Next Article in Journal
Extracellular Matrix Expression in Human Pancreatic Fat Cells of Patients with Normal Glucose Regulation, Prediabetes and Type 2 Diabetes
Next Article in Special Issue
Canonical and Alternative Auxin Signaling Systems in Mono-, Di-, and Tetraploid Potatoes
Previous Article in Journal
Lamin A/C Ablation Restricted to Vascular Smooth Muscle Cells, Cardiomyocytes, and Cardiac Fibroblasts Causes Cardiac and Vascular Dysfunction
Previous Article in Special Issue
Transcriptome Screening of Long Noncoding RNAs and Their Target Protein-Coding Genes Unmasks a Dynamic Portrait of Seed Coat Coloration Associated with Anthocyanins in Tibetan Hulless Barley
 
 
Font Type:
Arial Georgia Verdana
Font Size:
Aa Aa Aa
Line Spacing:
Column Width:
Background:
Article

Complete Chloroplast Genomes and Comparative Analyses of Three Paraphalaenopsis (Aeridinae, Orchidaceae) Species

Key Laboratory of National Forestry and Grassland Administration for Orchid Conservation and Utilization at Landscape Architecture and Arts, Fujian Agriculture and Forestry University, Fuzhou 350002, China
*
Authors to whom correspondence should be addressed.
Int. J. Mol. Sci. 2023, 24(13), 11167; https://doi.org/10.3390/ijms241311167
Submission received: 13 June 2023 / Revised: 3 July 2023 / Accepted: 3 July 2023 / Published: 6 July 2023
(This article belongs to the Collection Feature Papers in Molecular Plant Sciences)

Abstract

Paraphalaenopsis, a genus of perennial herbs from the family Orchidaceae, contains a number of ornamental species. However, there is no information on the chloroplast genomes of Paraphalaenopsis, which limits our studies of this genus. In this study, we reported the chloroplast genomes of three species of Paraphalaenopsis (P. labukensis, P. denevel, and P. laycockii ‘Semi-alba’) and performed comprehensive comparative analysis. These three chloroplast genomes showed a typical quadripartile structure. Their lengths ranged from 147,311 bp to 149,240 bp. Each genome contained 120 unique genes, including 74 protein-coding genes, 38 tRNA genes, and 8 rRNA genes. Comparative analysis revealed major differences in sequence divergence in the three chloroplast genomes. In addition, six hypervariable regions were identified (psbM-trnDGUC, psbB, ccsA, trnKUUU, trnSGCU-trnGUCC, rps16-trnQUUG) that can be used as DNA molecular markers. Phylogenetic relationships were determined using the chloroplast genomes of 28 species from 12 genera of Aeridinae. Results suggested that Paraphalaenopsis was a clade of Aeridinae that was sister to the Holcoglossum-Vanda clade, with 100% bootstrap support within Aeridinae. The findings of this study provided the foundation for future studies on the phylogenetic analysis of Aeridinae.

1. Introduction

Paraphalaenopsis belongs to the tribe of Vandeae, a subtribe of Aeridinae, of the family Orchidaceae. Paraphalaenopsis is endemic to Borneo (Kalimantan, Sarawak, and Sabah) and is related to Renanthera, Aerides, Doritis, Phalaenopsis, and Kingidium [1]. This genus consists of four species, including P. labukensis, P. laycockii, P. serpentilingua, and P. denevei. Paraphalaenopsis is an epiphytic herb, and the leaves are terete or nearly terete and hang naturally, such as a pencil or rat-tail, known as the “rat-tailed phalaenopsis” [2]. The flowers of Paraphalaenopsis species usually release a strong scent analogous to cinnamon or ripe bananas [2]. However, only a few reports have been documented about Paraphalaenopsis. Considering that the species of this genus are morphologically similar, precise species recognition based on molecular markers is particularly important for the rational utilization of this genus of plants.
Moreover, some researchers have used molecular methods to explore phylogenetic relationships within the genus Paraphalaenopsis and its phylogenetic position in the family Aeridinae, while the selected DNA fragments are one-sided and partially complete, with low bootstrap support values, which imposes certain limitations on the phylogenetics of Paraphalaenopsis [3,4]. Therefore, it is necessary to further explore the phylogeny of Paraphalaenopsis species within Aeridinae.
Due to its short length, large number of gene copies, highly conserved sequence, and low genetic recombination rate, the chloroplast genome is an ideal tool for studying genetic differences and molecular phylogeny among species [5,6,7]. In recent years, as more and more chloroplast genomes have been reported, research on plant phylogeny based on chloroplast genomes has provided effective solutions to the systematic problems of some difficult taxa [6,8,9,10,11,12]. Recently, Li et al. [11] reported the phylogenetic relationships of the chloroplast genomes of 12 Holcoglossum species, and Xiao et al. [10] reported the phylogenetic relationships of the chloroplast genomes of four Renanthera species, providing a wealth of chloroplast genome resources for the study of Aeridinae plants. Unfortunately, there have been no reports on the chloroplast genomes of Paraphalaenopsis.
In this study, we presented the whole chloroplast genome sequence of Paraphalaenopsis and investigated the utility of these new genomic resources and their relationships with other Aeridinae species. We analyzed the structural features and sequence divergence of the chloroplast genomes in Paraphalaenopsis and performed plastome-based analyses, comparing the differences among selected closely related species. Finally, we inferred the phylogenetic relationships of Paraphalaenopsis within Aeridinae based on the complete chloroplast genome sequence.

