Common Genetic Aberrations Associated with Metabolic Interferences in Human Type-2 Diabetes and Acute Myeloid Leukemia: A Bioinformatics Approach
Abstract
:1. Introduction
2. Results
2.1. Common Susceptibility SNPs in AML and T2D
2.2. Proxy SNPs of the Five Common AML/T2D Susceptibility SNPs
2.3. Common Susceptibility Genes in AML and T2D
2.4. Pathway Analysis of the Proteins Encoded by the Common AML/T2D Susceptibility Genes
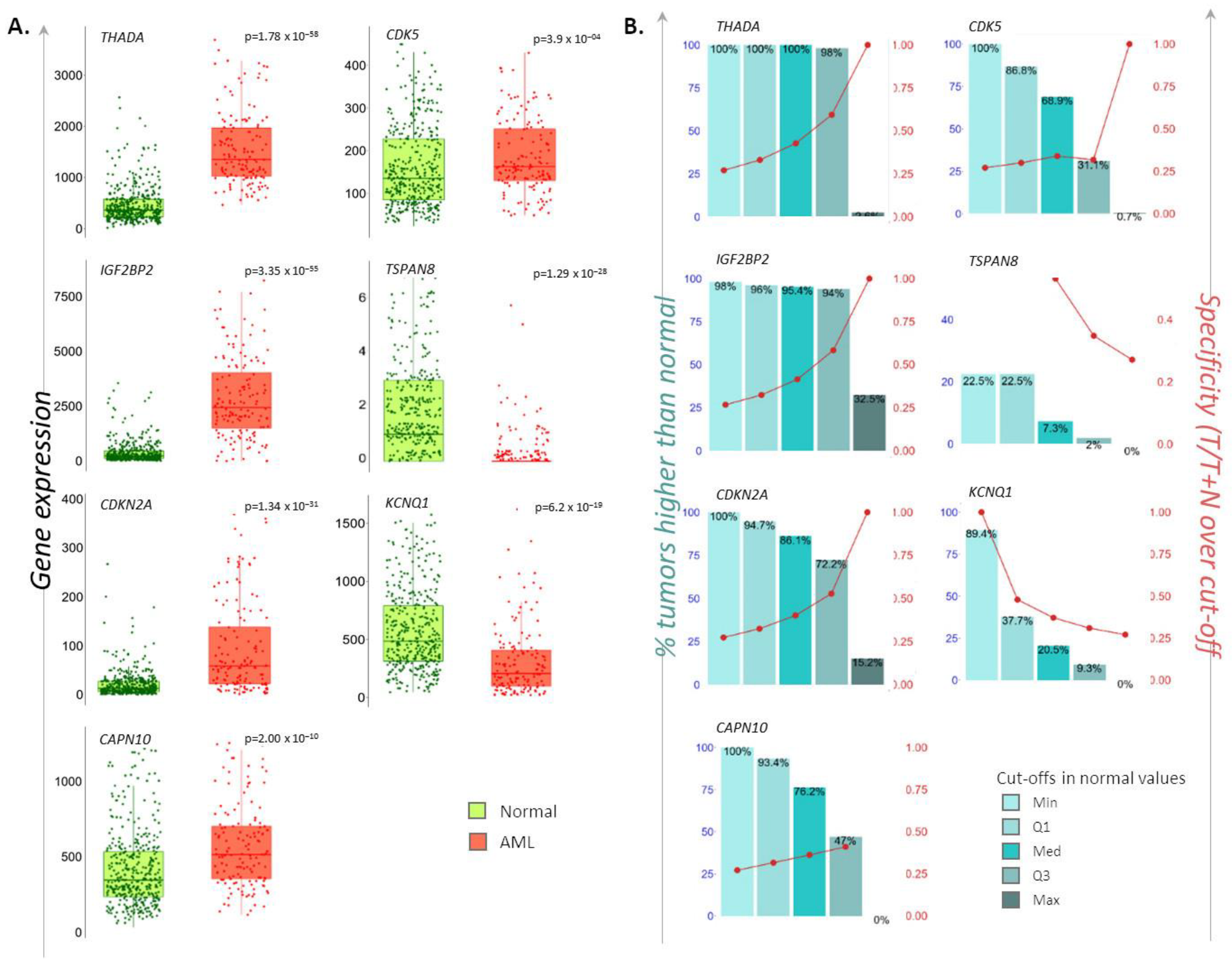
2.5. Investigation of Aberrant mRNA Expression of T2D-Deregulated Genes in an AML Cohort
3. Discussion
4. Materials and Methods
4.1. Study Design
4.2. Development of the AML and T2D Susceptibility SNP Panels and Detection of Common SNPs
4.3. Detection of Proxy SNPs
4.4. Detection of Expression Quantitative Trait Loci (eQTLs)
4.5. Pathway Analysis
4.6. Investigation of the Expression Patterns of T2D-Deregulated Genes in AML Clinical Cohorts
Supplementary Materials
Author Contributions
Funding
Institutional Review Board Statement
Informed Consent Statement
Data Availability Statement
Conflicts of Interest
References
- Saeedi, P.; Salpea, P.; Karuranga, S.; Petersohn, I.; Malanda, B.; Gregg, E.W.; Unwin, N.; Wild, S.H.; Williams, R. Mortality attributable to diabetes in 20–79 years old adults, 2019 estimates: Results from the International Diabetes Federation Diabetes Atlas, 9(th) edition. Diabetes Res. Clin. Pract. 2020, 162, 108086. [Google Scholar] [CrossRef] [Green Version]
- Desiderio, A.; Spinelli, R.; Ciccarelli, M.; Nigro, C.; Miele, C.; Beguinot, F.; Raciti, G.A. Epigenetics: Spotlight on type 2 diabetes and obesity. J. Endocrinol. Invest. 2016, 39, 1095–1103. [Google Scholar] [CrossRef]
- Buniello, A.; MacArthur, J.A.L.; Cerezo, M.; Harris, L.W.; Hayhurst, J.; Malangone, C.; McMahon, A.; Morales, J.; Mountjoy, E.; Sollis, E.; et al. The NHGRI-EBI GWAS Catalog of published genome-wide association studies, targeted arrays and summary statistics 2019. Nucleic Acids Res. 2019, 47, D1005–D1012. [Google Scholar] [CrossRef] [Green Version]
- Christodoulou, M.I.; Avgeris, M.; Kokkinopoulou, I.; Maratou, E.; Mitrou, P.; Kontos, C.K.; Pappas, E.; Boutati, E.; Scorilas, A.; Fragoulis, E.G. Blood-based analysis of type-2 diabetes mellitus susceptibility genes identifies specific transcript variants with deregulated expression and association with disease risk. Sci. Rep. 2019, 9, 1512. [Google Scholar] [CrossRef] [Green Version]
- Giovannucci, E.; Harlan, D.M.; Archer, M.C.; Bergenstal, R.M.; Gapstur, S.M.; Habel, L.A.; Pollak, M.; Regensteiner, J.G.; Yee, D. Diabetes and cancer: A consensus report. CA Cancer J. Clin. 2010, 60, 207–221. [Google Scholar] [CrossRef] [Green Version]
- Pearson-Stuttard, J.; Zhou, B.; Kontis, V.; Bentham, J.; Gunter, M.J.; Ezzati, M. Worldwide burden of cancer attributable to diabetes and high body-mass index: A comparative risk assessment. Lancet Diabetes Endocrinol. 2018, 6, e6–e15. [Google Scholar] [CrossRef]
- Fernandez, C.J.; George, A.S.; Subrahmanyan, N.A.; Pappachan, J.M. Epidemiological link between obesity, type 2 diabetes mellitus and cancer. World J. Methodol. 2021, 11, 23–45. [Google Scholar] [CrossRef]
- Christodoulou, M.I.; Scorilas, A. Metformin and Anti-Cancer Therapeutics: Hopes for a More Enhanced Armamentarium Against Human Neoplasias? Curr. Med. Chem. 2017, 24, 14–56. [Google Scholar] [CrossRef]
- Yan, P.; Wang, Y.; Fu, T.; Liu, Y.; Zhang, Z.J. The association between type 1 and 2 diabetes mellitus and the risk of leukemia: A systematic review and meta-analysis of 18 cohort studies. Endocr. J. 2021, 68, 281–289. [Google Scholar] [CrossRef]
- Siegel, R.L.; Miller, K.D.; Fuchs, H.E.; Jemal, A. Cancer Statistics, 2021. CA Cancer J. Clin. 2021, 71, 7–33. [Google Scholar] [CrossRef]
- Harding, J.L.; Shaw, J.E.; Peeters, A.; Cartensen, B.; Magliano, D.J. Cancer risk among people with type 1 and type 2 diabetes: Disentangling true associations, detection bias, and reverse causation. Diabetes Care 2015, 38, 264–270. [Google Scholar] [CrossRef] [Green Version]
- Ross, J.A.; Parker, E.; Blair, C.K.; Cerhan, J.R.; Folsom, A.R. Body mass index and risk of leukemia in older women. Cancer Epidemiol. Biomark. Prev. 2004, 13, 1810–1813. [Google Scholar] [CrossRef]
- Calle, E.E.; Rodriguez, C.; Walker-Thurmond, K.; Thun, M.J. Overweight, obesity, and mortality from cancer in a prospectively studied cohort of U.S. adults. N. Engl. J. Med. 2003, 348, 1625–1638. [Google Scholar] [CrossRef] [Green Version]
- Larsson, S.C.; Wolk, A. Overweight and obesity and incidence of leukemia: A meta-analysis of cohort studies. Int. J. Cancer 2008, 122, 1418–1421. [Google Scholar] [CrossRef]
- Abar, L.; Sobiecki, J.G.; Cariolou, M.; Nanu, N.; Vieira, A.R.; Stevens, C.; Aune, D.; Greenwood, D.C.; Chan, D.S.M.; Norat, T. Body size and obesity during adulthood, and risk of lympho-haematopoietic cancers: An update of the WCRF-AICR systematic review of published prospective studies. Ann. Oncol. 2019, 30, 528–541. [Google Scholar] [CrossRef]
- Biondani, G.; Peyron, J.F. Metformin, an Anti-diabetic Drug to Target Leukemia. Front. Endocrinol. 2018, 9, 446. [Google Scholar] [CrossRef] [Green Version]
- Nelson, M.A.; McLaughlin, K.L.; Hagen, J.T.; Coalson, H.S.; Schmidt, C.; Kassai, M.; Kew, K.A.; McClung, J.M.; Neufer, P.D.; Brophy, P.; et al. Intrinsic OXPHOS limitations underlie cellular bioenergetics in leukemia. Elife 2021, 10, e63104. [Google Scholar] [CrossRef]
- Miwa, H.; Shikami, M.; Goto, M.; Mizuno, S.; Takahashi, M.; Tsunekawa-Imai, N.; Ishikawa, T.; Mizutani, M.; Horio, T.; Gotou, M.; et al. Leukemia cells demonstrate a different metabolic perturbation provoked by 2-deoxyglucose. Oncol. Rep. 2013, 29, 2053–2057. [Google Scholar] [CrossRef] [Green Version]
- Suganuma, K.; Miwa, H.; Imai, N.; Shikami, M.; Gotou, M.; Goto, M.; Mizuno, S.; Takahashi, M.; Yamamoto, H.; Hiramatsu, A.; et al. Energy metabolism of leukemia cells: Glycolysis versus oxidative phosphorylation. Leuk. Lymphoma 2010, 51, 2112–2119. [Google Scholar] [CrossRef]
- Cariaso, M.; Lennon, G. SNPedia: A wiki supporting personal genome annotation, interpretation and analysis. Nucleic Acids Res. 2012, 40, D1308–D1312. [Google Scholar] [CrossRef] [Green Version]
- Carithers, L.J.; Ardlie, K.; Barcus, M.; Branton, P.A.; Britton, A.; Buia, S.A.; Compton, C.C.; DeLuca, D.S.; Peter-Demchok, J.; Gelfand, E.T.; et al. A Novel Approach to High-Quality Postmortem Tissue Procurement: The GTEx Project. Biopreserv. Biobank. 2015, 13, 311–319. [Google Scholar] [CrossRef] [Green Version]
- Westra, H.J.; Peters, M.J.; Esko, T.; Yaghootkar, H.; Schurmann, C.; Kettunen, J.; Christiansen, M.W.; Fairfax, B.P.; Schramm, K.; Powell, J.E.; et al. Systematic identification of trans eQTLs as putative drivers of known disease associations. Nat. Genet. 2013, 45, 1238–1243. [Google Scholar] [CrossRef] [Green Version]
