The Role of Heparan Sulfate in CCL26-Induced Eosinophil Chemotaxis
Abstract
:1. Introduction
2. Results
2.1. CCL26 Structure Analysis and Engineering
2.2. Recombinant Protein Expression and Purification
2.3. Determination of Glycosaminoglycan-Binding Affinities by Isothermal Fluorescence Titration (IFT)
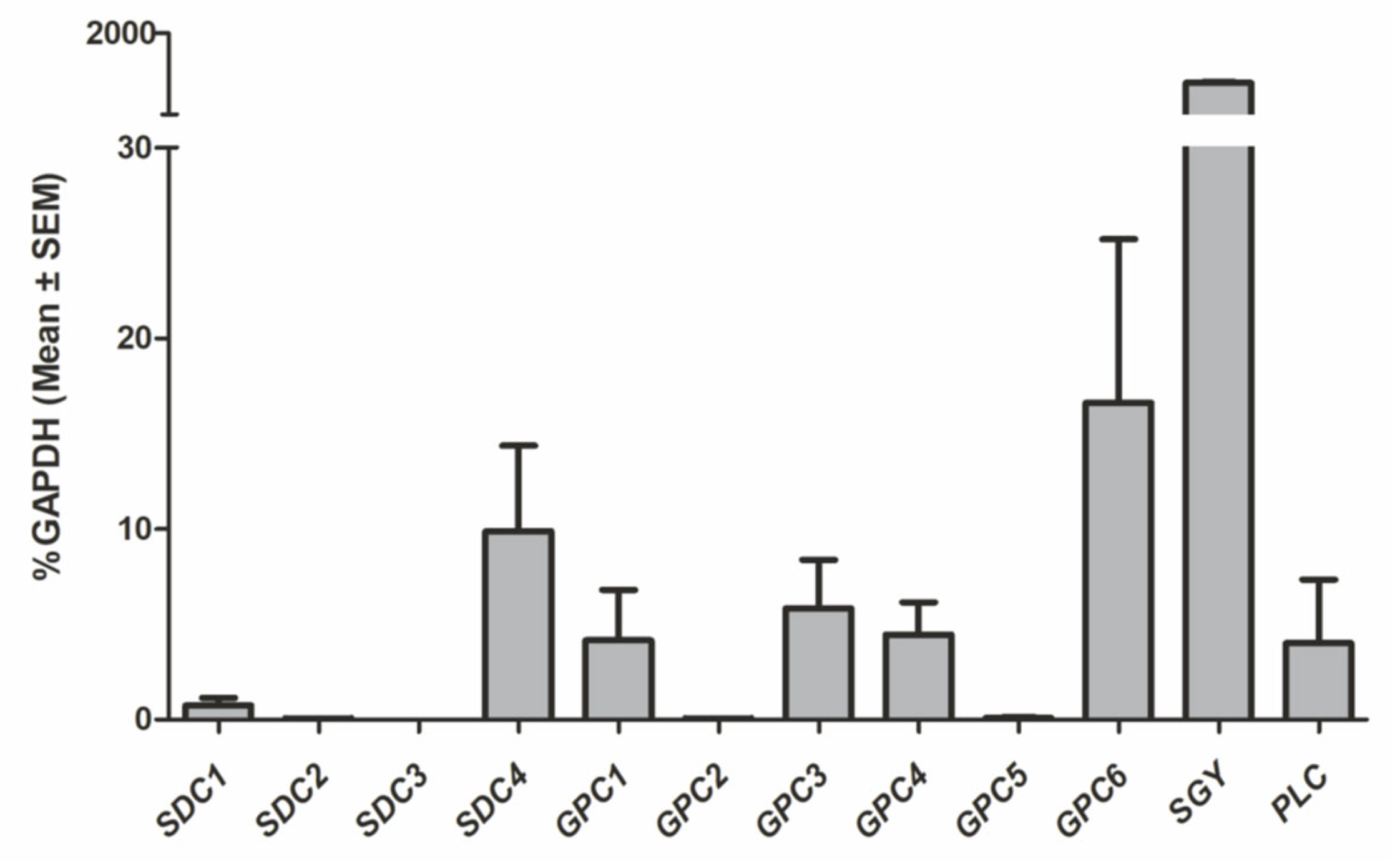
2.4. Quantitative Real-Time PCR of Proteoglycans on RNA Level
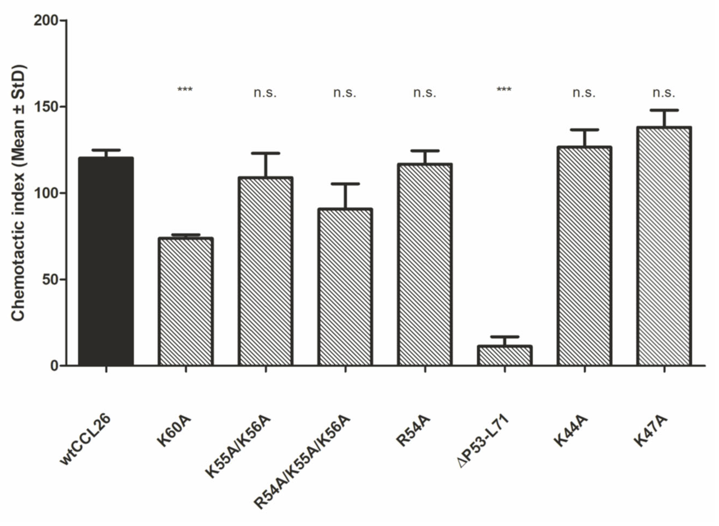
2.5. Eosinophil-Based Migration Assays
2.6. Chemotaxis of Eosinophils Incubated with an Anti-Serglycin Antibody
3. Materials and Methods
3.1. Mutagenesis
3.2. Fermentation and Purification of CCL26 and Mutants
3.3. Structural Characterization: Far-UV Circular Dichroism Spectroscopy
3.4. Isothermal Fluorescence Titration (IFT)
3.5. Preparation of Human Eosinophils
3.6. RNA Isolation and qPCR of Proteoglycans
3.7. Eosinophil Chemotaxis
Treatment of Cells
3.8. Statistics
4. Conclusions
Supplementary Materials
Author Contributions
Funding
Institutional Review Board Statement
Informed Consent Statement
Data Availability Statement
Acknowledgments
Conflicts of Interest
References
- Zlotnik, A.; Yoshie, O. Chemokines. Immunity 2000, 12, 121–127. [Google Scholar] [CrossRef]
- Murphy, P.M.; Baggiolini, M.; Charo, I.F.; Hébert, C.A.; Horuk, R.; Matsushima, K.; Miller, L.H.; Oppenheim, J.J.; Power, C.A. International union of pharmacology. XXII. Nomenclature for chemokine receptors. Pharmacol. Rev. 2000, 52, 145–176. [Google Scholar] [PubMed]
- Hughes, C.E.; Nibbs, R.J.B. A guide to chemokines and their receptors. FEBS J. 2018, 285, 2944–2971. [Google Scholar] [CrossRef] [PubMed]
- Kitaura, M.; Suzuki, N.; Imai, T.; Takagi, S.; Suzuki, R.; Nakajima, T.; Hirai, K.; Nomiyama, H.; Yoshie, O. Molecular cloning of a novel human CC chemokine (Eotaxin-3) that is a functional ligand of CC chemokine receptor 3. J. Biol. Chem. 1999, 274, 27975–27980. [Google Scholar] [CrossRef]
- Pease, J.E.; Williams, T.J. Editorial: Are all eotaxins created equal? J. Leukoc. Biol. 2013, 94, 207–209. [Google Scholar] [CrossRef]
- Uguccioni, M.; Mackay, C.R.; Ochensberger, B.; Loetscher, P.; Rhis, S.; LaRosa, G.J.; Rao, P.; Ponath, P.D.; Baggiolini, M.; Dahinden, C.A. High expression of the chemokine receptor CCR3 in human blood basophils. Role in activation by eotaxin, MCP-4, and other chemokines. J. Clin. Investig. 1997, 100, 1137–1143. [Google Scholar] [CrossRef]
