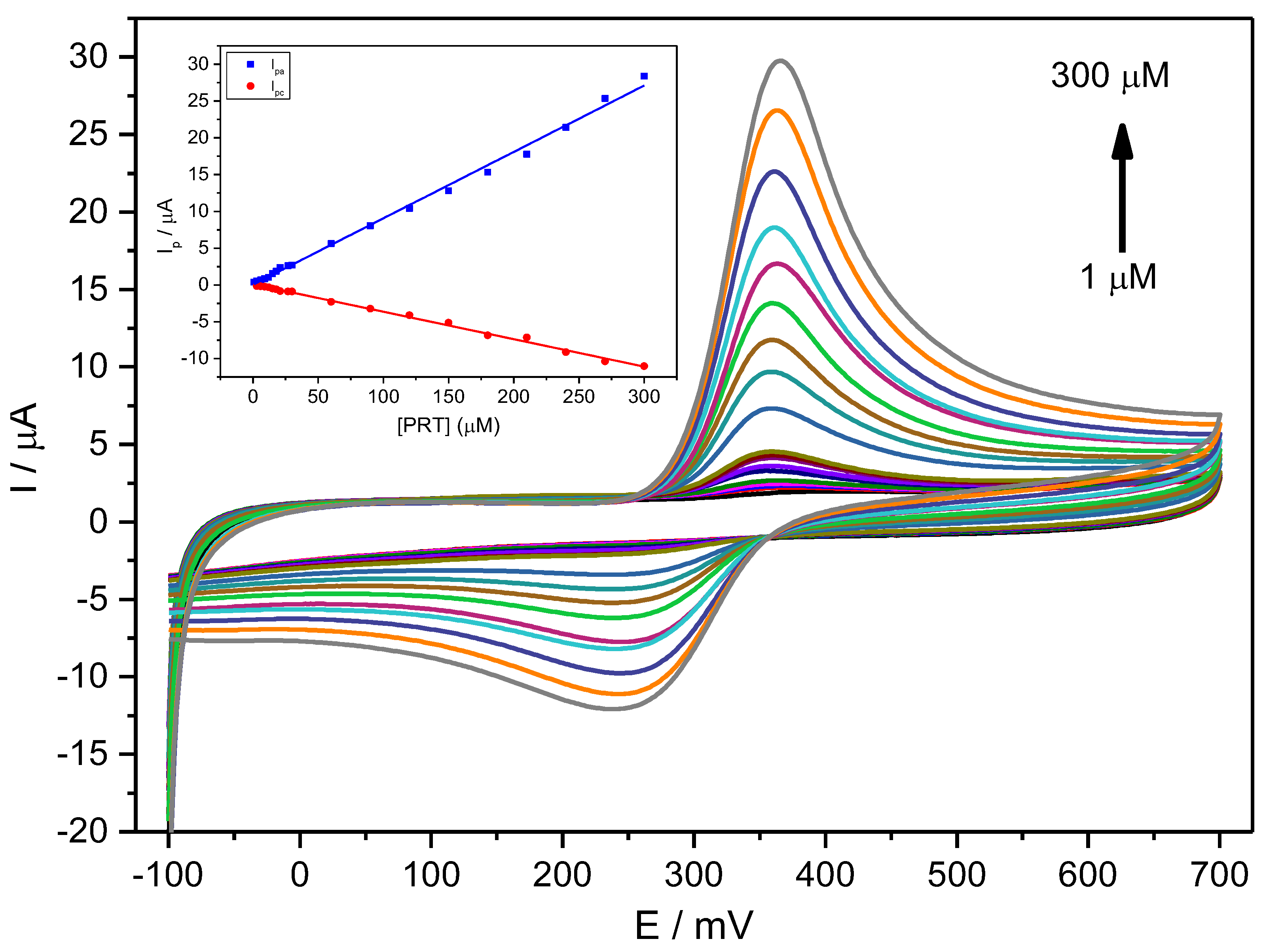
2.6. Effect of PCT Concentration and Calibration Plot
2.7. Validation and Practical Analytical Applications
3. Materials and Methods
3.1. Reagents
3.2. Apparatus
3.3. Preparation of Carbon Paste Electrodes
3.4. Real Sample Preparation
3.5. Standard Procedure of Measurements
4. Conclusions
Supplementary Materials
Author Contributions
Funding
Institutional Review Board Statement
Informed Consent Statement
Data Availability Statement
Conflicts of Interest
References
- Prescott, L.F. Paracetamol: Past, Present, and Future. Am. J. Ther. 2020, 7, 143–148. [Google Scholar] [CrossRef]
- Chun, L.J.; Tong, M.J.; Busuttil, R.W.; Hiatt, J.R. Acetaminophen hepatotoxicity and acute liver failure. J. Clin. Gastroenterol. 2009, 43, 342–349. [Google Scholar] [CrossRef] [PubMed]
- Przybyła, G.W.; Szychowski, K.A.; Gmiński, J. Paracetamol–An old drug with new mechanisms of action. Clin. Exp. Pharmacol. Physiol. 2020, 48, 3–19. [Google Scholar] [CrossRef] [PubMed]
- Kryuchkova, M.; Batasheva, S.; Akhatova, F.; Babaev, V.; Buzyurova, D.; Vikulina, A.; Volodkin, D.; Fakhrullin, R.; Rozhina, E. Pharmaceuticals Removal by Adsorption with Montmorillonite Nanoclay. Int. J. Mol. Sci. 2021, 22, 9670. [Google Scholar] [CrossRef] [PubMed]
- Nugrahani, I.; Manosa, E.Y.; Chintya, L. FTIR-derivative as a green method for simultaneous content determination of caffeine, paracetamol, and acetosal in a tablet compared to HPLC. Vib. Spectrosc. 2019, 104, 102941. [Google Scholar] [CrossRef]
- Chandra, P.; Rathore, A.S.; Lohidasan, S.; Mahadik, K.R. Application of HPLC for the Simultaneous Determination of Aceclofenac, Paracetamol and Tramadol Hydrochloride in Pharmaceutical Dosage Form. Sci. Pharm. 2012, 80, 337–352. [Google Scholar] [CrossRef]
- Pereira, F.J.; Rodríguez-Cordero, A.; López, R.; Robles, L.C.; Aller, A.J. Development and validation of an RP-HPLC-PDA method for determination of paracetamol, caffeine and tramadol hydrochloride in pharmaceutical formulations. Pharmaceuticals 2021, 14, 466. [Google Scholar] [CrossRef]
- Boumya, W.; Taoufik, N.; Achak, M.; Barka, N. Chemically modified carbon-based electrodes for the determination of paracetamol in drugs and biological samples. J. Pharm. Anal. 2020, 11, 138–154. [Google Scholar] [CrossRef]
- Herrera-Domínguez, M.; Lim, K.; Aguilar-Hernández, I.; García-García, A.; Minteer, S.D.; Ornelas-Soto, N.; Garcia-Morales, R. Detection of Acetaminophen in Groundwater by Laccase-Based Amperometric Biosensors Using MoS2 Modified Carbon Paper Electrodes. Sensors 2023, 23, 4633. [Google Scholar] [CrossRef]
- Kingsley, M.P.; Kalambate, P.K.; Srivastava, A.K. Simultaneous determination of ciprofloxacin and paracetamol by adsorptive stripping voltammetry using copper zinc ferrite nanoparticles modified carbon paste electrode. RSC Adv. 2016, 6, 15101–15111. [Google Scholar] [CrossRef]
- Xie, A.; Wang, H.; Lin, J.; Pan, J.; Li, M.; Wang, J.; Jiang, S.; Luo, S. 3D RGO/MWCNTs-loaded bimetallic-organic gel derived ZrFeOx as an electrochemical sensor for simultaneous detection of dopamine and paracetamol. J. Alloys Compd. 2023, 938, 168647. [Google Scholar] [CrossRef]
