Dual and Opposite Costimulatory Targeting with a Novel Human Fusion Recombinant Protein Effectively Prevents Renal Warm Ischemia Reperfusion Injury and Allograft Rejection in Murine Models
Abstract
1. Introduction
2. Results
2.1. Analysis of HYBRI Binding Affinity to Murine CD80 and PD-1 Proteins Using the Surface Plasmon Resonance (SPR) Technique
2.2. Bilateral Warm Ischemia Model in Native Rat Kidneys
2.2.1. Effects of HYBRI on Renal Function
2.2.2. Renal Histopathology and Immunohistochemistry
2.2.3. Peripheral Blood and Spleen Cell Populations
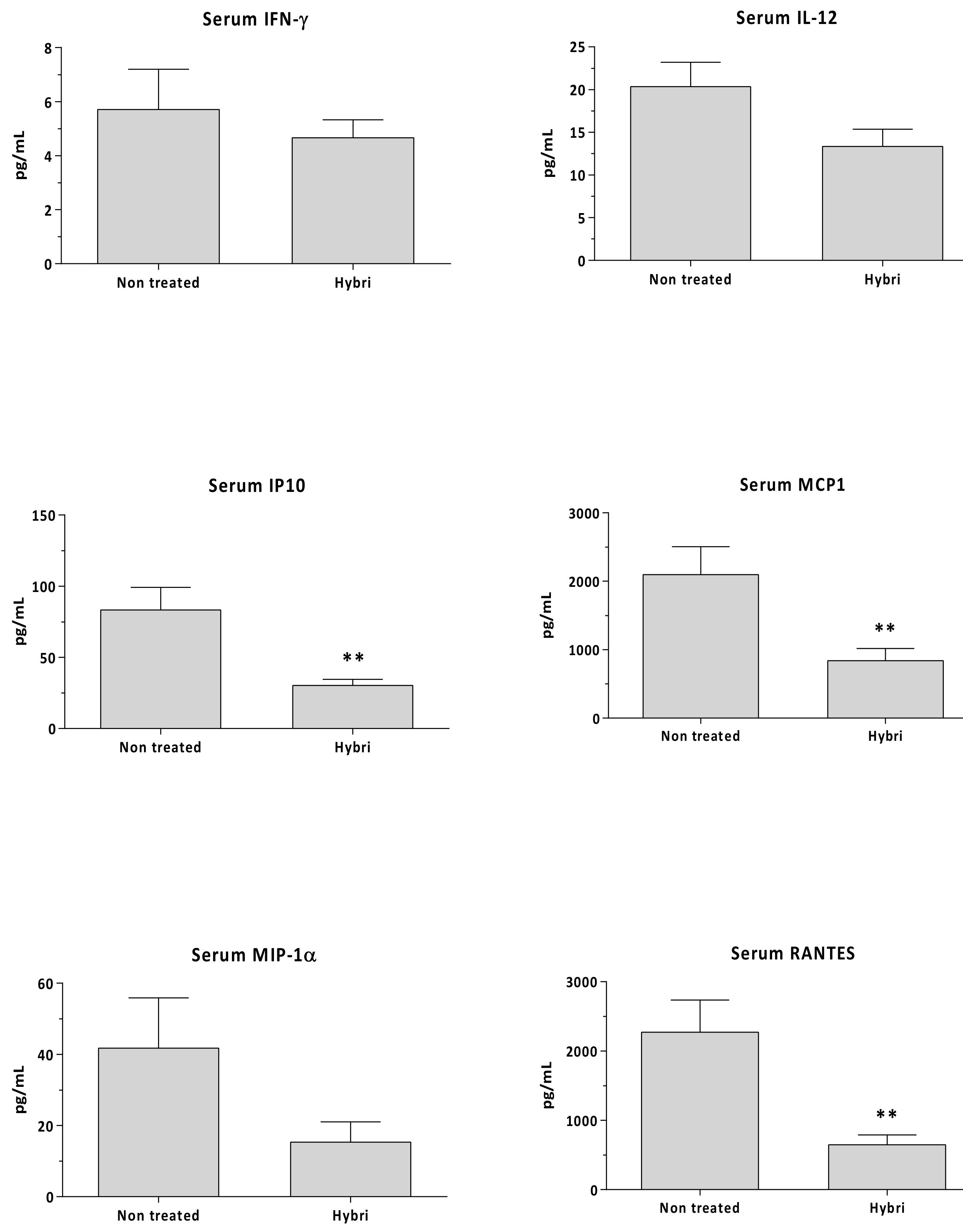
2.2.4. Circulating Inflammatory Cyto/Chemokines
2.2.5. Renal Gene Expression
2.3. Rat Allogeneic Kidney Transplant Model
2.3.1. Effects of HYBRI on Renal Function and Survival
2.3.2. Renal Histopathology and Immunohistochemistry
2.3.3. Circulating Inflammatory Cyto/Chemokines
3. Discussion
4. Materials and Methods
4.1. HYBRI Characterization and Binding Affinity Assessment with Surface Plasmon Resonance (SPR) Technique
4.2. Animals and Surgical Procedures
4.3. Renal Warm Ischemia Model
4.4. Allogeneic Transplant Model (Cold Ischemia)
4.5. Renal Function
4.6. Histological and Immunohistochemistry Studies
4.7. Peripheral Blood and Spleen Cell Subsets Characterization by Flow Cytometry
4.8. Measurement of Serum Levels of Inflammatory Factors by Luminex Fluorescent Assay
4.9. Quantification of Gene Expression in Kidneys from Warm Ischemia Model
4.10. Statistical Analysis
Supplementary Materials
Author Contributions
Funding
Institutional Review Board Statement
Informed Consent Statement
Data Availability Statement
Acknowledgments
Conflicts of Interest
References
- De Ramon, L.; Ripoll, È.; Merino, A.; Lucia, M.; Aran, J.M.; Pérez-Rentero, S.; Lloberas, N.; Cruzado, J.M.; Grinyó, J.M.; Torras, J. CD154-CD40 T-cell co-stimulation pathway is a key mechanism in kidney ischemia-reperfusion injury. Kidney Int. 2015, 88, 538–549. [Google Scholar] [CrossRef]
- Mannon, R.B. Delayed Graft Function: The AKI of Kidney Transplantation. Nephron 2018, 140, 94–98. [Google Scholar] [CrossRef] [PubMed]
- Montagud-Marrahi, E.; Molina-Andújar, A.; Rovira, J.; Revuelta, I.; Ventura-Aguiar, P.; Piñeiro, G.; Ugalde-Altamirano, J.; Perna, F.; Torregrosa, J.; Oppenheimer, F.; et al. The impact of functional delayed graft function in the modern era of kidney transplantation—A retrospective study. Transpl. Int. 2021, 34, 175–184. [Google Scholar] [CrossRef] [PubMed]