- Slatkin, M. Linkage disequilibrium--understanding the evolutionary past and mapping the medical future. Nat. Rev. Genet. 2008, 9, 477–485. [Google Scholar] [CrossRef] [PubMed] [Green Version]
- Machiela, M.J.; Chanock, S.J. LDlink: A web-based application for exploring population-specific haplotype structure and linking correlated alleles of possible functional variants. Bioinformatics 2015, 31, 3555–3557. [Google Scholar] [CrossRef]
- Kanehisa, M.; Goto, S. KEGG: Kyoto encyclopedia of genes and genomes. Nucleic Acids Res. 2000, 28, 27–30. [Google Scholar] [CrossRef]
- Szklarczyk, D.; Franceschini, A.; Wyder, S.; Forslund, K.; Heller, D.; Huerta-Cepas, J.; Simonovic, M.; Roth, A.; Santos, A.; Tsafou, K.P.; et al. STRING v10: Protein-protein interaction networks, integrated over the tree of life. Nucleic Acids Res. 2015, 43, D447–D452. [Google Scholar] [CrossRef]
- Bartha, A.; Gyorffy, B. TNMplot.com: A Web Tool for the Comparison of Gene Expression in Normal, Tumor and Metastatic Tissues. Int. J. Mol. Sci. 2021, 22, 2622. [Google Scholar] [CrossRef]
- Yi, M.; Li, A.; Zhou, L.; Chu, Q.; Song, Y.; Wu, K. The global burden and attributable risk factor analysis of acute myeloid leukemia in 195 countries and territories from 1990 to 2017: Estimates based on the global burden of disease study 2017. J. Hematol. Oncol. 2020, 13, 72. [Google Scholar] [CrossRef]
- Prasad, R.B.; Groop, L. Genetics of type 2 diabetes-pitfalls and possibilities. Genes 2015, 6, 87–123. [Google Scholar] [CrossRef] [PubMed] [Green Version]
- Deeb, S.S.; Fajas, L.; Nemoto, M.; Pihlajamaki, J.; Mykkanen, L.; Kuusisto, J.; Laakso, M.; Fujimoto, W.; Auwerx, J. A Pro12Ala substitution in PPARgamma2 associated with decreased receptor activity, lower body mass index and improved insulin sensitivity. Nat. Genet. 1998, 20, 284–287. [Google Scholar] [CrossRef]
- Populo, H.; Lopes, J.M.; Soares, P. The mTOR signalling pathway in human cancer. Int. J. Mol. Sci. 2012, 13, 1886–1918. [Google Scholar] [CrossRef]
- Papageorgis, P. TGFbeta Signaling in Tumor Initiation, Epithelial-to-Mesenchymal Transition, and Metastasis. J. Oncol. 2015, 2015, 587193. [Google Scholar] [CrossRef] [Green Version]
- Belinky, F.; Nativ, N.; Stelzer, G.; Zimmerman, S.; Iny Stein, T.; Safran, M.; Lancet, D. PathCards: Multi-source consolidation of human biological pathways. Database 2015, 2015, bav006. [Google Scholar] [CrossRef]
- Li, Z.; Jing, Q.; Wu, L.; Chen, J.; Huang, M.; Qin, Y.; Wang, T. The prognostic and diagnostic value of tissue inhibitor of metalloproteinases gene family and potential function in gastric cancer. J. Cancer 2021, 12, 4086–4098. [Google Scholar] [CrossRef]
- Zaidan, N.; Ottersbach, K. The multi-faceted role of Gata3 in developmental haematopoiesis. Open Biol. 2018, 8, 180152. [Google Scholar] [CrossRef] [Green Version]
- Liu, Q.; Hua, M.; Yan, S.; Zhang, C.; Wang, R.; Yang, X.; Han, F.; Hou, M.; Ma, D. Immunorelated gene polymorphisms associated with acute myeloid leukemia. Clin. Exp. Immunol. 2020, 201, 266–278. [Google Scholar] [CrossRef]
- Zhang, H.; Zhang, N.; Wang, R.; Shao, T.; Feng, Y.; Yao, Y.; Wu, Q.; Zhu, S.; Cao, J.; Zhang, H.; et al. High expression of miR-363 predicts poor prognosis and guides treatment selection in acute myeloid leukemia. J. Transl. Med. 2019, 17, 106. [Google Scholar] [CrossRef] [Green Version]
- Al-Jaber, H.; Al-Mansoori, L.; Elrayess, M.A. GATA-3 as a Potential Therapeutic Target for Insulin Resistance and Type 2 Diabetes Mellitus. Curr. Diabetes Rev. 2021, 17, 169–179. [Google Scholar] [CrossRef]
- Al-Mansoori, L.; Al-Jaber, H.; Madani, A.Y.; Mazloum, N.A.; Agouni, A.; Ramanjaneya, M.; Abou-Samra, A.B.; Elrayess, M.A. Suppression of GATA-3 increases adipogenesis, reduces inflammation and improves insulin sensitivity in 3T3L-1 preadipocytes. Cell. Signal. 2020, 75, 109735. [Google Scholar] [CrossRef]
- Shum, M.; Houde, V.P.; Bellemare, V.; Junges Moreira, R.; Bellmann, K.; St-Pierre, P.; Viollet, B.; Foretz, M.; Marette, A. Inhibition of mitochondrial complex 1 by the S6K1 inhibitor PF-4708671 partly contributes to its glucose metabolic effects in muscle and liver cells. J. Biol. Chem. 2019, 294, 12250–12260. [Google Scholar] [CrossRef]
- Han, J.H.; Kim, S.; Kim, S.; Lee, H.; Park, S.Y.; Woo, C.H. FMK, an Inhibitor of p90RSK, Inhibits High Glucose-Induced TXNIP Expression via Regulation of ChREBP in Pancreatic beta Cells. Int. J. Mol. Sci. 2019, 20, 4424. [Google Scholar] [CrossRef] [PubMed] [Green Version]
- Qiao, S.; Mao, G.; Li, H.; Ma, Z.; Hong, L.; Zhang, H.; Wang, C.; An, J. DPP-4 Inhibitor Sitagliptin Improves Cardiac Function and Glucose Homeostasis and Ameliorates beta-Cell Dysfunction Together with Reducing S6K1 Activation and IRS-1 and IRS-2 Degradation in Obesity Female Mice. J. Diabetes Res. 2018, 2018, 3641516. [Google Scholar] [CrossRef] [PubMed] [Green Version]
- Ghosh, J.; Kobayashi, M.; Ramdas, B.; Chatterjee, A.; Ma, P.; Mali, R.S.; Carlesso, N.; Liu, Y.; Plas, D.R.; Chan, R.J.; et al. S6K1 regulates hematopoietic stem cell self-renewal and leukemia maintenance. J. Clin. Investig. 2016, 126, 2621–2625. [Google Scholar] [CrossRef] [PubMed] [Green Version]
- Yu, D.H.; Chen, C.; Liu, X.P.; Yao, J.; Li, S.; Ruan, X.L. Dysregulation of miR-138-5p/RPS6KA1-AP2M1 Is Associated With Poor Prognosis in AML. Front. Cell Dev. Biol. 2021, 9, 641629. [Google Scholar] [CrossRef] [PubMed]
- Farrell, P.J.; Zopf, C.J.; Huang, H.J.; Balakrishna, D.; Holub, C.; Bilakovics, J.; Fanjul, A.; Matuszkiewicz, J.; Plonowski, A.; Rolzin, P.; et al. Using Target Engagement Biomarkers to Predict Clinical Efficacy of MetAP2 Inhibitors. J. Pharm. Exp. 2019, 371, 299–308. [Google Scholar] [CrossRef]
- Hu, X.; Addlagatta, A.; Lu, J.; Matthews, B.W.; Liu, J.O. Elucidation of the function of type 1 human methionine aminopeptidase during cell cycle progression. Proc. Natl. Acad. Sci. USA 2006, 103, 18148–18153. [Google Scholar] [CrossRef] [Green Version]
- Pillwein, K.; Reardon, M.A.; Jayaram, H.N.; Natsumeda, Y.; Elliott, W.L.; Faderan, M.A.; Prajda, N.; Sperl, W.; Weber, G. Insulin regulatory effects on purine- and pyrimidine metabolism in alloxan diabetic rat liver. Padiatr. Padol. 1988, 23, 135–144. [Google Scholar]
- Weber, G.; Lui, M.S.; Jayaram, H.N.; Pillwein, K.; Natsumeda, Y.; Faderan, M.A.; Reardon, M.A. Regulation of purine and pyrimidine metabolism by insulin and by resistance to tiazofurin. Adv. Enzym. Regul. 1985, 23, 81–99. [Google Scholar] [CrossRef]
- Concepcion, J.; Chen, K.; Saito, R.; Gangoiti, J.; Mendez, E.; Nikita, M.E.; Barshop, B.A.; Natarajan, L.; Sharma, K.; Kim, J.J. Identification of pathognomonic purine synthesis biomarkers by metabolomic profiling of adolescents with obesity and type 2 diabetes. PLoS ONE 2020, 15, e0234970. [Google Scholar] [CrossRef]