- Pereira, F.; Vázquez, M.; Debán, L.; Aller, A. Inorganic arsenic speciation by differential pulse anodic stripping voltammetry using thoria nanoparticles-carbon paste electrodes. Talanta 2016, 152, 211–218. [Google Scholar] [CrossRef] [PubMed]
- Kang, X.; Wang, J.; Wu, H.; Liu, J.; Aksay, I.A.; Lin, Y. A graphene-based electrochemical sensor for sensitive detection of paracetamol. Talanta 2010, 81, 754–759. [Google Scholar] [CrossRef] [PubMed]
- Zhu, Y.; Murali, S.; Cai, W.; Li, X.; Suk, J.W.; Potts, J.R.; Ruoff, R.S. Graphene and Graphene Oxide: Synthesis, Properties, and Applications. Adv. Mater. 2010, 22, 3906–3924. [Google Scholar] [CrossRef]
- Keeley, G.P.; McEvoy, N.; Nolan, H.; Kumar, S.; Rezvani, E.; Holzinger, M.; Cosnier, S.; Duesberg, G.S. Simultaneous electrochemical determination of dopamine and paracetamol based on thin pyrolytic carbon films. Anal. Methods 2012, 4, 2048–2053. [Google Scholar] [CrossRef]
- Gopal, T.V.; Reddy, T.M.; Venkataprasad, G.; Shaikshavalli, P.; Gopal, P. Rapid and sensitive electrochemical monitoring of paracetamol and its simultaneous resolution in presence of epinephrine and tyrosine at GO/poly(Val) composite modified carbon paste electrode. Colloids Surf. A Physicochem. Eng. Asp. 2018, 545, 117–126. [Google Scholar] [CrossRef]
- Mehretie, S.; Admassie, S.; Hunde, T.; Tessema, M.; Solomon, T. Simultaneous determination of N-acetyl-p-aminophenol and p-aminophenol with poly(3,4-ethylenedioxythiophene) modified glassy carbon electrode. Talanta 2011, 85, 1376–1382. [Google Scholar] [CrossRef]
- Tanuja, S.; Swamy, B.K.; Pai, K.V. Electrochemical determination of paracetamol in presence of folic acid at nevirapine modified carbon paste electrode: A cyclic voltammetric study. J. Electroanal. Chem. 2017, 798, 17–23. [Google Scholar] [CrossRef]
- Cheraghi, S.; Taher, M.A.; Karimi-Maleh, H. A Novel Strategy for Determination of Paracetamol in the Presence of Morphine Using a Carbon Paste Electrode Modified with CdO Nanoparticles and Ionic Liquids. Electroanalysis 2016, 28, 366–371. [Google Scholar] [CrossRef]
- Vinay, M.; Nayaka, Y.A. Iron oxide (Fe2O3) nanoparticles modified carbon paste electrode as an advanced material for electrochemical investigation of paracetamol and dopamine. J. Sci. Adv. Mater. Devices 2019, 4, 442–450. [Google Scholar] [CrossRef]
- Ashoka, N.; Swamy, B.K.; Jayadevappa, H.; Sharma, S. Simultaneous electroanalysis of dopamine, paracetamol and folic acid using TiO2-WO3 nanoparticle modified carbon paste electrode. J. Electroanal. Chem. 2020, 859, 113819. [Google Scholar] [CrossRef]
- Manjunatha, K.; Swamy, B.K.; Madhuchandra, H.; Vishnumurthy, K. Synthesis, characterization and electrochemical studies of titanium oxide nanoparticle modified carbon paste electrode for the determination of paracetamol in presence of adrenaline. Chem. Data Collect. 2020, 31, 100604. [Google Scholar] [CrossRef]