- Panisello-Roselló, A.; Roselló-Catafau, J. Molecular Mechanisms and Pathophysiology of Ischemia-Reperfusion Injury. Int. J. Mol. Sci. 2018, 19, 4093. [Google Scholar] [CrossRef] [PubMed]
- Zhang, J.; Wei, X.; Tang, Z.; Miao, B.; Luo, Y.; Hu, X.; Luo, Y.; Zhou, Y.; Na, N. Elucidating the molecular pathways and immune system transcriptome during ischemia-reperfusion injury in renal transplantation. Int. Immunopharmacol. 2020, 81, 106246. [Google Scholar] [CrossRef]
- Nieuwenhuijs-Moeke, G.J.; Pischke, S.E.; Berger, S.P.; Sanders, J.-S.F.; Pol, R.A.; Struys, M.M.; Ploeg, R.J.; Leuvenink, H.G.D. Ischemia and Reperfusion Injury in Kidney Transplantation: Relevant Mechanisms in Injury and Repair. J. Clin. Med. 2020, 9, 253. [Google Scholar] [CrossRef]
- Eltzschig, M.H.K.; Eckle, T. Ischemia and reperfusion—from mechanism to translation. Nat. Med. 2011, 17, 1391–1401. [Google Scholar] [CrossRef]
- Ogawa, S.; Gerlach, H.; Esposito, C.; Pasagian-Macaulay, A.; Brett, J.; Stern, D. Hypoxia modulates the barrier and coagulant function of cultured bovine endothelium. Increased monolayer permeability and induction of procoagulant properties. J. Clin. Investig. 1990, 85, 1090–1098. [Google Scholar] [CrossRef]
- Bonventre, J.V.; Yang, L. Cellular pathophysiology of ischemic acute kidney injury. J. Clin. Investig. 2011, 121, 4210–4221. [Google Scholar] [CrossRef]
- Lowenstein, C.J. Myocardial reperfusion injury. N. Engl. J. Med. 2007, 357, 2409. [Google Scholar]
- Carroll, M.C.; Holers, V. Innate Autoimmunity. Adv. Immunol. 2005, 86, 137–157. [Google Scholar] [CrossRef] [PubMed]
- Satpute, S.R.; Park, J.M.; Jang, H.R.; Agreda, P.; Liu, M.; Gandolfo, M.T.; Racusen, L.; Rabb, H. The Role for T Cell Repertoire/Antigen-Specific Interactions in Experimental Kidney Ischemia Reperfusion Injury. J. Immunol. 2009, 183, 984–992. [Google Scholar] [CrossRef] [PubMed]
- Shen, X.; Wang, Y.; Gao, F.; Ren, F.; Busuttil, R.W.; Kupiec-Weglinski, J.W.; Zhai, Y. CD4 T cells promote tissue inflammation via CD40 signaling without de novo activation in a murine model of liver ischemia/reperfusion injury. Hepatology 2009, 50, 1537–1546. [Google Scholar] [CrossRef] [PubMed]
- Ripoll, E.; Merino, A.; Gomà, M.; Aran, J.M.; Bolaños, N.; De Ramon, L.; Herrero-Fresneda, I.; Bestard, O.; Cruzado, J.M.; Grinyó, J.M.; et al. CD40 Gene Silencing Reduces the Progression of Experimental Lupus Nephritis Modulating Local Milieu and Systemic Mechanisms. PLoS ONE 2013, 8, e65068. [Google Scholar] [CrossRef]