- Romeo, G.R.; Jain, M. Purine Metabolite Signatures and Type 2 Diabetes: Innocent Bystanders or Actionable Items? Curr. Diab. Rep. 2020, 20, 30. [Google Scholar] [CrossRef]
- Yamaji, Y.; Shiotani, T.; Nakamura, H.; Hata, Y.; Hashimoto, Y.; Nagai, M.; Fujita, J.; Takahara, J. Reciprocal alterations of enzymic phenotype of purine and pyrimidine metabolism in induced differentiation of leukemia cells. Adv. Exp. Med. Biol. 1994, 370, 747–751. [Google Scholar]
- Marijnen, Y.M.; de Korte, D.; Roos, D.; van Gennip, A.H. Purine and pyrimidine metabolism of normal and leukemic lymphocytes. Adv. Exp. Med. Biol. 1989, 253A, 433–438. [Google Scholar]
- Glunde, K.; Bhujwalla, Z.M.; Ronen, S.M. Choline metabolism in malignant transformation. Nat. Rev. Cancer 2011, 11, 835–848. [Google Scholar] [CrossRef] [Green Version]
- Musharraf, S.G.; Siddiqui, A.J.; Shamsi, T.; Choudhary, M.I.; Rahman, A.U. Serum metabonomics of acute leukemia using nuclear magnetic resonance spectroscopy. Sci. Rep. 2016, 6, 30693. [Google Scholar] [CrossRef] [Green Version]
- Kong, Y.; Sharma, R.B.; Nwosu, B.U.; Alonso, L.C. Islet biology, the CDKN2A/B locus and type 2 diabetes risk. Diabetologia 2016, 59, 1579–1593. [Google Scholar] [CrossRef]
- Yasuda, K.; Miyake, K.; Horikawa, Y.; Hara, K.; Osawa, H.; Furuta, H.; Hirota, Y.; Mori, H.; Jonsson, A.; Sato, Y.; et al. Variants in KCNQ1 are associated with susceptibility to type 2 diabetes mellitus. Nat. Genet. 2008, 40, 1092–1097. [Google Scholar] [CrossRef]
- Rippe, V.; Drieschner, N.; Meiboom, M.; Murua Escobar, H.; Bonk, U.; Belge, G.; Bullerdiek, J. Identification of a gene rearranged by 2p21 aberrations in thyroid adenomas. Oncogene 2003, 22, 6111–6114. [Google Scholar] [CrossRef] [Green Version]
- Fekete, T.; Raso, E.; Pete, I.; Tegze, B.; Liko, I.; Munkacsy, G.; Sipos, N.; Rigo, J., Jr.; Gyorffy, B. Meta-analysis of gene expression profiles associated with histological classification and survival in 829 ovarian cancer samples. Int. J. Cancer 2012, 131, 95–105. [Google Scholar] [CrossRef] [Green Version]
- Maisonial-Besset, A.; Witkowski, T.; Navarro-Teulon, I.; Berthier-Vergnes, O.; Fois, G.; Zhu, Y.; Besse, S.; Bawa, O.; Briat, A.; Quintana, M.; et al. Tetraspanin 8 (TSPAN 8) as a potential target for radio-immunotherapy of colorectal cancer. Oncotarget 2017, 8, 22034–22047. [Google Scholar] [CrossRef]
- Buettner, R.; Nguyen, L.X.T.; Morales, C.; Chen, M.H.; Wu, X.; Chen, L.S.; Hoang, D.H.; Hernandez Vargas, S.; Pullarkat, V.; Gandhi, V.; et al. Targeting the metabolic vulnerability of acute myeloid leukemia blasts with a combination of venetoclax and 8-chloro-adenosine. J. Hematol. Oncol. 2021, 14, 70. [Google Scholar] [CrossRef]
- Karczewski, K.J.; Francioli, L.C.; Tiao, G.; Cummings, B.B.; Alfoldi, J.; Wang, Q.; Collins, R.L.; Laricchia, K.M.; Ganna, A.; Birnbaum, D.P.; et al. The mutational constraint spectrum quantified from variation in 141,456 humans. Nature 2020, 581, 434–443. [Google Scholar] [CrossRef]





| SNP | Chromosomal Location | Cytogenetic Region | Mapped Gene | Risk Allele | p-Value | Study Accession Number | Trait |
|---|---|---|---|---|---|---|---|
| rs11709077 | 3:12295008 | 3p25.2 | PPARG | G | 2 × 10−36 | GCST009379 | T2D |
| 1 × 10−8 | GCST005047 | ||||||
| A | 5 × 10−11 | GCST008413 | AML | ||||
| rs1801282 | 3:12351626 | 3p25.2 | PPARG | C | 3 × 10−19 | GCST007516 | T2D |
| 1 × 10−17 | GCST007515 | ||||||
| 1 × 10−12 | GCST005047 | ||||||
| 5 × 10−12 | GCST007517 | ||||||
| G | 2 × 10−14 | GCST004894 | |||||
| 2 × 10−19 | GCST004894 | ||||||
| 5 × 10−11 | GCST008413 | AML | |||||
| rs6685701 | 1:26542148 | 1p36.11 | RPS6KA1 | G | 6 × 10−18 | GCST008413 | T2D |
| 1 × 10−8 | GCST010555 | ||||||
| A | 1 × 10−10 | GCST008413 | AML | ||||
| rs11108094 | 12:95534337 | 12q22 | USP44 | C | 1 × 10−10 | GCST010557 | T2D |
| 1 × 10−10 | GCST010555 | ||||||
| 2 × 10−10 | GCST008413 | AML | |||||
| rs7929543 | 11:49329474 | 11p11.12 | AC118942.1 | C | 2 × 10−9 | GCST006867 | T2D |
| A | 7 × 10−9 | GCST008413 | AML | ||||
| 6 × 10−6 | GCST008413 |
| SNP | Associated Gene | SNP Alleles | Affected Gene | Tissue | p-Value | Effect Size | Database |
|---|---|---|---|---|---|---|---|
| Five (5) common AML/T2D susceptibility SNPs | |||||||
| rs11108094 | USP44 | C/A | METAP2 | Subcutaneous adipose | 9.50 × 10−8 | NES = −0.64 | GTEx project |
| Visceral adipose | 2.50 × 10− 6 | NES = −0.55 | GTEx project | ||||
| rs11709077 | PPARG | G/A | SYN2 | Whole blood | 3.09 × 10−4 | Z-score = −3.61 | Blood eQTL Browser |
| Skeletal muscle | 5.90 × 10−5 | NES = −0.21 | GTEx project | ||||
| rs1801282 | PPARG | G/C | GATA3 | Whole blood | 5.70 × 10−6 | Z-score = −4.54 | Blood eQTL browser |
| SYN2 | Whole blood | 3.09 × 10−4 | Z-score = −3.61 | Blood eQTL browser | |||
| Skeletal muscle | 2.10 × 10−8 | NES = 0.36 | GTEx project | ||||
| TIMP4 | Visceral adipose | 5.90 × 10−5 | NES = −0.21 | GTEx project | |||
| rs6685701 | RPS6KA1 | A/G | RPS6KA1 | Visceral adipose | 1.10 × 10−4 | NES = −0.099 | GTEx project |
| rs7929543 | AC118942.1 | A/C | RP11-347H15.5 | Visceral adipose | 9.10 × 10−8 | NES = 0.53 | GTEx project |
| Sixty-four (64) proxies of the five common AML/T2D susceptibility SNPs | |||||||
| rs10839264 | FOLH1, AC118942.1 | C/T | RP11-347H15.5 | Visceral adipose | 7.90 × 10−8 | NES = 0.51 | GTex project |
| rs10859889 | USP44, METAP2 | A/T | METAP2 | Subcutaneous adipose | 5.20 × 10−8 | NES = −0.65 | GTEx project |
| Visceral adipose | 2.30 × 10−6 | NES = −0.54 | |||||
| rs11040352 | FOLH1, AC118942.1 | A/C | RP11-347H15.5 | Visceral adipose | 5.10 × 10−13 | NES = 0.69 | GTex project |
| rs11040365 | FOLH1, AC118942.1 | C/A | RP11-347H15.5 | Visceral adipose | 1.40 × 10−11 | NES = 0.65 | GTex project |
| rs11108070 | USP44 | T/A | METAP2 | Subcutaneous adipose | 5.20 × 10−8 | NES = −0.65 | GTEx project |
| Visceral adipose | 2.30 × 10−6 | NES = −0.54 | |||||
| rs11108072 | USP44, METAP2 | T/C | METAP2 | Subcutaneous adipose | 5.20 × 10−8 | NES = −0.65 | GTEx project |
| Visceral adipose | 2.30 × 10−6 | NES = −0.54 | |||||
| rs11108076 | USP44, METAP2 | G/A | METAP2 | Subcutaneous adipose | 5.20 × 10−8 | NES = −0.65 | GTEx project |
| Visceral adipose | 2.30 × 10−6 | NES = −0.54 | |||||
| rs11108079 | USP44, METAP2 | G/A | METAP2 | Subcutaneous adipose | 5.20 × 10−8 | NES = −0.65 | GTEx project |
| Visceral adipose | 2.30 × 10−8 | NES = −0.54 | |||||
| rs11108086 | USP44 | T/C | METAP2 | Subcutaneous adipose | 5.20 × 10−8 | NES = −0.65 | GTEx project |
| Visceral adipose | 1.60 × 10−6 | NES = −0.56 | |||||
| rs11108087 | USP44 | A/G | METAP2 | Subcutaneous adipose | 9.50 × 10−8 | NES = −0.64 | GTEx project |