- Kumar, M.; Swamy, B.K.; Reddy, S.; Zhao, W.; Chetana, S.; Kumar, V.G. ZnO/functionalized MWCNT and Ag/functionalized MWCNT modified carbon paste electrodes for the determination of dopamine, paracetamol and folic acid. J. Electroanal. Chem. 2019, 835, 96–105. [Google Scholar] [CrossRef]
- Matt, S.B.; Raghavendra, S.; Shivanna, M.; Sidlinganahalli, M.; Siddalingappa, D.M. Electrochemical Detection of Paracetamol by Voltammetry Techniques Using Pure Zirconium Oxide Nanoparticle Based Modified Carbon Paste Electrode. J. Inorg. Organomet. Polym. Mater. 2020, 31, 511–519. [Google Scholar] [CrossRef]
- Manjunatha, K.; Swamy, B.K.; Madhuchandra, H.; Gururaj, K.; Vishnumurthy, K. Synthesis and characterization of MgO nanoparticle and their surfactant modified carbon paste electrode sensing for paracetamol. Sens. Int. 2021, 2, 100127. [Google Scholar] [CrossRef]
- Franceschini, F.; Bartoli, M.; Tagliaferro, A.; Carrara, S. Electrodes for Paracetamol Sensing Modified with Bismuth Oxide and Oxynitrate Heterostructures: An Experimental and Computational Study. Chemosensors 2021, 9, 361. [Google Scholar] [CrossRef]
- Pereira, F.; Vázquez, M.; Debán, L.; Aller, A. Cyclic voltammetry of arsenic-doped cysteine-capped ceramic nanoparticles. Electrochim. Acta 2013, 109, 125–135. [Google Scholar] [CrossRef]
- Ashoka, N.B.; Swamy, B.E.K.; Jayadevappa, H. Nanorod TiO2 sensor for dopamine: A voltammetric study. N. J. Chem. 2017, 41, 11817–11827. [Google Scholar] [CrossRef]
- Naghian, E.; Najafi, M. Carbon paste electrodes modified with SnO2/CuS, SnO2/SnS and Cu@SnO2/SnS nanocomposites as voltammetric sensors for paracetamol and hydroquinone. Microchim. Acta 2018, 185, 1–8. [Google Scholar] [CrossRef]
- Babaei, A.; Khalilzadeh, B.; Afrasiabi, M. A new sensor for the simultaneous determination of paracetamol and mefenamic acid in a pharmaceutical preparation and biological samples using copper(II) doped zeolite modified carbon paste electrode. J. Appl. Electrochem. 2010, 40, 1537–1543. [Google Scholar] [CrossRef]
- Ahmadpour-Mobarakeh, L.; Nezamzadeh-Ejhieh, A. A zeolite modified carbon paste electrode as useful sensor for voltammetric determination of acetaminophen. Mater. Sci. Eng. C 2015, 49, 493–499. [Google Scholar] [CrossRef] [PubMed]
- Chetankumar, K.; Swamy, B.K.; Sharma, S. Safranin amplified carbon paste electrode sensor for analysis of paracetamol and epinephrine in presence of folic acid and ascorbic acid. Microchem. J. 2020, 160, 105729. [Google Scholar] [CrossRef]
- El Ouafy, H.; Oubenali, M.; Mbarki, M.; Gamouh, A.; El Haimouti, A.; El Ouafy, T. Analytical Determination of Paracetamol in Human Blood by Improving the Catalytic Effect of a Clay-Based Electrode. Anal. Bioanal. Electrochem. 2021, 13, 371–382. [Google Scholar]
- Bayraktepe, D.E.; Yazan, Z. Application of Single-use Electrode Based on Nano-clay and MWCNT for Simultaneous Determination of Acetaminophen, Ascorbic Acid and Acetylsalicylic Acid in Pharmaceutical Dosage. Electroanalysis 2020, 32, 1263–1272. [Google Scholar] [CrossRef]