- Gerber, B.O.; Zanni, M.P.; Uguccioni, M.; Loetscher, M.; Mackay, C.R.; Pichler, W.J.; Yawalkar, N.; Baggiolini, M.; Moser, B. Functional expression of the eotaxin receptor CCR3 in T lymphocytes co-localizing with eosinophils. Curr. Biol. 1997, 7, 836–843. [Google Scholar] [CrossRef]
- Höchstetter, R.; Dobos, G.; Kimmig, D.; Dulkys, Y.; Kapp, A.; Elsner, J. The CC chemokine receptor 3 CCR3 is functionally expressed on eosinophils but not on neutrophils. Eur. J. Immunol. 2000, 30, 2759–2764. [Google Scholar] [CrossRef]
- Dulkys, Y.; Kluthe, C.; Buschermöhle, T.; Barg, I.; Knöss, S.; Kapp, A.; Proudfoot, A.E.; Elsner, J. IL-3 induces down-regulation of CCR3 protein and mRNA in human eosinophils. J. Immunol. 2001, 167, 3443–3453. [Google Scholar] [CrossRef]
- Blanchard, C.; Wang, N.; Stringer, K.F.; Mishra, A.; Fulkerson, P.C.; Abonia, J.P.; Jameson, S.C.; Kirby, C.; Konikoff, M.R.; Collins, M.H.; et al. Eotaxin-3 and a uniquely conserved gene-expression profile in eosinophilic esophagitis. J. Clin. Investig. 2006, 116, 536–547. [Google Scholar] [CrossRef]
- Caldwell, J.M.; Collins, M.H.; Stucke, E.M.; Putnam, P.E.; Franciosi, J.P.; Kushner, J.P.; Abonia, J.P.; Rothenberg, M.E. Histological eosinophilic gastritis is a systemic disorder associated with blood and extra-gastric eosinophilia, Th2 immunity, and a unique gastric transcriptome. J. Allergy Clin. Immunol. 2014, 134, 1114–1124. [Google Scholar] [CrossRef] [PubMed]
- Shoda, T.; Morita, H.; Nomura, I.; Ishimura, N.; Ishihara, S.; Matsuda, A.; Matsumoto, K.; Kinoshita, Y. Comparison of gene expression profiles in eosinophilic esophagitis (EoE) between Japan and Western countries. Allergol. Int. 2015, 64, 260–265. [Google Scholar] [CrossRef] [PubMed]
- Holgate, S.T. Asthma. In Mucosal Immunology; Elsevier: Amsterdam, The Netherlands, 2015; pp. 1833–1856. ISBN 9780124158474. [Google Scholar]
- Yuan, Q.; Campanella, G.S.; Colvin, R.A.; Hamilos, D.L.; Jones, K.J.; Mathew, A.; Means, T.K.; Luster, A.D. Membrane-bound eotaxin-3 mediates eosinophil transepithelial migration in IL-4-stimulated epithelial cells. Eur. J. Immunol. 2006, 36, 2700–2714. [Google Scholar] [CrossRef] [PubMed]
- Cuvelier, S.L.; Patel, K.D. Shear-dependent eosinophil transmigration on interleukin 4-stimulated endothelial cells: A role for endothelium-associated eotaxin-3. J. Exp. Med. 2001, 194, 1699–1709. [Google Scholar] [CrossRef] [PubMed]
- Gandhi, N.S.; Mancera, R.L. The structure of glycosaminoglycans and their interactions with proteins. Chem. Biol. Drug Des. 2008, 72, 455–482. [Google Scholar] [CrossRef] [PubMed]