| Visceral adipose | 1.70 × 10−6 | NES = −0.56 | |||||
| rs11519597 | USP44, METAP2 | T/C | METAP2 | Subcutaneous adipose | 5.20 × 10−8 | NES = −0.65 | GTEx project |
| Visceral adipose | 2.30 × 10−6 | NES = −0.54 | |||||
| rs11522874 | USP44, METAP2 | G/A | METAP2 | Subcutaneous adipose | 5.20 × 10−8 | NES = −0.65 | GTEx project |
| Visceral adipose | 2.30 × 10−6 | NES = −0.54 | |||||
| rs11580180 | RPS6KA1 | A/G | RPS6KA1 | Visceral adipose | 1.40 × 10−4 | NES = 0.098 | GTEx project |
| rs11603576 | FOLH1, AC118942.1 | G/A | RP11-347H15.5 | Visceral adipose | 9.10 × 10−8 | NES = 0.53 | GTEx project |
| rs11607791 | FOLH1, AC118942.1 | T/C | RP11-347H15.5 | Visceral adipose | 7.90 × 10−8 | NES = 0.51 | GTEx project |
| rs11709077 | PPARG | G/A | SYN2 | Whole blood | 3.09 × 10−4 | Z-score = −3.61 | Blood eQTL Browser |
| Skeletal muscle | 4.60 × 10−9 | NES = 0.35 | GTEx project | ||||
| rs11712037 | PPARG, TIMP4 | C/G | TIMP4 | Visceral adipose | 7.30 × 10−5 | NES = −0.21 | GTEx project |
| Skeletal muscle | 2.20 × 10−9 | NES = 0.35 | |||||
| rs12146719 | USP44, METAP2 | C/A | METAP2 | Subcutaneous adipose | 5.20 × 10−8 | NES = −0.65 | GTEx project |
| Visceral adipose | 2.30 × 10−6 | NES = −0.54 | |||||
| rs12369757 | USP44 | G/A | METAP2 | Subcutaneous adipose | 5.20 × 10−8 | NES = −0.65 | GTEx project |
| Visceral adipose | 2.30 × 10−6 | NES = −0.54 | |||||
| rs13064760 | PPARG | T/C | SYN2 | Whole blood | 2.55 × 10−4 | Z-score = −3.66 | Blood eQTL Browser |
| Skeletal muscle | 4.10 × 10−9 | NES = 0.35 | GTEx project | ||||
| TIMP4 | Visceral adipose | 7.50 × 10−5 | NES = −0.21 | GTEx project | |||
| rs13083375 | PPARG | G/T | SYN2 | Skeletal muscle | 4.10 × 10−9 | NES = 0.35 | GTEx project |
| TIMP4 | Visceral adipose | 7.50 × 10−5 | NES = −0.21 | ||||
| rs143400372 | USP44 | G/GA | METAP2 | Subcutaneous adipose | 9.50 × 10−8 | NES = −0.64 | GTEx project |
| Visceral adipose | 2.50 × 10−6 | NES = −0.55 | |||||
| rs150732434 | PPARG, TIMP4 | TG/T | TIMP4 | Visceral adipose | 7.50 × 10−5 | NES = −0.21 | GTEx project |
| SYN2 | Skeletal muscle | 4.10 × 10−9 | NES = 0.35 | ||||
| rs17036160 | PPARG, TIMP4 | C/T | TIMP4 | Visceral adipose | 8.50 × 10−5 | NES = −0.21 | GTEx project |
| SYN2 | Skeletal muscle | 6.50 × 10−9 | NES = 0.34 | ||||
| rs1801282 | PPARG | G/C | GATA3 | Whole blood | 5.70 × 10−6 | Z-score = −4.54 | Blood eQTL Browser |
| SYN2 | Whole blood | 3.09 × 10−4 | Z-score = −3.61 | Blood eQTL Browser | |||
| Skeletal muscle | 2.10 × 10−8 | NES = 0.36 | GTEx project | ||||
| TIMP4 | Visceral adipose | 5.90 × 10−5 | NES = −0.21 | ||||
| rs1843628 | FOLH1, AC118942.1 | A/G | RP11-347H15.5 | Visceral adipose | 3.40 × 10−9 | NES = −0.55 | GTEx project |
| rs1880436 | FOLH1, AC118942.1 | A/G | RP11-347H15.5 | Visceral adipose | 2.70 × 10−9 | NES = 0.55 | GTEx project |
| rs2012444 | PPARG | C/T | SYN2 | Skeletal muscle | 4.10 × 10−9 | NES = 0.35 | GTEx project |
| TIMP4 | Visceral adipose | 7.50 × 10−5 | NES = −0.21 | ||||
| rs2278978 | RPS6KA1 | G/A | RPS6KA1 | Whole blood | 1.96 × 10−4 | Z-score = −3.72 | Blood eQTL Browser |
| DHDDS | Whole blood | 2.41 × 10−3 | Z-score = −3.03 | Blood eQTL Browser | |||
| rs2305293 | USP44, METAP2 | C/T | METAP2 | Subcutaneous adipose | 5.20 × 10−8 | NES = −0.65 | GTEx project |
| Visceral adipose | 2.30 × 10−6 | NES = −0.54 | |||||
| rs35000407 | PPARG, TIMP4 | T/G | TIMP4 | Visceral adipose | 7.50 × 10−5 | NES = −0.21 | GTEx project |
| SYN2 | Skeletal muscle | 4.60 × 10−9 | NES = 0.35 | ||||
| rs35788455 | PPARG | CTTG/C | SYN2 | Skeletal muscle | 1.80 × 10−9 | NES = 0.36 | GTEx project |
| TIMP4 | Visceral adipose | 8.20 × 10−5 | NES = −0.21 | ||||
| rs4443935 | RPS6KA1 | G/A | RPS6KA1 | Whole blood | 2.45 × 10−4 | Z-score = −3.67 | Blood eQTL Browser |
| rs4684847 | USP44, METAP2 | C/T | TIMP4 | Visceral adipose | 8.20 × 10−5 | NES = −0.21 | GTEx project |
| SYN2 | Skeletal muscle | 1.80 × 10−9 | NES = 0.36 | ||||
| rs4762563 | USP44, METAP2 | G/C | METAP2 | Subcutaneous adipose | 5.20 × 10−8 | NES = −0.65 | GTEx project |
| Visceral adipose | 2.30 × 10−6 | NES = −0.54 | |||||
| rs61939476 | USP44, METAP2 | A/C | METAP2 | Subcutaneous adipose | 5.20 × 10−8 | NES = −0.65 | GTEx project |
| Visceral adipose | 2.30 x 10−6 | NES = −0.54 | |||||
| rs61939479 | USP44, METAP2 | C/T | METAP2 | Subcutaneous adipose | 5.20 × 10−8 | NES = −0.65 | GTEx project |
| Visceral adipose | 1.60 × 10−6 | NES = −0.54 | |||||
| rs61939481 | USP44 | T/C | METAP2 | Subcutaneous adipose | 9.50 × 10−8 | NES = −0.64 | GTEx project |
| Visceral adipose | 6.40 × 10−6 | NES = −0.52 | |||||
| rs71304101 | PPARG, TIMP4 | G/A | TIMP4 | Visceral adipose | 5.80 × 10−5 | NES = −0.21 | GTEx project |
| SYN2 | Skeletal muscle | 9.30 × 10−10 | NES = 0.36 | ||||
| rs737465 | RPS6KA1 | C/T | DHDDS | Whole blood | 1.88 x 10−3 | Z-score = −3.11 | Blood eQTL Browser |
| RPS6KA1 | Whole blood | 2.04 × 10−4 | Z-score = −3.71 | Blood eQTL Browser | |||
| Visceral adipose | 1.40 × 10−4 | NES = 0.098 | GTex project | ||||
| rs75781920 | FOLH1, AC118942.1 | T/G | RP11-347H15.5 | Visceral adipose | 2.70 × 10−9 | NES = 0.55 | GTex project |
| rs76218798 | FOLH1, AC118942.1 | T/C | RP11-347H15.5 | Visceral adipose | 7.90 × 10−8 | NES = 0.51 | GTex project |
| rs76427006 | FOLH1, AC118942.1 | T/A | RP11-347H15.5 | Visceral adipose | 2.70 × 10−9 | NES = 0.55 | GTex project |
| rs79067108 | USP44 | GCT/G | METAP2 | Subcutaneous adipose | 5.20 × 10−8 | NES = −0.65 | GTEx project |
| Visceral adipose | 2.30 × 10−6 | NES = −0.54 | |||||
| Proxy SNPs | Chr | Position | Alleles | R2 | Correlated Alleles | Associated Genes | |
|---|---|---|---|---|---|---|---|
| rs11709077 | rs17036160 | 3 | 12329783 | (C/T) | 0.9844 | G = C,A = T | PPARG |
| rs2012444 | 3 | 12375956 | (C/T) | 0.9751 | G = C,A = T | ||
| rs13064760 | 3 | 12369401 | (C/T) | 0.9751 | G = C,A = T | ||
| rs150732434 | 3 | 12360884 | (G/-) | 0.9751 | G = G,A = - | ||
| rs13083375 | 3 | 12365308 | (G/T) | 0.972 | G = G,A = T | ||
| rs35000407 | 3 | 12351521 | (T/G) | 0.9539 | G = T,A = G | ||
| rs4684847 | 3 | 12386337 | (C/T) | 0.9391 | G = C,A = T | ||
| rs11712037 | 3 | 12344730 | (C/G) | 0.9379 | G = C,A = G | ||
| rs35788455 | 3 | 12388908 | (TTG/-) | 0.9362 | G = TTG,A = - | ||
| rs1801282 | 3 | 12393125 | (C/G) | 0.9334 | G = C,A = G | ||
| rs71304101 | 3 | 12396913 | (G/A) | 0.9083 | G = G,A = A | ||
| rs35408322 | 3 | 12360357 | (-/T) | 0.9021 | G = -,A = T | ||
| rs1801282 | rs4684847 | 3 | 12386337 | (C/T) | 0.9939 | C = C,G = T | PPARG, TIMP4 |
| rs35788455 | 3 | 12388908 | (TTG/-) | 0.9908 | C = TTG,G = - | ||
| rs71304101 | 3 | 12396913 | (G/A) | 0.9613 | C = G,G = A | ||
| rs150732434 | 3 | 12360884 | (G/-) | 0.9573 | C = G,G = - | ||
| rs13064760 | 3 | 12369401 | (C/T) | 0.9573 | C = C,G = T | ||