- Skowron, E.; Spilarewicz-Stanek, K.; Guziejewski, D.; Koszelska, K.; Metelka, R.; Smarzewska, S. Analytical Performance of Clay Paste Electrode and Graphene Paste Electrode-Comparative Study. Molecules 2022, 27, 2037. [Google Scholar] [CrossRef] [PubMed]
- El Ouafy, H.; Aamor, M.; Oubenali, M.; Mbarki, M.; El Haimouti, A.; El Ouafy, T. Simultaneous Electrochemical Analysis of Ibuprofen and Paracetamol by Clay Modified Carbon Paste Electrode: Analytical Application in Human Blood. Anal. Bioanal. Electrochem. 2022, 14, 18–31. [Google Scholar]
- El Ouafy, T.; Chtaini, A.; Oulfajrite, H.; Najih, R. Electrochemical Studies and Cyclic Viltammetry of Paracetamol at Clay Modified Carbon Paste Electrode. Acta Tech. Corviniensis Bull. Eng. 2015, VIII, 99–104. [Google Scholar]
- Patil, M.M.; Shetti, N.P.; Malode, S.J.; Nayak, D.S.; Chakklabbi, T.R. Electroanalysis of paracetamol at nanoclay modified graphite electrode. Mater. Today Proc. 2019, 18, 986–993. [Google Scholar] [CrossRef]
- Murray, H.H. Chapter 2 Structure and Composition of the Clay Minerals and their Physical and Chemical Properties. Dev. Clay. Sci. 2006, 2, 7–31. [Google Scholar] [CrossRef]
- Avet, F.; Boehm-Courjault, E.; Scrivener, K. Investigation of C-A-S-H composition, morphology and density in Limestone Calcined Clay Cement (LC3). Cem. Concr. Res. 2019, 115, 70–79. [Google Scholar] [CrossRef]
- Miner, D.J.; Rice, J.R.; Riggin, R.M.; Kissinger, P.T. Voltammetry of Acetaminophen and Its Metabolites. Anal. Chem. 1981, 53, 2258–2263. [Google Scholar] [CrossRef]
- Goyal, R.N.; Gupta, V.K.; Oyama, M.; Bachheti, N. Differential pulse voltammetric determination of paracetamol at nanogold modified indium tin oxide electrode. Electrochem. Commun. 2005, 7, 803–807. [Google Scholar] [CrossRef]
- Hassaninejad-Darzi, S.K.; Shajie, F. Simultaneous determination of acetaminophen, pramipexole and carbamazepine by ZSM-5 nanozeolite and TiO2 nanoparticles modified carbon paste electrode. Mater. Sci. Eng. C 2018, 91, 64–77. [Google Scholar] [CrossRef] [PubMed]
- Li, J.; Liu, J.; Tan, G.; Jiang, J.; Peng, S.; Deng, M.; Qian, D.; Feng, Y.; Liu, Y. High-sensitivity paracetamol sensor based on Pd/graphene oxide nanocomposite as an enhanced electrochemical sensing platform. Biosens. Bioelectron. 2014, 54, 468–475. [Google Scholar] [CrossRef]
- Keyvanfard, M.; Shakeri, R.; Karimi-Maleh, H.; Alizad, K. Highly selective and sensitive voltammetric sensor based on modified multiwall carbon nanotube paste electrode for simultaneous determination of ascorbic acid, acetaminophen and tryptophan. Mater. Sci. Eng. C 2013, 33, 811–816. [Google Scholar] [CrossRef]
- Yeniyol, M. Transformation of magnesite to sepiolite and stevensite: Characteristics and genesis (ÇayirbaĞi, Konya, Turkey). Clays Clay Miner. 2020, 68, 347–360. [Google Scholar] [CrossRef]
- Gupta, V.; Pathak, D.K.; Siddique, S.; Kumar, R.; Chaudhary, S. Study on the mineral phase characteristics of various Indian biomass and coal fly ash for its use in masonry construction products. Constr. Build. Mater. 2020, 235, 117413. [Google Scholar] [CrossRef]
