Hybrid Nanocomposite Solid Electrolytes (n-C4H9)4NBF4–MgO
Abstract
1. Introduction
- (i)
- classical method of doping the salt with heterovalent dopants. Unfortunately, there are problems with synthesis of organic compounds with doubly charged cations or anions of appreciable ionic size which might form solid solutions;
- (ii)
2. Results and Discussion
2.1. X-ray Diffraction, Electron Microscopy and XPS Studies
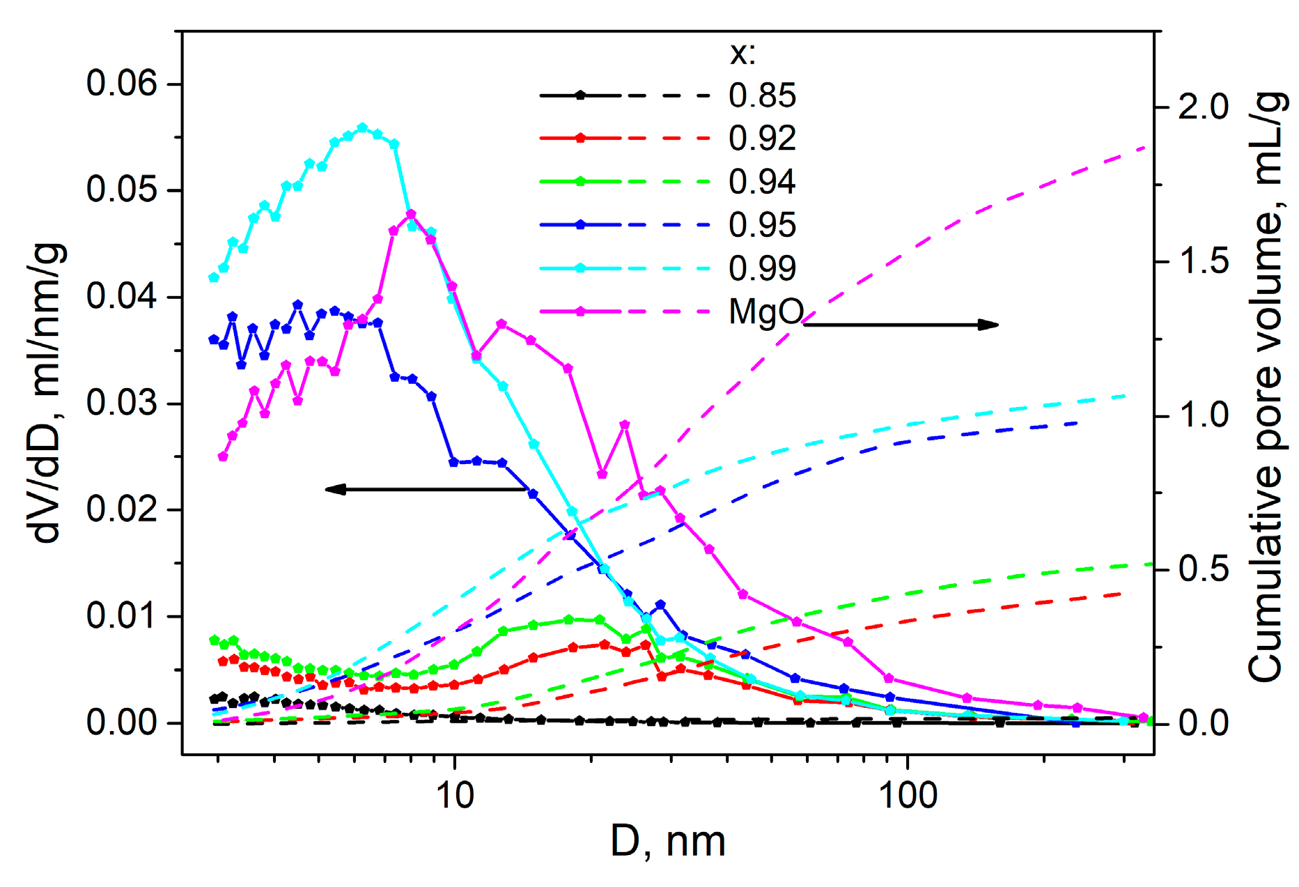
2.2. Thermal and Adsorption Properties
- -
- at low salt content (0.95 < x < 1), the mean pore size decreases that may be explained by filling small interparticle pores of MgO by the salt. The filling proceeds via spreading the salt along the pore surfaces;
- -
- at higher loading of the salt (0.85 < x < 0.94) all small pores (with the size less than 10 nm) are completely filled and only large pores (nearly 20 nm in size) remain unfilled.
