Temporal TGF-β Supergene Family Signalling Cues Modulating Tissue Morphogenesis: Chondrogenesis within a Muscle Tissue Model?
Abstract
1. Introduction
2. Results
2.1. qRT-PCR
2.1.1. ACAN
2.1.2. SOX9
2.1.3. Col2α1
2.1.4. Col1α1
2.1.5. Col10α1
2.1.6. ALP
2.2. Histologic and Immunohistochemical Analysis
2.2.1. Alcian Blue Staining
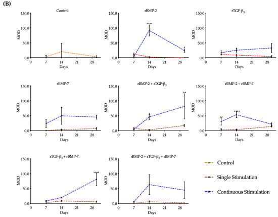
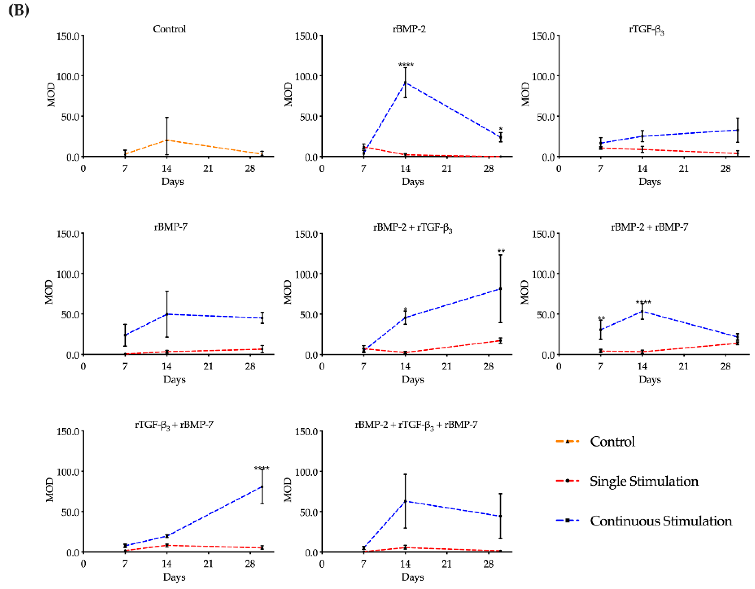
2.2.2. Aggrecan Immunohistochemistry
2.3. Hierarchical Clustering
3. Discussion
4. Materials and Methods
4.1. Acquisition of Samples
4.2. Culture of the Muscle Tissues Model
- Alpha medium supplemented with 15% FBS, 0.02 mM/mL L-Glutamine, 1% p/S (Normal medium-Culturing Control)
- Normal medium with 50 ng/mL recombinant rat (r) BMP-2 (CUSABIO, USA)
- Normal medium with 50 ng/mL rTGF-β3 (Cloud-Clone Corp., USA)
- Normal medium with 50 ng/mL rBMP-7 (Cloud-Clone Corp., USA)
- Normal medium with 50 ng/mL rBMP-2 + 50 ng/mL rTGF-β3
- Normal medium with 50 ng/mL rBMP-2 + 50 ng/mL rBMP-7
- Normal medium with 50 ng/mL rTGF-β3 + 50 ng/mL rBMP-7
- Normal medium with 50 ng/mL rBMP-2 + 50 ng/mL rBMP-7 + 50 ng/mL rTGF-β3
4.3. qRT-PCR
4.4. Histological and Histomorphometrical Analyses–Alcian Blue
4.5. Immuno-Histochemical and -Histomorphometrical Analyses
4.6. Hierarchical Clustering
4.7. Statistical Analysis
5. Conclusions
Supplementary Materials
Author Contributions
Funding
Acknowledgments
Conflicts of Interest
Abbreviations
| TGF-β | transforming growth factor-beta |
| BMP | bone morphogenetic protein |
| ECM | extracellular matrix |
| OP-1 | osteogenic protein-1 |
| MSCs | mesenchymal stem cells |
| mRNA | messenger ribonucleic acid |
| ACAN | aggrecan |
| SOX9 | sex-determining region Y (SRY)-box 9 |
| ERK | extracellular signal-regulated kinases |
| Col2α1 | collagen type II alpha 1 |
| Col10α1 | collagen type X alpha 1 |
| Col1α1 | collagen type I alpha 1 |
| ALP | alkaline phosphatase |
| qRT-PCR | quantitative reverse transcriptase polymerase chain reaction |
| mRNA | messenger ribonucleic acid |
| ANOVA | analysis of variance |
| VEGF | vascular endothelial growth factor |
| ABI3BP | ABI Family Member 3 Binding Protein |
| THBS4 | thrombospondin 4 |
| SIX1 | SIX Homeobox 1 |
| PBS | phosphate buffered saline-Dulbecco |
| P/S | penicillin and streptomycin |
| FBS | fetal bovine serum |
| MIQE | Minimum Information for Publication of Quantitative Real-Time PCR Experiments |
| cDNA | Complementary DNA |
| TBP | TATA-binding protein |
| GAPDH | glyceraldehyde 3-phosphate dehydrogenase |
| POLR2e | RNA polymerase II subunit e |
| RPLP0 | ribosomal protein lateral stalk subunit P0 |
| SDHA | succinate dehydrogenase complex flavoprotein subunit A |
| RPL13α | ribosomal protein L13α |
| IOD | integrated optical density value |
| MOD | mean optical density value |
References
- Gazzerro, E.; Canalis, E. Bone morphogenetic proteins and their antagonists. Rev. Endocr. Metab. Disord. 2006, 7, 51–65. [Google Scholar] [CrossRef] [PubMed]
- Xiao, Y.T.; Xiang, L.X.; Shao, J.Z. Bone morphogenetic protein. Biochem. Biophys. Res. Commun. 2007, 362, 550–553. [Google Scholar] [CrossRef] [PubMed]
- Rider, C.C.; Mulloy, B. Bone morphogenetic protein and growth differentiation factor cytokine families and their protein antagonists. Biochem. J. 2010, 429, 1–12. [Google Scholar] [CrossRef] [PubMed]
- Wakefield, L.M.; Hill, C.S. Beyond TGFbeta: Roles of other TGFbeta superfamily members in cancer. Nat. Rev. Cancer 2013, 13, 328–341. [Google Scholar] [CrossRef] [PubMed]
