Chronic SSRI Treatment, but Not Norepinephrine Reuptake Inhibitor Treatment, Increases Neurogenesis in Juvenile Rats
Abstract
:1. Introduction
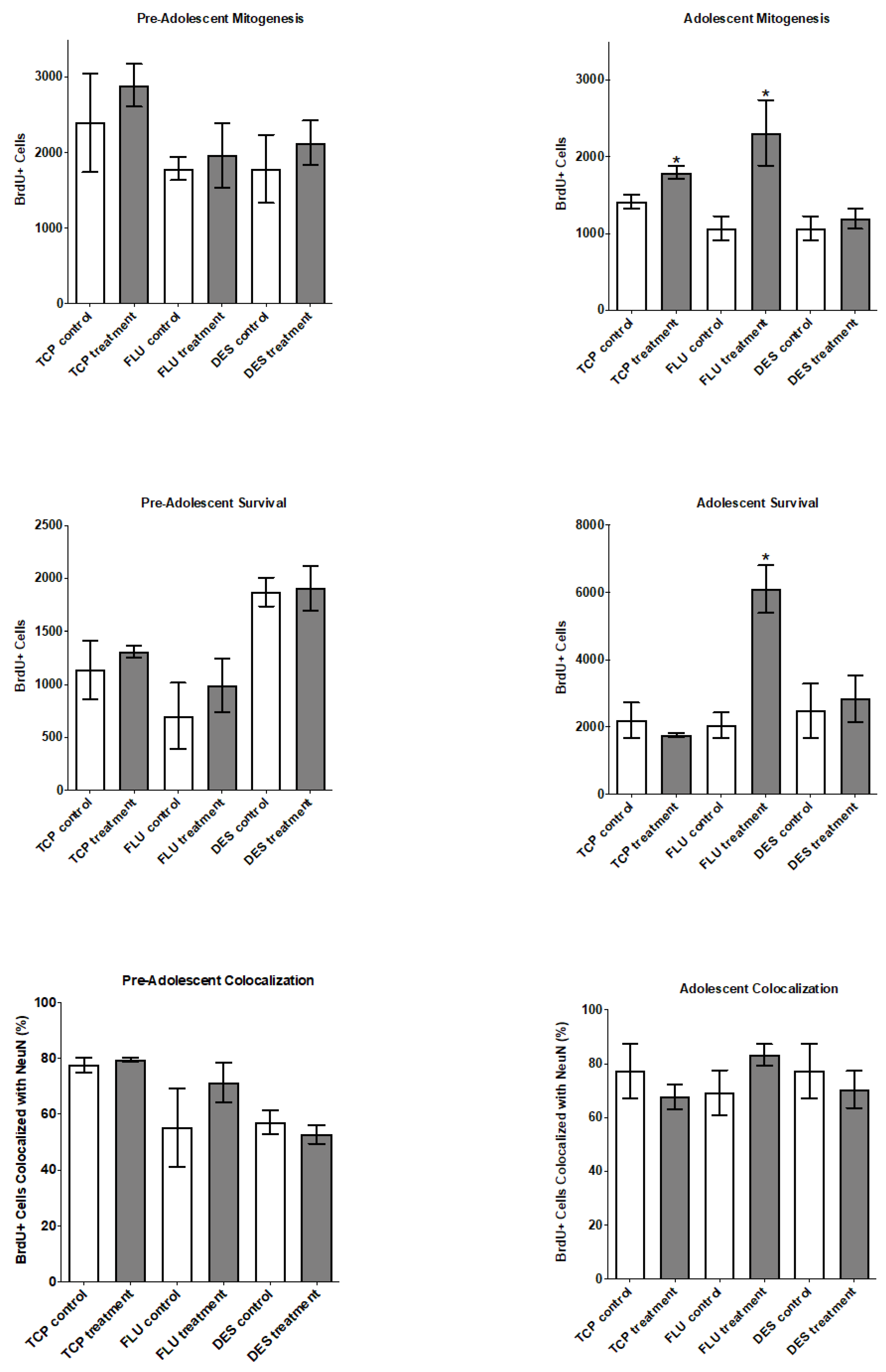
2. Results
3. Discussion
4. Materials and Methods
4.1. Drug Treatment
4.2. Immunohistochemical Assay for Mitogenesis in the Dorsal Hippocampus
4.3. Immunohistochemical Assay for Neurogenesis in the Dorsal Hippocampus
4.4. Statistical Analyses
5. Conclusions
Author Contributions
Funding
Institutional Review Board Statement
Informed Consent Statement
Acknowledgments
Conflicts of Interest
Abbreviations
| SSRI | Serotonin Selective Reuptake Inhibitor |
| BDNF | Brain-derived Neurotrophic Factor |
| TrkB | Tropomyosin Receptor Kinase B |
| BrdU | Bromodeoxyuridine |
| TCP | Tranylcypromine |
References
- Keller, M.B.; Ryan, N.D.; Strober, M.; Klein, R.G.; Kutcher, S.P.; Birmaher, B.; Hagino, O.R.; Koplewicz, H.; Carlson, G.A.; Clarke, G.N.; et al. Efficacy of paroxetine in the treatment of adolescent major depression: A randomized, controlled trial. J. Am. Acad. Child Adolesc. Psychiatry 2001, 40, 762–772. [Google Scholar] [CrossRef] [PubMed] [Green Version]
- Ryan, N.D.; Varma, D. Child and adolescent mood disorders--experience with serotonin-based therapies. Biol. Psychiatry 1998, 44, 336–340. [Google Scholar] [CrossRef]
- Hazell, P.; O’Connell, D.; Heathcote, D.; Robertson, J.; Henry, D. Efficacy of tricyclic drugs in treating child and adolescent depression: A meta-analysis. BMJ 1995, 310, 897–901. [Google Scholar] [CrossRef] [PubMed] [Green Version]
- Hazell, P.; O’Connell, D.; Heathcote, D.; Henry, D. Tricyclic drugs for depression in children and adolescents. Cochrane Database Syst. Rev. 2002, 2. [Google Scholar] [CrossRef]
- Cheung, A.H.; Zuckerbrot, R.A.; Jensen, P.S.; Ghalib, K.; Laraque, D.; Stein, R.E. Guidelines for Adolescent Depression in Primary Care (GLAD-PC): II. Treatment and ongoing management. Pediatrics 2007, 120, e1313–e1326. [Google Scholar] [CrossRef] [Green Version]
- Sairanen, M.; Lucas, G.; Ernfors, P.; Castren, M.; Castren, E. Brain-derived neurotrophic factor and antidepressant drugs have different but coordinated effects on neuronal turnover, proliferation, and survival in the adult dentate gyrus. J. Neurosci. 2005, 25, 1089–1094. [Google Scholar] [CrossRef] [PubMed] [Green Version]
- Santarelli, L.; Saxe, M.; Gross, C.; Surget, A.; Battaglia, F.; Dulawa, S.; Weisstaub, N.; Lee, J.; Duman, R.; Arancio, O.; et al. Requirement of hippocampal neurogenesis for the behavioral effects of antidepressants. Science 2003, 301, 805–809. [Google Scholar] [CrossRef] [Green Version]
