Lysozyme-Induced Transcriptional Regulation of TNF-α Pathway Genes in Cells of the Monocyte Lineage
Abstract
1. Introduction
2. Results
3. Discussion
4. Materials and Methods
4.1. Materials
4.2. Cell Line and Treatment
4.3. Whole Transcriptome Expression Profiling via RNA-seq
4.4. Library Preparation and RNA-Sequencing
4.5. Sequencing Data Analysis
4.6. Differential Gene Expression Analysis
4.7. Ingenuity Pathway Analysis (IPA®)
4.8. Proteomic Analysis
5. Conclusions
Supplementary Materials
Author Contributions
Acknowledgments
Conflicts of Interest
Abbreviations
| AGEs | Advanced Glycation End Products |
| CCL1 | Chemokine Ligand 1 |
| CCL3 | Chemokine Ligand 3 |
| CCL3L3 | Chemokine Ligand 3-like 3 |
| CCL7 | Chemokine Ligand 7 |
| CKMT2 | Creatine Kinase Mitochondrial 2 |
| DEGs | Differentially Expressed Genes |
| DLG2 | Discs Large MAGUK Scaffold Protein 2 |
| DSS | Dextran Sodium Sulphate |
| DTT | Dithiothreitol |
| FASP | Filter Aided Sample Preparation |
| FBS | Foetal Bovine Serum |
| FDR | False Discovery Rate |
| GI | Gastrointestinal |
| GLM | Generalized Linear Model |
| HEWL | Hen Egg-White Lysozyme |
| IER3 | Immediate Early Response 3 |
| IFNG | Interferon Gamma |
| IL-1 | Interleukin 1 |
| IL-6 | Interleukin 6 |
| IPA | Ingenuity Pathway Analysis |
| ISG15 | Interferon-Stimulated Gene 15 |
| JNK | c-Jun N-terminal Kinase |
| LC-MS/MS | Liquid Chromatography-tandem Mass Spectrometry |
| LFQ | Label-Free Quantification |
| LPS | Lipopolysaccharide |
| MAPK | Mitogen Activated Protein Kinase |
| MMP-9 | Matrix Metallopeptidase 9 |
| NF-κB | Nuclear Factor Kappa-light-chain-enhancer of activated B cells |
| PBS | Phosphate Buffered Saline |
| PMA | Phorbol-12-myristate 13-acetate |
| RAGE | Receptor of AGE |
| SCX | Strong Cation Exchange Chromatography |
| SNPs | Single Nucleotide Polymorphisms |
| UC | Ulcerative Colitis |
| TCEP | Tris (2-carboxyethyl)phosphine |
| TMEM150C | Transmembrane Protein 150C |
| TNF-α | Tumour Necrosis factor alpha |
References
- Fleming, A. On a remarkable bacteriolytic element found in tissues and secretions. Proc. R. Lond. 1922, 93, 306–317. [Google Scholar] [CrossRef]
- Nakimbugwe, D.; Masschalck, B.; Deckers, D.; Callewaert, L.; Aertsen, A.; Michielis, C.W. Cell wall substrate specificity of six different lysozymes and lysozyme inhibitory activity of bacterial extracts. FEMS Microbiol. Lett. 2006, 259, 41–46. [Google Scholar] [CrossRef] [PubMed]
- Ragland, S.; Criss, A.K. From bacterial killing to immune modulation: Recent insights into the functions of lysozyme. PLoS Pathog. 2017, 13, e1006512. [Google Scholar] [CrossRef] [PubMed]
- Koch, A.L. Bacterial wall as target for attack: Past, present, and future research. Clin. Microbiol. Rev. 2003, 16, 673–687. [Google Scholar] [CrossRef] [PubMed]
- Callewaert, L.; Michielis, C.W. Lysozyme in the animal kingdom. J. Biosci. 2010, 35, 127–160. [Google Scholar] [CrossRef] [PubMed]
- Juneja, V.K.; Dwivedi, H.P.; Yan, X. Novel natural food antimicrobials. Annu. Rev. Food Sci. Technol. 2012, 3, 381–403. [Google Scholar] [CrossRef]
- Proctor, V.A.; Cunningham, F.E.; Fung, D.Y.C. The chemistry of lysozyme and its use as food preservative and a pharmaceutical. Crit. Rev. Food Sci. Nutr. 1988, 26, 359–395. [Google Scholar] [CrossRef]
- Wu, T.; Jiang, Q.; Wu, D.; Hu, Y.; Chen, S.; Ding, T.; Ye, X.; Liu, D.; Chen, J. What is new in lysozyme research and its application in food industry? A review. Food Chem. 2019, 274, 698–709. [Google Scholar] [CrossRef]
- Maga, E.A.; Walker, R.L.; Anderson, G.B.; Murray, J.D. Consumption of milk from transgenic goats expressing human lysozyme in the mammary gland results in the modulation of intestinal microflora. Transgenic. Res. 2006, 15, 515–519. [Google Scholar] [CrossRef]