- Wang, W.; Rigueur, D.; Lyons, K.M. TGFbeta signaling in cartilage development and maintenance. Birth Defects Res. C Embryo Today 2014, 102, 37–51. [Google Scholar] [CrossRef]
- Maruyama, T.; Jiang, M.; Hsu, W. Gpr177, a novel locus for bone mineral density and osteoporosis, regulates osteogenesis and chondrogenesis in skeletal development. J. Bone Min. Res. 2013, 28, 1150–1159. [Google Scholar] [CrossRef]
- Roberta, S.; Paul, G.; Marco, S. TGFβ and BMP signaling in skeletal muscle: Potential significance for muscle-related disease. Trends Endocrinol. Metab. 2014, 25, 464–471. [Google Scholar]
- Massague, J. TGFbeta signalling in context. Nat. Rev. Mol. Cell Biol. 2012, 13, 616–630. [Google Scholar] [CrossRef]
- Gumucio, J.P.; Sugg, K.B.; Mendias, C.L. TGF-beta superfamily signaling in muscle and tendon adaptation to resistance exercise. Exerc. Sport Sci. Rev. 2015, 43, 93–99. [Google Scholar] [CrossRef]
- Ramoshebi, L.N.; Matsaba, T.N.; Teare, J.; Renton, L.; Patton, J.; Ripamonti, U. Tissue engineering: TGF-beta superfamily members and delivery systems in bone regeneration. Expert Rev. Mol. Med. 2002, 4, 1–11. [Google Scholar] [CrossRef]
- Kock, L.; van Donkelaar, C.C.; Ito, K. Tissue engineering of functional articular cartilage: The current status. Cell Tissue Res. 2012, 347, 613–627. [Google Scholar] [CrossRef] [PubMed]
- Ripamonti, U.; Klar, R.M.; Parak, R.; Dickens, C.; Dix-Peek, T.; Duarte, R. Tissue segregation restores the induction of bone formation by the mammalian transforming growth factor-beta(3) in calvarial defects of the non-human primate Papio ursinus. Biomaterials 2016, 86, 21–32. [Google Scholar] [CrossRef] [PubMed]
- Ripamonti, U. Soluble osteogenic molecular signals and the induction of bone formation. Biomaterials 2006, 27, 807–822. [Google Scholar] [CrossRef] [PubMed]
- Crecente-Campo, J.; Borrajo, E.; Vidal, A.; Garcia-Fuentes, M. New scaffolds encapsulating TGF-beta3/BMP-7 combinations driving strong chondrogenic differentiation. Eur. J. Pharm. Biopharm. 2017, 114, 69–78. [Google Scholar] [CrossRef] [PubMed]
- Wu, M.; Chen, G.; Li, Y.P. TGF-beta and BMP signaling in osteoblast, skeletal development, and bone formation, homeostasis and disease. Bone Res. 2016, 4, 16009. [Google Scholar] [CrossRef] [PubMed]
- Anna, S. Mesenchymal stem cells and fracture healing. Orthopedics 2008, 31, 855. [Google Scholar]
- Huey, D.J.; Hu, J.C.; Athanasiou, K.A. Unlike bone, cartilage regeneration remains elusive. Science 2012, 338, 917–921. [Google Scholar] [CrossRef]
- Nogami, M.; Tsuno, H.; Koike, C.; Okabe, M.; Yoshida, T.; Seki, S.; Matsui, Y.; Kimura, T.; Nikaido, T. Isolation and characterization of human amniotic mesenchymal stem cells and their chondrogenic differentiation. Transplantation 2012, 93, 1221. [Google Scholar] [CrossRef]
- Klar, R.M. The Induction of Bone Formation: The Translation Enigma. Front. Bioeng Biotechnol. 2018, 6, 74. [Google Scholar] [CrossRef]
- Huang, Y.; Seitz, D.; Konig, F.; Muller, P.E.; Jansson, V.; Klar, R.M. Induction of Articular Chondrogenesis by Chitosan/Hyaluronic-Acid-Based Biomimetic Matrices Using Human Adipose-Derived Stem Cells. Int. J. Mol. Sci. 2019, 20, 4487. [Google Scholar] [CrossRef]
- He, T.; Hausdorf, J.; Chevalier, Y.; Klar, R.M. Trauma induced tissue survival in vitro with a muscle-biomaterial based osteogenic organoid system: A proof of concept study. BMC Biotechnol. 2020, 20, 8. [Google Scholar] [CrossRef] [PubMed]
- Ren, B.; Betz, V.M.; Thirion, C.; Salomon, M.; Jansson, V.; Muller, P.E.; Betz, O.B. Gene-activated tissue grafts for sustained bone morphogenetic protein-2 delivery and bone engineering: Is muscle with fascia superior to muscle and fat? J. Tissue Eng. Regen. Med. 2018, 12, 1002–1011. [Google Scholar] [CrossRef] [PubMed]
