Quantification of the Immune Content in Neuroblastoma: Deep Learning and Topological Data Analysis in Digital Pathology
Abstract
:1. Introduction
2. Related Works
2.1. Immunohistochemistry
2.2. Digital Pathology and Artificial Intelligence
2.3. Lymphocyte Detection and Density Maps
2.4. Topological Data Analysis
- The first complex () is composed of 0-simplices, i.e., the points. Therefore, and . Note that indicates the number of connected components.
- The second complex () includes 6 0-simplices and 6 1-simplices, denoted by dots and lines, respectively. Here and as there is one connected component and one 1-dimensional hole, namely the circle originated by the connection of the points.
- In the third step we have six 0-dimensional simplices, six 1-dimensional simplices, and six 2-dimensional simplices. The 2-dimensional simplices are the triangles, that is, the connection of 3 points. Thus and .
- The last complex () has simplices of higher degree greater than 2. Here but : for this choice of r the 1-dimensional hole is filled.
- The point at coordinates represents 6 overlapping points. The 6 connected components (points) appear at and vanish at , the side length of the equilateral hexagon, when each point is connected to its neighbors by a line.
- There is an point (a 1-dimensional hole) with the same birth value of the death of the 6 connected components (), as this topological feature arises from the union of the 6 features.
- A point (a 0-dimensional hole) lies at ∞; indeed, the connected components represented by the union of the 6 points persist for every value of r: for every value of , there exists only one connected component.
2.5. Umap
2.6. Hdbscan
2.7. Twonn
3. Results and Discussion
3.1. Quantification of the Immune Content
3.2. Clinical Assessment of the Topological Features
- In cluster 0 (blue), the majority of tiles represents stroma rich areas with low level of TILs (Figure 9).
- In cluster 1 (orange), the majority of the tiles represents tissue with infiltration inside septa (Figure 10).
- In cluster 2 (green), the corresponding tiles present infiltration of lymphocytes in pseudo-necrotic tissue (Figure 11).
- In cluster 3 (red), the corresponding tiles show an intermediate level of lymphocyte infiltration in stroma poor areas (Figure 12).
- In cluster 4 (purple), the corresponding tiles display a low level of infiltration in stroma poor areas (Figure 13).
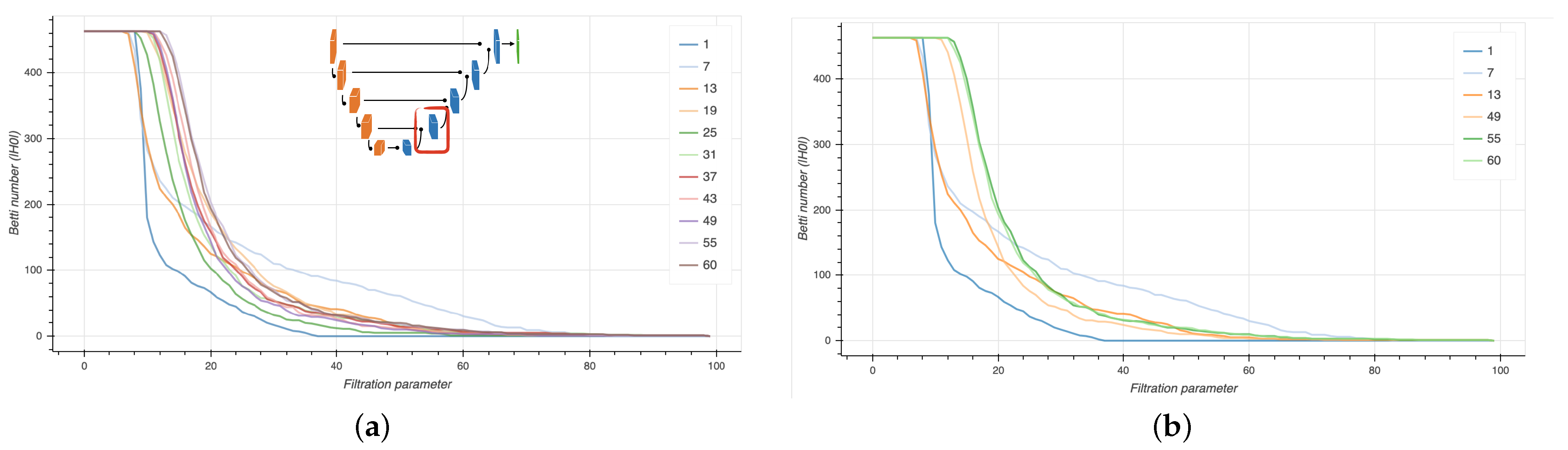
3.3. Topological Analysis of the Deep Features
3.4. Intrinsic Dimensionality of Datasets
4. Materials and Methods
4.1. The NeSTBG Dataset
- Assign a value d to each annotated pixel and define as:
- Define a Gaussian kerneland a squared structuring element , with side length and values given by G centered on the midpoint of ;
- Convolve with to obtain the target density map .
4.2. EUNet Architecture
- The feature map from the preceding layer is up-sampled with standard up-sampling operations, without any trainable parameter.
- The up-sampled feature map is concatenated with the feature map from the symmetric level of the encoder path on the depth dimension (i.e., adding more feature channels).
- The concatenated feature map is fed to convolution operations to refine the spatial information and reduce the number of feature channels.
- encoder and decoder each composed of five blocks;
- scSE blocks at the end of each decoder block;
- Decoder blocks with output feature channels of size: 256, 128, 64, 32, 16;
- Identity function as activation map in the output layer.