- Muñoz, M.; Aller, A. Chemical modification of coal fly ash for the retention of low levels of lead from aqueous solutions. Fuel 2012, 102, 135–144. [Google Scholar] [CrossRef]
- Muñoz, M.; Aller, A.; Littlejohn, D. The bonding of heavy metals on nitric acid-etched coal fly ashes functionalized with 2-mercaptoethanol or thioglycolic acid. Mater. Chem. Phys. 2014, 143, 1469–1480. [Google Scholar] [CrossRef]
- Nirmala, G.; Viruthagiri, G. FT-IR characterization of articulated ceramic bricks with wastes from ceramic industries. Spectrochim. Acta Part A Mol. Biomol. Spectrosc. 2014, 126, 129–134. [Google Scholar] [CrossRef] [PubMed]
- Liu, H.; Chen, W.; Liu, C.; Liu, Y.; Dong, C. Magnetic mesoporous clay adsorbent: Preparation, characterization and adsorption capacity for atrazine. Microporous Mesoporous Mater. 2014, 194, 72–78. [Google Scholar] [CrossRef]
- Carazo, E.; Borrego-Sánchez, A.; García-Villén, F.; Sánchez-Espejo, R.; Viseras, C.; Cerezo, P.; Aguzzi, C. Adsorption and characterization of palygorskite-isoniazid nanohybrids. Appl. Clay Sci. 2018, 160, 180–185. [Google Scholar] [CrossRef]
- Rountree, E.S.; McCarthy, B.D.; Eisenhart, T.T.; Dempsey, J.L. Evaluation of homogeneous electrocatalysts by cyclic voltammetry. Inorg. Chem. 2014, 53, 9983–10002. [Google Scholar] [CrossRef]
- Espinoza, E.M.; Clark, J.A.; Soliman, J.; Derr, J.B.; Morales, M.; Vullev, V.I. Practical aspects of cyclic voltammetry: How to estimate reduction potentials when irreversibility prevails. J. Electrochem. Soc. 2019, 166, H3175–H3187. [Google Scholar] [CrossRef]
- Nagy, P.I. Theoretical in-Solution Conformational/Tautomeric Analyses for Chain Systems with Conjugated Double Bonds Involving Nitrogen(s). Int. J. Mol. Sci. 2015, 16, 10767–10796. [Google Scholar] [CrossRef]
- Pereira, F.; López, R.; Rodríguez-Cordero, A.; Robles, L.; Suárez, D.; Aller, A. New models involving quantum chemical parameters for assessing the chromatographic retention process. Microchem. J. 2021, 170, 106693. [Google Scholar] [CrossRef]
- Compton, R.; Banks, C. Understanding Voltammetry, 2nd ed.; Imperial College Press: London, UK, 2018. [Google Scholar]
- Nematollahi, D.; Shayani-Jam, H.; Alimoradi, M.; Niroomand, S. Electrochemical oxidation of acetaminophen in aqueous solutions: Kinetic evaluation of hydrolysis, hydroxylation and dimerization processes. Electrochim. Acta 2009, 54, 7407–7415. [Google Scholar] [CrossRef]
- Fayzullin, R.R.; Shteingolts, S.A.; Lodochnikova, O.A.; Mamedova, V.L.; Korshin, D.E.; Mamedov, V.A. Intermolecular head-to-head interaction of carbonyl groups in bicyclic hydrogen-bonded synthon based on β-hydroxy ketones. Crystengcomm 2019, 21, 1587–1599. [Google Scholar] [CrossRef]
- Bott, A.W. The Study of Multiple Electron Transfer Reactions by Cyclic Voltammetry. Curr. Sep. 1997, 16, 61–66. Available online: http://www.currentseparations.com/issues/16-2/cs16-2e.pdf (accessed on 24 April 2023).