2. Results

2.1. Genome Characteristic

In this study, the complete chloroplasts of three Paraphalaenopsis species were obtained for the first time, with genome sizes ranging from 147,311 bp (P. labukensis) to 149,240 bp (P. laycockii ‘Semi-alba’) (Figure 1). Three chloroplast genomes of Paraphalaenopsis exhibited the quadripartite structure typical of most angiosperms, consisting of two copies of IR regions (24,915–25,412 bp), a large single-copy region (LSC, 85,989–86,761 bp), and a small single-copy region (SSC, 11,492–11,655 bp) (Table 1). The G/C content was approximately 36.4% (Table 1), which is comparable to other previously sequenced chloroplast genomes of Orchidaceae [13,14]. The GC content of each region varied in the three chloroplast genomes and was (43.1–43.3%), (27.5–27.8%), and (33.4–33.7%) for the IR, SSC, and LSC regions, respectively (Table 1).
The chloroplast genomes of Paraphalaenopsis encoded 120 genes (including repetitive genes), consisting of 74 protein-coding genes, 38 transfer RNA (tRNA) genes, and eight ribosomal RNA (rRNA) genes (Table 1). Functional ndh genes are lost or pseudogenized in all Paraphalaenopsis species. The ndh genes were all pseudogenes with 6–7 members in each plastome (Table 1). The plastomes of P. denevel possessed seven (ndhB/C/E/G/I/J/K) pseudogenes; P. labukensis and P. laycockii ‘semi-alba’ possessed six (ndhB/C/E/G/J/K) pseudogenes, respectively (Table 2). Most genes of the three chloroplast genomes appeared as a single copy in the LSC or SSC region, with 19 gene duplications in the IR regions; six tRNA genes and six protein-coding genes contained one intron, and three genes (ycf3, clpP, and rps12) contained two introns (Table 2).
We comprehensively compared the positions of IR boundaries and adjacent genes in three Paraphalaenopsis and two other closely related orchid species (Figure 2). Although the length of IR regions varied less among the five species, there were some differences in IR expansions and contractions. The trnN-ycf1 genes were located at the crossing points of the SSC/IRa (JSA) regions. The ycf1 gene was duplicated in two other Aeridinae species—Vanda concolor and Holcoglossum tsii, which were located at the IRb/SSC (JSB) boundary—but not in the Paraphalaenopsis species. The rpl22 -rps19- psbA were located at the intersections of the LSC/IR regions. The rpl22 genes of LSC crossed with IRb in the chloroplast genomes of five species, with the length ranging from 31 bp to 46 bp. The psbA gene was complete in the LSC region in all these chloroplast genomes, 90–96 bp from the IRa/LSC (JLA) boundary. Moreover, the trnN and rps19 genes were completely in the IR regions and duplicated in the chloroplast genomes of Paraphalaenopsis.

2.2. Repeat and SSR Analysis

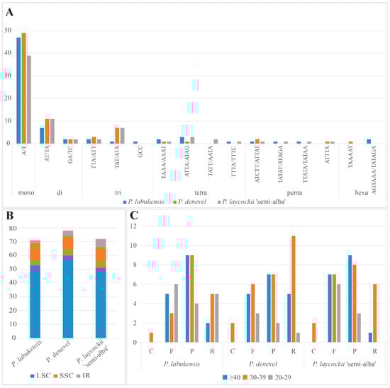
Paraphalaenopsis species had a total of 71 (P. labukensis)–78 (P. denevel) SSRs (Figure 3A, Supplementary Table S3). Among the SSRs, mononucleotide repeats were the most abundant. At least 39–49 mononucleotide repeats were found in the three Paraphalaenopsis species: 9–13 were dinucleotide repeats, 4–10 were trinucleotide repeats, 2–7 were tetranucleotide repeats, and 1–2 were pentanucleotide repeats. Hexanucleotide repeats were 1–2 repeats in all the species except P. laycockii ‘Semi-alba’, which had no repeats. Most mononucleotides and dinucleotides consisted of A/T and AT/AT (Figure 3A, Supplementary Table S3). Most SSRs were located in the LSC region, while a few were located in the IR region. (Figure 3B, Supplementary Table S3).
Four types of repeats (completement, forward, palindrome, and reverse) were analyzed in the chloroplast genomes of three Paraphalaenopsis species. Each genome contained 49 large repeats (>20 bp); almost all repeats were in the range of >30 bp in length, with the fewest in the range of 20–29 bp. Of these, 1–2 were complement (C), 14–20 were forward (F), 16–22 were palindromic (P), and 7–17 were reverse (R) (Figure 3C, Supplementary Table S2).

2.3. Comparative Genomic Divergence and Genome Rearrangement

Comparative and collinearity analyses of chloroplast genomes can reveal differences between species. We found that the three chloroplast genome sequences of Paraphalaenopsis have a high degree of similarity, and no restructuring occurred. (Figure 4). Sequence differences exist in several regions, including trnKUUU, trnSGCU-trnRUCU, petN-psbM, psbE-petL, clpP-psbB, petD, psaC-ndhE, rbcL-accD, ycf2, rpl16, and ndhB of the three Paraphalaenopsis species (Figure 5).
To further analyze the mutation hotspots of the chloroplast genomes of Paraphalaenopsis species, we used DnaSP6 to analyze the nucleotide diversity (Pi) for the alignment of the complete genomes (Figure 6, Supplementary Table S4). The nucleotide diversity (Pi) values of the three chloroplast genomes ranged from 0 to 0.155, and sliding window analysis showed that mutation hotspots included psbM-trnDGUC, psbB,ccsA, trnKUUU, trnSGCU-trnGUCC, and rps16-trnQUUG, which had higher Pi values (>0.06) in the LSC and SSC regions. These six mutational hotspots may contain information about more rapidly evolving sites and could be potential molecular markers.