- -
- at higher concentration of the salt (x < 0.85), no pores are found by the adsorption measurements;
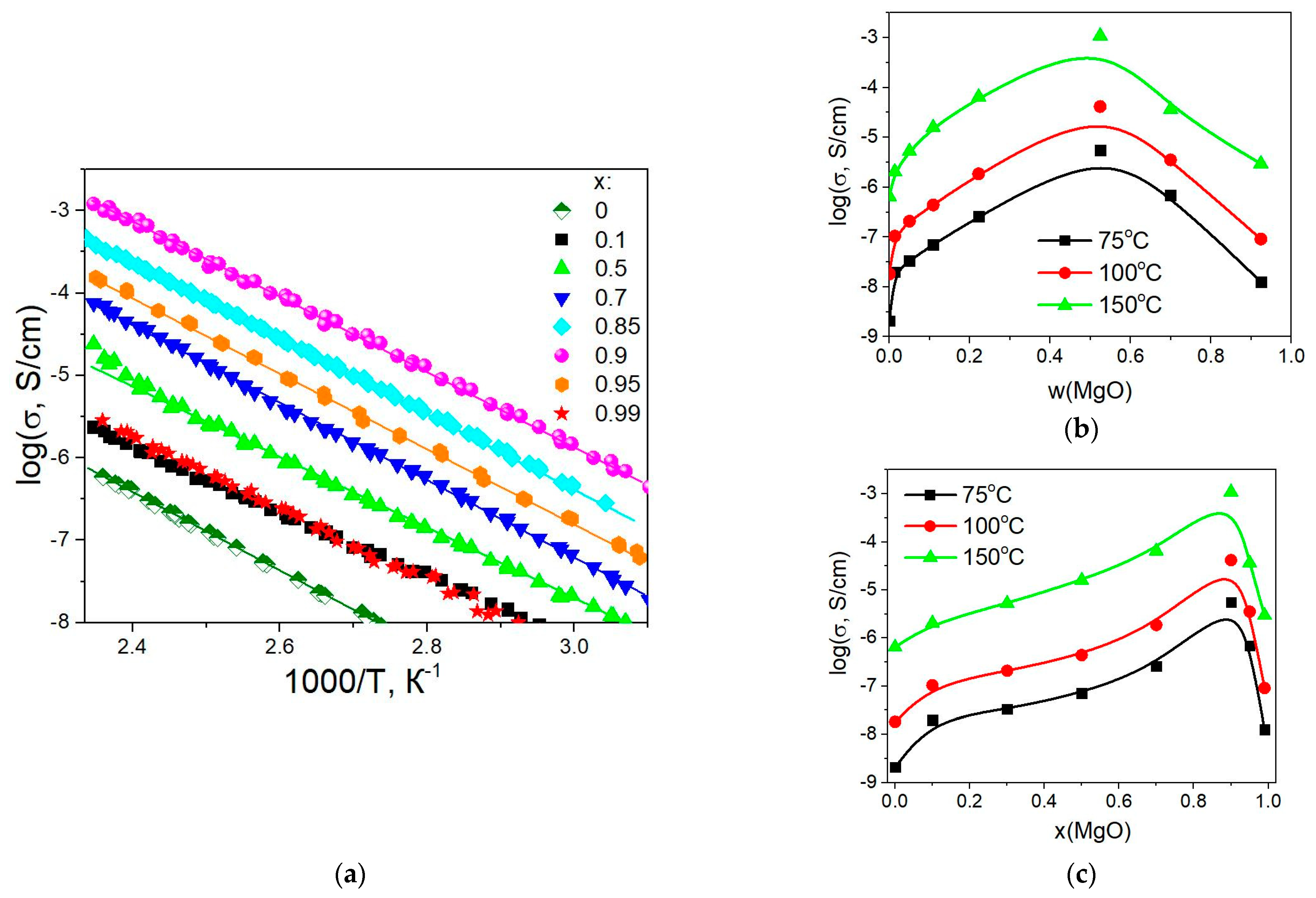
2.3. Ionic Conductivity and Electrochemical Stability
3. Materials and Methods
4. Conclusions
Author Contributions
Funding
Institutional Review Board Statement
Informed Consent Statement
Data Availability Statement
Conflicts of Interest
References
- Das, P.P.; Chaudhary, V.; Singh, R.K.; Singh, D.; Bachchan, A.A. Advancement in hybrid materials, its applications and future challenges: A review. Mater. Today Proc. 2021, 47, 3794–3801. [Google Scholar] [CrossRef]
- Saba, N.; Jawaid, M.; Sultan, M.T.H.; Alothman, O. Hybrid multifunctional composites-Recent applications. In Hybrid Polymer Composite Materials; Thakur, V.K., Thakur, M.K., Pappu, A., Eds.; Woodhead Publishing: Sawston, UK, 2017; pp. 151–167. [Google Scholar]
- Kickelbick, G. Hybrid Materials-Past, Present and Future. De Gryuter Open. 2014, 1, 39–51. [Google Scholar] [CrossRef]
- Kalaj, M.; Bentz, K.C.; Ayala, S., Jr.; Palomba, J.M.; Barcus, K.S.; Katayama, Y.; Cohen, S.M. MOF-Polymer Hybrid Materials: From Simple Composites to Tailored Architectures. Chem. Rev. 2020, 120, 8267–8302. [Google Scholar] [CrossRef]
- García-Martínez, J.-M.; Collar, E.P. Organic–Inorganic Hybrid Materials. Polymers 2021, 13, 86. [Google Scholar] [CrossRef]
- Saleh, T. Polymer Hybrid Materials and Nanocomposites, 1st ed.; William Andrew Publishing: Norwich, NY, USA, 2021; p. 354. [Google Scholar]
- Lu, K. Hybrid materials–a review on co-dispersion, processing, patterning, and properties. Intern. Mater. Rev. 2020, 65, 463–501. [Google Scholar] [CrossRef]
- Dantas de Oliveira, A.; Goncalves Beatrice, C.A. Polymer Nanocomposites with Different Types of Nanofiller. In Nanocomposites–Recent Evolutions; Sivasankaran, S., Ed.; IntechOpen: London, UK, 2019; pp. 103–128. [Google Scholar]
- MacFarlane, D.R.; Forsyth, M. Plastic Crystal Electrolyte Materials: New Perspectives on Solid State Ionics. Adv. Mater. 2001, 13, 957–966. [Google Scholar] [CrossRef]
- Pringle, J.M.; Howlett, P.C.; MacFarlane, D.R.; Forsyth, M. Organic ionic plastic crystals: Recent advances. J. Mater. Chem. 2010, 20, 2056–2062. [Google Scholar] [CrossRef]
- Pas, S.J.; Huang, J.; Forsyth, M.; MacFarlane, D.R.; Hill, A.J. Defect-assisted conductivity in organic ionic plastic crystals. J. Chem. Phys. 2005, 122, 064704. [Google Scholar] [CrossRef] [PubMed]