- Nicholson, R.S. Theory and Application of Cyclic Voltammetry for Measurement of Electrode Reaction Kinetics. Anal. Chem. 1965, 37, 1351–1355. [Google Scholar] [CrossRef]
- Bowyer, W.J.; Geiger, W.E. Analysis of a quasi-reversible two-electron cyclic voltammetric wave for an organometallic ir(III)/ir(I) couple at platinum and mercury electrodes. J. Electroanal. Chem. Interfacial Electrochem. 1988, 239, 253–271. [Google Scholar] [CrossRef]
- Ryan, M.D. The Effect of Slow Two-Electron Transfers and Disproportionation on Cyclic Voltammograms. J. Electrochem. Soc. 1978, 125, 547–555. [Google Scholar] [CrossRef]
- Bard, A.J.; Faulkner, L.R. Electrochemical Methods: Fundamentals and Applications, 2nd ed.; John Wiley & Sons, Inc.: New York, NY, USA, 2000. [Google Scholar]
- Laviron, E. General expression of the linear potential sweep voltammogram in the case of diffusionless electrochemical systems. J. Electroanal. Chem. Interfacial Electrochem. 1979, 101, 19–28. [Google Scholar] [CrossRef]
- Guidelli, R.; Compton, R.G.; Feliu, J.M.; Gileadi, E.; Lipkowski, J.; Schmickler, W.; Trasatti, S. Defining the transfer coefficient in electrochemistry: An assessment (IUPAC Technical Report). Pure Appl. Chem. 2014, 86, 245–258. [Google Scholar] [CrossRef]
- Muhammad, H.; Tahiri, I.A.; Muhammad, M.; Masood, Z.; Versiani, M.A.; Khaliq, O.; Latif, M.; Hanif, M. A comprehensive heterogeneous electron transfer rate constant evaluation of dissolved oxygen in DMSO at glassy carbon electrode measured by different electrochemical methods. J. Electroanal. Chem. 2016, 775, 157–162. [Google Scholar] [CrossRef]
- Lavagnini, I.; Antiochia, R.; Magno, F. An Extended Method for the Practical Evaluation of the Standard Rate Constant from Cyclic Voltammetric Data. Electroanalysis 2004, 16, 505–506. [Google Scholar] [CrossRef]
- Randviir, E.P. A cross examination of electron transfer rate constants for carbon screen-printed electrodes using Electrochemical Impedance Spectroscopy and cyclic voltammetry. Electrochim. Acta 2018, 286, 179–186. [Google Scholar] [CrossRef]
- Ribeiro, A.C.; Barros, M.C.; Veríssimo, L.M.; Santos, C.I.; Cabral, A.M.; Gaspar, G.D.; Esteso, M.A. Diffusion coefficients of paracetamol in aqueous solutions. J. Chem. Thermodyn. 2012, 54, 97–99. [Google Scholar] [CrossRef]
- Klingler, R.J.; Kochi, J.K. Electron-transfer kinetics from cyclic voltammetry. Quantitative description of electrochemical reversibility. J. Phys. Chem. 1981, 85, 1731–1741. [Google Scholar] [CrossRef]
- Randviir, E.P.; Banks, C.E. Electrochemical impedance spectroscopy: An overview of bioanalytical applications. Anal. Methods 2013, 5, 1098–1115. [Google Scholar] [CrossRef]
- Randles, J.E.B. A cathode ray polarograph. Part II.—The current-voltage curves. Trans. Faraday Soc. 1948, 44, 327–338. [Google Scholar] [CrossRef]
- Ševčík, A. Oscillographic polarography with periodical triangular voltage. Collect. Czechoslov. Chem. Commun. 1948, 13, 349–377. [Google Scholar] [CrossRef]
- Paixao, T. Measuring Electrochemical Surface Area of Nanomaterials versus the Randles−Ševčík Equation. Chemelectrochem 2020, 7, 3414–3415. [Google Scholar] [CrossRef]
- Ganash, A.; Alshammari, S.; Ganash, E. Development of a Novel Electrochemical Sensor Based on Gold Nanoparticle-Modified Carbon-Paste Electrode for the Detection of Congo Red Dye. Molecules 2022, 28, 19. [Google Scholar] [CrossRef]
- Ilieva, D.; Surleva, A.; Murariu, M.; Drochioiu, G.; Abdullah, M.M.A.B. Evaluation of ICP-OES Method for Heavy Metal and Metalloids Determination in Sterile Dump Material. Solid State Phenom. 2018, 273, 159–166. [Google Scholar] [CrossRef]