- Monteiro, R.M.; Camara, N.O.S.; Rodrigues, M.M.; Tzelepis, F.; Damião, M.J.; Cenedeze, M.A.; Teixeira, V.D.P.A.; Dos Reis, M.A.; Pacheco-Silva, Á. A role for regulatory T cells in renal acute kidney injury. Transpl. Immunol. 2009, 21, 50–55. [Google Scholar] [CrossRef]
- De Greef, K.E.; Ysebaert, D.K.; Dauwe, S.; Persy, V.P.; Vercauteren, S.R.; Mey, D.; De Broe, M.E. Anti-B7-1 blocks mononuclear cell adherence in vasa recta after ischemia. Kidney Int. 2001, 60, 1415–1427. [Google Scholar] [CrossRef]
- Bluestone, J.A.; Clair, E.W.S.; Turka, L.A. CTLA4Ig: Bridging the Basic Immunology with Clinical Application. Immunity 2006, 24, 233–238. [Google Scholar] [CrossRef]
- Hathcock, K.S.; Laszlo, G.; Pucillo, C.; Linsley, P.; Hodes, R.J. Comparative analysis of B7-1 and B7-2 costimulatory ligands: Expression and function. J. Exp. Med. 1994, 180, 631–640. [Google Scholar] [CrossRef]
- Takada, M.; Chandraker, A.; Nadeau, K.C.; Sayegh, M.H.; Tilney, N.L. The role of the B7 costimulatory pathway in experimental cold ischemia/reperfusion injury. J. Clin. Investig. 1997, 100, 1199–1203. [Google Scholar] [CrossRef]
- Podojil, J.R.; Miller, S.D. Targeting the B7 family of co-stimulatory molecules: Successes and challenges. BioDrugs 2013, 27, 1–13. [Google Scholar] [CrossRef]
- Wekerle, T.; Grinyó, J. Belatacept: From rational design to clinical application. Transpl. Int. 2011, 25, 139–150. [Google Scholar] [CrossRef] [PubMed]
- Vincenti, F.; Rostaing, L.; Grinyo, J.; Rice, K.; Steinberg, S.; Gaite, L.; Moal, M.-C.; Mondragon-Ramirez, G.A.; Kothari, J.; Polinsky, M.S.; et al. Belatacept and Long-Term Outcomes in Kidney Transplantation. N. Engl. J. Med. 2016, 374, 333–343. [Google Scholar] [CrossRef] [PubMed]
- Parsons, R.F.; Zahid, A.; Bumb, S.; Decker, H.; Sullivan, H.C.; Lee, F.E.; Badell, I.R.; Ford, M.L.; Larsen, C.P.; Pearson, T.C.; et al. The impact of belatacept on third-party HLA alloantibodies in highly sensitized kidney transplant recipients. Am. J. Transplant. 2020, 20, 573–581. [Google Scholar] [CrossRef] [PubMed]
- Jaworska, K.; Ratajczak, J.; Huang, L.; Whalen, K.; Yang, M.; Stevens, B.K.; Kinsey, G.R. Both PD-1 Ligands Protect the Kidney from Ischemia Reperfusion Injury. J. Immunol. 2015, 194, 325–333. [Google Scholar] [CrossRef]
- Sharpe, A.H.; Pauken, K.E. The diverse functions of the PD1 inhibitory pathway. Nat. Rev. Immunol. 2018, 18, 153–167. [Google Scholar] [CrossRef]