4.3. EUNet Training and Evaluation
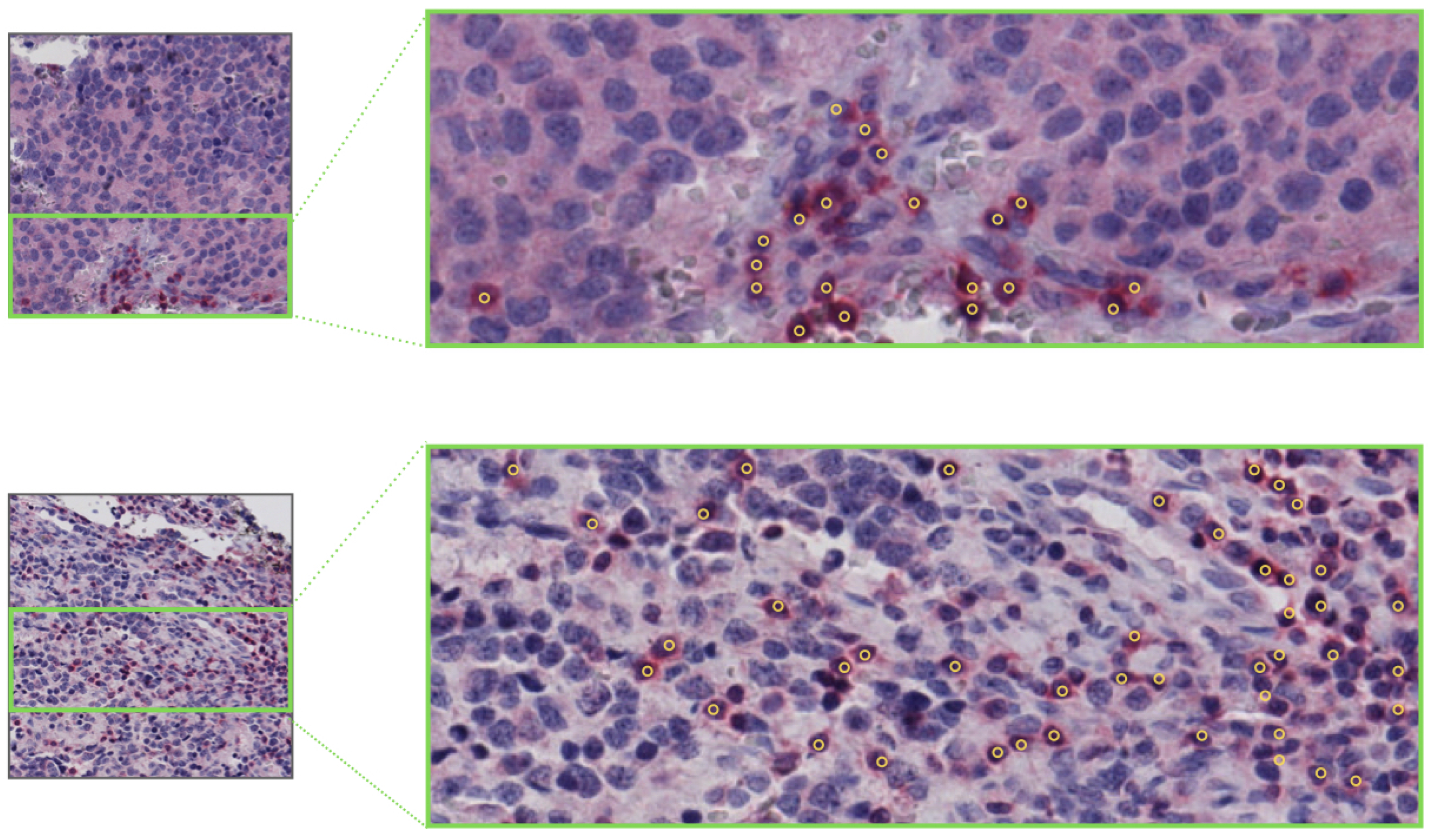
4.4. Lymphocytes Spatial Identification
- First, the predicted density map values are corrected by setting to zero all pixels with negative values. Indeed, the model learns to predict near-zero values for pixels not belonging to lymphocytes, but the prediction may tend to zero in both positive and negative direction, and for the prediction to be a valid density map the negative values should be removed.
- Secondly, Otsu thresholding algorithm [132] is used to find an optimal value to discretize the density maps in two levels: lymphocytes and background. The Otsu algorithm is the de facto standard for discriminating foreground and background pixels within an image. In detail, the optimal threshold is identified by minimizing intra-class intensity variance (equivalent to maximizing inter-class variance). Since the Otsu algorithm is the one-dimensional discrete analog of Fisher’s discriminant analysis, this procedure coincides with globally optimizing k-means clustering on the intensity histogram. Pixels with values under the threshold are assigned to the background, while pixels with values over the threshold are assigned to the lymphocyte class.
- Thirdly, in crowded scenarios, the simple segmentation may still result in connected components including more than one pixel. To split connected components on the Otsu mask, the Watershed segmentation algorithm [133] is used to effectively separate a dense single connected component into multiple sub-components. The result of the Watershed technique is a matrix with n connected components with different labels.
4.5. Deep Features Interpretation
5. Conclusions
Author Contributions
Funding
Institutional Review Board Statement
Informed Consent Statement
Data Availability Statement
Acknowledgments
Conflicts of Interest
Abbreviations
| ACC | Accuracy |
| AI | Artificial Intelligence |
| ANN | Artificial Neural Network |
| CD3 | Cluster of Differentiation 3 |
| CNN | Convolutional Neural Networks |
| CT | Computer Tomography |
| DL | Deep Learning |
| DP | Digital Pathology |
| EUNet | U-Net with EfficientNet-b3 encoder |
| GB | GigaByte |
| HDBSCAN | Hierarchical Density-Based Spatial Clustering of Applications with Noise |
| IHC | Immunohistochemistry |
| INRGSS | International Neuroblastoma Risk Group Staging System |
| INSS | International Neuroblastoma Staging System |
| MAE | Mean Absolute Error |
| MB | MegaByte |
| MCC | Matthews Correlation Coefficient |
| ML | Machine Learning |
| MRI | Magnetic Resonance Imaging |
| MSE | Mean Squared Error |
| MYCN | v-myc avian myelocytomatosis viral oncogene neuroblastoma derived homolog |
| NeSTBG | Neuroblastoma Specimens with T-Lymphocytes - Bambino Gesù (dataset) |
| OPBG | Ospedale Pediatrico Bambin Gesù |
| NB | Neuroblastoma |
| PD | Persistent Diagram |
| PH | Persistent Homology |
| ResNet | Residual Neural Networks |
| RGB | Red Green Blue |
| scSE | spatial and channel Squeeze & Excitation (block) |
| SE | Squeeze & Excitation (block) |
| TDA | Topological Data Analysis |
| TIL | Tumor Inflitrating Lymphocytes |
| UMAP | Uniform Manifold Approximation and Projection |
| WSI | Whole Slide Image |
References
- Cheung, N.K.V.; Dyer, M.A. Neuroblastoma: Developmental biology, cancer genomics and immunotherapy. Nat. Rev. Cancer 2013, 13, 397–411. [Google Scholar] [CrossRef] [Green Version]
- Brodeur, G.M.; Seeger, R.C.; Barrett, A.; Berthold, F.; Castleberry, R.P.; D’Angio, G.; De Bernardi, B.; Evans, A.E.; Favrot, M.; Freeman, A.I. International criteria for diagnosis, staging, and response to treatment in patients with neuroblastoma. J. Clin. Oncol. 1988, 6, 1874–1881. [Google Scholar] [CrossRef] [PubMed] [Green Version]
- Brodeur, G.M.; Pritchard, J.; Berthold, F.; Carlsen, N.L.; Castel, V.; Castelberry, R.P.; De Bernardi, B.; Evans, A.E.; Favrot, M.; Hedborg, F. Revisions of the international criteria for neuroblastoma diagnosis, staging, and response to treatment. J. Clin. Oncol. 1993, 11, 1466–1477. [Google Scholar] [CrossRef] [PubMed]
- Cohn, S.L.; Pearson, A.D.J.; London, W.B.; Monclair, T.; Ambros, P.F.; Brodeur, G.M.; Faldum, A.; Hero, B.; Iehara, T.; Machin, D.; et al. The International Neuroblastoma Risk Group (INRG) Classification System: An INRG Task Force Report. J. Clin. Oncol. 2009, 27, 289–297. [Google Scholar] [CrossRef] [PubMed]
- Davidoff, A.M. Neuroblastoma. Semin. Pediatr. Surg. 2012, 21, 2–14. [Google Scholar] [CrossRef] [Green Version]
- Wienke, J.; Dierselhuis, M.P.; Tytgat, G.A.M.; Künkele, A.; Nierkens, S.; Molenaar, J.J. The immune landscape of neuroblastoma: Challenges and opportunities for novel therapeutic strategies in pediatric oncology. Eur. J. Cancer 2021, 144, 123–150. [Google Scholar] [CrossRef]
- Barsoum, I.; Tawedrous, E.; Faragalla, H.; Yousef, G.M. Histo-genomics: Digital pathology at the forefront of precision medicine. Diagnosis 2019, 6, 203–212. [Google Scholar] [CrossRef] [PubMed]
- Filipp, F.V. Opportunities for Artificial Intelligence in Advancing Precision Medicine. Curr. Genet. Med. Rep. 2019, 7, 208–213. [Google Scholar] [CrossRef] [PubMed] [Green Version]
- Irwin, M.S.; Park, J.R. Neuroblastoma: Paradigm for precision medicine. Pediatr. Clin. N. Am. 2015, 62, 225–256. [Google Scholar] [CrossRef]