- Choukairi, M.; Bouchta, D.; Bounab, L.; Ben Atyah, M.; Elkhamlichi, R.; Chaouket, F.; Raissouni, I.; Rodriguez, I. Electrochemical detection of uric acid and ascorbic acid: Application in serum. J. Electroanal. Chem. 2015, 758, 117–124. [Google Scholar] [CrossRef]
- Choukairi, M.; Bouchta, D.; Elbouhouti, H.; Cisneros, J.L.D.; Rodríguez, I.N. Electrochemical Determination of Dopamine in Serum in Presence of Uric Acid and Ascorbic Acid at a Sonogel-Carbon L-cysteine Modified Electrode. Int. J. Innov. Res. Sci. Eng. Technol. 2014, 3, 11159–11166. [Google Scholar]





| ν, V s−1 | Epa, V | Epc, V | Ea(1/2), V | Ea0 or Ea(i), V | Ea(e), V |
|---|---|---|---|---|---|
| 0.025 | 0.346 | 0.268 | 0.307 | 0.308 | 0.275 |
| 0.050 | 0.352 | 0.263 | 0.307 | 0.312 | 0.276 |
| 0.075 | 0.357 | 0.257 | 0.307 | 0.314 | 0.278 |
| 0.100 | 0.360 | 0.253 | 0.306 | 0.320 | 0.281 |
| 0.125 | 0.365 | 0.250 | 0.307 | 0.324 | 0.283 |
| 0.150 | 0.364 | 0.246 | 0.305 | 0.326 | 0.286 |
| 0.175 | 0.370 | 0.239 | 0.304 | 0.328 | 0.286 |
| 0.200 | 0.371 | 0.235 | 0.303 | 0.330 | 0.285 |
| 0.225 | 0.375 | 0.229 | 0.302 | 0.334 | 0.289 |
| 0.250 | 0.377 | 0.225 | 0.301 | 0.336 | 0.289 |
| 0.275 | 0.380 | 0.220 | 0.300 | 0.338 | 0.288 |
| 0.300 | 0.381 | 0.220 | 0.301 | 0.340 | 0.289 |
| Epa, V | Epc, V | ΔEp, V (Ag/AgCl) | Electrode Type | Reference |
|---|---|---|---|---|
| 0.368 | 0.101 | 0.267 | Graphene | [13] |
| 0.458 | 0.088 | 0.370 | Fe2O3 | [20] |
| 0.340 | 0.240 | 0.100 | TiO2 | [22] |
| 0.345 | 0.174 | 0.171 (SCE) | ZrO2 | [24] |
| 0.240 | Cu(II)-doped zeolite | [30] | ||
| 0.310 | 0.240 | 0.070 | Stevensite | This work |
| υ, mV s−1 | k0, cm s−1 (Equation (13)) | mT, cm s−1 (Equation (15)) | ψ (Equation (16)) | k0, cm s−1 (Equation (17)) | i0, A cm−2 (Equation (18)) | Ipa, A (Theor.) | Aa, cm2 (Equation (19)) |
|---|---|---|---|---|---|---|---|
| 25 | 3.44 × 10−4 | 8.25 × 10−4 | 1.46 × 100 | 6.12 × 10−3 | 1.99 × 10−5 | 2.39 × 10−6 | 1.20 × 10−1 |
| 50 | 6.03 × 10−4 | 1.09 × 10−3 | 8.47 × 10−1 | 5.04 × 10−3 | 3.49 × 10−5 | 4.73 × 10−6 | 1.35 × 10−1 |
| 75 | 8.03 × 10−4 | 1.26 × 10−3 | 5.98 × 10−1 | 4.36 × 10−3 | 4.65 × 10−5 | 6.54 × 10−6 | 1.41 × 10−1 |
| 100 | 9.84 × 10−4 | 1.40 × 10−3 | 4.88 × 10−1 | 4.10 × 10−3 | 5.70 × 10−5 | 8.25 × 10−6 | 1.45 × 10−1 |
| 125 | 1.13 × 10−3 | 1.52 × 10−3 | 4.05 × 10−1 | 3.81 × 10−3 | 6.53 × 10−5 | 9.22 × 10−6 | 1.41 × 10−1 |
| 150 | 1.31 × 10−3 | 1.64 × 10−3 | 3.77 × 10−1 | 3.88 × 10−3 | 7.57 × 10−5 | 1.11 × 10−5 | 1.47 × 10−1 |
| 175 | 1.32 × 10−3 | 1.68 × 10−3 | 2.88 × 10−1 | 3.20 × 10−3 | 7.64 × 10−5 | 1.15 × 10−5 | 1.50 × 10−1 |
| 200 | 1.44 × 10−3 | 1.77 × 10−3 | 2.65 × 10−1 | 3.15 × 10−3 | 8.31 × 10−5 | 1.31 × 10−5 | 1.57 × 10−1 |
| 225 | 1.43 × 10−3 | 1.80 × 10−3 | 2.17 × 10−1 | 2.73 × 10−3 | 8.28 × 10−5 | 1.25 × 10−5 | 1.51 × 10−1 |
| 250 | 1.49 × 10−3 | 1.87 × 10−3 | 1.96 × 10−1 | 2.60 × 10−3 | 8.62 × 10−5 | 1.35 × 10−5 | 1.56 × 10−1 |
| 275 | 1.49 × 10−3 | 1.91 × 10−3 | 1.70 × 10−1 | 2.37 × 10−3 | 8.66 × 10−5 | 1.37 × 10−5 | 1.59 × 10−1 |
| 300 | 1.60 × 10−3 | 1.98 × 10−3 | 1.65 × 10−1 | 2.40 × 10−3 | 9.25 × 10−5 | 1.49 × 10−5 | 1.61 × 10−1 |
| Electrode Type | LOD | LOQ | Ref. |
|---|---|---|---|
| HPLC-PDA (FTIR-derivative) | 13.0 μM (137.5 μM) | 27.7 μM (458.3 μM) | [5] |
| HPLC-PDA | 2.05 μM | 6.28 μM | [6] |
| RP-HPLC-PDA (RP-HPLC-Fl) | 0.2 μg mL−1 (0.1 μg mL−1) | 0.8 μg mL−1 | [7] |
| Copper zinc ferrite NPs/CPE | 0.0885 μM | [10] | |
| Graphene/GCE | 0.032 μM | [13] | |
| Pyrolytic carbon films | 1.4 μM | [15] | |
| GO/poly (Val)/CPE | 0.29 μM | 0.96 μM | [16] |
| Poly (3, 4-ethylene dioxythiophene)/GCE | 0.40 μM | [17] | |