- Francisco, L.M.; Salinas, V.H.; Brown, K.E.; Vanguri, V.K.; Freeman, G.J.; Kuchroo, V.K.; Sharpe, A.H. PD-L1 regulates the development, maintenance, and function of induced regulatory T cells. J. Exp. Med. 2009, 206, 3015–3029. [Google Scholar] [CrossRef]
- Buermann, A.; Römermann, D.; Baars, W.; Hundrieser, J.; Klempnauer, J.; Schwinzer, R. Inhibition of B-cell activation and antibody production by triggering inhibitory signals via the PD-1/PD-ligand pathway. Xenotransplantation 2016, 23, 347–356. [Google Scholar] [CrossRef]
- Hsu, J.; Hodgins, J.J.; Marathe, M.; Nicolai, C.J.; Bourgeois-Daigneault, M.-C.; Trevino, T.N.; Azimi, C.S.; Scheer, A.K.; Randolph, H.E.; Thompson, T.W.; et al. Contribution of NK cells to immunotherapy mediated by PD-1/PD-L1 blockade. J. Clin. Investig. 2018, 128, 4654–4668. [Google Scholar] [CrossRef]
- Shim, Y.J.; Khedraki, R.; Dhar, J.; Fan, R.; Dvorina, N.; Valujskikh, A.; Fairchild, R.L.; Baldwin, W.M. Early T cell infiltration is modulated by programed cell death-1 protein and its ligand (PD-1/PD-L1) interactions in murine kidney transplants. Kidney Int. 2020, 98, 897–905. [Google Scholar] [CrossRef]
- Lázár-Molnár, E.; Yan, Q.; Cao, E.; Ramagopal, U.; Nathenson, S.G.; Almo, S.C. Crystal structure of the complex between programmed death-1 (PD-1) and its ligand PD-L2. Proc. Natl. Acad. Sci. USA 2008, 105, 10483–10488. [Google Scholar] [CrossRef]
- Cheng, X.; Veverka, V.; Radhakrishnan, A.; Waters, L.C.; Muskett, F.W.; Morgan, S.H.; Huo, J.; Yu, C.; Evans, E.J.; Leslie, A.J.; et al. Structure and Interactions of the Human Programmed Cell Death 1 Receptor. J. Biol. Chem. 2013, 288, 11771–11785. [Google Scholar] [CrossRef] [PubMed]
- Tang, S.; Kim, P.S. A high-affinity human PD-1/PD-L2 complex informs avenues for small-molecule immune checkpoint drug discovery. Proc. Natl. Acad. Sci. USA 2019, 116, 24500–24506. [Google Scholar] [CrossRef] [PubMed]
- Garo, L.P.; Ajay, A.K.; Fujiwara, M.; Beynon, V.; Kuhn, C.; Gabriely, G.; Sadhukan, S.; Raheja, R.; Rubino, S.; Weiner, H.L.; et al. Smad7 Controls Immunoregulatory PDL2/1-PD1 Signaling in Intestinal Inflammation and Autoimmunity. Cell Rep. 2019, 28, 3353–3366. [Google Scholar] [CrossRef] [PubMed]
- Bardhan, K.; Anagnostou, T.; Boussiotis, V.A. The PD1: PD-L1/2 Pathway from Discovery to Clinical Implementation. Front. Immunol. 2016, 7, 550. [Google Scholar] [CrossRef] [PubMed]
- Lim, W.C.; Olding, M.; Healy, E.; Millar, T.M. Human Endothelial Cells Modulate CD4+ T Cell Populations and Enhance Regulatory T Cell Suppressive Capacity. Front. Immunol. 2018, 9. [Google Scholar] [CrossRef]