- Brundige, D.R.; Maga, E.A.; Klasing, K.C.; Murray, J.D. Lysozyme transgenic goat’s milk influences gastrointestinal morphology in young pigs. J. Nutr. 2008, 138, 921–926. [Google Scholar] [CrossRef][Green Version]
- Steinrauf, L.K.; Shiuan, D.; Yang, W.; Chiang, M.Y. Lysozyme association with nucleic acids. Biochem. Biophys. Res. Commun. 1999, 266, 366–370. [Google Scholar] [CrossRef] [PubMed]
- Lee-Huang, S.; Huang, P.L.; Sun, Y.; Huang, P.L.; Kung, H.; Blithe, D.L.; Chen, H. Lysozyme and RNases as anti-HIV components in β-core preparations of human chorionic gonadotropin. Proc. Natl. Acad. Sci. USA 1999, 96, 2678–2681. [Google Scholar] [CrossRef] [PubMed]
- Lin, K.C.; Wey, M.T.; Kan, L.S.; Shiuan, D. Characterization of the interactions of lysozyme with DNA by surface plasmon resonance and circular dichroism spectroscopy. Appl. Biochem. Biotechnol. 2009, 158, 631–641. [Google Scholar] [CrossRef] [PubMed]
- Cartei, F.; Cartei, G.; Ceschia, V.; Pacor, S.; Sava, G. Recovery of lymphocytes CD4+:CD8+ ratio in patients treated with lysozyme. Drug. Investig. 1992, 4, 51–57. [Google Scholar] [CrossRef]
- Yeboah, F.; Konishi, Y.; Cho, S.J.; Lertvorachon, J.; Kiyota, T.; Tomasz, P. Anti-glycation Agents for Preventive Age-, Diabetes-, and Smoking-Related Complications. Patent WO/2003/032969, 2003. [Google Scholar]
- Mitsuhashi, T.; Li, Y.M.; Fishbane, S.; Vlassara, H. Depletion of reactive advanced glycation end products from diabetic uremic sera using a lysozyme-linked matrix. J. Clin. Investig. 1997, 100, 847–854. [Google Scholar] [CrossRef]
- Zheng, F.; Cai, W.; Mitsuhashi, T.; Vlassara, H. Lysozyme enhances renal excretion of advanced glycation end products in vivo and suppresses adverse age-mediated cellular effects in vitro: A potential age sequestration therapy for diabetic nephropathy? Mol. Med. 2001, 7, 737–747. [Google Scholar] [CrossRef]
- Cocchietto, M.; Zorzin, L.; Toffoli, B.; Candido, R.; Fabris, B.; Stebel, M.; Sava, G. Orally administered microencapsulated lysozyme downregulates serum AGE and reduces the severity of early-stage diabetic nephropathy. Diabet. Metab. 2008, 34, 587–594. [Google Scholar] [CrossRef]
- Rubio, C.A.; Loerinc, E. Lysozyme is up-regulated in Barrett’s mucosa. Histopathology 2011, 58, 796–799. [Google Scholar] [CrossRef]
- Rubio, C.A.; Befrits, R. Increased lysozyme expression in gastric biopsies with intestinal metaplasia and pseudopyloric metaplasia. Int. J. Clin. Exp. Med. 2009, 2, 248–253. [Google Scholar]
- Rubio, C.A. Lysozyme expression in microscopic colitis. J. Clin. Pathol. 2011, 64, 510–515. [Google Scholar] [CrossRef]
- Rubio, C.A. Lysozyme-rich mucus metaplasia in duodenal crypts supersedes Paneth cells in celiac disease. Virchows Arch. 2011, 459, 339–346. [Google Scholar] [CrossRef]
- Lee, M.; Kovacs-Nolan, J.; Yang, C.; Archbold, T.; Fan, M.Z.; Mine, Y. Hen egg lysozyme attenuates inflammation and modulates local gene expression in a porcine model of dextran sodium sulphate (DSS)-induced colitis. J. Agric. Food Chem. 2009, 57, 2233–2240. [Google Scholar] [CrossRef]
- Takada, K.; Ohno, N.; Yadomae, T. Binding of lysozyme to lipopolysaccharide suppresses Tumor Necrosis Factor production in vivo. Infect. Immunity 1994, 62, 1171–1175. [Google Scholar]
- Takada, K.; Ohno, N.; Yadomae, T. Lysozyme regulates LPS-induced interleukin-6 release in mice. Circ. Shock 1994, 44, 169–174. [Google Scholar]
- Ogundele, M.O. A novel anti-inflammatory activity of lysozyme: Modulation of serum complement activation. Mediat. Inflamm. 1998, 7, 363–365. [Google Scholar] [CrossRef]