- Massague, J. How cells read TGF-beta signals. Nat. Rev. Mol. Cell Biol. 2000, 1, 169–178. [Google Scholar] [CrossRef] [PubMed]
- Schmierer, B.; Hill, C.S. TGFbeta-SMAD signal transduction: Molecular specificity and functional flexibility. Nat. Rev. Mol. Cell Biol. 2007, 8, 970–982. [Google Scholar] [CrossRef] [PubMed]
- Sekiya, I.; Colter, D.C.; Prockop, D.J. BMP-6 enhances chondrogenesis in a subpopulation of human marrow stromal cells. Biochem. Biophys. Res. Commun. 2001, 284, 411–418. [Google Scholar] [CrossRef] [PubMed]
- Ripamonti, U.; Duneas, N.; Van Den Heever, B.; Bosch, C.; Crooks, J. Recombinant transforming growth factor-beta1 induces endochondral bone in the baboon and synergizes with recombinant osteogenic protein-1 (bone morphogenetic protein-7) to initiate rapid bone formation. J. Bone Min. Res. 1997, 12, 1584–1595. [Google Scholar] [CrossRef] [PubMed]
- Cicione, C.; Muinos-Lopez, E.; Hermida-Gomez, T.; Fuentes-Boquete, I.; Diaz-Prado, S.; Blanco, F.J. Alternative protocols to induce chondrogenic differentiation: Transforming growth factor-beta superfamily. Cell Tissue Bank 2015, 16, 195–207. [Google Scholar] [CrossRef]
- Nelson, D.L.; Cox, M.M.; Lehninger, A.L. Lehninger Principles of Biochemistry, 7th ed.; W.H. Freeman and Company: New York, NY, USA; Macmillan Higher Education: New York, NY, USA, 2017. [Google Scholar]
- Cassim, S.; Raymond, V.A.; Lapierre, P.; Bilodeau, M. From in vivo to in vitro: Major metabolic alterations take place in hepatocytes during and following isolation. PLoS ONE 2017, 12, e0190366. [Google Scholar] [CrossRef]
- Blair, H.C.; Larrouture, Q.C.; Li, Y.; Lin, H.; Beer-Stoltz, D.; Liu, L.; Tuan, R.S.; Robinson, L.J.; Schlesinger, P.H.; Nelson, D.J. Osteoblast Differentiation and Bone Matrix Formation In Vivo and In Vitro. Tissue Eng. Part. B Rev. 2017, 23, 268–280. [Google Scholar] [CrossRef]
- Leighton, J.; Mark, R.; Justh, G. Patterns of three-dimensional growth in vitro in collagen-coated cellulose sponge: Carcinomas and embryonic tissues. Cancer Res. 1968, 28, 286–296. [Google Scholar]
- Wills, Q.F.; Mellado-Gomez, E.; Nolan, R.; Warner, D.; Sharma, E.; Broxholme, J.; Wright, B.; Lockstone, H.; James, W.; Lynch, M.; et al. The nature and nurture of cell heterogeneity: Accounting for macrophage gene-environment interactions with single-cell RNA-Seq. BMC Genom. 2017, 18, 53. [Google Scholar] [CrossRef] [PubMed][Green Version]
- Albert, R. Scale-free networks in cell biology. J. Cell Sci. 2005, 118, 4947–4957. [Google Scholar] [CrossRef] [PubMed]
- Brand, M.D. Regulation analysis of energy metabolism. J. Exp. Biol. 1997, 200, 193–202. [Google Scholar] [PubMed]
- Heinegard, D. Fell-Muir Lecture: Proteoglycans and more--from molecules to biology. Int. J. Exp. Pathol. 2009, 90, 575–586. [Google Scholar] [CrossRef] [PubMed]
- Dudhia, J. Aggrecan, aging and assembly in articular cartilage. Cell Mol. Life Sci. 2005, 62, 2241–2256. [Google Scholar] [CrossRef] [PubMed]
- Akiyama, H. Control of chondrogenesis by the transcription factor Sox9. Mod. Rheumatol 2008, 18, 213–219. [Google Scholar] [CrossRef]
- Eyre, D.R.; Weis, M.A.; Wu, J.J. Articular cartilage collagen: An irreplaceable framework? Eur. Cell Mater. 2006, 12, 57–63. [Google Scholar] [CrossRef] [PubMed]
- Gelse, K.; Poschl, E.; Aigner, T. Collagens--structure, function, and biosynthesis. Adv. Drug Deliv. Rev. 2003, 55, 1531–1546. [Google Scholar] [CrossRef]