2.4. Phylogenetic Analysis

We inferred the phylogenetic relationships of Paraphalaenopsis species and other Aeridinae species by ML analysis (IQ-tree ultrafast method) of complete chloroplast genomes and 68 protein-coding genes, resulting in two trees with the same topology. (Figure 7; Supplementary Figure S1). All the branch nodes in the phylogenetic tree were strongly supported in the ML analysis and the BI analysis (BS ≥ 75%, PP ≥ 0.90). All Paraphalaenopsis species formed a monophyletic subclade in both trees.

3. Discussion

In this study, we obtained the chloroplast genome sequences of three species of Paraphalaenopsis using next-generation sequencing technology. The chloroplast genomes had a typical tetrad structure and a size range of 147,311 bp to 148,905 bp, wherein the structure and gene order were highly conserved, in line with the range of previously reported orchid chloroplast genomes [6,10,11,12]. These results suggest that the chloroplast genomes are still relatively conserved in Paraphalaenopsis. In addition, a total of 71–78 SSRs were detected in the three chloroplast genomes, of which 39–49 were mononucleotide repeats. Most of the SSR sequences are often composed of A/T or AT/AT, a phenomenon that has also been observed in other plant species [6,15,16]. With abundant SSR loci associated with polymorphisms in the chloroplast genomes of different species, they are often used as molecular markers for species identification [17,18,19].
The variation, contraction, and expansion of the IR regions are common phenomena in the evolution process of angiosperms [20]. These phenomena may occur at the border of inverted repeats (IRs) and single-copy regions (LSC and SSC), allowing certain genes into IR or SC regions [21]. We observed that the ycf1 gene in the SSC region of Vanda concolor and Holcoglossum tsii extended across the JSA into the IRA region. This situation did not appear in the three Paraphalaenopsis species, and the length of their IR regions ranged from 24,915 bp to 25,412 bp, which was no significant difference. This suggests that the Paraphalaenopsis species did not undergo significant expansion/contraction in the IR regions.
Nucleotide diversity (Pi) can indicate the degree of variation of nucleic acid sequences in different species, and the position with higher variability can be used as a molecular marker of population genetics [22,23]. Chloroplast genome mutation hotspots are convenient and practical methods for developing DNA barcodes, which have been demonstrated in orchids [8,9,24,25,26,27]. In this study, using comparative chloroplast genomics analysis, we compared the complete chloroplast genomes and DNA sequence polymorphisms based on mVISTA and DnaSP v6.0. We observed that noncoding regions of Paraphalaenopsis chloroplast genomes exhibited higher polymorphism than coding regions, which is similar to most plants. In addition, most regions except the IR regions had high Pi values, indicating that these regions have the potential to design molecular markers. We propose that six hypervariable regions, psbM-trnDGUC, psbB, ccsA, trnKUUU, trnSGCU-trnGUCC, and rps16-trnQUUG, can be used as potential molecular markers for the identification of Paraphalaenopsis.
Chloroplast genomes are highly conserved and have been widely applied in phylogenetic and evolutionary studies, which play a vital role in species identification [8,9,13,14,28]. We analyzed the phylogenetic relationships of Paraphalaenopsis belonging to Aeridinae by using the complete chloroplast genome sequences. In the unilateral analysis based on chloroplast genomes, Paraphalaenopsis and Holcoglossum-Vanda were sister groups and belonged to the Aeridinae [4]. This is consistent with the results of traditional classification and short gene sequence studies [3,4]. However, these results are restricted because of the maternal inheritance of the chloroplast genome [19,29], and accurate phylogenetic relationships still require a comprehensive analysis of nuclear and organellar genes [14,30]. In addition, of the 85 genera of Aeridinae, only 20 genera have been sequenced so far. In the future, further genome sequencing will be required to determine the relationships between Paraphalaenopsis and other species of the subtribe Aeridinae.

4. Materials and Methods

4.1. Plant Materials, DNA Extraction and Sequencing

Three Paraphalaenopsis species were selected, including P. labukensis, P. denevel and P. laycockii ‘Semi-alba’. P. labukensis and P. denevel were introduced and cultivated in the Shanghai Chen Shan Botanical Garden, Shanghai Province, China. P. laycockii ‘Semi-alba’ was introduced and cultivated in the China National Botanical Garden, Beijing Province, China. As shown in Supplementary Table S1, their voucher information was provided. The total DNA of leaf samples was extracted using the CTAB method [31]. Short-insert (500 bp) pair-end (PE) libraries were constructed, and the sequencing was performed by the Beijing Genomics Institute (Shenzhen, China) on the Illumina HiSeq 2500 platform with a read length of 150 bp. At least 10 Gb of clean data were obtained for each species.

4.2. Chloroplast Genome Assembly and Annotation

Chloroplast genome assembly and annotation were performed following previously described methods [32]. In short, the paired-end reads were assembled using the GetOrganelle pipeline (https://github.com/Kinggerm/GetOrganelle, accessed on 5 May 2023). Then the filtered reads were assembled using SPAdes version 3.10 [33]. The published chloroplast genome of Phalaenopsis hygrochila (MN124430) was chosen as a reference genome for assembling chloroplast genomes. Gene annotation was carried out using DOGMA [34] and checked with Geneious Prime v2021.1.1 [35]. The circle maps were drawn using OGDRAW [36].

4.3. Genome Comparison and Analysis, IR Border and Divergence Analyses

The chloroplast genomes of three Paraphalaenopsis species were aligned with mVISTA using the alignment program LAGAN [37], using the sequence of P. labukensis as a reference. Rearrangements of chloroplast genomes were detected and graphed using Mauve in three species [38]. The boundaries between the IRs, SSCs, and LSCs of the chloroplast genomes were compared using the online program IRscope (https://irscope.shinyapps.io/irapp, accessed on 5 May 2023) [39].
To identify the mutational hotspot regions and genes, the chloroplast genome sequences were aligned using MAFFT v7 [40]. Then, the nucleotide diversity (Pi) of three chloroplast genomes of Paraphalaenopsis was calculated using DnaSP v6.12.03 (DNA sequence polymorphism) [41]. Highly mutated hotspot regions were identified by a sliding window strategy. The step size was set at 200 bp, with a 600 bp.