- Bertozzi, C.R.; Rabuka, D. Structural Basis of Glycan Diversity. In Essentials of Glycobiology, 2nd ed.; Varki, A., Cummings, R.D., Esko, J.D., Eds.; Cold Spring Harbor Laboratory Press: Cold Spring Harbor, NY, USA, 2009. [Google Scholar]
- Reitsma, S.; Slaaf, D.W.; Vink, H.; van Zandvoort, M.A. The endothelial glycocalyx: Composition, functions, and visualization. Pflug. Arch. 2007, 454, 345–359. [Google Scholar] [CrossRef]
- Tarbell, J.M.; Pahakis, M.Y. Mechanotransduction and the glycocalyx. J. Intern. Med. 2006, 259, 339–350. [Google Scholar] [CrossRef]
- Xu, D.; Esko, J.D. Demystifying heparan sulfate-protein interactions. Annu. Rev. Biochem. 2014, 83, 129–157. [Google Scholar] [CrossRef]
- Proost, P.; Wuyts, A.; van Damme, J. The role of chemokines in inflammation. Int. J. Clin. Lab. Res. 1996, 26, 211–223. [Google Scholar] [CrossRef]
- Proudfoot, A.E.I.; Johnson, Z.; Bonvin, P.; Handel, T.M. Glycosaminoglycan Interactions with Chemokines Add Complexity to a Complex System. Pharmaceuticals 2017, 10, 70. [Google Scholar] [CrossRef]
- Ali, S.; Robertson, H.; Wain, J.H.; Isaacs, J.D.; Malik, G.; Kirby, J.A. A non-glycosaminoglycan-binding variant of CC chemokine ligand 7 (monocyte chemoattractant protein-3) antagonizes chemokine-mediated inflammation. J. Immunol. 2005, 175, 1257–1266. [Google Scholar] [CrossRef] [PubMed]
- Chakravarty, L.; Rogers, L.; Quach, T.; Breckenridge, S.; Kolattukudy, P.E. Lysine 58 and histidine 66 at the C-terminal alpha-helix of monocyte chemoattractant protein-1 are essential for glycosaminoglycan binding. J. Biol. Chem. 1998, 273, 29641–29647. [Google Scholar] [CrossRef] [PubMed]
- Peterson, F.C.; Elgin, E.S.; Nelson, T.J.; Zhang, F.; Hoeger, T.J.; Linhardt, R.J.; Volkman, B.F. Identification and characterization of a glycosaminoglycan recognition element of the C chemokine lymphotactin. J. Biol. Chem. 2004, 279, 12598–12604. [Google Scholar] [CrossRef] [PubMed]
- Cohen, E. Extracellular Sugar-Based Biopolymers Matrices; Springer International Publishing AG: Cham, Germany, 2019; ISBN 9783030129194. [Google Scholar]
- Ikeda, M.; Ohkawa, S.; Okusaka, T.; Mitsunaga, S.; Kobayashi, S.; Morizane, C.; Suzuki, I.; Yamamoto, S.; Furuse, J. Japanese phase I study of GC33, a humanized antibody against glypican-3 for advanced hepatocellular carcinoma. Cancer Sci. 2014, 105, 455–462. [Google Scholar] [CrossRef] [PubMed]