- Mikami, Y.; Tsuda, H.; Akiyama, Y.; Honda, M.; Shimizu, N.; Suzuki, N.; Komiyama, K. Alkaline phosphatase determines polyphosphate-induced mineralization in a cell-type independent manner. J. Bone Min. Metab 2016, 34, 627–637. [Google Scholar] [CrossRef]
- Hardwick, J.C.; Kodach, L.L.; Offerhaus, G.J.; van den Brink, G.R. Bone morphogenetic protein signalling in colorectal cancer. Nat. Rev. Cancer 2008, 8, 806–812. [Google Scholar] [CrossRef]
- Wu, M.Y.; Hill, C.S. Tgf-beta superfamily signaling in embryonic development and homeostasis. Dev. Cell 2009, 16, 329–343. [Google Scholar] [CrossRef] [PubMed]
- Johnstone, B.; Hering, T.M.; Caplan, A.I.; Goldberg, V.M.; Yoo, J.U. In vitro chondrogenesis of bone marrow-derived mesenchymal progenitor cells. Exp. Cell Res. 1998, 238, 265–272. [Google Scholar] [CrossRef] [PubMed]
- Hissnauer, T.N.; Baranowsky, A.; Pestka, J.M.; Streichert, T.; Wiegandt, K.; Goepfert, C.; Beil, F.T.; Albers, J.; Schulze, J.; Ueblacker, P.; et al. Identification of molecular markers for articular cartilage. Osteoarthr. Cartil. 2010, 18, 1630–1638. [Google Scholar] [CrossRef] [PubMed]
- Zhang, J.; Tian, X.J.; Chen, Y.J.; Wang, W.; Watkins, S.; Xing, J. Pathway crosstalk enables cells to interpret TGF-beta duration. Npj. Syst. Biol. Appl. 2018, 4, 18. [Google Scholar] [CrossRef] [PubMed]
- Shi, S.; Wang, C.; Acton, A.J.; Eckert, G.J.; Trippel, S.B. Role of sox9 in growth factor regulation of articular chondrocytes. J. Cell Biochem. 2015, 116, 1391–1400. [Google Scholar] [CrossRef]
- Dai, M.; Sui, B.; Hua, Y.; Zhang, Y.; Bao, B.; Lin, Q.; Liu, X.; Zhu, L.; Sun, J. A well defect-suitable and high-strength biomimetic squid type II gelatin hydrogel promoted in situ costal cartilage regeneration via dynamic immunomodulation and direct induction manners. Biomaterials 2020, 240, 119841. [Google Scholar] [CrossRef]
- Armiento, A.R.; Alini, M.; Stoddart, M.J. Articular fibrocartilage—Why does hyaline cartilage fail to repair? Adv. Drug Deliv. Rev. 2019, 146, 289–305. [Google Scholar] [CrossRef]
- Kim, M.S.; Hwang, N.S.; Lee, J.; Kim, T.K.; Leong, K.; Shamblott, M.J.; Gearhart, J.; Elisseeff, J. Musculoskeletal differentiation of cells derived from human embryonic germ cells. Stem Cells 2005, 23, 113–123. [Google Scholar] [CrossRef]
- Tsuchiya, H.; Kitoh, H.; Sugiura, F.; Ishiguro, N. Chondrogenesis enhanced by overexpression of sox9 gene in mouse bone marrow-derived mesenchymal stem cells. Biochem Biophys Res. Commun. 2003, 301, 338–343. [Google Scholar] [CrossRef]
- Karsenty, G.; Kronenberg, H.M.; Settembre, C. Genetic control of bone formation. Annu. Rev. Cell Dev. Biol. 2009, 25, 629–648. [Google Scholar] [CrossRef]
- Kronenberg, H.M. Developmental regulation of the growth plate. Nature 2003, 423, 332–336. [Google Scholar] [CrossRef] [PubMed]
- Long, F.; Ornitz, D.M. Development of the endochondral skeleton. Cold Spring Harb. Perspect. Biol. 2013, 5, a008334. [Google Scholar] [CrossRef] [PubMed]
- Yoon, B.S.; Lyons, K.M. Multiple functions of BMPs in chondrogenesis. J. Cell Biochem. 2004, 93, 93–103. [Google Scholar] [CrossRef] [PubMed]
- Jelic, M.; Pecina, M.; Haspl, M.; Kos, J.; Taylor, K.; Maticic, D.; McCartney, J.; Yin, S.; Rueger, D.; Vukicevic, S. Regeneration of articular cartilage chondral defects by osteogenic protein-1 (bone morphogenetic protein-7) in sheep. Growth Factors 2001, 19, 101–113. [Google Scholar] [CrossRef] [PubMed]
- Noel, D.; Gazit, D.; Bouquet, C.; Apparailly, F.; Bony, C.; Plence, P.; Millet, V.; Turgeman, G.; Perricaudet, M.; Sany, J.; et al. Short-term BMP-2 expression is sufficient for in vivo osteochondral differentiation of mesenchymal stem cells. Stem Cells 2004, 22, 74–85. [Google Scholar] [CrossRef] [PubMed]