4.4. Repeat Sequence Analysis

The online software REPuter (https://bibiserv.cebitec.uni-bielefeld.de/reputer, accessed on 5 May 2023)was used to identify the repeat sequences, including forward, palindrome, reverse, and complementary long repeats [42]. The maximum and minimum repeat sizes were set to 50 bp and 20 bp, respectively, while the Hamming distance was set to 3. MISA-web was used to detect simple sequence repeats (SSRs). The thresholds for mono-, di-, tri-, tetra-, penta-, and hexa-nucleotide SSRs and the minimum number of repeats were set to 10, 5, 4, 3, 3, and 3, respectively [43].

4.5. Phylogenetic Reconstruction

We used the whole chloroplast genomes and 68 protein-coding sequences to perform the phylogenetic analysis of 30 species of Orchidaceae. Three species from Polystachya (P. bennettiana and P. concreta) and Tridactyle (T. tridactylites) were used as outgroups. Of these 30 species, three Paraphalaenopsis species are newly sequenced, and the other 27 species of 13 genera are from the complete plastid data publicly available at the National Center for Biotechnology Information (NCBI). A list of the taxa analyzed with voucher information and GenBank accessions is provided in Supplementary Table S1. The whole chloroplast genome sequences were aligned by Geneious Prime v2021.1.1 [18]. A total of 68 protein-coding genes were aligned by PhyloSuite v1.2.2 [44]. Phylogenetic relationships were analyzed by using maximum parsimony (MP), maximum likelihood (ML), and Bayesian inference (BI) on the CIPRES Science Gateway website [45]. All characters were equally weighted and unordered, and a heuristic search was performed using 1000 random sequence repeats and TBR branch swapping. For the analysis of ML, the GTRCAT model was specified for all datasets, and self-expanding analyses with 1000 repetitions were performed [46]. Bayesian analysis was performed using MrBayes v. 3.2.6 [47], and four Markov chains were run for 10,000,000 generations, sampling one tree every 100 generations. The first 25% of the trees were discarded as burn-in samples to ensure that each chain reached a steady state and the estimated posterior probabilities (PP).

5. Conclusions

In the present study, three chloroplast genomes of Paraphalaenopsis were first sequenced and assembled, whose structural features were similar to those of most species of Orchidaceae. Only the genome size, GC content, repeats, and IR boundaries showed certain differences, and all ndh genes were entirely lost or pseudogenic in plastids. This provides clues for understanding the interspecific diversity among Paraphalaenopsis chloroplast genomes. In addition, six hypervariable regions were identified that can be used as molecular markers to identify Paraphalaenopsis. The results not only enrich the Orchidaceae chloroplast genome data but also provide a certain theoretical basis for the phylogenetic reconstruction of Aeridinae.

Supplementary Materials

The following supporting information can be downloaded at: https://www.mdpi.com/article/10.3390/ijms241311167/s1.

Author Contributions

Conceptualization and methodology, J.C., Z.L. and D.P.; software, formal analysis and visualization, investigation, and resources, J.C., F.W. and Z.Z.; data curation and writing—original draft preparation, J.C.; review and editing, M.L., Z.L. and D.P.; visualization and supervision, J.C., Z.L. and D.P.; project administration and funding acquisition D.P. All authors have read and agreed to the published version of the manuscript.

Funding

This research was supported by the following fundings: one is the Forestry Peak Discipline Construction Project of Fujian Agriculture and Forestry University (No. 72202200205), and the Outstanding Youth Scientific Fund of Fujian Agriculture and Forestry University (Grant No. XJQ202005), and the Innovation and Application Engineering Technology Research Center of Ornamental Plant Germplasm Resources in Fujian Province (No. 115-PTJH16005).

Institutional Review Board Statement

Not applicable.

Informed Consent Statement

Not applicable.

Data Availability Statement

The three chloroplast genome sequences of Paraphalaenopsis are deposited in GenBank of the National Center for Biotechnology Information (NCBI) repository, accession numbers OR159902 to OR159904.

Acknowledgments

We want to acknowledge the Shanghai Chen Shan Botanical Garden and the China National Botanical Garden for providing leaf samples. We also would like to express our gratitude to the lab staff during the experiments for the technical support provided, including Ding-Kun Liu, Cheng-Yuan Zhou, Sha-Sha Wu, Sagheer Ahmad, and Kai Zhao.

Conflicts of Interest

The authors declare no conflict of interest.