- Collins, F.S.; Varmus, H. A new initiative on precision medicine. N. Engl. J. Med. 2015, 372, 793–795. [Google Scholar] [CrossRef] [Green Version]
- Carlsson, G. Topological methods for data modelling. Nat. Rev. Phys. 2020, 2, 697–708. [Google Scholar] [CrossRef]
- Singh, G.; Memoli, F.; Carlsson, G. Topological Methods for the Analysis of High Dimensional Data Sets and 3D Object Recognition. In Proceedings of the IEEE/Eurographics Symposium on Point-Based Graphics 2007 (PBG), Prague, Czech Republic, 2–3 September 2007; pp. 91–100. [Google Scholar]
- Huber, S. Persistent Homology in Data Science. In Data Science—Analytics and Applications—Proc. 3rd International Data Science Conference 2020 (iDSC); Springer Fachmedien Wiesbaden: Berlin/Heidelberg, Germany, 2021; pp. 81–88. [Google Scholar]
- Kim, S.W.; Roh, J.; Park, C.S. Immunohistochemistry for pathologists: Protocols, pitfalls, and tips. J. Pathol. Transl. Med. 2016, 50, 411–418. [Google Scholar] [CrossRef] [PubMed] [Green Version]
- Stanton, S.E.; Disis, M.L. Clinical significance of tumor-infiltrating lymphocytes in breast cancer. J. Immunother. Cancer 2016, 4, 59. [Google Scholar] [CrossRef] [Green Version]
- Fu, Q.; Chen, N.; Ge, C.; Li, R.; Li, Z.; Zeng, B.; Li, C.; Wang, Y.; Xue, Y.; Song, X.; et al. Prognostic value of tumor-infiltrating lymphocytes in melanoma: A systematic review and meta-analysis. OncoImmunology 2019, 8, e1593806. [Google Scholar] [CrossRef] [PubMed] [Green Version]
- Clemente, C.G.; Mihm, M.C.; Bufalino, R.; Zurrida, S.; Collini, P.; Cascinelli, N. Prognostic value of tumor infiltrating lymphocytes in the vertical growth phase of primary cutaneous melanoma. Cancer Interdiscip. Int. J. Am. Cancer Soc. 1996, 77, 1303–1310. [Google Scholar] [CrossRef]
- Martin, R.F.; Beckwith, J.B. Lymphoid infiltrates in neuroblastomas: Their occurrence and prognostic significance. J. Pediatr. Surg. 1968, 3, 161–164. [Google Scholar] [CrossRef]
- Lauder, I.; Aherne, W. The Significance of Lymphocytic Infiltration in Neuroblastoma. Br. J. Cancer 1972, 26, 321–330. [Google Scholar] [CrossRef] [Green Version]
- Facchetti, P.; Prigione, I.; Ghiotto, F.; Tasso, P.; Garaventa, A.; Pistoia, V. Functional and molecular characterization of tumour-infiltrating lymphocytes and clones thereof from a major-histocompatibility-complex-negative human tumour: Neuroblastoma. Cancer Immunol. Immunother. 1996, 42, 170–178. [Google Scholar] [CrossRef]
- Carlson, L.M.; De Geer, A.; Sveinbjørnsson, B.; Orrego, A.; Martinsson, T.; Kogner, P.; Levitskaya, J. The microenvironment of human neuroblastoma supports the activation of tumor-associated T lymphocytes. OncoImmunology 2013, 2, e23618. [Google Scholar] [CrossRef] [Green Version]
- Mina, M.; Boldrini, R.; Citti, A.; Romania, P.; D’Alicandro, V.; De Ioris, M.; Castellano, A.; Furlanello, C.; Locatelli, F.; Fruci, D. Tumor-infiltrating T lymphocytes improve clinical outcome of therapy-resistant neuroblastoma. OncoImmunology 2015, 4, e1019981. [Google Scholar] [CrossRef] [Green Version]
- Kaplan, K.J.; Rao, L.K.F. Digital Pathology: Historical Perspectives, Current Concepts & Future Applications; Springer: Berlin/Heidelberg, Germany, 2015. [Google Scholar]
- Zarella, M.D.; Bowman, D.; Aeffner, F.; Farahani, N.; Xthona, A.; Absar, S.F.; Parwani, A.; Bui, M.; Hartman, D.J. A Practical Guide to Whole Slide Imaging: A White Paper From the Digital Pathology Association. Arch. Pathol. Lab. Med. 2018, 143, 222–234. [Google Scholar] [CrossRef] [PubMed] [Green Version]
- Echle, A.; Rindtorff, N.T.; Brinker, T.J.; Luedde, T.; Pearson, A.T.; Kather, J.N. Deep learning in cancer pathology: A new generation of clinical biomarkers. Br. J. Cancer 2021, 124, 686–696. [Google Scholar] [CrossRef] [PubMed]
- Barisoni, L.; Lafata, K.J.; Hewitt, S.M.; Madabhushi, A.; Balis, U.G.J. Digital pathology and computational image analysis in nephropathology. Nat. Rev. Nephrol. 2020, 16, 669–685. [Google Scholar] [CrossRef] [PubMed]
- Hägele, M.; Seegerer, P.; Lapuschkin, S.; Bockmayr, M.; Samek, W.; Klauschen, F.; Müller, K.R.; Binder, A. Resolving challenges in deep learning-based analyses of histopathological images using explanation methods. Sci. Rep. 2020, 10, 6423. [Google Scholar] [CrossRef] [Green Version]
- Iizuka, O.; Kanavati, F.; Kato, K.; Rambeau, M.; Arihiro, K.; Tsuneki, M. Deep Learning Models for Histopathological Classification of Gastric and Colonic Epithelial Tumours. Sci. Rep. 2020, 10, 1504. [Google Scholar] [CrossRef] [Green Version]
- Song, Z.; Zou, S.; Zhou, W.; Huang, Y.; Shao, L.; Yuan, J.; Gou, X.; Jin, W.; Wang, Z.; Chen, X.; et al. Clinically applicable histopathological diagnosis system for gastric cancer detection using deep learning. Nat. Commun. 2020, 11, 4294. [Google Scholar] [CrossRef]
- Acs, B.; Rantalainen, M.; Hartman, J. Artificial intelligence as the next step towards precision pathology. J. Intern. Med. 2020, 288, 62–81. [Google Scholar] [CrossRef] [Green Version]
- Nagpal, K.; Foote, D.; Liu, Y.; Chen, P.H.C.; Wulczyn, E.; Tan, F.; Olson, N.; Smith, J.L.; Mohtashamian, A.; Wren, J.H.; et al. Development and validation of a deep learning algorithm for improving Gleason scoring of prostate cancer. Npj Digit. Med. 2019, 2, 48. [Google Scholar] [CrossRef] [PubMed] [Green Version]