- Van Beuningen, H.M.; Glansbeek, H.L.; van der Kraan, P.M.; van den Berg, W.B. Differential effects of local application of BMP-2 or TGF-beta 1 on both articular cartilage composition and osteophyte formation. Osteoarthr. Cart. 1998, 6, 306–317. [Google Scholar] [CrossRef]
- Toh, W.S.; Yang, Z.; Liu, H.; Heng, B.C.; Lee, E.H.; Cao, T. Effects of culture conditions and bone morphogenetic protein 2 on extent of chondrogenesis from human embryonic stem cells. Stem Cells 2007, 25, 950–960. [Google Scholar] [CrossRef]
- Chan, C.K.; Seo, E.Y.; Chen, J.Y.; Lo, D.; McArdle, A.; Sinha, R.; Tevlin, R.; Seita, J.; Vincent-Tompkins, J.; Wearda, T.; et al. Identification and specification of the mouse skeletal stem cell. Cell 2015, 160, 285–298. [Google Scholar] [CrossRef]
- Sekiya, I.; Larson, B.L.; Vuoristo, J.T.; Reger, R.L.; Prockop, D.J. Comparison of effect of BMP-2, -4, and -6 on in vitro cartilage formation of human adult stem cells from bone marrow stroma. Cell Tissue Res. 2005, 320, 269–276. [Google Scholar] [CrossRef]
- Schmal, H.; Niemeyer, P.; Zwingmann, J.; Stoffel, F.; Sudkamp, N.P.; Mehlhorn, A.T. Association between expression of the bone morphogenetic proteins 2 and 7 in the repair of circumscribed cartilage lesions with clinical outcome. BMC Musculoskelet Disord 2010, 11, 170. [Google Scholar] [CrossRef][Green Version]
- Gonzalez-Fernandez, T.; Tierney, E.G.; Cunniffe, G.M.; O’Brien, F.J.; Kelly, D.J. Gene Delivery of TGF-beta3 and BMP2 in an MSC-Laden Alginate Hydrogel for Articular Cartilage and Endochondral Bone Tissue Engineering. Tissue Eng. Part A 2016, 22, 776–787. [Google Scholar] [CrossRef] [PubMed]
- Schmitt, B.; Ringe, J.; Haupl, T.; Notter, M.; Manz, R.; Burmester, G.R.; Sittinger, M.; Kaps, C. BMP2 initiates chondrogenic lineage development of adult human mesenchymal stem cells in high-density culture. Differentiation 2003, 71, 567–577. [Google Scholar] [CrossRef] [PubMed]
- Bobryshev, Y.V. Transdifferentiation of smooth muscle cells into chondrocytes in atherosclerotic arteries in situ: Implications for diffuse intimal calcification. J. Pathol. 2005, 205, 641–650. [Google Scholar] [CrossRef] [PubMed]
- Hellingman, C.A.; Davidson, E.N.; Koevoet, W.; Vitters, E.L.; van den Berg, W.B.; van Osch, G.J.; van der Kraan, P.M. Smad signaling determines chondrogenic differentiation of bone-marrow-derived mesenchymal stem cells: Inhibition of Smad1/5/8P prevents terminal differentiation and calcification. Tissue Eng. Part A 2011, 17, 1157–1167. [Google Scholar] [CrossRef]
- Shen, B.; Wei, A.; Whittaker, S.; Williams, L.A.; Tao, H.; Ma, D.D.; Diwan, A.D. The role of BMP-7 in chondrogenic and osteogenic differentiation of human bone marrow multipotent mesenchymal stromal cells in vitro. J. Cell Biochem. 2010, 109, 406–416. [Google Scholar] [CrossRef]
- Rui, Y.F.; Lui, P.P.; Rolf, C.G.; Wong, Y.M.; Lee, Y.W.; Chan, K.M. Expression of chondro-osteogenic BMPs in clinical samples of patellar tendinopathy. Knee Surg. Sports Traumatol Arthrosc. 2012, 20, 1409–1417. [Google Scholar] [CrossRef] [PubMed]
- Kim, H.J.; Han, M.A.; Shin, J.Y.; Jeon, J.H.; Lee, S.J.; Yoon, M.Y.; Kim, H.J.; Choi, E.J.; Do, S.H.; Yang, V.C.; et al. Intra-articular delivery of synovium-resident mesenchymal stem cells via BMP-7-loaded fibrous PLGA scaffolds for cartilage repair. J. Control. Release 2019, 302, 169–180. [Google Scholar] [CrossRef] [PubMed]