References

  1. Pridgeon, A.M.; Cribb, P.J.; Chase, M.W.; Rasmussen, F.N.; Pridgeon, A.M.; Cribb, P.J.; Chase, M.W.; Rasmussen, F.N. Genera Orchidacearum Volume 6: Epidendroideae (Part 3); Oxford University Press: Oxford, UK, 2014. [Google Scholar]
  2. Garvita, R.V.; Wawangningrum, H. Stomata cells studies of Paraphalaenopsis spp. from in vitro and greenhouse condition. Biodiversitas J. Biol. Divers. 2020, 21, 1116–1121. [Google Scholar] [CrossRef]
  3. Kocyan, A.; Vogel, E.; Onti, E.C.; Gravendeel, B. Molecular phylogeny of Aerides (Orchidaceae) based on one nuclear and two plastid markers: A step forward in understanding the evolution of the Aeridinae. Mol. Phylogenet. Evol. 2008, 48, 422–443. [Google Scholar] [CrossRef]
  4. Zou, L.H.; Huang, J.X.; Zhang, G.Q.; Liu, Z.J.; Zhuang, X.Y. A molecular phylogeny of Aeridinae (Orchidaceae: Epidendroideae) inferred from multiple nuclear and chloroplast regions. Mol. Phylogenet. Evol. 2015, 85, 247–254. [Google Scholar] [CrossRef] [PubMed]
  5. Thomson, R.C.; Wang, I.J.; Johnson, J.R. Genome-enabled development of DNA markers for ecology, evolution and conservation. Mol. Ecol. 2010, 19, 2184–2195. [Google Scholar] [CrossRef] [PubMed]
  6. Han, C.; Ding, R.; Zong, X.; Zhang, L.; Chen, X.; Qu, B. Structural characterization of Platanthera ussuriensis chloroplast genome and comparative analyses with other species of Orchidaceae. BMC Genom. 2022, 23, 84. [Google Scholar] [CrossRef]
  7. Dong, W.; Xu, C.; Cheng, T.; Lin, K.; Zhou, S. Sequencing Angiosperm Plastid Genomes Made Easy: A Complete Set of Universal Primers and a Case Study on the Phylogeny of Saxifragales. Genome Biol. Evol. 2013, 5, 989–997. [Google Scholar] [CrossRef]
  8. Liu, D.K.; Tu, X.D.; Zhao, Z.; Zeng, M.Y.; Zhang, S.; Ma, L.; Zhang, G.Q.; Wang, M.M.; Liu, Z.J.; Lan, S.R.; et al. Plastid phylogenomic data yield new and robust insights into the phylogeny of Cleisostoma-Gastrochilus clades (Orchidaceae, Aeridinae). Mol. Phylogenet. Evol. 2020, 145, 106729. [Google Scholar] [CrossRef]
  9. Kim, Y.K.; Jo, S.; Cheon, S.H.; Kwak, M.; Kim, Y.D.; Kim, K.J. Plastome evolution and phylogeny of subtribe Aeridinae (Vandeae, Orchidaceae). Mol. Phylogenet. Evol. 2020, 144, 106721. [Google Scholar] [CrossRef]
  10. Xiao, T.; He, L.; Yue, L.; Zhang, Y.; Lee, S.Y. Comparative phylogenetic analysis of complete plastid genomes of Renanthera (Orchidaceae). Front. Genet. 2022, 13, 998575. [Google Scholar] [CrossRef]
  11. Li, Z.-H.; Ma, X.; Wang, D.-Y.; Li, Y.-X.; Wang, C.-W.; Jin, X.-H. Evolution of plastid genomes of Holcoglossum (Orchidaceae) with recent radiation. BMC Evol. Biol. 2019, 19, 63. [Google Scholar] [CrossRef]
  12. Li, L.; Wu, Q.; Fang, L.; Wu, K.; Li, M.; Zeng, S. Comparative Chloroplast Genomics and Phylogenetic Analysis of Thuniopsis and Closely Related Genera within Coelogyninae (Orchidaceae). Front. Genet. 2022, 13, 850201. [Google Scholar] [CrossRef]
  13. Du, Y.-P.; Bi, Y.; Yang, F.-P.; Zhang, M.-F.; Chen, X.-Q.; Xue, J.; Zhang, X.-H. Complete chloroplast genome sequences of Lilium: Insights into evolutionary dynamics and phylogenetic analyses. Sci. Rep. 2017, 7, 5751. [Google Scholar] [CrossRef]
  14. Shen, X.; Guo, S.; Yin, Y.; Zhang, J.; Yin, X.; Liang, C.; Wang, Z.; Huang, B.; Liu, Y.; Xiao, S. Complete chloroplast genome sequence and phylogenetic analysis of Aster tataricus. Molecules 2018, 23, 2426. [Google Scholar] [CrossRef]
  15. Kuang, D.Y.; Wu, H.; Wang, Y.L.; Gao, L.M.; Lu, L. Complete chloroplast genome sequence of Magnolia kwangsiensis (Magnoliaceae): Implication for DNA barcoding and population genetics. Genome Biol. 2011, 54, 663–673. [Google Scholar] [CrossRef]
  16. Provan, J.; Powell, W.; Hollingsworth, P.M. Chloroplast microsatellites: New tools for studies in plant ecology and evolution. Trends Ecol. Evol. 2001, 16, 142–147. [Google Scholar] [CrossRef]
  17. Jiang, M.; Chen, H.; He, S.; Wang, L.; Chen, A.J.; Liu, C. Sequencing, characterization, and comparative analyses of the plastome of Caragana rosea var. rosea. Int. J. Mol. Sci. 2018, 19, 1419. [Google Scholar] [CrossRef]
  18. Liu, X.; Zhou, B.; Yang, H.; Li, Y.; Yang, Q.; Lu, Y.; Gao, Y. Sequencing and analysis of Chrysanthemum carinatum Schousb and Kalimeris indica. The complete chloroplast genomes reveal two inversions and rbcL as barcoding of the vegetable. Molecules 2018, 23, 1358. [Google Scholar] [CrossRef]
  19. Li, J.; Tang, J.; Zeng, S.; Han, F.; Yuan, J.; Yu, J. Comparative plastid genomics of four Pilea (Urticaceae) species: Insight into interspecific plastid genome diversity in Pilea. BMC Plant Biol. 2021, 21, 25. [Google Scholar] [CrossRef]
  20. Huang, H.; Shi, C.; Liu, Y.; Mao, S.-Y.; Gao, L.-Z. Thirteen Camellia chloroplast genome sequences determined by high-throughput sequencing: Genome structure and phylogenetic relationships. BMC Evol. Biol. 2014, 14, 151. [Google Scholar] [CrossRef]
  21. Raubeson, L.A.; Peery, R.; Chumley, T.W.; Dziubek, C.; Fourcade, H.M.; Boore, J.L.; Jansen, R.K. Comparative chloroplast genomics: Analyses including new sequences from the angiosperms Nuphar advena and Ranunculus macranthus. BMC Genom. 2007, 8, 174. [Google Scholar] [CrossRef]
  22. Ding, S.; Dong, X.; Yang, J.; Guo, C.; Cao, B.; Guo, Y.; Hu, G. Complete Chloroplast Genome of Clethra fargesii Franch., an Original Sympetalous Plant from Central China: Comparative Analysis, Adaptive Evolution, and Phylogenetic Relationships. Forests 2021, 12, 441. [Google Scholar] [CrossRef]
  23. Abdullah; Mehmood, F.; Shahzadi, I.; Waseem, S.; Mirza, B.; Ahmed, I.; Waheed, M.T. Chloroplast genome of Hibiscus rosasinensis (Malvaceae): Comparative analyses and identification of mutational hotspots. Genomics 2020, 112, 581–591. [Google Scholar] [CrossRef]