| Nevirapine/CPE | 0.77 μM | [18] | |
| CdO/CPE | 0.07 μM | 0.1 μM | [19] |
| Fe2O3/CPE | 1.16 μM | [20] | |
| TiO2-WO3/CPE | 10.18 nM | 34.32 nM | [21] |
| TiO2/CPE | 5.2 µM | 18 µM | [22] |
| ZnO/functionalise MWCNT/CPE | 0.23 μM | 0.79 μM | [23] |
| Zirconium Oxide/CPE | 0.68 μM | [24] | |
| MgO/CPE | 6.2 μM | 20.9 μM | [25] |
| Bismuth oxide and oxynitrate heterostructures/SPE | 3.64 μM | [26] | |
| SnO2/CuS, SnO2/SnS, Cu@SnO2/SnS/CPE | 0.06 μM | [29] | |
| Copper(II) doped zeolite/CPE | 0.1 μM | [30] | |
| Zeolite/CPE | 0.04 μM | [31] | |
| Safranin/CPE | 0.47 μM | [32] | |
| Clay/CPE | 0.00527 μM | [33] | |
| Nano-sepiolite clay-multiwall carbon nanotubes (Mg4Si6O15(OH)2·6H2O)-(MWCNT)/CPE | 0.018 μM | [34] | |
| Clay/CPE | 0.14 μM | 0.47 μM | [35] |
| Clay/CPE | 0.0104 μM | [36] | |
| Nano-clay/CPE | 3.71 μM | [38] | |
| Stevensite/CPE | 0.2 μM | 0.5 μM | This work |
| Samples | Cd (PCT), μM | Ca (PCT), μM | Cf (PCT), μM | Recovery [%] |
|---|---|---|---|---|
| Pharmaceutical formulation Parantal (500 mg per tablet) | 10 | 0 | 8.4 ± 0.8 | 84.4 |
| 5 | 16.0 ± 0.8 | 106.7 | ||
| 10 | 20.6 ± 0.9 | 103.0 | ||
| 25 | 0 | 24.8 ± 0.9 | 99.3 | |
| 10 | 35.5 ± 0.3 | 101.4 | ||
| 25 | 47.0 ± 0.7 | 94.1 | ||
| Pharmaceutical formulation Doliprane (1000 mg per tablet) | 10 | 0 | 11.0 ± 0.4 | 110.1 |
| 5 | 13.9 ± 0.9 | 92.4 | ||
| 10 | 17.5 ± 0.5 | 87.6 | ||
| 25 | 0 | 25.8 ± 0.2 | 103.2 | |
| 10 | 37.2 ± 0.3 | 106.4 | ||
| 25 | 50.6 ± 0.6 | 101.3 | ||
| Serum samples | - | 0 | 0 | - |
| 10 | 8.5 ± 0.0 | 85.3 | ||
| 30 | 27.9 ± 0.0 | 93.0 | ||
| 50 | 44.8 ± 0.0 | 89.5 |
Disclaimer/Publisher’s Note: The statements, opinions and data contained in all publications are solely those of the individual author(s) and contributor(s) and not of MDPI and/or the editor(s). MDPI and/or the editor(s) disclaim responsibility for any injury to people or property resulting from any ideas, methods, instructions or products referred to in the content. |
© 2023 by the authors. Licensee MDPI, Basel, Switzerland. This article is an open access article distributed under the terms and conditions of the Creative Commons Attribution (CC BY) license (https://creativecommons.org/licenses/by/4.0/).
Share and Cite
Gharous, M.; Bounab, L.; Pereira, F.J.; Choukairi, M.; López, R.; Aller, A.J. Electrochemical Kinetics and Detection of Paracetamol by Stevensite-Modified Carbon Paste Electrode in Biological Fluids and Pharmaceutical Formulations. Int. J. Mol. Sci. 2023, 24, 11269. https://doi.org/10.3390/ijms241411269
Gharous M, Bounab L, Pereira FJ, Choukairi M, López R, Aller AJ. Electrochemical Kinetics and Detection of Paracetamol by Stevensite-Modified Carbon Paste Electrode in Biological Fluids and Pharmaceutical Formulations. International Journal of Molecular Sciences. 2023; 24(14):11269. https://doi.org/10.3390/ijms241411269
Chicago/Turabian StyleGharous, Moaad, Loubna Bounab, Fernando J. Pereira, Mohamed Choukairi, Roberto López, and A. Javier Aller. 2023. "Electrochemical Kinetics and Detection of Paracetamol by Stevensite-Modified Carbon Paste Electrode in Biological Fluids and Pharmaceutical Formulations" International Journal of Molecular Sciences 24, no. 14: 11269. https://doi.org/10.3390/ijms241411269
APA StyleGharous, M., Bounab, L., Pereira, F. J., Choukairi, M., López, R., & Aller, A. J. (2023). Electrochemical Kinetics and Detection of Paracetamol by Stevensite-Modified Carbon Paste Electrode in Biological Fluids and Pharmaceutical Formulations. International Journal of Molecular Sciences, 24(14), 11269. https://doi.org/10.3390/ijms241411269