| rs2012444 | 3 | 12375956 | (C/T) | 0.9573 | C = C,G = T | ||
| rs13083375 | 3 | 12365308 | (G/T) | 0.9543 | C = G,G = T | ||
| rs35000407 | 3 | 12351521 | (T/G) | 0.9365 | C = T,G = G | ||
| rs11709077 | 3 | 12336507 | (G/A) | 0.9334 | C = G,G = A | ||
| rs17036160 | 3 | 12329783 | (C/T) | 0.9183 | C = C,G = T | ||
| rs35408322 | 3 | 12360357 | (-/T) | 0.8855 | C = −,G = T | ||
| rs11712037 | 3 | 12344730 | (C/G) | 0.8806 | C = C,G = G | ||
| rs6685701 | rs4970486 | 1 | 26871669 | (C/T) | 0.9826 | A = C,G = T | RPS6KA1 |
| rs737465 | 1 | 26862939 | (T/C) | 0.9814 | A = T,G = C | ||
| rs11580180 | 1 | 26867453 | (A/G) | 0.9746 | A = A,G = G | ||
| rs2278978 | 1 | 26873245 | (A/G) | 0.9311 | A = A,G = G | ||
| rs4443935 | 1 | 26875433 | (A/G) | 0.9072 | A = A,G = G | ||
| rs10902750 | 1 | 26876245 | (G/T) | 0.9052 | A = G,G = T | ||
| rs389548 | 1 | 26891697 | (C/A) | 0.8777 | A = C,G = A | ||
| rs11108094 | rs11108087 | 12 | 95915763 | (A/G) | 0.8578 | C = A,A = G | USP44, METAP2 |
| rs61939481 | 12 | 95921998 | (T/C) | 0.8477 | C = T,A = C | ||
| rs143400372 | 12 | 95923620 | (-/A) | 0.8477 | C = -,A = A | ||
| rs11108086 | 12 | 95914758 | (T/C) | 0.8187 | C = T,A = C | ||
| rs79067108 | 12 | 95881761 | (CT/-) | 0.8141 | C = CT,A = - | ||
| rs11108070 | 12 | 95881787 | (T/A) | 0.8141 | C = T,A = A | ||
| rs12369757 | 12 | 95888603 | (G/A) | 0.8141 | C = G,A = A | ||
| rs11108072 | 12 | 95890218 | (T/C) | 0.8141 | C = T,A = C | ||
| rs10859889 | 12 | 95890413 | (A/T) | 0.8141 | C = A,A = T | ||
| rs11522874 | 12 | 95893609 | (G/A) | 0.8141 | C = G,A = A | ||
| rs61939476 | 12 | 95894581 | (A/C) | 0.8141 | C = A,A = C | ||
| rs11108076 | 12 | 95897348 | (G/A) | 0.8141 | C = G,A = A | ||
| rs11108079 | 12 | 95899173 | (G/A) | 0.8141 | C = G,A = A | ||
| rs12146719 | 12 | 95901434 | (C/A) | 0.8141 | C = C,A = A | ||
| rs61939479 | 12 | 95905364 | (C/T) | 0.8141 | C = C,A = T | ||
| rs2305293 | 12 | 95879734 | (C/T) | 0.8095 | C = C,A = T | ||
| rs11519597 | 12 | 95894247 | (T/C) | 0.8095 | C = T,A = C | ||
| rs61939477 | 12 | 95896692 | (A/G) | 0.8095 | C = A,A = G | ||
| rs4762563 | 12 | 95915341 | (G/C) | 0.805 | C = G,A = C | ||
| rs7929543 | rs11603576 | 11 | 49344126 | (G/A) | 0.9947 | A = G,C = A | FOLH1, AC118942.1 |
| rs10839264 | 11 | 49356806 | (C/T) | 0.9511 | A = C,C = T | ||
| rs76218798 | 11 | 49356186 | (T/C) | 0.9366 | A = T,C = C | ||
| rs11607791 | 11 | 49358347 | (T/C) | 0.9339 | A = T,C = C | ||
| rs1880436 | 11 | 49344775 | (A/G) | 0.92 | A = A,C = G | ||
| rs148517532 | 11 | 49332611 | (A/G) | 0.9188 | A = A,C = G | ||
| rs144550850 | 11 | 49366641 | (T/C) | 0.9175 | A = T,C = C | ||
| rs1843629 | 11 | 49319195 | (G/A) | 0.9161 | A = G,C = A | ||
| rs75781920 | 11 | 49371482 | (T/G) | 0.9152 | A = T,C = G | ||
| rs76427006 | 11 | 49375021 | (T/A) | 0.9149 | A = T,C = A | ||
| rs7932396 | 11 | 49299282 | (A/G) | 0.9112 | A = A,C = G | ||
| rs1843628 | 11 | 49323039 | (A/G) | 0.9033 | A = A,C = G | ||
| rs7939300 | 11 | 49311134 | (C/A) | 0.8985 | A = C,C = A | ||
| rs7939316 | 11 | 49311208 | (A/G) | 0.8985 | A = A,C = G | ||
| rs11040313 | 11 | 49299786 | (A/G) | 0.8915 | A = A,C = G | ||
| rs11040291 | 11 | 49248150 | (C/T) | 0.8898 | A = C,C = T | ||
| rs61350355 | 11 | 49292311 | (G/A) | 0.8757 | A = G,C = A | ||
| rs16906190 | 11 | 49203487 | (A/G) | 0.8709 | A = A,C = G | ||
| rs11040354 | 11 | 49409798 | (G/A) | 0.847 | A = G,C = A | ||
| rs10839244 | 11 | 49263085 | (A/G) | 0.8406 | A = A,C = G | ||
| rs74380550 | 11 | 49236977 | (C/T) | 0.8301 | A = C,C = T | ||
| rs59386222 | 11 | 49235409 | (G/A) | 0.8288 | A = G,C = A | ||
| rs4091958 | 11 | 49234514 | (T/C) | 0.8286 | A = T,C = C | ||
| rs11040365 | 11 | 49448078 | (C/A) | 0.826 | A = C,C = A | ||
| rs10839237 | 11 | 49215635 | (C/T) | 0.8187 | A = C,C = T | ||
| rs76002284 | 11 | 49271829 | (A/G) | 0.8145 | A = A,C = G | ||
| rs11040352 | 11 | 49395272 | (A/C) | 0.8039 | A = A,C = C |
| Gene Symbol | Full Gene Name | AML SNPs | T2D SNPs | |
|---|---|---|---|---|
| 1 | AC003681.1 | - | rs3788418, rs12627929, rs8139217, rs7285751, rs737903, rs36600, rs5752972, rs11090584, rs36608, rs5763609, rs39713, rs2051764, rs9614125, rs9625870, rs737904, rs737911, rs41170, rs5763681, rs36605, rs41158, rs4823058, rs41164, rs3788421, rs713718, rs5763559, rs737909, rs41159, rs3788425, rs5763688, rs7284538, rs5997546 | rs41278853 |
| 2 | AC006041.1 | - | rs13225661, rs10242655, rs12113983, rs17348974, rs7811500, rs12532826, rs17169090, rs10950583 | rs38221 |
| 3 | AC010967.1 | - | rs10204358, rs903230, rs745685, rs17044784, rs9677678, rs985549, rs903229, rs17044786, rs903231, rs17044787 | rs9309245 |
| 4 | AC016903.2 | - | rs1545378 | rs4482463 |
| 5 | AC022414.1 | - | rs10942819, rs10061629, rs6453303, rs11750661, rs17671389, rs9293712, rs9784696, rs6453304 | rs7732130, rs4457053, rs6878122 |
| 6 | AC022784.1 | - | rs17656706, rs330003, rs6984551, rs11777846, rs75527, rs17149618, rs330035, rs330033, rs17656431, rs735449 | rs17662402 |
| 7 | AC034195.1 | - | rs11717189, rs6768756 | rs9842137 |
| 8 | AC069157.2 | - | rs10204358, rs903230, rs745685, rs17044784, rs9677678, rs985549, rs903229, rs17044786, rs903231, rs17044787 | rs9309245 |
| 9 | AC073176.2 | - | rs950718 | rs827237 |
| 10 | AC087311.2 | - | rs12227331, rs11052394 | rs10844518, rs10844519 |
| 11 | AC093675.1 | - | rs4567941 | rs34589210 |
| 12 | AC093898.1 | - | rs1503886, rs1039539, rs7673064, rs7681205, rs11934728, rs2320289, rs1847400, rs11941617 | rs2169033 |
| 13 | AC097634.4 | - | rs9844845, rs17653411, rs9840264 | rs844215, rs853866 |
| 14 | AC098588.2 | - | rs11100859, rs2719340, rs6817612 | rs200995462 |
| 15 | AC098588.3 | - | rs11100859, rs2719340, rs6817612 | rs200995462, rs75686861 |
| 16 | AC098650.1 | - | rs6549877, rs1350867, rs2371341, rs6549876, rs4258916, rs1381392, rs1563981, rs6549878 | rs9869477 |
| 17 | AC114971.1 | - | rs10067455 | rs73167517 |
| 18 | AC118942.1 | - | rs10501324, rs7929543, rs7115281, rs3960835, rs1164681, rs1164673, rs1164666, rs10769572, rs12806588, rs2204366, rs7930322, rs2205020, rs11040338, rs11040339, rs10839257, rs7118379, rs598101, rs10839272, rs7925896, rs7924782, rs7114817, rs588295 | rs7929543 |
| 19 | AFF3 | AF4/FMR2 Family Member 3 | rs6707538, rs7423759, rs17023314, rs4449188, rs7577040, rs17436893 | rs34506349 |
| 20 | AL135878.1 | - | rs10138733, rs4981687, rs8016028, rs8022374, rs1951540, rs17114593, rs3950100, rs8022457, rs8016946, rs17560052, rs8020665 | rs8005994 |
| 21 | AL135923.2 | - | rs10815796, rs10815795, rs10815793 | rs10758950 |
| 22 | AL136114.1 | - | rs2065140, rs1885645, rs3131325, rs1923640, rs2065141, rs10494504, rs1885644 | rs532504, rs539515 |
| 23 | AL136962.1 | - | rs7552571 | rs9316706 |