- Wulczyn, E.; Steiner, D.F.; Xu, Z.; Sadhwani, A.; Wang, H.; Flament-Auvigne, I.; Mermel, C.H.; Chen, P.H.C.; Liu, Y.; Stumpe, M.C. Deep learning-based survival prediction for multiple cancer types using histopathology images. PLoS ONE 2020, 15, e0233678. [Google Scholar]
- Tellez, D.; Litjens, G.; van der Laak, J.; Ciompi, F. Neural image compression for gigapixel histopathology image analysis. IEEE Trans. Pattern Anal. Mach. Intell. 2021, 43, 567–578. [Google Scholar] [CrossRef] [Green Version]
- Brancati, N.; De Pietro, G.; Riccio, D.; Frucci, M. Gigapixel Histopathological Image Analysis using Attention-based Neural Networks. arXiv 2021, arXiv:2101.09992. [Google Scholar]
- Bussola, N.; Marcolini, A.; Maggio, V.; Jurman, G.; Furlanello, C. AI slipping on tiles: Data leakage in digital pathology. In Lecture Notes in Computer Science, Proceedings of the International Workshop on Artificial Intelligence for Digital Pathology 2021 (AIDP); Springer International Publishing: Berlin/Heidelberg, Germany, 2021; Volume 12661, pp. 167–182. [Google Scholar]
- Varn, F.S.; Wang, Y.; Mullins, D.W.; Fiering, S.; Cheng, C. Systematic Pan-Cancer Analysis Reveals Immune Cell Interactions in the Tumor Microenvironment. Cancer Res. 2017, 77, 1271–1282. [Google Scholar] [CrossRef] [PubMed] [Green Version]
- Swiderska-Chadaj, Z.; Pinckaers, H.; van Rijthoven, M.; Balkenhol, M.; Melnikova, M.; Geessink, O.; Manson, Q.; Sherman, M.; Polonia, A.; Parry, J.; et al. Learning to detect lymphocytes in immunohistochemistry with deep learning. Med. Image Anal. 2019, 58, 101547. [Google Scholar] [CrossRef]
- Salvi, M.; Acharya, U.R.; Molinari, F.; Meiburger, K.M. The impact of pre- and post-image processing techniques on deep learning frameworks: A comprehensive review for digital pathology image analysis. Comput. Biol. Med. 2021, 128, 104129. [Google Scholar] [CrossRef]
- Janowczyk, A.; Madabhushi, A. Deep learning for digital pathology image analysis: A comprehensive tutorial with selected use cases. J. Pathol. Inform. 2016, 7, 29. [Google Scholar] [CrossRef] [PubMed]
- Linder, N.; Taylor, J.C.; Colling, R.; Pell, R.; Alveyn, E.; Joseph, J.; Protheroe, A.; Lundin, M.; Lundin, J.; Verrill, C. Deep learning for detecting tumour-infiltrating lymphocytes in testicular germ cell tumours. J. Clin. Pathol. 2018, 72, 157–164. [Google Scholar] [CrossRef]
- Saltz, J.; Gupta, R.; Hou, L.; Kurc, T.; Singh, P.; Nguyen, V.; Samaras, D.; Shroyer, K.R.; Zhao, T.; Batiste, R.; et al. Spatial Organization and Molecular Correlation of Tumor-Infiltrating Lymphocytes Using Deep Learning on Pathology Images. Cell Rep. 2018, 23, 181–193.e7. [Google Scholar] [CrossRef] [Green Version]
- Banfield, J.D.; Raftery, A.E. Model-Based Gaussian and Non-Gaussian Clustering. Biometrics 1993, 49, 803. [Google Scholar] [CrossRef]
- Bidart, R.; Gangeh, M.J.; Peikari, M.; Martel, A.L.; Ghodsi, A.; Salama, S.; Nofech-Mozes, S. Localization and classification of cell nuclei in post-neoadjuvant breast cancer surgical specimen using fully convolutional networks. In Proceedings of the Medical Imaging 2018: Digital Pathology, Houston, TX, USA, 11–12 February 2018; Volume 10581, p. 1058100. [Google Scholar]
- Vincent, L. Morphological grayscale reconstruction in image analysis: Applications and efficient algorithms. IEEE Trans. Image Process. 1993, 2, 176–201. [Google Scholar] [CrossRef] [Green Version]
- Li, C.T.; Chung, P.C.; Tsai, H.W.; Chow, N.H.; Cheng, K.S. Inflammatory Cells Detection in H&E Staining Histology Images Using Deep Convolutional Neural Network with Distance Transformation. In Communications in Computer and Information Science; Springer: Singapore, 2019; pp. 665–672. [Google Scholar]
- Chen, T.; Chefd’hotel, C. Deep Learning Based Automatic Immune Cell Detection for Immunohistochemistry Images. In Proceedings of the Machine Learning in Medical Imaging 2014 (MLMI), Boston, MA, USA, 14 September 2014; Springer International Publishing: Berlin/Heidelberg, Germany, 2014; pp. 17–24. [Google Scholar]
- Garcia, E.; Hermoza, R.; Castanon, C.B.; Cano, L.; Castillo, M.; Castanñeda, C. Automatic Lymphocyte Detection on Gastric Cancer IHC Images Using Deep Learning. In Proceedings of the IEEE 30th International Symposium on Computer-Based Medical Systems 2017 (CBMS), Thessaloniki, Greece, 22–24 June 2017; pp. 200–204. [Google Scholar]
- Redmon, J.; Farhadi, A. YOLO9000: Better, faster, stronger. In Proceedings of the IEEE Conference on Computer Vision and Pattern Recognition 2017 (CVPR), Honolulu, HI, USA, 21–26 July 2017; pp. 6517–6525. [Google Scholar]
- Swiderska-Chadaj, Z.; Pinckaers, H.; van Rijthoven, M.; Balkenhol, M.; Melnikova, M.; Geessink, O.; Manson, Q.; Litjens, G.; van der Laak, J.; Ciompi, F. Convolutional Neural Networks for Lymphocyte detection in Immunohistochemically Stained Whole-Slide Images, 2018. In Proceedings of the Poster at Medical Imaging with Deep Learning 2018 (MIDL), Amsterdam, The Netherlands, 4–6 July 2018. [Google Scholar]
- Van Rijthoven, M.; Swiderska-Chadaj, Z.; Seeliger, K.; van der Laak, J.; Ciompi, F. You only look on lymphocytes once. In Proceedings of the Conference on Medical Imaging with Deep Learning 2018 (MIDL); 2018; pp. 1–3. Available online: https://openreview.net/forum?id=S10IfW2oz (accessed on 13 August 2021).