- Chun, N.; Fairchild, R.L.; Li, Y.; Liu, J.; Zhang, M.; Baldwin, W.M.; Heeger, P.S. Complement Dependence of Murine Costimulatory Blockade-Resistant Cellular Cardiac Allograft Rejection. Am. J. Transplant. 2017, 11, 2810–2819. [Google Scholar] [CrossRef]
- Wieland, D.; Hofmann, M.; Thimme, R. Overcoming CD8+ T-Cell Exhaustion in Viral Hepatitis: Lessons from the Mouse Model and Clinical Perspectives. Dig. Dis. 2017, 35, 334–338. [Google Scholar] [CrossRef]
- Nixon, B.G.; Li, M. Satb1: Restraining PD1 and T Cell Exhaustion. Immunity 2017, 46, 3–5. [Google Scholar] [CrossRef]
- Sánchez-Fueyo, A.; Markmann, J.F. Immune Exhaustion and Transplantation. Am. J. Transplant. 2016, 7, 1953–1957. [Google Scholar] [CrossRef]
- Barcelo-Batllori, S. Analysis of Murine CD80 and PD-1 Proteins Competition to HYBRI Bindings Using the Surface Plasmon Resonance (SPR) Technique; Molecular Interactions Unit, Institut d’Investigació Biomèdica de Bellvitge (IDIBELL) Scientific-Technical Services, L’Hospitalet de Llobregat: Barcelona, Spain, 2020. [Google Scholar]
- Chen, L.; Flies, D.B. Molecular mechanisms of T cell co-stimulation and co-inhibtion. Nat. Rev. Immunol. 2013, 13, 227–242. [Google Scholar] [CrossRef]
- Sharpe, A.H. Mechanisms of costimulation. Immunol. Rev. 2009, 229, 5–11. [Google Scholar] [CrossRef] [PubMed]
- Alegre, M.-L.; Frauwirth, K.A.; Thompson, C.B. T-cell regulation by CD28 and CTLA-4. Nat. Rev. Immunol. 2001, 1, 220–228. [Google Scholar] [CrossRef] [PubMed]
- Nurieva, R.I.; Liu, X.; Dong, C. Yin-Yang of costimulation: Crucial controls of immune tolerance and function. Immunol. Rev. 2009, 229, 88–100. [Google Scholar] [CrossRef] [PubMed]
- Chen, L. Co-inhibitory molecules of the B7–CD28 family in the control of T-cell immunity. Nat. Rev. Immunol. 2004, 4, 336–347. [Google Scholar] [CrossRef]
- Crespo, E. In Vitro Activity Assessment of HYBRI Protein Using the Mixed Lymphocyte Reaction (MLR) Technique; Experimental Nephrology Laboratory, University of Barcelona and Institut d’Investigació Biomèdica de Bellvitge (IDIBELL), L’Hospitalet de Llobregat: Barcelona, Spain, 2017. [Google Scholar]
- Viricel, C.; Ahmed, M.; Barakat, K. Human PD-1 binds differently to its human ligands: A comprehensive modeling study. J. Mol. Graph. Model. 2015, 57, 131–142. [Google Scholar] [CrossRef]
- UniProt. Available online: http://www.uniprot.org/ (accessed on 14 December 2020).