- Ferro, V.; Dredge, K.; Liu, L.; Hammond, E.; Bytheway, I.; Li, C.; Johnstone, K.; Karoli, T.; Davis, K.; Copeman, E.; et al. PI-88 and novel heparan sulfate mimetics inhibit angiogenesis. Semin. Thromb. Hemost. 2007, 33, 557–568. [Google Scholar] [CrossRef]
- Falsone, A.; Wabitsch, V.; Geretti, E.; Potzinger, H.; Gerlza, T.; Robinson, J.; Adage, T.; Teixeira, M.M.; Kungl, A.J. Designing CXCL8-based decoy proteins with strong anti-inflammatory activity In Vivo. Biosci. Rep. 2013, 33, 743–754. [Google Scholar] [CrossRef]
- Monneau, Y.; Arenzana-Seisdedos, F.; Lortat-Jacob, H. The sweet spot: How GAGs help chemokines guide migrating cells. J. Leukoc. Biol. 2016, 99, 935–953. [Google Scholar] [CrossRef]
- Gerlza, T.; Nagele, M.; Mihalic, Z.; Trojacher, C.; Kungl, A. Glycosaminoglycans located on neutrophils and monocytes impact on CXCL8- and CCL2-induced cell migration. Cytokine 2021, 142, 155503. [Google Scholar] [CrossRef]
- Lau, E.K.; Paavola, C.D.; Johnson, Z.; Gaudry, J.-P.; Geretti, E.; Borlat, F.; Kungl, A.J.; Proudfoot, A.E.; Handel, T.M. Identification of the glycosaminoglycan binding site of the CC chemokine, MCP-1: Implications for structure and function in vivo. J. Biol. Chem. 2004, 279, 22294–22305. [Google Scholar] [CrossRef]
- Fadnes, B.; Husebekk, A.; Svineng, G.; Rekdal, Ø.; Yanagishita, M.; Kolset, S.O.; Uhlin-Hansen, L. The proteoglycan repertoire of lymphoid cells. Glycoconj. J. 2012, 29, 513–523. [Google Scholar] [CrossRef]
- Wegrowski, Y.; Milard, A.-L.; Kotlarz, G.; Toulmonde, E.; Maquart, F.-X.; Bernard, J. Cell surface proteoglycan expression during maturation of human monocytes-derived dendritic cells and macrophages. Clin. Exp. Immunol. 2006, 144, 485–493. [Google Scholar] [CrossRef] [PubMed]
- Feistritzer, C.; Kaneider, N.C.; Sturn, D.H.; Wiedermann, C.J. Syndecan-4-dependent migration of human eosinophils. Clin. Exp. Allergy 2004, 34, 696–703. [Google Scholar] [CrossRef] [PubMed]
- Polte, T.; Petzold, S.; Bertrand, J.; Schütze, N.; Hinz, D.; Simon, J.C.; Lehmann, I.; Echtermeyer, F.; Pap, T.; Averbeck, M. Critical role for syndecan-4 in dendritic cell migration during development of allergic airway inflammation. Nat. Commun. 2015, 6, 7554. [Google Scholar] [CrossRef]
- Kolset, S.O.; Pejler, G. Serglycin: A structural and functional chameleon with wide impact on immune cells. J. Immunol. 2011, 187, 4927–4933. [Google Scholar] [CrossRef] [PubMed]