- Tanabe, T.; Nakamura, D.; Ikeda, R. Novel ionic plastic phase of [(CH3)4N] SCN obtainable above 455 K studied by proton magnetic resonance, electrical conductivity and thermal measurements. J. Chem. Soc. Faraday Trans. 1991, 87, 987–990. [Google Scholar] [CrossRef]
- Ishida, H.; Iwachido, T.; Ikeda, R. Phase transitions in dimethylammonium tetrafluoroborate and molecular motions in its ionic plastic phase studied by 1H and 19F NMR, thermal measurements, and X-ray powder diffraction techniques. Ber. Bunsenges. Phys. Chem. 1992, 96, 1468–1470. [Google Scholar] [CrossRef]
- Iwai, S.; Hattori, M.; Nakamura, D.; Ikeda, R. Ionic dynamics in the rotator phase of n-alkylammonium chlorides (C6–C10), studied by 1H nuclear magnetic resonance, electrical conductivity and thermal measurements. J. Chem. Soc. Faraday Trans. 1993, 89, 827–831. [Google Scholar] [CrossRef]
- Ishida, H.; Furukawa, Y.; Kashino, S.; Sato, S.; Ikeda, R. Phase transitions motions in solid trimethylethylammonium iodide studied by1H and 127I NMR conductivity, X-ray diffraction, and thermal analysis. Ber. Bunsen-Ges. Phys. Chem. 1996, 100, 433–439. [Google Scholar] [CrossRef]
- Shimizu, T.; Tanaka, S.; Onoda-Yamamuro, N.; Ishimaru, S.; Ikeda, R. New rotator phase revealed in di-n-alkylammonium bromides studied by solid-state NMR, powder XRD, electrical conductivity and thermal measurements. J. Chem. Soc. Faraday Trans. 1997, 93, 321–326. [Google Scholar] [CrossRef]
- Seeber, A.J.; Forsyth, M.; Forsyth, C.M.; Forsyth, S.A.; Annat, G.; MacFarlane, D.R. Conductivity, NMR and crystallographic study of N, N, N, N-tetramethylammonium dicyanamide plastic crystal phases: An archetypal ambient temperature plastic electrolyte material. Phys. Chem. Chem. Phys. 2003, 5, 2692–2698. [Google Scholar] [CrossRef]
- Adebahr, J.; Grimsley, M.; Rocher, N.M.; MacFarlane, D.R.; Forsyth, M. Rotational and translational mobility of a highly plastic salt: Dimethyl pyrrolidinium thiocyanate. Solid State Ion. 2008, 178, 1793–1803. [Google Scholar] [CrossRef]
- Asayama, R.; Kawamura, J.; Hattori, T. Phase Transition and Ionic Transport Mechanism of (C4H9)4NI. Chem. Phys. Lett. 2005, 414, 87–91. [Google Scholar] [CrossRef]
- Hayasaki, T.; Hirakawa, S.; Honda, H. Investigation of New Ionic Plastic Crystals in Tetraalkylammonium Tetrabuthylborate. Z. Naturforsch. 2014, 69, 433–440. [Google Scholar] [CrossRef]