  24. Yuling, L.; Yi, T.; Fuwu, X. DNA Barcoding Evaluation and Its Taxonomic Implications in the Recently Evolved Genus Oberonia Lindl. (Orchidaceae) in China. Front. Plant Sci. 2016, 7, 1791. [Google Scholar]
  25. Zhang, L.; Huang, Y.W.; Huang, J.L.; Ya, J.D.; Zhe, M.Q.; Zeng, C.X.; Zhang, Z.R.; Zhang, S.B.; Li, D.Z.; Li, H.T.; et al. DNA barcoding of Cymbidium by genome skimming: Call for next-generation nuclear barcodes. Mol. Ecol. Resour. 2023, 23, 424–439. [Google Scholar] [CrossRef]
  26. Zhitao, N.; Shuying, Z.; Jiajia, P.; Ludan, L.; Jing, S.; Xiaoyu, D. Comparative analysis of Dendrobium plastomes and utility of plastomic mutational hotspots. Sci. Rep. 2017, 7, 2073. [Google Scholar] [CrossRef]
  27. Smidt, E.C.; Páez, M.Z.; Vieira, L.D.N.; Viruel, J.; de Baura, V.A.; Balsanelli, E.; de Souza, E.M.; Chase, M.W. Characterization of sequence variability hotspots in Cranichideae plastomes (Orchidaceae, Orchidoideae). PLoS ONE 2020, 15, e0227991. [Google Scholar] [CrossRef]
  28. Guo, S.; Guo, L.; Zhao, W.; Xu, J.; Li, Y.; Zhang, X.; Shen, X.; Wu, M.; Hou, X. Complete chloroplast genome sequence and phylogenetic analysis of Paeonia ostii. Molecules 2018, 23, 246. [Google Scholar] [CrossRef]
  29. Christie, J.R.; Beekman, M. Uniparental Inheritance Promotes Adaptive Evolution in Cytoplasmic Genomes. Mol. Biol. Evol. 2017, 34, 677–691. [Google Scholar] [CrossRef]
  30. Górniak, M.; Paun, O.; Chase, M.W. Phylogenetic relationships within Orchidaceae based on a low-copy nuclear coding gene, Xdh: Congruence with organellar and nuclear ribosomal DNA results. Mol. Phylogenet. Evol. 2010, 56, 784–795. [Google Scholar] [CrossRef]
  31. Jinlu, L.; Shuo, W.; Jing, Y.; Ling, W.; Shiliang, Z. A Modified CTAB Protocol for Plant DNA Extraction. Chin. Bull. Bot. 2013, 48, 72–78. [Google Scholar] [CrossRef]
  32. Jin, J.J.; Yu, W.B.; Yang, J.B.; Song, Y.; dePamphilis, C.W.; Yi, T.S.; Li, D.Z. GetOrganelle: A fast and versatile toolkit for accurate de novo assembly of organelle genomes. Genome Biol. 2020, 21, 241. [Google Scholar] [CrossRef]
  33. Bankevich, A.; Nurk, S.; Antipov, D.; Gurevich, A.A.; Dvorkin, M.; Kulikov, A.S.; Lesin, V.M.; Nikolenko, S.I.; Pham, S.; Prjibelski, A.D.; et al. SPAdes: A new genome assembly algorithm and its applications to single-cell sequencing. J. Comput. Biol. 2012, 19, 455–477. [Google Scholar] [CrossRef]
  34. Wyman, S.K.; Jansen, R.K.; Boore, J.L. Automatic annotation of organellar genomes with DOGMA. Bioinformatics 2004, 20, 3252–3255. [Google Scholar] [CrossRef]
  35. Kearse, M.; Moir, R.; Wilson, A.; Stones-Havas, S.; Cheung, M.; Sturrock, S.; Buxton, S.; Cooper, A.; Markowitz, S.; Duran, C.; et al. Geneious Basic: An integrated and extendable desktop software platform for the organization and analysis of sequence data. Bioinformatics 2012, 28, 1647–1649. [Google Scholar] [CrossRef]
  36. Greiner, S.; Lehwark, P.; Bock, R. OrganellarGenomeDRAW (OGDRAW) version 1.3.1: Expanded toolkit for the graphical visualization of organellar genomes. Nucleic Acids Res. 2019, 47, W59–W64. [Google Scholar] [CrossRef]
  37. Brudno, M.; Malde, S.; Poliakov, A.; Do, C.B.; Couronne, O.; Dubchak, I.; Batzoglou, S. Glocal alignment: Finding rearrangements during alignment. Bioinformatics 2003, 19, i54–i62. [Google Scholar] [CrossRef]
  38. Rissman, A.I.; Mau, B.; Biehl, B.S.; Darling, A.E.; Glasner, J.D.; Perna, N.T. Reordering contigs of draft genomes using the Mauve aligner. Bioinformatics 2009, 25, 2071–2073. [Google Scholar] [CrossRef]
  39. Amiryousefi, A.; Hyvonen, J.; Poczai, P. IRscope: An online program to visualize the junction sites of chloroplast genomes. Bioinformatics 2018, 34, 3030–3031. [Google Scholar] [CrossRef]
  40. Katoh, K.; Standley, D.M. MAFFT multiple sequence alignment software version 7: Improvements in performance and usability. Mol. Biol. Evol. 2013, 30, 772–780. [Google Scholar] [CrossRef]
  41. Rozas, J.; Ferrer-Mata, A.; Sánchez-DelBarrio, J.C.; Guirao-Rico, S.; Librado, P.; Ramos-Onsins, S.E.; Sánchez-Gracia, A. DnaSP 6: DNA Sequence Polymorphism Analysis of Large Data Sets. Mol. Biol. Evol. 2017, 34, 3299–3302. [Google Scholar] [CrossRef]
  42. Kurtz, S.; Choudhuri, J.V.; Ohlebusch, E.; Schleiermacher, C.; Stoye, J.; Giegerich, R. REPuter: The manifold applications of repeat analysis on a genomic scale. Nucleic Acids Res. 2001, 29, 4633–4642. [Google Scholar] [CrossRef] [PubMed]
  43. Beier, S.; Thiel, T.; Münch, T.; Scholz, U.; Mascher, M. MISA-web: A web server for microsatellite prediction. Bioinformatics 2017, 33, 2583–2585. [Google Scholar] [CrossRef] [PubMed]
  44. Zhang, D.; Gao, F.; Jakovlić, I.; Zou, H.; Zhang, J.; Li, W.X.; Wang, G.T. PhyloSuite: An integrated and scalable desktop platform for streamlined molecular sequence data management and evolutionary phylogenetics studies. Mol. Ecol. Resour. 2020, 20, 348–355. [Google Scholar] [CrossRef] [PubMed]
  45. Miller, M.A.; Pfeiffer, W.; Schwartz, T. Creating the CIPRES Science Gateway for inference of large phylogenetic trees. In Proceedings of the 2010 Gateway Computing Environments Workshop (GCE), New Orleans, LA, USA, 14 November 2010; pp. 1–8. [Google Scholar]
  46. Stamatakis, A.; Hoover, P.; Rougemont, J. A rapid bootstrap algorithm for the RAxML Web servers. Syst. Biol. 2008, 57, 758–771. [Google Scholar] [CrossRef]
  47. Ronquist, F.; Teslenko, M.; Van Der Mark, P.; Ayres, D.L.; Darling, A.; Höhna, S.; Larget, B.; Liu, L.; Suchard, M.A.; Huelsenbeck, J. MrBayes 3.2: Efficient Bayesian phylogenetic inference and model choice across a large model space. Syst. Biol. 2012, 61, 539–542. [Google Scholar] [CrossRef]
Figure 1. Chloroplastic genome structure of three Paraphalaenopsis species (P. labukensis, P. denevel, P. laycockii ‘Semi-alba’).