- Lee, J.-R.; Bechstein, D.J.B.; Ooi, C.C.; Patel, A.; Gaster, R.S.; Ng, E.; Gonzalez, L.C.; Wang, S.X. Magneto-nanosensor platform for probing low-affinity protein–protein interactions and identification of a low-affinity PD-L1/PD-L2 interaction. Nat. Commun. 2016, 7, 12220. [Google Scholar] [CrossRef]
- Li, K.; Cheng, X.; Tilevik, A.; Davis, S.J.; Zhu, C. In situ and in silico kinetic analyses of programmed cell death-1 (PD-1) receptor, programmed cell death ligands, and B7-1 protein interaction network. J. Biol. Chem. 2017, 292, 6799–6809. [Google Scholar] [CrossRef]
- Philips, E.A.; Garcia-España, A.; Tocheva, A.S.; Ahearn, I.M.; Adam, K.R.; Pan, R.; Mor, A.; Kong, X.-P. The structural features that distinguish PD-L2 from PD-L1 emerged in placental mammals. J. Biol. Chem. 2020, 295, 4372–4380. [Google Scholar] [CrossRef]
- Li, Y.; Liang, Z.; Tian, Y.; Cai, W.; Weng, Z.; Chen, L.; Zhang, H.; Bao, Y.; Zheng, H.; Zeng, S.; et al. High-affinity PD-1 molecules deliver improved interaction with PD-L1 and PD-L2. Cancer Sci. 2018, 109, 2435–2445. [Google Scholar] [CrossRef]
- Zhang, T.; Song, N.; Fang, Y.; Teng, J.; Xu, X.; Hu, J.; Zhang, P.; Chen, R.; Lu, Z.; Yu, X.; et al. Delayed Ischemic Preconditioning Attenuated Renal Ischemia-Reperfusion Injury by Inhibiting Dendritic Cell Maturation. Cell. Physiol. Biochem. 2018, 46, 1807–1820. [Google Scholar] [CrossRef]
- Suzuki, A.; Satoh, S.; Tsuchiya, N.; Kato, T.; Sato, M.; Senoo, H. Upregulation of Costimulatory Adhesion Molecule (Cd80) in Rat Kidney with Ischemia/Reperfusion Injury. Jpn. J. Urol. 2002, 93, 33–38. [Google Scholar] [CrossRef] [PubMed][Green Version]
- Costantini, A.; Viola, N.; Berretta, A.; Galeazzi, R.; Matacchione, G.; Sabbatinelli, J.; Storci, G.; De Matteis, S.; Butini, L.; Rippo, M.R.; et al. Age-related M1/M2 phenotype changes in circulating monocytes from healthy/unhealthy individuals. Aging 2018, 10, 1268–1280. [Google Scholar] [CrossRef]
- Satoh, S.; Suzuki, A.; Asari, Y.; Sato, M.; Kojima, N.; Sato, T.; Tsuchiya, N.; Sato, K.; Senoo, H.; Kato, T. Glomerular Endothelium Exhibits Enhanced Expression of Costimulatory Adhesion Molecules, CD80 and CD86, by Warm Ischemia/Reperfusion Injury in Rats. Lab. Investig. 2002, 82, 1209–1217. [Google Scholar] [CrossRef] [PubMed]
- Dowlatshahi, M.; Huang, V.; Gehad, A.E.; Jiang, Y.; Calarese, A.; Teague, J.E.; Dorosario, A.A.; Cheng, J.; Nghiem, P.; Schanbacher, C.F.; et al. Tumor-specific T cells in human Merkel cell carcinomas: A possible role for Tregs and T-cell exhaustion in reducing T-cell responses. J. Investig. Dermatol. 2013, 133, 1879–1889. [Google Scholar] [CrossRef] [PubMed]
- Banu, N.; Meyers, C.M. IFN-γ and LPS differentially modulate class II MHC and B7-1 expression on murine renal tubular epithelial cells. Kidney Int. 1999, 55, 2250–2263. [Google Scholar] [CrossRef][Green Version]
- Salant, D.J. Podocyte Expression of B7-1/CD80: Is it a Reliable Biomarker for the Treatment of Proteinuric Kidney Diseases with Abatacept? J. Am. Soc. Nephrol. 2015, 27, 963–965. [Google Scholar] [CrossRef][Green Version]
- Zhang, Q.; Vignali, D.A.A. Co-stimulatory and Co-inhibitory Pathways in Autoimmunity. Immunity 2016, 44, 1034–1051. [Google Scholar] [CrossRef]
- Wright, T.M. Cytokines in acute and chronic inflammation. Front. Biosci. 1997, 2. [Google Scholar] [CrossRef]