| 24 | AL359922.1 | - | rs10965197, rs2027938, rs10757261, rs9657608 | rs1063192 |
| 25 | AL391117.1 | - | rs10811816, rs10811815, rs1350996 | rs11793831, rs7029718 |
| 26 | ASAH1 | N-Acylsphingosine Amidohydrolase (Acid Ceramidase) | rs17692377, rs382752, rs11782529 | rs34642578 |
| 27 | AUTS2 | Activator of Transcription and Developmental Regulator | rs7459368, rs7791651, rs2057913, rs1557970, rs4718971, rs3922333, rs1008584, rs11772435, rs17578487, rs2057914, rs2057911, rs10486866 | rs2103132, rs6947395, rs6975279, rs12698877, rs10618080, rs610930 |
| 28 | CACNA2D3 | Calcium Voltage-Gated Channel Auxiliary Subunit Alpha2delta3 | rs11711040, rs6805548 | rs76263492 |
| 29 | CHMP4B | Charged Multivesicular Body Protein 4B | rs2050209, rs6088343, rs2092475, rs17091328 | rs7274168 |
| 30 | CPNE4 | Copine 4 | rs3851353, rs1010900, rs17341291, rs1850941, rs16838814, rs3900591, rs9853646, rs16838856, rs10512856, rs12636272, rs6792708, rs11708369, rs1505811, rs4522813, rs3914303, rs2369466, rs3922808, rs10934990, rs9876304, rs7626343 | rs9857204, rs1225052 |
| 31 | CRTC1 | CREB-regulated transcription coactivator 1 | rs2023878, rs17757406, rs6510997, rs12462498, rs6510999, rs2240887, rs7256986 | rs10404726 |
| 32 | CSMD1 | CUB and Sushi Multiple Domains 1 | rs592700, rs11779410, rs13277378, rs4876060, rs596332, rs673465 | rs117173251 |
| 33 | DGKB | Diacylglycerol Kinase Beta | rs10244653, rs10486042, rs17167995 | rs17168486, rs10281892, rs11980500 |
| 34 | EIF2S2P7 | Eukaryotic Translation Initiation Factor 2 Subunit Beta | rs2193632, rs6714162, rs2870503, rs768329 | rs1116357 |
| 35 | EML6 | EMAP-Like 6 | rs10496035, rs4625954, rs13394146 | rs5010712 |
| 36 | ERBB4 | Erb-B2 Receptor Tyrosine Kinase 4 | rs10207288, rs10174084, rs13019783, rs4673628, rs4423543, rs6759039 | rs3828242, rs13005841 |
| 37 | FAM86B3P | Family with sequence similarity 86, member A pseudogene | rs13274039, rs2980417, rs2945230, rs2980422, rs10095669, rs2980420 | rs7841082 |
| 38 | FSD2 | Fibronectin type III and SPRY domain containing 2 | rs4779064 | rs36111056 |
| 39 | GP2 | Glycoprotein 2 | rs8046269, rs12930599, rs11642182, rs9937721, rs4383154 | rs117267808 |
| 40 | GRID1 | Glutamate Ionotropic Receptor Delta Type Subunit 1 | rs1991426, rs4933387, rs7084960, rs1896526, rs17096224, rs11201974, rs1896527, rs1896525, rs7918205 | rs11201999, rs11201992 |
| 41 | GRK5 | G Protein-Coupled Receptor Kinase 5 | rs12357403, rs17606601, rs4752269, rs10787945, rs7903013, rs12264832, rs17098576, rs12358835, rs12244897, rs10886439, rs4752276, rs17098586, rs10510056 | rs10886471 |
| 42 | HPSE2 | Heparanase 2 | rs12219674, rs527822, rs592142, rs10748739, rs657442, rs537851, rs521390, rs10883130, rs650527, rs526877, rs7907389, rs551674, rs10509724, rs523205, rs10883134, rs558398, rs526698, rs2018085, rs17538604, rs621644, rs552644, rs489611, rs552436, rs625777, rs11189692, rs563937, rs660426, rs17459507, rs898892, rs541519 | rs524903 |
| 43 | KCNB2 | Potassium Voltage-Gated Channel Subfamily B Member 2 | rs2251899 | rs349359 |
| 44 | KCNQ1 | Potassium Voltage-Gated Channel Subfamily Q Member 1 | rs10832134, rs12576156, rs11523905 | rs2283159, rs163184, rs2237896, rs2283228, rs2237897, rs2237892, rs2237895, rs231362, rs2283220, rs231361, rs231349, rs163182, rs233450, rs77402029, rs2106463, rs463924, rs231356, rs233449, rs8181588, rs234853 |
| 45 | LCORL | Ligand-Dependent Nuclear Receptor Corepressor-Like | rs1503886, rs1039539, rs7673064, rs7681205, rs11934728, rs2320289, rs1847400, rs11941617 | rs2169033, rs2011603 |
| 46 | LDLRAD4 | Low-Density Lipoprotein Receptor Class A Domain Containing 4 | rs7241766, rs6505821, rs7230189, rs8091352, rs7230276 | rs11662800 |
| 47 | LHFPL3 | LHFPL Tetraspan Subfamily Member 3 | rs2106504, rs17136882, rs13234807, rs6958831, rs7794181, rs979522, rs7787976, rs7787988 | rs73184014 |
| 48 | LINC00424 | Long Intergenic Non-Protein Coding RNA 424 | rs9316684, rs7320437, rs9316683, rs17074792 | rs9316706 |
| 49 | LINC01234 | Long Intergenic Non-Protein Coding RNA 1234 | rs4766686, rs10850140 | rs7307263 |
| 50 | LINC02641 | Long Intergenic Non-Protein Coding RNA 2641 | rs845083, rs2282015, rs1219960, rs845084, rs11597044, rs7091877, rs6599698 | rs705145 |
| 51 | LINGO2 | Leucine-Rich Repeat and Ig Domain Containing 2 | rs1452338, rs10511822, rs1349638, rs10124164, rs16912518 | rs1412234 |
| 52 | MERTK | MER Proto-Oncogene, Tyrosine Kinase | rs11684476 | rs34589210 |
| 53 | MLIP | Muscular LMNA-Interacting Protein | rs9357785, rs1325831, rs16884633, rs12191362, rs9464019, rs1359563, rs1325833, rs9637973, rs7750294, rs9370259 | rs9370243 |
| 54 | MTMR3 | Myotubularin-Related Protein 3 | rs3788418, rs12627929, rs8139217, rs7285751, rs737903, rs36600, rs5752972, rs11090584, rs36608, rs5763609, rs39713, rs2051764, rs9614125, rs9625870, rs737904, rs737911, rs41170, rs5763681, rs36605, rs41158, rs4823058, rs41164, rs3788421, rs713718, rs5763559, rs737909, rs41159, rs3788425, rs5763688, rs7284538, rs5997546 | rs41278853 |
| 55 | NELL1 | Neural EGFL-Like 1 | rs4412753, rs11025959, rs1377744, rs4923393, rs4576820, rs7119634, rs7948285, rs10500896, rs10833472, rs1945321 | rs16907058 |
| 56 | NFATC2 | Nuclear Factor of Activated T Cells 2 | rs17791950, rs4396773, rs4811167, rs6021170, rs1123479, rs959996 | rs6021276 |
| 57 | NLGN1 | Neuroligin 1 | rs9809489, rs6782940, rs16829698, rs1502461, rs6776485, rs16829573 | rs686998, rs247975 |
| 58 | OARD1 | O-Acyl-ADP-Ribose Deacylase 1 | rs6912013, rs9296355, rs7760860 | rs7841082 |
| 59 | PAM | Peptidylglycine Alpha-Amidating Monooxygenase | rs888801, rs467186, rs258132, rs462957, rs458256, rs2657459, rs401114, rs438126, rs451819, rs442443, rs382964, rs382946, rs647343 | rs78408340 |
| 60 | PARD3B | Par-3 Family Cell Polarity Regulator Beta | rs4673320, rs1990667, rs10179357, rs849207, rs16837235, rs907462, rs2160455, rs849250, rs12620034, rs10490293, rs10490292, rs4673324, rs4595957, rs4673329, rs2668152 | rs4482463 |
| 61 | PCSK6 | Proprotein convertase subtilisin/kexin type 6 | rs9806369, rs12905649, rs11858490, rs12719737, rs2047219, rs2047220, rs4965873, rs903552, rs11852310, rs11858491 | rs6598475 |
| 62 | PKHD1 | Polycystic kidney and hepatic disease 1 | rs1326570, rs41412044, rs9370050, rs728996, rs11754532, rs6458777, rs2104522, rs2894788, rs2397061, rs9474070, rs4715233, rs2104521, rs6922497, rs6940892- | rs1819564 |
| 63 | POLR1D | RNA Polymerase I And III Subunit D | rs12584838, rs9551373, rs531950, rs10492484, rs7337722, rs667374, rs12876263, rs12870355, rs17821569, rs9507915, rs634035, rs542610, rs6491221, rs12050009 | rs9319382 |
| 64 | PPARG | Peroxisome Proliferator Activated Receptor Gamma | rs10517032, rs10517031, rs2324237, rs16874420, rs10020457, rs10517030, rs2324241 | rs17036160 |