- Levine, A.J.; Levine, Z.J.; Brivanlou, A.H. GDF3 is a BMP inhibitor that can activate Nodal signaling only at very high doses. Dev. Biol. 2009, 325, 43–48. [Google Scholar] [CrossRef] [PubMed]
- Gronroos, E.; Kingston, I.J.; Ramachandran, A.; Randall, R.A.; Vizan, P.; Hill, C.S. Transforming growth factor beta inhibits bone morphogenetic protein-induced transcription through novel phosphorylated Smad1/5-Smad3 complexes. Mol. Cell Biol. 2012, 32, 2904–2916. [Google Scholar] [CrossRef] [PubMed]
- Eyre, D.R. Collagen: Molecular diversity in the body’s protein scaffold. Science 1980, 207, 1315–1322. [Google Scholar] [CrossRef] [PubMed]
- Eyre, D.R. The collagens of articular cartilage. Semin. Arthritis Rheum. 1991, 21, 2–11. [Google Scholar] [CrossRef]
- Tuckermann, J.P.; Pittois, K.; Partridge, N.C.; Merregaert, J.; Angel, P. Collagenase-3 (MMP-13) and integral membrane protein 2a (Itm2a) are marker genes of chondrogenic/osteoblastic cells in bone formation: Sequential temporal, and spatial expression of Itm2a, alkaline phosphatase, MMP-13, and osteocalcin in the mouse. J. Bone Min. Res. 2000, 15, 1257–1265. [Google Scholar] [CrossRef] [PubMed]
- Schneevoigt, J.; Fabian, C.; Leovsky, C.; Seeger, J.; Bahramsoltani, M. In Vitro Expression of the Extracellular Matrix Components Aggrecan, Collagen Types I and II by Articular Cartilage-Derived Chondrocytes. Anat. Histol. Embryol. 2017, 46, 43–50. [Google Scholar] [CrossRef] [PubMed]
- Cals, F.L.; Hellingman, C.A.; Koevoet, W.; Baatenburg de Jong, R.J.; van Osch, G.J. Effects of transforming growth factor-beta subtypes on in vitro cartilage production and mineralization of human bone marrow stromal-derived mesenchymal stem cells. J. Tissue Eng. Regen. Med. 2012, 6, 68–76. [Google Scholar] [CrossRef] [PubMed]
- Yoo, J.U.; Barthel, T.S.; Nishimura, K.; Solchaga, L.; Caplan, A.I.; Goldberg, V.M.; Johnstone, B. The chondrogenic potential of human bone-marrow-derived mesenchymal progenitor cells. J. Bone Jt. Surg. Am. 1998, 80, 1745–1757. [Google Scholar] [CrossRef] [PubMed]
- Lian, Q.; Lye, E.; Suan Yeo, K.; Khia Way Tan, E.; Salto-Tellez, M.; Liu, T.M.; Palanisamy, N.; El Oakley, R.M.; Lee, E.H.; Lim, B.; et al. Derivation of clinically compliant MSCs from CD105 +, CD24- differentiated human ESCs. Stem Cells 2007, 25, 425–436. [Google Scholar] [CrossRef] [PubMed]
- Barreau, C.; Paillard, L.; Osborne, H.B. AU-rich elements and associated factors: Are there unifying principles? Nucleic Acids Res. 2005, 33, 7138–7150. [Google Scholar] [CrossRef]
- Espel, E. The role of the AU-rich elements of mRNAs in controlling translation. Semin Cell Dev. Biol. 2005, 16, 59–67. [Google Scholar] [CrossRef]
- Zhang, J.; Zhang, W.; Dai, J.; Wang, X.; Shen, S.G. Overexpression of Dlx2 enhances osteogenic differentiation of BMSCs and MC3T3-E1 cells via direct upregulation of Osteocalcin and Alp. Int. J. Oral Sci. 2019, 11, 12. [Google Scholar] [CrossRef] [PubMed]
- Cairns, D.M.; Liu, R.; Sen, M.; Canner, J.P.; Schindeler, A.; Little, D.G.; Zeng, L. Interplay of Nkx3.2, Sox9 and Pax3 regulates chondrogenic differentiation of muscle progenitor cells. PLoS ONE 2012, 7, e39642. [Google Scholar] [CrossRef]
- Sharma, P.; Gupta, S.; Chaudhary, M.; Mitra, S.; Chawla, B.; Khursheed, M.A.; Saran, N.K.; Ramachandran, R. Biphasic Role of Tgf-beta Signaling during Muller Glia Reprogramming and Retinal Regeneration in Zebrafish. iScience 2020, 23, 100817. [Google Scholar] [CrossRef] [PubMed]
- Yang, H.; Guo, Y.; Wang, D.; Yang, X.; Ha, C. Effect of TAK1 on osteogenic differentiation of mesenchymal stem cells by regulating BMP-2 via Wnt/beta-catenin and MAPK pathway. Organogenesis 2018, 14, 36–45. [Google Scholar] [CrossRef] [PubMed]