Figure 1. Chloroplastic genome structure of three Paraphalaenopsis species (P. labukensis, P. denevel, P. laycockii ‘Semi-alba’).
Ijms 24 11167 g001
Figure 2. Comparison of connections between LSC, SSC, and IR regions. P. labukensis, P. denevel, P. laycockii ‘Semi-alba’, Vanda concolor, and Holcoglossum tsii chloroplast genomes.
Figure 2. Comparison of connections between LSC, SSC, and IR regions. P. labukensis, P. denevel, P. laycockii ‘Semi-alba’, Vanda concolor, and Holcoglossum tsii chloroplast genomes.
Ijms 24 11167 g002
Figure 3. Analysis of simple sequence repeats (SSRs) and repeated sequences in the chloroplast genomes of P. labukensis, P. denevel, and P. laycockii ‘Semi-alba’. (A) Type and number of each identified SSR; (B) Number of SSRs for each Paraphalaenopsis species by location in IR, LSC, and SSC; (C) Total of three species with four repeat types.
Figure 3. Analysis of simple sequence repeats (SSRs) and repeated sequences in the chloroplast genomes of P. labukensis, P. denevel, and P. laycockii ‘Semi-alba’. (A) Type and number of each identified SSR; (B) Number of SSRs for each Paraphalaenopsis species by location in IR, LSC, and SSC; (C) Total of three species with four repeat types.
Ijms 24 11167 g003
Figure 4. Chloroplast genomes comparison of three species of Paraphalaenopsis using a progressive MAUVE algorithm.
Figure 4. Chloroplast genomes comparison of three species of Paraphalaenopsis using a progressive MAUVE algorithm.
Ijms 24 11167 g004
Figure 5. Global alignment of three Paraphalaenopsis chloroplast genomes using mVISTA with P. labukensis as reference. The y-axis shows the coordinates between the chloroplast genomes.
Figure 5. Global alignment of three Paraphalaenopsis chloroplast genomes using mVISTA with P. labukensis as reference. The y-axis shows the coordinates between the chloroplast genomes.
Ijms 24 11167 g005
Figure 6. Sliding window test of nucleotide diversity (Pi) in the Paraphalaenopsis chloroplast genomes. Window length: 600 bp; step size: 200 bp. X-axis: the position of the midpoint of a window. Y-axis: nucleotide diversity of each window.
Figure 6. Sliding window test of nucleotide diversity (Pi) in the Paraphalaenopsis chloroplast genomes. Window length: 600 bp; step size: 200 bp. X-axis: the position of the midpoint of a window. Y-axis: nucleotide diversity of each window.
Ijms 24 11167 g006
Figure 7. Phylogenetic tree of Paraphalaenopsis and other 24 Aeridinae species based on the complete chloroplast genome data. Numbers near the nodes are bootstrap percentages and Bayesian posterior probabilities (BSML left, BSMP middle, and PP right).-indicates that a node is inconsistent between the topology of the MP/ML trees and the Bayesian tree. * indicates that the node has 100 bootstrap percentage or 1.00 posterior probability.
Figure 7. Phylogenetic tree of Paraphalaenopsis and other 24 Aeridinae species based on the complete chloroplast genome data. Numbers near the nodes are bootstrap percentages and Bayesian posterior probabilities (BSML left, BSMP middle, and PP right).-indicates that a node is inconsistent between the topology of the MP/ML trees and the Bayesian tree. * indicates that the node has 100 bootstrap percentage or 1.00 posterior probability.
Ijms 24 11167 g007
Table 1. Characteristics of the complete chloroplast genomes of Paraphalaenopsis strains.
Table 1. Characteristics of the complete chloroplast genomes of Paraphalaenopsis strains.
SpeciesSize (bp)LSC (bp)SSC (bp)IRs (bp)Number of GenesProtein Coding GenestRNA GenesrRNA GenesTotal GC (%)LSC GC (%)SSCGC (%)IR GC (%)The Number of ndh Gene Loss /Pseudogenization
P. labukensis147,31185,98911,49224,9151207438836.533.727.843.37 (5)
P. denevel148,90586,51611,62125,3841207438836.433.527.543.28 (4)
P. laycockii ‘semi-alba’149,24086,76111,65525,4121207438836.333.427.643.17 (5)
Table 2. The list of genes in the chloroplast genomes of Paraphalaenopsis species.
Table 2. The list of genes in the chloroplast genomes of Paraphalaenopsis species.
ClassficationGenes
Genetic apparatus
Large ribosomal subunitsrpl2(×2)a, rpl14, rpl16a, rpl20, rpl22, rpl23(×2), rpl32, rpl33, rpl36
Small ribosomal subunitsrps2, rps3, rps4, rps7(×2), rps8, rps11, rps12(×2) b, rps14, rps15, rps16a, rps18, rps19(×2)
RNA polymerase subunitsarpoA, rpoB, rpoC1, rpoC2
Other genesaccD, infA, ccsA, clpPb, matK
Ribosomal RNAsrrn4.5(×2), rrn5(×2), rrn16(×2), rrn23(×2)
Transfer RNAstrnA-UGC(×2)a, trnC-GCA, trnD-GUC, trnE-UUC, trnF-GAA, trnG-GCC, trnG-UCC a, trnH-GUG(×2), trnI-CAU(×2), trnI-GAU(×2) a, trnK-UUU a, trnL-CAA(×2), trnL-UAA a, trnL-UAG, trnM-CAU, trnN-GUU(×2), trnP-UGG, trnQ-UUG, trnR-ACG(×2), trnR-UCU, trnS-GCU, trnS-GGA, trnS-UGA, trnT-UGU, trnT-GGU, trnV-GAC(×2), trnV-UAC a, trnW-CCA, trnY-GUA, trnfM-CAU
Light dependent photosynthesis
Photosystem IpsaA, psaB, psaC, psaI, psaJ
Photosystem IIpsbA, psbB, psbC, psbD, psbE, psbF, psbH, psbI, psbJ, psbK, psbL, psbM, psbN, psbT, psbZ
NAD(P)H dehydrogenase complexndhJ, ndhK, ndhC, ndhB(×2), ndhE, ndhG, ndhIc
F-type ATP synthaseatpA, atpB, atpFa, atpE, atpH, atpI
Cytochrome b/f complexpetA, petBa, petDa, petG, petL, petN
Light independent photosynthesis
Large subunit ofRubiscorbcL
Function uncertainycf1, ycf2(×2), ycf3b, ycf4
a Gene with one intron; b Gene with two introns; c Gene lost in P. labukensis and P. laycockii ‘Semi-alba’; (×2) Gene with two copies.
Disclaimer/Publisher’s Note: The statements, opinions and data contained in all publications are solely those of the individual author(s) and contributor(s) and not of MDPI and/or the editor(s). MDPI and/or the editor(s) disclaim responsibility for any injury to people or property resulting from any ideas, methods, instructions or products referred to in the content.