- Ono, H.; Ishimaru, S.; Ikeda, R.; Ishida, H. Ionic plastic phase in piperidinium hexafluorophosphate studied by solid NMR, X-ray diffraction, and thermal measurements. Ber. Bunsenges. Phys. Chem. 1998, 102, 650–655. [Google Scholar] [CrossRef]
- Ono, H.; Ishimaru, S.; Ikeda, R.; Ishida, H. 1H, 2H, 19F, 31P and 35Cl NMR Studies on Molecular Motions in Ionic Plastic Phases of Pyrrolidinium Perchlorate and Hexafluorophosphate. Bull. Chem. Soc. Japan. 1999, 72, 2049–2054. [Google Scholar] [CrossRef]
- MacFarlane, D.R.; Meakin, P.; Sun, J.; Amini, N.; Forsyth, M. Pyrrolidinium Imides: A New Family of Molten Salts and Conductive Plastic Crystal Phases. J. Phys. Chem. B 1999, 103, 4164–4170. [Google Scholar] [CrossRef]
- Hill, A.; Huang, J.; Efthimiadis, J.; Meakin, P.; Forsyth, M.; MacFarlane, D. Microstructural and molecular level characterization of plastic crystal phases of pyrrolidinium trifluoromethanesulfonyl salts. Solid State Ion. 2002, 154, 119–124. [Google Scholar] [CrossRef]
- Every, H.A.; Bishop, A.G.; MacFarlane, D.R.; Oradd, G.; Forsyth, M.J. Room temperature fast-ion conduction in imidazolium halide salts. Mater. Chem. 2001, 11, 3031–3036. [Google Scholar] [CrossRef]
- Uvarov, N.F.; Iskakova, A.A.; Bulina, N.V.; Gerasimov, K.B.; Slobodyuk, A.B.; Kavun, V.Y. Ion conductivity of the plastic phase of the organic salt [(C4H9)4NBF4. Russ. J. Electrochem. 2015, 51, 491–494. [Google Scholar] [CrossRef]
- Iskakova, A.A.; Ulikhin, A.S.; Uvarov, N.F.; Gerasimov, K.B.; Mateishina, Y.G. Comparative Study of the Ion Conductivities of Substituted Tetrabutylammonium Salts (C4H9)4N]BF4 and [(C4H9)4N]. Br. Russ. J. Electrochem. 2017, 53, 880–883. [Google Scholar] [CrossRef]
- Eglitis, R.I.; Bocharov, D.; Piskunov, S.; Jia, R. Review of First Principles Simulations of STO/BTO, STO/PTO and SZO/PZO (001) Heterostructures. Crystals 2023, 13, 799. [Google Scholar] [CrossRef]
- Uvarov, N.F. Composite solid electrolytes: Recent advances and design strategies. J. Solid State Electrochem. 2011, 15, 367–389. [Google Scholar] [CrossRef]
- Uvarov, N.F.; Ulihin, A.S.; Mateyshina, Y.G. Nanocomposite Alkali-Ion Solid Electrolytes. In Advanced Nanomaterials for Catalysis and Energy Synthesis, Characterization and Applications, A Volume in Advanced Nanomaterials; Chapter 11; Sadykov, V.A., Ed.; Elsevier: Amsterdam, The Netherlands, 2019; pp. 393–434. [Google Scholar]