- Guerrero, F.; Herencia, C.; Almaden, Y.; Martinez-Moreno, J.M.; Montes de Oca, A.; Rodriguez-Ortiz, M.E.; Diaz-Tocados, J.M.; Canalejo, A.; Florio, M.; Lopez, I.; et al. TGF-beta prevents phosphate-induced osteogenesis through inhibition of BMP and Wnt/beta-catenin pathways. PLoS ONE 2014, 9, e89179. [Google Scholar] [CrossRef] [PubMed]
- Estrada, K.D.; Wang, W.; Retting, K.N.; Chien, C.T.; Elkhoury, F.F.; Heuchel, R.; Lyons, K.M. Smad7 regulates terminal maturation of chondrocytes in the growth plate. Dev. Biol. 2013, 382, 375–384. [Google Scholar] [CrossRef] [PubMed]
- Ghosh, A.K. Factors involved in the regulation of type I collagen gene expression: Implication in fibrosis. Exp. Biol. Med. (Maywood) 2002, 227, 301–314. [Google Scholar] [CrossRef] [PubMed]
- Klar, R.M.; Duarte, R.; Dix-Peek, T.; Ripamonti, U. The induction of bone formation by the recombinant human transforming growth factor-beta3. Biomaterials 2014, 35, 2773–2788. [Google Scholar] [CrossRef] [PubMed]
- Fahlgren, A.; Chubinskaya, S.; Messner, K.; Aspenberg, P. A capsular incision leads to a fast osteoarthritic response, but also elevated levels of activated osteogenic protein-1 in rabbit knee joint cartilage. Scand. J. Med. Sci. Sports 2006, 16, 456–462. [Google Scholar] [CrossRef]
- Steadman, J.R.; Briggs, K.K.; Rodrigo, J.J.; Kocher, M.S.; Gill, T.J.; Rodkey, W.G. Outcomes of microfracture for traumatic chondral defects of the knee: Average 11-year follow-up. Arthroscopy 2003, 19, 477–484. [Google Scholar] [CrossRef]
- Knutsen, G.; Engebretsen, L.; Ludvigsen, T.C.; Drogset, J.O.; Grontvedt, T.; Solheim, E.; Strand, T.; Roberts, S.; Isaksen, V.; Johansen, O. Autologous chondrocyte implantation compared with microfracture in the knee. A randomized trial. J. Bone Jt. Surg. Am. 2004, 86-A, 455–464. [Google Scholar] [CrossRef]
- Kuo, A.C.; Rodrigo, J.J.; Reddi, A.H.; Curtiss, S.; Grotkopp, E.; Chiu, M. Microfracture and bone morphogenetic protein 7 (BMP-7) synergistically stimulate articular cartilage repair. Osteoarthr. Cart. 2006, 14, 1126–1135. [Google Scholar] [CrossRef]
- Chen, H.C.; Sung, L.Y.; Lo, W.H.; Chuang, C.K.; Wang, Y.H.; Lin, J.L.; Hu, Y.C. Combination of baculovirus-expressed BMP-2 and rotating-shaft bioreactor culture synergistically enhances cartilage formation. Gene 2007, 15, 309–317. [Google Scholar] [CrossRef] [PubMed]
- Hashmi, B.; Mammoto, T.; Weaver, J.; Ferrante, T.; Jiang, A.; Jiang, E.; Feliz, J.; Ingber, D.E. Mechanical induction of dentin-like differentiation by adult mouse bone marrow stromal cells using compressive scaffolds. Stem Cell Res. 2017, 24, 55–60. [Google Scholar] [CrossRef] [PubMed]
- Mammoto, T.; Ingber, D.E. Mechanical control of tissue and organ development. Development 2010, 137, 1407–1420. [Google Scholar] [CrossRef] [PubMed]
- Klar, R.M. Bone Induction: Regeneration through Chaos. Front. Physiol. 2011, 2, 21. [Google Scholar] [CrossRef] [PubMed]
- Roberts, A.B.; Sporn, M.B.; Assoian, R.K.; Smith, J.M.; Roche, N.S.; Wakefield, L.M.; Heine, U.I.; Liotta, L.A.; Falanga, V.; Kehrl, J.H.; et al. Transforming growth factor type beta: Rapid induction of fibrosis and angiogenesis in vivo and stimulation of collagen formation in vitro. Proc. Natl. Acad. Sci. USA 1986, 83, 4167–4171. [Google Scholar] [CrossRef] [PubMed]
- Bustin, S.A.; Wittwer, C.T. MIQE: A Step Toward More Robust and Reproducible Quantitative PCR. Clin. Chem. 2017, 63, 1537–1538. [Google Scholar] [CrossRef]