- Evangeline, K.; Precious, J.; Pazhanivel, N.; Kirubha, A. Automatic Detection and Counting of Lymphocytes from Immunohistochemistry Cancer Images Using Deep Learning. J. Med. Biol. Eng. 2020, 40, 735–747. [Google Scholar] [CrossRef]
- Ghahremani, P.; Li, Y.; Kaufman, A.; Vanguri, R.; Greenwald, N.; Angelo, M.; Hollmann, T.J.; Nadeem, S. DeepLIIF: Deep Learning-Inferred Multiplex ImmunoFluorescenc e for IHC Quantification. bioRxiv 2021. [Google Scholar] [CrossRef]
- Kapil, A.; Meier, A.; Shumilov, A.; Haneder, S.; Angell, H.; Schmidt, G. Breast cancer patient stratification using domain adaptation based lymphocyte detection in HER2 stained tissue sections. In Proceedings of the Poster at Medical Imaging with Deep Learning 2021 (MIDL), Lübeck, Germany, 7–9 July 2021. [Google Scholar]
- Negahbani, F.; Sabzi, R.; Jahromi, B.P.; Firouzabadi, D.; Movahedi, F.; Shirazi, M.K.; Majidi, S.; Dehghanian, A. PathoNet introduced as a deep neural network backend for evaluation of Ki-67 and tumor-infiltrating lymphocytes in breast cancer. Sci. Rep. 2021, 11, 8489. [Google Scholar] [CrossRef]
- Hermsen, M.; Volk, V.; Bräsen, J.H.; Geijs, D.J.; Gwinner, W.; Kers, J.; Linmans, J.; Schaadt, N.S.; Schmitz, J.; Steenbergen, E.J.; et al. Quantitative assessment of inflammatory infiltrates in kidney transplant biopsies using multiplex tyramide signal amplification and deep learning. Lab. Investig. 2021, 101, 970–982. [Google Scholar] [CrossRef] [PubMed]
- Girshick, R.; Donahue, J.; Darrell, T.; Malik, J. Rich Feature Hierarchies for Accurate Object Detection and Semantic Segmentation. In Proceedings of the IEEE Conference on Computer Vision and Pattern Recognition 2014 (CVPR), Columbus, OH, USA, 23–28 June 2014; pp. 580–587. [Google Scholar]
- Girshick, R. Fast R-CNN. In Proceedings of the IEEE International Conference on Computer Vision 2015 (ICCV), Santiago, Chile, 7–13 December 2015; pp. 1440–1448. [Google Scholar]
- Ren, S.; He, K.; Girshick, R.; Sun, J. Faster R-CNN: Towards Real-Time Object Detection with Region Proposal Networks. IEEE Trans. Pattern Anal. Mach. Intell. 2017, 39, 1137–1149. [Google Scholar] [CrossRef] [Green Version]
- Zhang, J.; Wang, X.; Ni, G.; Liu, J.; Hao, R.; Liu, L.; Liu, Y.; Du, X.; Xu, F. Fast and accurate automated recognition of the dominant cells from fecal images based on Faster R-CNN. Sci. Rep. 2021, 11, 10361. [Google Scholar] [CrossRef]
- Liu, S.; Zhang, Y.; Ju, Y.; Li, Y.; Kang, X.; Yang, X.; Niu, T.; Xing, X.; Lu, Y. Establishment and Clinical Application of an Artificial Intelligence Diagnostic Platform for Identifying Rectal Cancer Tumor Budding. Front. Oncol. 2021, 11, 320. [Google Scholar]
- Lo, Y.C.; Chung, I.F.; Guo, S.N.; Wen, M.C.; Juang, C.F. Cycle-consistent GAN-based stain translation of renal pathology images with glomerulus detection application. Appl. Soft Comput. 2021, 98, 106822. [Google Scholar] [CrossRef]
- He, K.; Gkioxari, G.; Dollár, P.; Girshick, R. Mask R-CNN. In Proceedings of the IEEE International Conference on Computer Vision 2017 (ICCV), Venice, Italy, 22–29 October 2017; pp. 2980–2988. [Google Scholar]
- He, K.; Gkioxari, G.; Dollár, P.; Girshick, R. Mask R-CNN. IEEE Trans. Pattern Anal. Mach. Intell. 2020, 42, 386–397. [Google Scholar] [CrossRef]
- Durkee, M.S.; Abraham, R.; Ai, J.; Fuhrman, J.D.; Clark, M.R.; Giger, M.L. Comparing Mask R-CNN and U-Net architectures for robust automatic segmentation of immune cells in immunofluorescence images of Lupus Nephritis biopsies. In Proceedings of the Imaging, Manipulation, and Analysis of Biomolecules, Cells, and Tissues 2021 XIX; Leary, J.F., Tarnok, A., Georgakoudi, I., Eds.; SPIE: Bellingham, WA, USA, 2021; Volume 11647, p. 116470X. [Google Scholar]
- Fujita, S.; Han, X.H. Cell Detection and Segmentation in Microscopy Images with Improved Mask R-CNN. In Proceedings of the Computer Vision 2020 Workshops (ACCV); Springer: Berlin/Heidelberg, Germany, 2021; pp. 58–70. [Google Scholar]
- Wang, S.; Rong, R.; Yang, D.M.; Fujimoto, J.; Yan, S.; Cai, L.; Yang, L.; Luo, D.; Behrens, C.; Parra, E.R.; et al. Computational Staining of Pathology Images to Study the Tumor Microenvironment in Lung Cancer. Cancer Res. 2020, 80, 2056–2066. [Google Scholar] [CrossRef] [Green Version]
- Altini, N.; Cascarano, G.D.; Brunetti, A.; De Feudis, I.; Buongiorno, D.; Rossini, M.; Pesce, F.; Gesualdo, L.; Bevilacqua, V. A Deep Learning Instance Segmentation Approach for Global Glomerulosclerosis Assessment in Donor Kidney Biopsies. Electronics 2020, 9, 1768. [Google Scholar] [CrossRef]
- Lempitsky, V.; Zisserman, A. Learning To Count Objects in Images. In Proceedings of the Advances in Neural Information Processing Systems 2012 (NIPS); Curran Associates Inc.: Red Hook, NY, USA, 2010; pp. 1324–1332. [Google Scholar]
- Zhang, Y.; Zhou, D.; Chen, S.; Gao, S.; Ma, Y. Single-Image Crowd Counting via Multi-Column Convolutional Neural Network. In Proceedings of the IEEE Conference on Computer Vision and Pattern Recognition 2016 (CVPR), Las Vegas, NV, USA, 27–30 June 2016; pp. 589–597. [Google Scholar]
- Bahmanyar, R.; Vig, E.; Reinartz, P. MRCNet: Crowd Counting and Density Map Estimation in Aerial and Ground Imagery. arXiv 2019, arXiv:1909.12743. [Google Scholar]
- Kong, Y.; Li, H.; Ren, Y.; Genchev, G.Z.; Wang, X.; Zhao, H.; Xie, Z.; Lu, H. Automated yeast cells segmentation and counting using a parallel U-Net based two-stage framework. Osa Contin. 2020, 3, 982–992. [Google Scholar] [CrossRef]