Share and Cite

MDPI and ACS Style

Chen, J.; Wang, F.; Zhao, Z.; Li, M.; Liu, Z.; Peng, D. Complete Chloroplast Genomes and Comparative Analyses of Three Paraphalaenopsis (Aeridinae, Orchidaceae) Species. Int. J. Mol. Sci. 2023, 24, 11167. https://doi.org/10.3390/ijms241311167

AMA Style

Chen J, Wang F, Zhao Z, Li M, Liu Z, Peng D. Complete Chloroplast Genomes and Comparative Analyses of Three Paraphalaenopsis (Aeridinae, Orchidaceae) Species. International Journal of Molecular Sciences. 2023; 24(13):11167. https://doi.org/10.3390/ijms241311167

Chicago/Turabian Style

Chen, Jinliao, Fei Wang, Zhuang Zhao, Minghe Li, Zhongjian Liu, and Donghui Peng. 2023. "Complete Chloroplast Genomes and Comparative Analyses of Three Paraphalaenopsis (Aeridinae, Orchidaceae) Species" International Journal of Molecular Sciences 24, no. 13: 11167. https://doi.org/10.3390/ijms241311167

APA Style

Chen, J., Wang, F., Zhao, Z., Li, M., Liu, Z., & Peng, D. (2023). Complete Chloroplast Genomes and Comparative Analyses of Three Paraphalaenopsis (Aeridinae, Orchidaceae) Species. International Journal of Molecular Sciences, 24(13), 11167. https://doi.org/10.3390/ijms241311167

Note that from the first issue of 2016, this journal uses article numbers instead of page numbers. See further details here.

Article Metrics

Back to TopTop