- Ulihin, A.S.; Uvarov, N.F.; Kovalenko, K.A.; Fedin, V.P. Ionic conductivity of tetra-n-butylammonium tetrafluoroborate in the MIL-101(Cr) metal-organic framework. Microporous Mesoporous Mat. 2022, 332, 111710. [Google Scholar] [CrossRef]
- Ulihin, A.S.; Uvarov, N.F.; Rabadanov, K.S.; Gafurov, M.M.; Gerasimov, K.B. Thermal, structural and transport properties of composite solid electrolytes (1-x) (C4H9)4NBF4–xAl2O3. Solid State Ion. 2022, 378, 115889. [Google Scholar] [CrossRef]
- Alekseev, D.V.; Mateyshina, Y.G.; Uvarov, N.F. Effect of nanodiamond additives on the ionic conductivity of the (C2H5)3CH3NBF4 organic salt. Russ. J. Electrochem. 2022, 58, 594–599. [Google Scholar] [CrossRef]
- Ponomareva, V.G.; Bagryantseva, I.N.; Dormidonova, D.O.; Uvarov, N.F. Stabilization of Et4NHSO4 high temperature phase in the new silica-based nanocomposite systems. Molecules 2022, 27, 8805. [Google Scholar] [CrossRef] [PubMed]
- Matsumoto, K.; Harinaga, U.; Tanaka, R.; Koyama, A.; Hagiwaraa, R.; Tsunashima, K. The structural classification of the highly disordered crystal phases of [Nn][BF4], [Nn][PF6], [Pn][BF4], and [Pn][PF6] salts (Nn+ = tetraalkylammonium and Pn+ = tetraalkylphosphonium). Phys. Chem. Chem. Phys. 2014, 16, 23616–23626. [Google Scholar] [CrossRef] [PubMed]
- Moulder, J.F.; Stickle, W.F.; Sobol, P.E.; Bomben, K.D. Handbook of X-Ray Photoelectron Spectroscopy; Perkin—Elmer Corp.: Eden Prairie, MN, USA, 1992; p. 261. [Google Scholar]
- Che, L.; Guo, Y.; Liao, C.; Sheng, X.; Zeng, Z.; Liu, Z.; Cai, C. One-step fabrication of effective mesoporous layer consisted of self-assembled MgO/TiO2 core/shell nanoparticles for mesostructured perovskite solar cells. Mater. Res. Express 2019, 6, 086440. [Google Scholar] [CrossRef]
- Scofield, J.H. Hartree-Slater subshell photoionization cross-sections at 1254 and 1487 eV. J. Electron Spectrosc. Relat. Phenom. 1976, 8, 129–137. [Google Scholar] [CrossRef]
- Uvarov, N.; Ulihin, A.; Ponomareva, V.; Kovalenko, K.; Fedin, V. Effect of Pore Filling on Properties of Nanocomposites LiClO4–MIL–101(Cr) with High Ionic Conductivity. Nanomaterials 2022, 12, 3263. [Google Scholar] [CrossRef] [PubMed]
- Available online: http://www.abc.chemistry.bsu.by/vi/analyser/ (accessed on 27 June 2023).