- Jiang, N.; Yu, F. Multi-column network for cell counting. Osa Contin. 2020, 3, 1834–1846. [Google Scholar] [CrossRef]
- Chazal, F.; Michel, B. An introduction to Topological Data Analysis: Fundamental and practical aspects for data scientists. arXiv 2017, arXiv:1710.04019. [Google Scholar]
- Perea, J.A.; Harer, J. Sliding windows and persistence: An application of topological methods to signal analysis. Found. Comput. Math. 2015, 15, 799–838. [Google Scholar] [CrossRef] [Green Version]
- Carlsson, G.; Ishkhanov, T.; de Silva, V.; Zomorodian, A. On the Local Behavior of Spaces of Natural Images. Int. J. Comput. Vis. 2007, 76, 1–12. [Google Scholar] [CrossRef]
- Rieck, B.; Yates, T.; Bock, C.; Borgwardt, K.; Wolf, G.; Turk-Browne, N.; Krishnaswamy, S. Uncovering the topology of time-varying fMRI data using cubical persistence. In Proceedings of the Advances in Neural Information Processing Systems 2020 (NeurIPS); Curran Associates Inc.: Red Hook, NY, USA, 2020; Volume 33, pp. 6900–6912. [Google Scholar]
- Bauer, U. Ripser: Efficient computation of Vietoris-Rips persistence barcodes. arXiv 2019, arXiv:1908.02518. [Google Scholar]
- Tauzin, G.; Lupo, U.; Tunstall, L.; Burella Pérez, J.; Caorsi, M.; Medina-Mardones, A.; Dassatti, A.; Hess, K. giotto-tda: A Topological Data Analysis Toolkit for Machine Learning and Data Exploration. arXiv 2020, arXiv:2004.02551. [Google Scholar]
- Riihimäki, H.; Chachólski, W.; Theorell, J.; Hillert, J.; Ramanujam, R. A topological data analysis based classification method for multiple measurements. BMC Bioinform. 2020, 21, 336. [Google Scholar] [CrossRef]
- Walsh, K.; Voineagu, M.A.; Vafaee, F.; Voineagu, I. TDAview: An online visualization tool for topological data analysis. Bioinformatics 2020, 36, 4805–4809. [Google Scholar] [CrossRef]
- Amézquita, E.J.; Quigley, M.Y.; Ophelders, T.; Munch, E.; Chitwood, D.H. The shape of things to come: Topological data analysis and biology, from molecules to organisms. Dev. Dyn. 2020, 249, 816–833. [Google Scholar] [CrossRef] [PubMed]
- Mandal, S.; Guzmán-Sáenz, A.; Haiminen, N.; Basu, S.; Parida, L. A Topological Data Analysis Approach on Predicting Phenotypes from Gene Expression Data. In Proceedings of the Algorithms for Computational Biology 2020 (AlCoB); Lecture Notes in Computer Science; Springer International Publishing: Berlin/Heidelberg, Germany, 2020; Volume 12099, pp. 178–187. [Google Scholar]
- Shen, C.; Patrangenaru, V. Topological Object Data Analysis Methods with an Application to Medical Imaging. In Proceedings of the Functional and High-Dimensional Statistics and Related Fields 2020 (IWFOS); Springer International Publishing: Berlin/Heidelberg, Germany, 2020; pp. 237–244. [Google Scholar]
- Needham, T. Introduction to Applied Algebraic Topology. Course Notes. Available online: https://research.math.osu.edu/tgda/courses/math-4570/LectureNotes.pdf (accessed on 13 August 2021).
- Bubenik, P. Statistical topological data analysis using persistence landscapes. J. Mach. Learn. Res. 2015, 16, 77–102. [Google Scholar]
- McInnes, L.; Healy, J.; Melville, J. UMAP: Uniform manifold approximation and projection for dimension reduction. arXiv 2018, arXiv:1802.03426. [Google Scholar]
- McInnes, L.; Healy, J.; Saul, N.; Grossberger, L. UMAP: Uniform Manifold Approximation and Projection. J. Open Source Softw. 2018, 3, 861. [Google Scholar] [CrossRef]
- Schenck, H. Computational Algebraic Geometry; Cambridge University Press: Cambridge, UK, 2003; Volume 58. [Google Scholar]
- Carter, S.; Armstrong, Z.; Schubert, L.; Johnson, I.; Olah, C. Exploring Neural Networks with Activation Atlases. 2019. Available online: https://distill.pub/2019/activation-atlas (accessed on 13 August 2021).
- Szegedy, C.; Liu, W.; Jia, Y.; Sermanet, P.; Reed, S.; Anguelov, D.; Erhan, D.; Vanhoucke, V.; Rabinovich, A. Going deeper with convolutions. In Proceedings of the IEEE Conference on Computer Vision and Pattern Recognition 2015 (CVPR), Boston, MA, USA, 7–12 June 2015; pp. 1–9. [Google Scholar]
- Sainburg, T.; McInnes, L.; Gentner, T.Q. Parametric UMAP: Learning embeddings with deep neural networks for representation and semi-supervised learning. arXiv 2020, arXiv:2009.12981. [Google Scholar]
- Kobak, D.; Linderman, G.C. Initialization is critical for preserving global data structure in both t-SNE and UMAP. Nat. Biotechnol. 2021, 39, 156–157. [Google Scholar] [CrossRef] [PubMed]
- Campello, R.J.G.B.; Moulavi, D.; Sander, J. Density-based clustering based on hierarchical density estimates. In Proceedings of the Advances in Knowledge Discovery and Data Mining 2013—Pacific-Asia Conference on Knowledge Discovery and Data Mining (PAKDD); Lecture Notes in Computer Science; Springer International Publishing: Berlin/Heidelberg, Germany, 2013; Volume 7819, pp. 160–172. [Google Scholar]
- Ester, M.; Kriegel, H.P.; Sander, J.; Xu, X. A Density-Based Algorithm for Discovering Clusters in Large Spatial Databases with Noise. In Proceedings of the Knowledge Discovery and Data Mining 1996 (KDD), Portland, OR, USA, 2–4 August 1996; Volume 96, pp. 226–231. [Google Scholar]
- McInnes, L.; Healy, J.; Astels, S. hdbscan: Hierarchical density based clustering. J. Open Source Softw. 2017, 2, 205. [Google Scholar] [CrossRef]
- Odena, A.; Dumoulin, V.; Olah, C. Deconvolution and Checkerboard Artifacts. 2016. Available online: http://distill.pub/2016/deconv-checkerboard (accessed on 13 August 2021).