- Rothenberg, M.E.; Pomerantz, J.L.; Owen, W.F.; Avraham, S.; Soberman, R.J.; Austen, K.F.; Stevens, R.L. Characterization of a human eosinophil proteoglycan, and augmentation of its biosynthesis and size by interleukin 3, interleukin 5, and granulocyte/macrophage colony stimulating factor. J. Biol. Chem. 1988, 263, 13901–13908. [Google Scholar] [CrossRef]
- Sarrazin, S.; Lamanna, W.C.; Esko, J.D. Heparan sulfate proteoglycans. Cold Spring Harb. Perspect. Biol. 2011, 3, a004952. [Google Scholar] [CrossRef]
- Wallace, B.A. The role of circular dichroism spectroscopy in the era of integrative structural biology. Curr. Opin. Struct. Biol. 2019, 58, 191–196. [Google Scholar] [CrossRef]
- Gerlza, T.; Hecher, B.; Jeremic, D.; Fuchs, T.; Gschwandtner, M.; Falsone, A.; Gesslbauer, B.; Kungl, A.J. A combinatorial approach to biophysically characterise chemokine-glycan binding affinities for drug development. Molecules 2014, 19, 10618–10634. [Google Scholar] [CrossRef]
- Webb, L.M.; Ehrengruber, M.U.; Clark-Lewis, I.; Baggiolini, M.; Rot, A. Binding to heparan sulfate or heparin enhances neutrophil responses to interleukin 8. Proc. Natl. Acad. Sci. USA 1993, 90, 7158–7162. [Google Scholar] [CrossRef]
- Gschwandtner, M.; Strutzmann, E.; Teixeira, M.M.; Anders, H.J.; Diedrichs-Möhring, M.; Gerlza, T.; Wildner, G.; Russo, R.C.; Adage, T.; Kungl, A.J. Glycosaminoglycans are important mediators of neutrophilic inflammation in vivo. Cytokine 2017, 91, 65–73. [Google Scholar] [CrossRef]
- Krieger, E.; Geretti, E.; Brandner, B.; Goger, B.; Wells, T.N.; Kungl, A.J. A structural and dynamic model for the interaction of interleukin-8 and glycosaminoglycans: Support from isothermal fluorescence titrations. Proteins 2004, 54, 768–775. [Google Scholar] [CrossRef] [PubMed]
- Pichert, A.; Schlorke, D.; Franz, S.; Arnhold, J. Functional aspects of the interaction between interleukin-8 and sulfated glycosaminoglycans. Biomatter 2012, 2, 142–148. [Google Scholar] [CrossRef] [PubMed]
- Kuschert, G.S.; Hoogewerf, A.J.; Proudfoot, A.E.; Chung, C.W.; Cooke, R.M.; Hubbard, R.E.; Wells, T.N.; Sanderson, P.N. Identification of a glycosaminoglycan binding surface on human interleukin-8. Biochemistry 1998, 37, 11193–11201. [Google Scholar] [CrossRef] [PubMed]
- Schlorke, D.; Thomas, L.; Samsonov, S.A.; Huster, D.; Arnhold, J.; Pichert, A. The influence of glycosaminoglycans on IL-8-mediated functions of neutrophils. Carbohydr. Res. 2012, 356, 196–203. [Google Scholar] [CrossRef]