| Sample | Elements, Atomic Percent | Atomic Ratio | ||||||||
|---|---|---|---|---|---|---|---|---|---|---|
| Mg | B | C | N | O | F | F/B | N/C | O/Mg | Mg/C | |
| MgO | 32.6 | 0.0 | 34.3 | 0.0 | 33.1 | 0.0 | 0.0 | 0.000 | 1.0 | 0.95 |
| Bu4NBF4 | 0.0 | 4.9 | 66.4 | 4.2 | 2.3 | 22.2 | 4.5 | 0.063 | - | - |
| 0.08Bu4NBF4-0.92MgO | 24.1 | 2.4 | 40.0 | 0.0 | 24.2 | 9.3 | 3.9 | 0.000 | 1.0 | 0.60 |
| x | 0 | 0.3 | 0.5 | 0.7 | 0.85 | 0.9 | 0.95 |
|---|---|---|---|---|---|---|---|
| Ea, eV | 1.00 ± 0.01 | 0.89 ± 0.02 | 0.98 ± 0.02 | 1.01 ± 0.02 | 0.93 ± 0.02 | 0.92 ± 0.02 | 0.95 ± 0.02 |
| log(A, S·cm·K−1) | 8.32 ± 0.10 | 7.99 ± 0.10 | 9.40 ± 0.10 | 10.3 ± 0.2 | 10.3 ± 0.2 | 10.6 ± 0.2 | 10.0 ± 0.2 |
Disclaimer/Publisher’s Note: The statements, opinions and data contained in all publications are solely those of the individual author(s) and contributor(s) and not of MDPI and/or the editor(s). MDPI and/or the editor(s) disclaim responsibility for any injury to people or property resulting from any ideas, methods, instructions or products referred to in the content. |
© 2023 by the authors. Licensee MDPI, Basel, Switzerland. This article is an open access article distributed under the terms and conditions of the Creative Commons Attribution (CC BY) license (https://creativecommons.org/licenses/by/4.0/).
Share and Cite
Mateyshina, Y.; Stebnitskii, I.; Shivtsov, D.; Ilyina, E.; Ulihin, A.; Bukhtiyarov, A.; Uvarov, N. Hybrid Nanocomposite Solid Electrolytes (n-C4H9)4NBF4–MgO. Int. J. Mol. Sci. 2023, 24, 10949. https://doi.org/10.3390/ijms241310949
Mateyshina Y, Stebnitskii I, Shivtsov D, Ilyina E, Ulihin A, Bukhtiyarov A, Uvarov N. Hybrid Nanocomposite Solid Electrolytes (n-C4H9)4NBF4–MgO. International Journal of Molecular Sciences. 2023; 24(13):10949. https://doi.org/10.3390/ijms241310949
Chicago/Turabian StyleMateyshina, Yulia, Ivan Stebnitskii, Danil Shivtsov, Ekaterina Ilyina, Artem Ulihin, Andrey Bukhtiyarov, and Nikolai Uvarov. 2023. "Hybrid Nanocomposite Solid Electrolytes (n-C4H9)4NBF4–MgO" International Journal of Molecular Sciences 24, no. 13: 10949. https://doi.org/10.3390/ijms241310949
APA StyleMateyshina, Y., Stebnitskii, I., Shivtsov, D., Ilyina, E., Ulihin, A., Bukhtiyarov, A., & Uvarov, N. (2023). Hybrid Nanocomposite Solid Electrolytes (n-C4H9)4NBF4–MgO. International Journal of Molecular Sciences, 24(13), 10949. https://doi.org/10.3390/ijms241310949