- Reed, A.L.; Happe, H.K.; Petty, F.; Bylund, D.B. Juvenile rats in the forced-swim test model the human response to antidepressant treatment for pediatric depression. Psychopharmacology 2008, 197, 433–441. [Google Scholar] [CrossRef]
- Kozisek, M.E.; Middlemas, D.; Bylund, D.B. Brain-derived neurotrophic factor and its receptor tropomyosin-related kinase B in the mechanism of action of antidepressant therapies. Pharmacol. Ther. 2008, 117, 30–51. [Google Scholar] [CrossRef]
- Kozisek, M.E.; Middlemas, D.; Bylund, D.B. The differential regulation of BDNF and TrkB levels in juvenile rats after four days of escitalopram and desipramine treatment. Neuropharmacology 2008, 54, 251–257. [Google Scholar] [CrossRef]
- Iniguez, S.D.; Warren, B.L.; Bolanos-Guzman, C.A. Short- and long-term functional consequences of fluoxetine exposure during adolescence in male rats. Biol. Psychiatry 2010, 67, 1057–1066. [Google Scholar] [CrossRef] [PubMed] [Green Version]
- Bridge, J.A.; Iyengar, S.; Salary, C.B.; Barbe, R.P.; Birmaher, B.; Pincus, H.A.; Ren, L.; Brent, D.A. Clinical response and risk for reported suicidal ideation and suicide attempts in pediatric antidepressant treatment: A meta-analysis of randomized controlled trials. JAMA 2007, 297, 1683–1696. [Google Scholar] [CrossRef] [PubMed]
- Warner-Schmidt, J.L.; Duman, R.S. Hippocampal neurogenesis: Opposing effects of stress and antidepressant treatment. Hippocampus 2006, 16, 239–249. [Google Scholar] [CrossRef]
- Kalynchuk, L.E.; Gregus, A.; Boudreau, D.; Perrot-Sinal, T.S. Corticosterone increases depression-like behavior, with some effects on predator odor-induced defensive behavior, in male and female rats. Behav. Neurosci. 2004, 118, 1365–1377. [Google Scholar] [CrossRef]
- Nickle, T.R.; Stanley, E.M.; Middlemas, D.S. Corticosterone Induces Depressive-Like Behavior in Female Peri-Pubescent Rats, but Not in Pre-Pubescent Rats. Chronic Stress 2020, 4, 2470547020923711. [Google Scholar] [CrossRef] [PubMed]
- Malberg, J.E.; Eisch, A.J.; Nestler, E.J.; Duman, R.S. Chronic antidepressant treatment increases neurogenesis in adult rat hippocampus. J. Neurosci. 2000, 20, 9104–9110. [Google Scholar] [CrossRef]
- Kratochvil, C.J.; Vitiello, B.; Walkup, J.; Emslie, G.; Waslick, B.D.; Weller, E.B.; Burke, W.J.; March, J.S. Selective serotonin reuptake inhibitors in pediatric depression: Is the balance between benefits and risks favorable? J. Child Adolesc. Psychopharmacol. 2006, 16, 11–24. [Google Scholar] [CrossRef]
- Marcussen, A.B.; Flagstad, P.; Kristjansen, P.E.; Johansen, F.F.; Englund, U. Increase in neurogenesis and behavioural benefit after chronic fluoxetine treatment in Wistar rats. Acta Neurol. Scand. 2008, 117, 94–100. [Google Scholar] [CrossRef]