- Bustin, S.A.; Benes, V.; Garson, J.A.; Hellemans, J.; Huggett, J.; Kubista, M.; Mueller, R.; Nolan, T.; Pfaffl, M.W.; Shipley, G.L.; et al. The MIQE guidelines: Minimum information for publication of quantitative real-time PCR experiments. Clin. Chem. 2009, 55, 611–622. [Google Scholar] [CrossRef]
- Huggett, J.F.; Foy, C.A.; Benes, V.; Emslie, K.; Garson, J.A.; Haynes, R.; Hellemans, J.; Kubista, M.; Mueller, R.D.; Nolan, T.; et al. The digital MIQE guidelines: Minimum Information for Publication of Quantitative Digital PCR Experiments. Clin. Chem. 2013, 59, 892–902. [Google Scholar] [CrossRef]
- Klar, R.M.; Raquel, D.; Therese, D.P.; Caroline, D.; Carlo, F.; Ugo, R.J.J.o.C.; Medicine, M. Calcium ions and osteoclastogenesis initiate the induction of bone formation by coral-derived macroporous constructs. J. Cell. Mol. Med. 2014, 17, 1444–1457. [Google Scholar] [CrossRef]
- Steedman, H.F. Alcian blue 8GS: A new stain for mucin. Q. J. Microsc. Sci. 1950, 91, 477–479. [Google Scholar]
- Rubin Grandis, J.; Melhem, M.F.; Barnes, E.L.; Tweardy, D.J. Quantitative immunohistochemical analysis of transforming growth factor-alpha and epidermal growth factor receptor in patients with squamous cell carcinoma of the head and neck. Cancer 1996, 78, 1284–1292. [Google Scholar]












| Gene | Accession Number | 5′ Sequence | 3′ Sequence | |
|---|---|---|---|---|
| Reference genes | TBP | BC081939.1 | TAACCCAGAAAGTCGAAGAC | CCGTAAGGCATCATTGGA |
| GAPDH | BC083511.1 | CATGGGTGTGAACCATGA | TGTCATGGATGACCTTGG | |
| POLR2e | BC158787.1 | GACCATCAAGGTGTACTGC | CAGCTCCTGCTGTAGAAAC | |
| RPLP0 | BC001834.2 | CAACCCAGCTCTGGAGA | CAGCTGGCACCTTATTGG | |
| SDHA | NM_130428.1 | GCGGTATGAGACCAGTTATT | CCTGGCAAGGTAAACCAG | |
| RPL13α | NM_173340.2 | TTTCTCCGAAAGCGGATG | AGGGATCCCATCCAACA | |
| Genes of interest | Col1α1 | NM_053304.1 | GGTGACAGAGGCATAAAGG | AGACCGTTGAGTCCATCT |
| Col2α1 | NM_012929.1 | ATCCAGGGCTCCAATGA | TCTTCTGGAGTGCGGAA | |
| Col10α1 | XM_001053056.7 | CCAGGTCTCAATGGTCCTA | ATTTCCTCACGGACCTGT | |
| ACAN | NM_022190.1 | CAAGTGGAGCCGTGTTT | TTTAGGTCTTGGAAGCGAG | |
| ALP | NM_013059.2 | CGACAGCAAGCCCAAG | AGACGCCCATACCATCT | |
| SOX9 | NM_080403.1 | CCAGAGAACGCACATCAAG | ATACTGATGTGGCTGGTGG |
© 2020 by the authors. Licensee MDPI, Basel, Switzerland. This article is an open access article distributed under the terms and conditions of the Creative Commons Attribution (CC BY) license (http://creativecommons.org/licenses/by/4.0/).
Share and Cite
Xiong, F.; Hausdorf, J.; Niethammer, T.R.; Jansson, V.a.; Klar, R.M. Temporal TGF-β Supergene Family Signalling Cues Modulating Tissue Morphogenesis: Chondrogenesis within a Muscle Tissue Model? Int. J. Mol. Sci. 2020, 21, 4863. https://doi.org/10.3390/ijms21144863
Xiong F, Hausdorf J, Niethammer TR, Jansson Va, Klar RM. Temporal TGF-β Supergene Family Signalling Cues Modulating Tissue Morphogenesis: Chondrogenesis within a Muscle Tissue Model? International Journal of Molecular Sciences. 2020; 21(14):4863. https://doi.org/10.3390/ijms21144863
Chicago/Turabian StyleXiong, Fei, Jörg Hausdorf, Thomas R. Niethammer, Volkm.ar Jansson, and Roland M. Klar. 2020. "Temporal TGF-β Supergene Family Signalling Cues Modulating Tissue Morphogenesis: Chondrogenesis within a Muscle Tissue Model?" International Journal of Molecular Sciences 21, no. 14: 4863. https://doi.org/10.3390/ijms21144863
APA StyleXiong, F., Hausdorf, J., Niethammer, T. R., Jansson, V. a., & Klar, R. M. (2020). Temporal TGF-β Supergene Family Signalling Cues Modulating Tissue Morphogenesis: Chondrogenesis within a Muscle Tissue Model? International Journal of Molecular Sciences, 21(14), 4863. https://doi.org/10.3390/ijms21144863