- Moawad, F.J. Eosinophilic Esophagitis: Incidence and Prevalence. Gastrointest. Endosc. Clin. N. Am. 2018, 28, 15–25. [Google Scholar] [CrossRef]
- Jensen, E.T.; Martin, C.F.; Kappelman, M.D.; Dellon, E.S. Prevalence of Eosinophilic Gastritis, Gastroenteritis, and Colitis: Estimates From a National Administrative Database. J. Pediatr. Gastroenterol. Nutr. 2016, 62, 36–42. [Google Scholar] [CrossRef]
- Gonsalves, N.P.; Aceves, S.S. Diagnosis and treatment of eosinophilic esophagitis. J. Allergy Clin. Immunol. 2020, 145, 1–7. [Google Scholar] [CrossRef]
- Rothenberg, M.E. Eosinophilic Esophagitis: Biology to Therapy. Gastroenterology 2009, 137, 1238–1249. [Google Scholar] [CrossRef]
- Kagami, S.; Saeki, H.; Komine, M.; Kakinuma, T.; Tsunemi, Y.; Nakamura, K.; Sasaki, K.; Asahina, A.; Tamaki, K. Interleukin-4 and interleukin-13 enhance CCL26 production in a human keratinocyte cell line, HaCaT cells. Clin. Exp. Immunol. 2005, 141, 459–466. [Google Scholar] [CrossRef]
- Hoeck, J.; Woisetschläger, M. Activation of eotaxin-3/CCLl26 gene expression in human dermal fibroblasts is mediated by STAT6. J. Immunol. 2001, 167, 3216–3222. [Google Scholar] [CrossRef]









| Protein | Mutation Site | Molecular Weight * | pI * | Extinction Coefficient *,** | Purity Level *** |
|---|---|---|---|---|---|
| wtCCL26 | - | 8396.82 | 10.22 | 21.22 | >95% |
| K60A | α-helix | 8338.73 | 10.17 | 21.22 | >95% |
| K55A/K56A | α-helix | 8281.63 | 10.11 | 21.22 | >95% |
| R54A/K55A/K56A | α-helix | 8196.52 | 9.98 | 21.22 | >95% |
| R54A | α-helix | 8310.71 | 10.10 | 21.22 | >95% |
| ΔP53-L71 **** | α-helix | 6058.93 | 9.76 | 14.23 | >95% |
| K44A | β-sheet | 8338.73 | 10.17 | 21.22 | >95% |
| K47A | β-sheet | 8338.73 | 10.17 | 21,220 | >95% |
| Target | Primer Sequence | |
|---|---|---|
| CCL26 K60A | fw | ATGGGTTCAGGCGTACATCAGCCTGTTGAAAAC |
| rev | GTGGGTAGGCGCGTTCTT | |
| K55A/K56A | fw | CCATCCGCGCGCGGCATGGGTTCAGAAG |
| rev | CACCGTTTTTTCACACGTG | |
| R54A/K55A/K56A | fw | CACCCATCCGGCCGCGGCATGGG |
| rev | GTTCGCACCGTTTTTTCACAC | |
| R54A | fw | CACCCATCCGGCGAAGAAATGGGTTCAG |
| rev | CACACTTTTTTGCCACGC | |
| K44A | fw | CTTCACGACCGCGCGTGGCAAAAAAAGTG |
| rev | AATAACCGCACGCTGGCTG | |
| K47A | fw | GCGTGGCAAAGCAGTGTGCACC |
| rev | TTGGTCGTGAAGATAACC | |
| Sequencing Primer | - | ATTCACGAGCAACAGCTGC |
| Target | Direction | Primer Sequence | Accession No. | |
|---|---|---|---|---|
| Syndecan-1 | SDC1 | fw | GGAGCAGGACTTCACCTTTG | NM_002997.4 |
| rev | TACAGCATGAAACCCACCAG | |||