- Tsoory, M.; Richter-Levin, G. Learning under stress in the adult rat is differentially affected by ‘juvenile’ or ‘adolescent’ stress. Int. J. Neuropsychopharmacol. 2006, 9, 713–728. [Google Scholar] [CrossRef] [Green Version]
- Middlemas, D.S.; Lindberg, R.A.; Hunter, T. trkB, a neural receptor protein-tyrosine kinase: Evidence for a full-length and two truncated receptors. Mol. Cell. Biol. 1991, 11, 143–153. [Google Scholar]
- Soppet, D.; Escandon, E.; Maragos, J.; Middlemas, D.S.; Reid, S.W.; Blair, J.; Burton, L.E.; Stanton, B.R.; Kaplan, D.R.; Hunter, T.; et al. The neurotrophic factors brain-derived neurotrophic factor and neurotrophin-3 are ligands for the trkB tyrosine kinase receptor. Cell 1991, 65, 895–903. [Google Scholar] [CrossRef]
- Paxinos, G.; Watson, C. The Rat Brain, 4th ed.; Academic Press: Cambridge, MA, USA, 1998. [Google Scholar]
- Ekdahl, C.T.; Claasen, J.H.; Bonde, S.; Kokaia, Z.; Lindvall, O. Inflammation is detrimental for neurogenesis in adult brain. Proc. Natl. Acad. Sci. USA 2003, 100, 13632–13637. [Google Scholar] [CrossRef] [PubMed] [Green Version]
- Bylund, D.B.; Reed, A.L. Childhood and adolescent depression: Why do children and adults respond differently to antidepressant drugs? Neurochem. Int. 2007, 51, 246–253. [Google Scholar] [CrossRef] [PubMed] [Green Version]





Publisher’s Note: MDPI stays neutral with regard to jurisdictional claims in published maps and institutional affiliations. |
© 2022 by the authors. Licensee MDPI, Basel, Switzerland. This article is an open access article distributed under the terms and conditions of the Creative Commons Attribution (CC BY) license (https://creativecommons.org/licenses/by/4.0/).
Share and Cite
Hovorka, M.; Ewing, D.; Middlemas, D.S. Chronic SSRI Treatment, but Not Norepinephrine Reuptake Inhibitor Treatment, Increases Neurogenesis in Juvenile Rats. Int. J. Mol. Sci. 2022, 23, 6919. https://doi.org/10.3390/ijms23136919
Hovorka M, Ewing D, Middlemas DS. Chronic SSRI Treatment, but Not Norepinephrine Reuptake Inhibitor Treatment, Increases Neurogenesis in Juvenile Rats. International Journal of Molecular Sciences. 2022; 23(13):6919. https://doi.org/10.3390/ijms23136919
Chicago/Turabian StyleHovorka, Michelle, David Ewing, and David S. Middlemas. 2022. "Chronic SSRI Treatment, but Not Norepinephrine Reuptake Inhibitor Treatment, Increases Neurogenesis in Juvenile Rats" International Journal of Molecular Sciences 23, no. 13: 6919. https://doi.org/10.3390/ijms23136919
APA StyleHovorka, M., Ewing, D., & Middlemas, D. S. (2022). Chronic SSRI Treatment, but Not Norepinephrine Reuptake Inhibitor Treatment, Increases Neurogenesis in Juvenile Rats. International Journal of Molecular Sciences, 23(13), 6919. https://doi.org/10.3390/ijms23136919