- Coburn, L.A.; Singh, K.; Asim, M.; Barry, D.P.; Allaman, M.M.; Al-Greene, N.T.; Hardbower, D.M.; Polosukhina, D.; Williams, C.S.; Delgado, A.G.; et al. Loss of solute carrier family 7 member 2 exacerbates inflammation-associated colon tumorigenesis. Oncogene 2018, 38, 1067–1079. [Google Scholar] [CrossRef]
- Lv, L.-L.; Hai-Feng, N.; Wen, Y.; Wu, W.-J.; Ni, H.-F.; Li, Z.-L.; Zhou, L.-T.; Wang, B.; Zhang, J.-D.; Crowley, S.D.; et al. Exosomal CCL2 from Tubular Epithelial Cells Is Critical for Albumin-Induced Tubulointerstitial Inflammation. J. Am. Soc. Nephrol. 2018, 29, 919–935. [Google Scholar] [CrossRef]
- Zhang, Y.-Y.; Tang, P.M.-K.; Tang, P.C.-T.; Xiao, J.; Huang, X.-R.; Yu, C.; Ma, R.C.; Lan, H.-Y. LRNA9884, a Novel Smad3-Dependent Long Noncoding RNA, Promotes Diabetic Kidney Injury in db/db Mice via Enhancing MCP-1–Dependent Renal Inflammation. Diabetes 2019, 68, 1485–1498. [Google Scholar] [CrossRef] [PubMed]
- Ogris, C.; Helleday, T.; Sonnhammer, E. PathwAX: A web server for network crosstalk based pathway annotation. Nucleic Acids Res. 2016, 44, W105–W109. [Google Scholar] [CrossRef] [PubMed]









| Steady State | Kinetics | |||
|---|---|---|---|---|
| ka (1/Ms) | kd(1/s) | KD (M) | ||
| CD80 | 3.72 × 10−6 | 1.57 × 105 | 5.68 × 10−1 | 3.62 × 10−6 |
| PD-1 | 5.29 × 10−5 | 6.37 × 104 | 3.19 | 4.91 × 10−5 |
Publisher’s Note: MDPI stays neutral with regard to jurisdictional claims in published maps and institutional affiliations. |
© 2021 by the authors. Licensee MDPI, Basel, Switzerland. This article is an open access article distributed under the terms and conditions of the Creative Commons Attribution (CC BY) license (http://creativecommons.org/licenses/by/4.0/).
Share and Cite
Guiteras, J.; De Ramon, L.; Crespo, E.; Bolaños, N.; Barcelo-Batllori, S.; Martinez-Valenzuela, L.; Fontova, P.; Jarque, M.; Torija, A.; Bestard, O.; et al. Dual and Opposite Costimulatory Targeting with a Novel Human Fusion Recombinant Protein Effectively Prevents Renal Warm Ischemia Reperfusion Injury and Allograft Rejection in Murine Models. Int. J. Mol. Sci. 2021, 22, 1216. https://doi.org/10.3390/ijms22031216
Guiteras J, De Ramon L, Crespo E, Bolaños N, Barcelo-Batllori S, Martinez-Valenzuela L, Fontova P, Jarque M, Torija A, Bestard O, et al. Dual and Opposite Costimulatory Targeting with a Novel Human Fusion Recombinant Protein Effectively Prevents Renal Warm Ischemia Reperfusion Injury and Allograft Rejection in Murine Models. International Journal of Molecular Sciences. 2021; 22(3):1216. https://doi.org/10.3390/ijms22031216
Chicago/Turabian StyleGuiteras, Jordi, Laura De Ramon, Elena Crespo, Nuria Bolaños, Silvia Barcelo-Batllori, Laura Martinez-Valenzuela, Pere Fontova, Marta Jarque, Alba Torija, Oriol Bestard, and et al. 2021. "Dual and Opposite Costimulatory Targeting with a Novel Human Fusion Recombinant Protein Effectively Prevents Renal Warm Ischemia Reperfusion Injury and Allograft Rejection in Murine Models" International Journal of Molecular Sciences 22, no. 3: 1216. https://doi.org/10.3390/ijms22031216
APA StyleGuiteras, J., De Ramon, L., Crespo, E., Bolaños, N., Barcelo-Batllori, S., Martinez-Valenzuela, L., Fontova, P., Jarque, M., Torija, A., Bestard, O., Resina, D., Grinyó, J. M., & Torras, J. (2021). Dual and Opposite Costimulatory Targeting with a Novel Human Fusion Recombinant Protein Effectively Prevents Renal Warm Ischemia Reperfusion Injury and Allograft Rejection in Murine Models. International Journal of Molecular Sciences, 22(3), 1216. https://doi.org/10.3390/ijms22031216