- Gabrielsson, R.B.; Carlsson, G. Exposition and Interpretation of the Topology of Neural Networks. In Proceedings of the IEEE International Conference on Machine Learning and Applications 2019 (ICMLA), Boca Raton, FL, USA, 16–19 December 2019; pp. 1069–1076. [Google Scholar]
- Ansuini, A.; Laio, A.; Macke, J.H.; Zoccolan, D. Intrinsic dimension of data representations in deep neural networks. In Proceedings of the Advances in Neural Information Processing Systems 2019 (NeurIPS); Curran Associates, Inc.: Red Hook, NY, USA, 2019; Volume 32, pp. 6111–6122. [Google Scholar]
- Facco, E.; d’Errico, M.; Rodriguez, A.; Laio, A. Estimating the intrinsic dimension of datasets by a minimal neighborhood information. Sci. Rep. 2017, 7, 1–8. [Google Scholar] [CrossRef] [PubMed] [Green Version]
- Nair, V.; Hinton, G.E. Rectified Linear Units Improve Restricted Boltzmann Machines. In Proceedings of the International Conference on Machine Learning 2010 (ICML); Omnipress: Madison, WI, USA, 2010; pp. 807–814. [Google Scholar]
- Sun, Y.; Platoš, J. High-Dimensional Text Clustering by Dimensionality Reduction and Improved Density Peak. Wirel. Commun. Mob. Comput. 2020, 2020, 8881112. [Google Scholar] [CrossRef]
- Melaiu, O.; Chierici, M.; Lucarini, V.; Jurman, G.; Conti, L.A.; Vito, R.D.; Boldrini, R.; Cifaldi, L.; Castellano, A.; Furlanello, C.; et al. Cellular and gene signatures of tumor-infiltrating dendritic cells and natural-killer cells predict prognosis of neuroblastoma. Nat. Commun. 2020, 11, 5992. [Google Scholar] [CrossRef]
- Melaiu, O.; Mina, M.; Chierici, M.; Boldrini, R.; Jurman, G.; Romania, P.; D’Alicandro, V.; Benedetti, M.C.; Castellano, A.; Liu, T.; et al. PD-L1 Is a Therapeutic Target of the Bromodomain Inhibitor JQ1 and, Combined with HLA Class I, a Promising Prognostic Biomarker in Neuroblastoma. Clin. Cancer Res. 2017, 23, 4462–4472. [Google Scholar] [CrossRef] [PubMed] [Green Version]
- Goode, A.; Satyanarayanan, M.; Gilbert, B.; Harkes, J.; Jukic, D. OpenSlide: A vendor-neutral software foundation for digital pathology. J. Pathol. Inform. 2013, 4, 27. [Google Scholar]
- Dutta, A.; Zisserman, A. The VIA Annotation Software for Images, Audio and Video. In Proceedings of the ACM International Conference on Multimedia 2019 (MM), Nice, France, 21–25 October 2019; pp. 2276–2279. [Google Scholar]
- Alexe, B.; Deselaers, T.; Ferrari, V. Measuring the Objectness of Image Windows. IEEE Trans. Pattern Anal. Mach. Intell. 2012, 34, 2189–2202. [Google Scholar] [CrossRef] [Green Version]
- Ronneberger, O.; Fischer, P.; Brox, T. U-Net: Convolutional Networks for Biomedical Image Segmentation. In Proceedings of the Medical Image Computing and Computer-Assisted Intervention 2015 (MICCAI); Lecture Notes in Computer Science; Springer International Publishing: Berlin/Heidelberg, Germany, 2015; Volume 9351, pp. 234–241. [Google Scholar]
- Paszke, A.; Gross, S.; Massa, F.; Lerer, A.; Bradbury, J.; Chanan, G.; Killeen, T.; Lin, Z.; Gimelshein, N.; Antiga, L.; et al. PyTorch: An Imperative Style, High-Performance Deep Learning Library. In Proceedings of the Advances in Neural Information Processing Systems 2019 (NeurIPS); Curran Associates, Inc.: Red Hook, NY, USA, 2019; pp. 8024–8035. [Google Scholar]
- Yakubovskiy, P. Segmentation Models Pytorch. 2020. GitHub Repository. Available online: https://github.com/qubvel/segmentation_models.pytorch (accessed on 13 August 2021).
- Deng, J.; Dong, W.; Socher, R.; Li, L.J.; Li, K.; Fei-Fei, L. ImageNet: A large-scale hierarchical image database. In Proceedings of the IEEE Conference on Computer Vision and Pattern Recognition 2009 (CVPR), Miami, FL, USA, 20–25 June 2009; pp. 248–255. [Google Scholar]
- Krizhevsky, A.; Sutskever, I.; Hinton, G.E. ImageNet Classification with Deep Convolutional Neural Networks. In Proceedings of the Advances in Neural Information Processing Systems 2012 (NIPS); Curran Associates, Inc.: Red Hook, NY, USA, 2012; pp. 1106–1114. [Google Scholar]
- Krizhevsky, A.; Sutskever, I.; Hinton, G.E. Imagenet classification with deep convolutional neural networks. Commun. ACM 2017, 60, 84–90. [Google Scholar] [CrossRef]
- Tan, M.; Le, Q. EfficientNet: Rethinking Model Scaling for Convolutional Neural Networks. Proc. Mach. Learn. Res. 2019, 97, 6105–6114. [Google Scholar]
- Roy, A.G.; Navab, N.; Wachinger, C. Recalibrating Fully Convolutional Networks With Spatial and Channel “Squeeze and Excitation” Blocks. IEEE Trans. Med. Imaging 2018, 38, 540–549. [Google Scholar] [CrossRef]
- Hu, J.; Shen, L.; Sun, G. Squeeze-and-Excitation Networks. In Proceedings of the IEEE Conference on Computer Vision and Pattern Recognition 2018 (CVPR), Salt Lake City, UT, USA, 18–23 June 2018; pp. 7132–7141. [Google Scholar]
- Roy, A.G.; Navab, N.; Wachinger, C. Concurrent Spatial and Channel ‘Squeeze & Excitation’ in Fully Convolutional Networks. In Proceedings of the Medical Image Computing and Computer-Assisted Intervention 2018 (MICCAI); Lecture Notes in Computer Science; Springer International Publishing: Berlin/Heidelberg, Germany, 2018; pp. 421–429. [Google Scholar]
- Zagoruyko, S.; Komodakis, N. Wide Residual Networks. In Proceedings of the British Machine Vision Conference 2016 (BMVC); BMVA Press: New York, NY, USA, 2016; pp. 87.1–87.12. [Google Scholar]