| 65 | PPP2R2C | Protein Phosphatase 2 Regulatory Subunit B gamma | rs11946417, rs4505896, rs4689469, rs6446507, rs10937739, rs11938118, rs4689011, rs4689462, rs4076293, rs7654321, rs4234751, rs4689465 | rs35678078 |
| 66 | PRAG1 | PEAK1 Related, Kinase-Activating Pseudokinase 1 | rs13274039, rs2980417, rs2945230, rs2980422, rs10095669, rs2980420 | rs7841082 |
| 67 | PTPRD | Protein Tyrosine Phosphatase Receptor Type D | rs10815796, rs10815795, rs10815793 | rs10758950, rs17584499 |
| 68 | RBMS3 | RNA Binding Motif Single-Stranded Interacting Protein 3 | rs6549877, rs1350867, rs2371341, rs6549876, rs4258916, rs1381392, rs1563981, rs6549878 | rs9869477 |
| 69 | RELN | Reelin | rs6961175, rs10235204, rs2106283, rs2106282, rs6465955, rs6955789, rs6465954 | rs39328 |
| 70 | RPL12P33 | Ribosomal protein L12 pseudogene 33 | rs10774577, rs6489785, rs7300612, rs7969196, rs11065341, rs2701179, rs868795 | rs118074491 |
| 71 | RPS6KA1 | Ribosomal Protein S6 Kinase A1 | rs3127011, rs12094989, rs12723046, rs6685701, rs1982525, rs11576300, rs4659444, rs6670311 | rs6685701 |
| 72 | RPTOR | Regulatory Associated Protein of MTOR Complex 1 | rs8065459, rs9915426, rs2333990, rs2589133, rs2138125, rs734338 | rs11150745 |
| 73 | RREB1 | Ras Responsive Element Binding Protein 1 | rs10458204, rs4960285, rs12196079, rs17142726, rs12197730, rs552188, rs7759330, rs3908470, rs6597246 | rs9505085, rs9505097, rs9379084 |
| 74 | SEPTIN9 | Septin 9 | rs8079522, rs1075457, rs3744069, rs9916143, rs312907, rs11658267, rs892961, rs566569, rs11650011, rs2411110 | rs1656794 |
| 75 | SGCG | Sarcoglycan Gamma | rs578196, rs501909, rs502068 | rs9552911 |
| 76 | SGCZ | Sarcoglycan Zeta | rs17608649, rs7826655, rs12547159, rs13278000 | rs35753840, rs17294565 |
| 77 | SHROOM3 | Shroom Family Member 3 | rs6848817, rs13151434, rs6810716, rs13105942, rs4241595, rs10050141, rs6854652 | rs11723275, rs56281442 |
| 78 | SLC39A11 | Solute Carrier Family 39 Member 11 | rs11077627, rs11077628, rs4530179, rs11658711 | rs61736066 |
| 79 | SYT10 | Synaptotagmin 10 | rs12227331, rs11052394 | rs10844518, rs10844519 |
| 80 | TMEM106B | Transmembrane Protein 106B | rs12537849, rs10237821, rs10269431, rs7794113 | rs13237518 |
| 81 | TMEM87B | Transmembrane Protein 87B | rs6713344, rs4848979, rs4848980 | rs74677818 |
| 82 | TTN | Titin | rs7604033, rs10497522, rs2291313, rs11902709, rs2291311, rs4894044, rs10497523, rs2054708, rs1484116, rs10171049, rs3754953, rs4471922, rs11895382, rs4894037, rs2291312, rs7600001 | rs6715901 |
| 83 | USP44 | Ubiquitin-Specific Peptidase 44 | rs3812813, rs10777699, rs2769444, rs7974458, rs10498964, rs301024, rs301003 | rs2197973 |
| 84 | XYLT1 | Xylosyltransferase 1 | rs4453460, rs4583225 | rs551640889 |
| 85 | ZFHX3 | Zinc Finger Homeobox 3 | rs328398, rs328389, rs328317, rs328384, rs328395 | rs6416749, rs1075855 |
| 86 | ZNF800 | Zinc Finger Protein 800 | rs11563463, rs2285337, rs2285338, rs11563346, rs11563634 | rs17866443 |
| AML-Specific | T2D-Specific | |||||
|---|---|---|---|---|---|---|
| SNP ID | Associated Gene | Affected Gene (s) | SNP ID | Associated Gene | Affected Gene (s) | |
| Adipose, Muscle, Pancreas, Whole Blood | ||||||
| 1 | rs1168446 | AC093675.1, MERTK | MERTK (ad, pa, bl), TMEM87B (mu, bl) | |||
| 2 | rs4848980 | TMEM87B | MERTK (pa, mu), TMEM87B (bl, ad) | |||
| 3 | rs5752972 | ASCC2, MTMR3 | MTMR3 (ad, bl, mu, pa) | |||
| 4 | rs11684321 | MERTK | MERTK (pa, mu, ad, bl), TMEM87B (mu, ad, bl) | |||
| 5 | rs9625870 | ASCC2, MTMR3 | MTMR3 (ad, bl, pa) | |||
| 6 | rs4848979 | TMEM87B | MERTK (pa, bl, mu, ad), TMEM87B (mu, pa, ad, bl) | |||
| 7 | rs1168446 | AC093675.1, MERTK | MERTK (pa, mu, ad), TMEM78B (ad, pa, mu, bl) | |||
| Adipose, Muscle, Pancreas | ||||||
| 1 | rs2769444 | USP44 | USP44 (pa, mu, ad) | rs4382480 | MFHAS1 | FAM86B3P (ad, pa, mu), PRAG1 (ad),FAM85B (ad), |
| 2 | rs13274039 | PRAG1, FAM86B3P | FAM86B3P (ad), FAM85B (ad) | |||
| 3 | rs301003 | USP44 | USP44 (pa, mu, ad) | |||
| 4 | rs301026 | METAP2 | USP44 (mu, pa, ad) | |||
| 5 | rs301024 | USP44 | USP44 (pa, ad) | |||
| 6 | rs301009 | METAP2 | USP44 (pa, mu, ad) | |||
| Adipose, Muscle, Whole blood | ||||||
| 1 | rs8139217 | MTMR3, AC003681.1 | MTMR3 (bl, mu) | rs7274168 | CHMP4B | CHMP4B (bl, mu, ad) |
| 2 | rs737911 | MTMR3, AC003681.1 | MTMR3 (ad, bl, mu) | |||
| 3 | rs7285751 | MTMR3, AC003681.1 | MTMR3 (bl, mu, ad) | |||
| 4 | rs3788421 | MTMR3, AC003681.1 | MTMR3 (bl, mu, ad) | |||
| 5 | rs41158 | HORMAD2-AS1, MTMR3, AC003681.1 | MTMR3 (ad, bl, mu) | |||
| 6 | rs7284538 | MTMR3, AC003681.1 | MTMR3 (bl, ad, mu) | |||
| 7 | rs41170 | HORMAD2-AS1, MTMR3, AC003681.1 | MTMR3 (ad, bl, mu) | |||
| Adipose, Pancreas, Whole blood | ||||||
| 1 | rs4261758 | SPTBN1 | EML6 (pa, ad, bl) | rs34589210 | AC093675.1, MERTK | MERTK (pa), TMEM87B (ad, bl) |
| 2 | rs4567941 | AC093675.1 | MERTK (pa, bl), TMEM87B (ad, pa, bl) | |||
| 3 | rs36605 | MTMR3 | MTMR3 (ad, bl, pa) | |||
| 4 | rs17039558 | TDRP | EML6 (pa, ad, bl) | |||
| 5 | rs737904 | MTMR3 | MTMR3 (ad, bl, pa) | |||
| 6 | rs3811640 | MERTK | MERTK (pa), TMEM87B (ad, bl) | |||
| 7 | rs6734445 | SPTBN1 | EML6 (pa, ad, bl) | |||
| 8 | rs36600 | MTMR3 | MTMR3(ad, bl, pa) | |||
| 9 | rs11904679 | AC092839.1, SPTBN1 | EML6 (pa, ad, bl) | |||
| 10 | rs6713344 | TMEM87B | MERTK (pa, bl, ad), TMEM87B (ad, pa, bl) | |||
| Muscle, Pancreas, Whole blood | ||||||
| 1 | rs13237518 | TMEM106B | TMEM106B (bl, pa, mu) | |||
| Adipose, Muscle | ||||||
| 1 | rs11563634 | ZNF800 | ZNF800 (mu, ad) | rs11723275 | SHROOM3 | SHROOM3 (mu, ad) |
| 2 | rs10937739 | PPP2R2C | PPP2R2C (mu, ad) | |||
| 3 | rs2285338 | ZNF800 | ZNF800 (ad, mu) | |||
| 4 | rs11563346 | ZNF800 | ZNF800 (mu, ad) | |||
| 5 | rs4689465 | PPP2R2C | PPP2R2C (ad, mu) | |||
| 6 | rs4689469 | PPP2R2C | PPP2R2C (mu, ad) | |||
| Adipose, Pancreas | ||||||
| 1 | rs11887259 | MERTK | TMEM87B (ad), MERTK (pa, ad) | rs7841082 | PRAG1, FAM86B3P | FAM86B3P (ad, pa), FAM85B (ad), PPP1R3B (pa) |
| 2 | rs6729826 | SPTBN1 | EML6 (ad) | |||
| 3 | rs4671956 | AC092839.2, SPTBN1 | EML6 (ad, pa) | |||
| 4 | rs4374383 | MERTK | TMEM87B (ad), MERTK (pa, ad) | |||
| 5 | rs3811638 | MERTK | TMEM87B (ad), MERTK (pa, ad) | |||
| 6 | rs2945230 | PRAG1, FAM86B3P | FAM86B3P (ad, pa), FAM85B (ad) | |||
| 7 | rs13016942 | SPTBN1 | EML6 (ad, pa) | |||
| 8 | rs12104998 | AC092839.1, SPTBN1 | EML6 (ad, pa) | |||
| 9 | rs12105792 | SPTBN1 | EML6 (ad, pa) | |||
| 10 | rs1367295 | AC092839.1, SPTBN1 | EML6 (ad, pa) | |||
| 11 | rs11683409 | MERTK | MERTK (ad, pa), TMEM87B (ad) | |||
| 12 | rs17344072 | SPTBN1 | EML6 (ad, pa) | |||
| Adipose, Liver | ||||||
| 1 | rs4659444 | DPPA2P2, HMGN2 | RPS6KA1 (li) | |||
| 2 | rs1359563 | MLIP-AS1, MLIP | MLIP (ad, li) | |||
| 3 | rs12094989 | DPPA2P2, RPS6KA1 | RPS6KA1 (li, ad) | |||
| 4 | rs9637973 | MLIP-AS1, MLIP | MLIP (li, ad) | |||