| Syndecan-2 | SDC2 | fw | GCTGCTCCAAAAGTGGAAAC | BC049836.1 |
| rev | CAGCAATGACAGCTGCTAGG | |||
| Syndecan-3 | SDC3 | fw | GAGCCTGACATCCCTGAGAG | NM_014654.4 |
| rev | CCCACAGCTACCACCTCATT | |||
| Syndecan-4 | SDC4 | fw | GAGCCCTACCAGAGCATGAG | BC030805.1 |
| rev | CAGTGCTGGACATTGACACC | |||
| Glypican-1 | GPC1 | fw | AGCGAGATGGAGGAGAACCT | BC051279.1 |
| rev | CTGAGTACAGGTCCCGGAAG | |||
| Glypican-2 | GPC2 | fw | ACTGGGACACGACCTGGAC | NM_152742.3 |
| rev | CCCCAGAACCATCCCTTCTA | |||
| Glypican-3 | GPC3 | fw | GGCAAGTTATGTGCCCATTC | KX533474.1 |
| rev | ATGTAGCCAGGCAAAGCACT | |||
| Glypican-4 | GPC4 | fw | ATGGTGGCAGAGAGGCTAGA | AF030186.1 |
| rev | GGAACGAGAAATTCGTCCAG | |||
| Glypican-5 | GPC5 | fw | AAGCCCAGTCTGGAAATCCT | AF001462.1 |
| rev | TCACAGTCCCCACTGCATTG | |||
| Glypican-6 | GPC6 | fw | CACGTTTCAGGCCCTACAAT | AF105267.1 |
| rev | GTTCCAGCATTCCTCCTCGT | |||
| Serglycin | SGY | fw | CGTCTGAGGACTGACCTTTTTCC | BC015516.1 |
| rev | CGTTAGGAAAGCCACTCCCAGAT | |||
| Perlecan | PLC | fw | * VHPS-4370 | |
| rev | ||||
| Glycerinaldehyd-3-phosphate-dehydrogenase | GAPDH | fw | ATGTTCGTCATGGGTGTGAA | NM_001289746.2 |
| rev | GTCTTCTGGGTGGCAGTGAT | |||
Publisher’s Note: MDPI stays neutral with regard to jurisdictional claims in published maps and institutional affiliations. |
© 2022 by the authors. Licensee MDPI, Basel, Switzerland. This article is an open access article distributed under the terms and conditions of the Creative Commons Attribution (CC BY) license (https://creativecommons.org/licenses/by/4.0/).
Share and Cite
Pum, A.; Ennemoser, M.; Gerlza, T.; Kungl, A.J. The Role of Heparan Sulfate in CCL26-Induced Eosinophil Chemotaxis. Int. J. Mol. Sci. 2022, 23, 6519. https://doi.org/10.3390/ijms23126519
Pum A, Ennemoser M, Gerlza T, Kungl AJ. The Role of Heparan Sulfate in CCL26-Induced Eosinophil Chemotaxis. International Journal of Molecular Sciences. 2022; 23(12):6519. https://doi.org/10.3390/ijms23126519
Chicago/Turabian StylePum, Alexandra, Maria Ennemoser, Tanja Gerlza, and Andreas J. Kungl. 2022. "The Role of Heparan Sulfate in CCL26-Induced Eosinophil Chemotaxis" International Journal of Molecular Sciences 23, no. 12: 6519. https://doi.org/10.3390/ijms23126519
APA StylePum, A., Ennemoser, M., Gerlza, T., & Kungl, A. J. (2022). The Role of Heparan Sulfate in CCL26-Induced Eosinophil Chemotaxis. International Journal of Molecular Sciences, 23(12), 6519. https://doi.org/10.3390/ijms23126519