- Tan, M.; Chen, B.; Pang, R.; Vasudevan, V.; Sandler, M.; Howard, A.; Le, Q.V. MnasNet: Platform-Aware Neural Architecture Search for Mobile. In Proceedings of the IEEE Conference on Computer Vision and Pattern Recognition 2019 (CVPR), Long Beach, CA, USA, 15–20 June 2019; pp. 2820–2828. [Google Scholar]
- Zhou, B.; Khosla, A.; Lapedriza, A.; Oliva, A.; Torralba, A. Learning Deep Features for Discriminative Localization. In Proceedings of the IEEE Conference on Computer Vision and Pattern Recognition 2016 (CVPR), Las Vegas, NV, USA, 27–30 June 2016; pp. 2921–2929. [Google Scholar]
- Cohen, J. A coefficient of agreement for nominal scales. Educ. Psychol. Meas. 1960, 20, 37–46. [Google Scholar] [CrossRef]
- Chicco, D.; Jurman, G. The advantages of the Matthews Correlation Coefficient (MCC) over F1 score and accuracy in binary classification evaluation. BMC Genom. 2020, 21, 6. [Google Scholar] [CrossRef] [Green Version]
- Gorodkin, J. Comparing two K-category assignments by a K-category correlation coefficient. Comput. Biol. Chem. 2004, 28, 367–374. [Google Scholar] [CrossRef]
- Jurman, G.; Riccadonna, S.; Furlanello, C. A Comparison of MCC and CEN Error Measures in Multi-Class Prediction. PLoS ONE 2012, 7, e41882. [Google Scholar] [CrossRef] [Green Version]
- Wright, L. New Deep Learning Optimizer, Ranger: Synergistic Combination of RAdam + LookAhead for the Best of Both. 2020. Available online: https://medium.com/@lessw/new-deep-learning-optimizer-ranger-synergistic-combination-of-radam-lookahead-for-the-best-of-2dc83f79a48d (accessed on 13 August 2021).
- Wright, L. Ranger-Deep-Learning-Optimizer. 2020. Available online: https://github.com/lessw2020/Ranger-Deep-Learning-Optimizer (accessed on 13 August 2021).
- Zhang, M.; Lucas, J.; Ba, J.; Hinton, G.E. Lookahead Optimizer: k steps forward, 1 step back. In Proceedings of the Advances in Neural Information Processing Systems 2019 (NeurIPS); Curran Associates Inc.: Red Hook, NY, USA, 2019; pp. 9597–9608. [Google Scholar]
- Liu, L.; Jiang, H.; He, P.; Chen, W.; Liu, X.; Gao, J.; Han, J. On the Variance of the Adaptive Learning Rate and Beyond. In Proceedings of the International Conference on Learning Representation 2019 (ICLR), New Orleans, LA, USA, 6–9 May 2019; pp. 1–14. [Google Scholar]
- Kingma, D.P.; Ba, J. Adam: A Method for Stochastic Optimization. arXiv 2014, arXiv:1412.6980. [Google Scholar]
- Haibe-Kains, B.; Adam, G.A.; Hosny, A.; Khodakarami, F.; Waldron, L.; Wang, B.; McIntosh, C.; Goldenberg, A.; Kundaje, A.; Greene, C.S.; et al. Transparency and reproducibility in artificial intelligence. Nature 2020, 586, E14–E16. [Google Scholar] [CrossRef]
- The MAQC Consortium. The MAQC-II Project: A comprehensive study of common practices for the development and validation of microarray-based predictive models. Nat. Biotechnol. 2010, 28, 827–838. [Google Scholar] [CrossRef] [PubMed]
- Frank, S.J. Resource-frugal classification and analysis of pathology slides using image entropy. Biomed. Signal Process. Control 2021, 66, 102388. [Google Scholar] [CrossRef]
- Otsu, N. A Threshold Selection Method from Gray-Level Histograms. IEEE Trans. Syst. Man Cybern. 1979, 9, 62–66. [Google Scholar] [CrossRef] [Green Version]
- Romero-Zaliz, R.; Reinoso-Gordo, J.F. An Updated Review on Watershed Algorithms. In Soft Computing for Sustainability Science; Springer: Berlin/Heidelberg, Germany, 2017; pp. 235–258. [Google Scholar]
- Kuhn, H.W. The Hungarian Method for the assignment problem. Nav. Res. Logist. 1955, 2, 83–97. [Google Scholar] [CrossRef] [Green Version]






















| Subset | MCC | K | ACC | MAE | MSE |
|---|---|---|---|---|---|
| TR-CV | |||||
| TS | 0.55 | 0.85 | 0.69 | 3.4 | 47 |
| TSp | 0.59 | 0.84 | 0.71 | 3.1 | 30 |
| Class | 0 | 1 | 2 | 3 | 4 | 5 | 6 |
|---|---|---|---|---|---|---|---|
| No. of Lymphocytes | 0 | 1–5 | 6–10 | 11–20 | 21–50 | 51–200 | >200 |
Publisher’s Note: MDPI stays neutral with regard to jurisdictional claims in published maps and institutional affiliations. |
© 2021 by the authors. Licensee MDPI, Basel, Switzerland. This article is an open access article distributed under the terms and conditions of the Creative Commons Attribution (CC BY) license (https://creativecommons.org/licenses/by/4.0/).
Share and Cite
Bussola, N.; Papa, B.; Melaiu, O.; Castellano, A.; Fruci, D.; Jurman, G. Quantification of the Immune Content in Neuroblastoma: Deep Learning and Topological Data Analysis in Digital Pathology. Int. J. Mol. Sci. 2021, 22, 8804. https://doi.org/10.3390/ijms22168804
Bussola N, Papa B, Melaiu O, Castellano A, Fruci D, Jurman G. Quantification of the Immune Content in Neuroblastoma: Deep Learning and Topological Data Analysis in Digital Pathology. International Journal of Molecular Sciences. 2021; 22(16):8804. https://doi.org/10.3390/ijms22168804
Chicago/Turabian StyleBussola, Nicole, Bruno Papa, Ombretta Melaiu, Aurora Castellano, Doriana Fruci, and Giuseppe Jurman. 2021. "Quantification of the Immune Content in Neuroblastoma: Deep Learning and Topological Data Analysis in Digital Pathology" International Journal of Molecular Sciences 22, no. 16: 8804. https://doi.org/10.3390/ijms22168804
APA StyleBussola, N., Papa, B., Melaiu, O., Castellano, A., Fruci, D., & Jurman, G. (2021). Quantification of the Immune Content in Neuroblastoma: Deep Learning and Topological Data Analysis in Digital Pathology. International Journal of Molecular Sciences, 22(16), 8804. https://doi.org/10.3390/ijms22168804