| 5 | rs1325831 | MLIP-AS1, MLIP | MLIP (li, ad) | |||
| Adipose, Whole blood | ||||||
| 1 | rs5997546 | ASCC2, MTMR3 | MTMR3 (ad) | |||
| 2 | rs5763688 | MTMR3, AC003681.1 | MTMR3 (ad, bl) | |||
| 3 | rs41159 | HORMAD2-AS1, MTMR3, AC003681.1 | MTMR3 (ad, bl) | |||
| 4 | rs634035 | POLR1D | POLR1D (ad) | |||
| 5 | rs5763559 | ASCC2, MTMR3 | MTMR3 (ad, bl) | |||
| 6 | rs737909 | MTMR3, AC003681.1 | MTMR3 (ad, bl) | |||
| 7 | rs2051764 | MTMR3 | MTMR3 (bl) | |||
| 8 | rs667374 | POLR1D | POLR1D (bl, ad) | |||
| Muscle, Whole blood | ||||||
| 1 | rs382752 | PCM1, ASAH1 | ASAH1 (bl, mu) | |||
| Pancreas, Whole blood | ||||||
| 1 | rs74677818 | TMEM87B | TMEM87B (bl), MERTK (pa) | |||
| Adipose | ||||||
| 1 | rs17821569 | POLR1D | POLR1D (ad) | rs11201992 | GRID1 | GRID1 (ad) |
| 2 | rs12905649 | PCSK6 | PCSK6 (ad) | rs56281442 | SHROOM3 | SHROOM3 (ad) |
| 3 | rs10883130 | HPSE2 | HPSE2 (ad) | rs11201999 | GRID1 | GRID1 (ad) |
| 4 | rs12876263 | POLR1D | POLR1D (ad) | |||
| 5 | rs898892 | HPSE2 | HPSE2 (ad) | |||
| 6 | rs7907389 | HPSE2 | HPSE2 (ad) | |||
| 7 | rs7337722 | POLR1D | POLR1D (ad) | |||
| 8 | rs737903 | MTMR3 | MTMR3 (ad) | |||
| 9 | rs10748739 | HPSE2 | HPSE2 (ad) | |||
| 10 | rs2980420 | PRAG1, FAM86B3P | FAM86B3P (ad) | |||
| 11 | rs650527 | HPSE2 | HPSE2 (ad) | |||
| 12 | rs7750294 | MLIP-AS1, MLIP | MLIP (ad) | |||
| 13 | rs10883134 | HPSE2 | HPSE2 (ad) | |||
| 14 | rs2018085 | HPSE2 | HPSE2 (ad) | |||
| 15 | rs41164 | HORMAD2-AS1, MTMR3, AC003681.1 | MTMR3 (ad) | |||
| 16 | rs621644 | HPSE2 | HPSE2 (ad) | |||
| 17 | rs542610 | POLR1D | POLR1D (ad) | |||
| 18 | rs489611 | HPSE2 | HPSE2 (ad) | |||
| Muscle | ||||||
| 1 | rs4505896 | PPP2R2C | PPP2R2C (mu) | rs11150745 | RPTOR | RPTOR (mu) |
| Pancreas | ||||||
| 1 | rs9370050 | PKHD1 | PKHD1 (pa) | |||
| Liver | ||||||
| 1 | rs12191362 | MLIP-AS1, MLIP | MLIP (li) | |||
| 2 | rs16884633 | MLIP-AS1, MLIP | MLIP (li) | |||
| Whole blood | ||||||
| 1 | rs382964 | PAM | PAM (bl), PPIP5K2 (bl) | rs115505614 | GIN1 | PAM (bl), PPIP5K2 (bl) |
| 2 | rs10179948 | MERTK | TMEM87B (bl) | rs35658696 | PAM | PAM (bl), PPIP5K2 (bl) |
| 3 | rs382946 | AC099487.2, PAM | PAM (bl), PPIP5K2 (bl) | rs75432112 | AC011362.1 | PAM (bl), PPIP5K2 (bl) |
| 4 | rs258132 | PAM | PAM (bl), PPIP5K2 (bl) | rs9319382 | AL136439.1, POLR1D | POLR1D (bl) |
| 5 | rs401114 | PAM | PAM (bl, ad), PPIP5K2 (bl) | rs610930 | AUTS2 | AUTS2 (bl) |
| 6 | rs442443 | AC099487.2, PAM | PAM (bl), PPIP5K2 (bl) | rs7729395 | PAM | PAM (bl), PPIP5K2 (bl) |
| 7 | rs462957 | PAM | PAM (bl), PPIP5K2 (bl) | |||
| 8 | rs6088343 | CHMP4B, TPM3P2 | CHMP4B (bl) | |||
| 9 | rs458256 | PAM | PAM (bl), PPIP5K2 (bl) | |||
| 10 | rs451819 | AC099487.2, PAM | PAM (bl) | |||
| 11 | rs17098576 | GRK5 | GRK5 (bl) | |||
| 12 | rs17692377 | PCM1, ASAH1 | ASAH1 (bl) | |||
| 13 | rs10211152 | MERTK | TMEM87B (bl), MERTK (bl) | |||
| 14 | rs12050009 | POLR1D | POLR1D (bl) | |||
| 15 | rs11782529 | PCM1, ASAH1 | ASAH1 (bl) | |||
| 16 | rs9551373 | POLR1D | POLR1D (bl) | |||
| 17 | rs10095669 | PRAG1, FAM86B3P | FAM86B3P (bl) | |||
| 18 | rs467186 | PAM | PAM (bl) | |||
| 19 | rs6142044 | PIGPP3, TPM3P2 | CHMP4B (bl) | |||
| 20 | rs2657459 | AC099487.2, PAM | PAM (bl), PPIP5K2 (bl) | |||
| 21 | rs438126 | AC099487.2, PAM | PAM (bl), PPIP5K2 (bl) | |||
| 22 | rs647343 | AC099487.2, PAM | PAM (bl), PPIP5K2 (bl) | |||
| Term ID | Term Description | Observed Gene Count | Background Gene Count | Strength | FDR | log10FDR | Matching Proteins in the Network |
|---|---|---|---|---|---|---|---|
| hsa00240 | Pyrimidine metabolism | 16 | 100 | 1.57 | 3.17 × 10−18 | 17.50 | POLR2C, POLR2I, TWISTNB, POLR3B, POLR1A, POLR2D, POLR2J, POLR3E, POLR2G, POLR1D, POLR2L, POLR3C, POLR2K, POLR3H, POLR3A, POLR1C |
| hsa00230 | Purine metabolism | 16 | 173 | 1.33 | 6.30 × 10−15 | 14.20 | POLR2C, POLR2I, TWISTNB, POLR3B, POLR1A, POLR2D, POLR2J, POLR3E, POLR2G, POLR1D, POLR2L, POLR3C, POLR2K, POLR3H, POLR3A, POLR1C |
| hsa04150 | mTOR signaling pathway | 14 | 148 | 1.34 | 3.30 × 10−13 | 12.48 | MAPK1, TSC2, LAMTOR5, RHEB, RRAGB, LAMTOR1, RPTOR, EIF4EBP1, LAMTOR4, MTOR, LAMTOR2, RRAGD, RRAGC, RPS6KA1 |
| hsa04152 | AMPK signaling pathway | 8 | 120 | 1.19 | 1.56 × 10−6 | 5.81 | TSC2, RHEB, PPARGC1A, PPARG, RPTOR, PPP2R2C, EIF4EBP1, MTOR |
| hsa04211 | Longevity regulating pathway | 7 | 88 | 1.26 | 3.02 × 10−6 | 5.52 | TSC2, RHEB, PPARGC1A, PPARG, RPTOR, EIF4EBP1, MTOR |
| hsa01100 | Metabolic pathways | 20 | 1250 | 0.57 | 4.74 × 10−6 | 5.32 | POLR2C, POLR2I, TWISTNB, POLR3B, XYLT1, POLR1A, POLR2D, POLR2J, POLR2G, POLR1D, POLR2L, POLR3C, POLR2K, POLR3H, HPSE2, POLR3A, POLR1C, ASAH1, MTMR3, DGKB |
| hsa04910 | Insulin signaling pathway | 7 | 134 | 1.08 | 3.31 × 10−5 | 4.48 | MAPK1, TSC2, RHEB, PPARGC1A, RPTOR, EIF4EBP1, MTOR |
| hsa05231 | Choline metabolism in cancer | 6 | 98 | 1.15 | 6.93 × 10−5 | 4.16 | MAPK1, TSC2, RHEB, EIF4EBP1, MTOR, DGKB |
| hsa04151 | PI3K-Akt signaling pathway | 9 | 348 | 0.77 | 2.60 × 10−3 | 3.59 | MAPK1, TSC2, RHEB, RPTOR, PPP2R2C, EIF4EBP1, ERBB4, MTOR, RELN |
| hsa05221 | Acute myeloid leukemia | 3 | 66 | 1.02 | 2.41 × 10−2 | 1.62 | MAPK1, EIF4EBP1, MTOR |
Publisher’s Note: MDPI stays neutral with regard to jurisdictional claims in published maps and institutional affiliations. |
© 2021 by the authors. Licensee MDPI, Basel, Switzerland. This article is an open access article distributed under the terms and conditions of the Creative Commons Attribution (CC BY) license (https://creativecommons.org/licenses/by/4.0/).
Share and Cite
Kyriakou, T.-C.; Papageorgis, P.; Christodoulou, M.-I. Common Genetic Aberrations Associated with Metabolic Interferences in Human Type-2 Diabetes and Acute Myeloid Leukemia: A Bioinformatics Approach. Int. J. Mol. Sci. 2021, 22, 9322. https://doi.org/10.3390/ijms22179322
Kyriakou T-C, Papageorgis P, Christodoulou M-I. Common Genetic Aberrations Associated with Metabolic Interferences in Human Type-2 Diabetes and Acute Myeloid Leukemia: A Bioinformatics Approach. International Journal of Molecular Sciences. 2021; 22(17):9322. https://doi.org/10.3390/ijms22179322
Chicago/Turabian StyleKyriakou, Theodora-Christina, Panagiotis Papageorgis, and Maria-Ioanna Christodoulou. 2021. "Common Genetic Aberrations Associated with Metabolic Interferences in Human Type-2 Diabetes and Acute Myeloid Leukemia: A Bioinformatics Approach" International Journal of Molecular Sciences 22, no. 17: 9322. https://doi.org/10.3390/ijms22179322
APA StyleKyriakou, T.-C., Papageorgis, P., & Christodoulou, M.-I. (2021). Common Genetic Aberrations Associated with Metabolic Interferences in Human Type-2 Diabetes and Acute Myeloid Leukemia: A Bioinformatics Approach. International Journal of Molecular Sciences, 22(17), 9322. https://doi.org/10.3390/ijms22179322