- Lee, W.; Park, E.J.; Kwak, S.; Kim, Y.; Na, D.H.; Bae, J.S. PEGylated lysozymes with anti-septic effects in human endothelial cells and in mice. Biochem. Biophys. Res. Commun. 2015, 459, 662–667. [Google Scholar] [CrossRef]
- Teneback, C.C.; Scanlon, T.C.; Wargo, M.J.; Bement, J.L.; Griswold, K.E.; Leclair, L.W. Bioengineered lysozyme reduces bacterial burden and inflammation in a murine model of mucoid Pseudomonas aeruginosa lung infection. Antimicrob. Agents Chemother. 2013, 57, 5559–5564. [Google Scholar] [CrossRef]
- Ohbayashi, H.; Setoguchi, Y.; Fukuchi, Y.; Shibata, K.; Sakata, Y.; Arai, T. Pharmacological effects of lysozyme on COPD and bronchial asthma with sputum: A randomized, placebo-controlled, small cohort, cross-over study. Pulm. Pharmacol. Ther. 2016, 37, 73–80. [Google Scholar] [CrossRef]
- Tenovuo, J. Clinical applications of antimicrobial host proteins lactoperoxidase, lysozyme and lactoferrin in xerostomia: Efficacy and safety. Oral Dis. 2002, 8, 23–29. [Google Scholar] [CrossRef]
- Asakura, K.; Kojima, T.; Shirasaki, H.; Katara, A. Evaluation of the effects of the antigen specific immunotherapy on chronic sinusitis in children with allergy. Auris Nasus Larynx 1990, 17, 33–38. [Google Scholar] [CrossRef]
- Ibrahim, H.R.; Matsuzaki, T.; Aoki, T. Genetic evidence that antibacterial activity of lysozyme is independent of its catalytic function. FEBS Lett. 2001, 506, 27–32. [Google Scholar] [CrossRef]
- Nash, J.A.; Ballard, T.N.; Weaver, T.E.; Akinbi, H.T. The peptidoglycan-degrading property of lysozyme is not required for bactericidal activity in vivo. J. Immunol. 2006, 177, 519–526. [Google Scholar] [CrossRef]
- Sundström, C.; Nilsson, K. Establishment and characterization of a human histiocytic lymphoma cell line (U-937). Int. J. Cancer 1976, 17, 656–677. [Google Scholar] [CrossRef]
- Sakurai, T.; Iesato, K.; Sakao, S.; Saito, K.; Tatsumi, K.; Shirasawa, H. Lysozyme hydrochloride inhibits cytokines in epithelial cells with respiratory syncytial virus infections: A brief report. Int. J. Pharm. Sci. Drug Res. 2015, 7, 126–128. [Google Scholar]
- Chung, J.; Ku, S.K.; Lee, S.; Bae, J.S. Suppressive effects of lysozyme on polyphosphate-mediated vascular inflammatory responses. Biochem. Biophys. Res. Commun. 2016, 474, 715–721. [Google Scholar] [CrossRef]
- Abey, S.K.; Yuana, Y.; Joseph, P.V.; Kenea, N.D.; Fourie, N.H.; Sherwin, L.A.B.; Gonye, G.E.; Smyser, P.A.; Stempinski, E.S.; Boulineaux, C.M.; et al. Lysozyme association with circulating RNA, extracellular vescicles, and chronic stress. BBA Clin. 2017, 7, 23–35. [Google Scholar] [CrossRef]
- Tagashira, A.; Nishi, K.; Matsumoto, S.; Sugahara, T. Anti-inflammatory effect of lysozyme from hen egg white on mouse peritoneal macrophages. Cytotechnology 2018, 70, 929–938. [Google Scholar] [CrossRef]
- Tagashira, A.; Nishi, K.; Sugahara, T. Lysozyme from hen egg white ameliorates lipopolysaccharide-induced systemic inflammation in mice. Cytotechnology 2019, 71, 497–506. [Google Scholar] [CrossRef]
- Ibrahim, H.R.; Hamasaki, K.; Miyata, T. Novel peptide motifs from lysozyme suppress pro-inflammatory cytokines in macrophages by antagonizing toll-like receptor and LPS-scavenging action. Eur. J. Pharm. Sci. 2017, 107, 240–248. [Google Scholar] [CrossRef]
- Gallo, D.; Cocchietto, M.; Masat, E.; Agostinis, C.; Harei, E.; Veronesi, P.; Sava, G. Human recombinant lysozyme downregulates advanced glycation endproduct-induced interleukin-6 production and release in an in-vitro model of human proximal tubular epithelial cells. Exp. Biol. Med. 2014, 239, 337–346. [Google Scholar] [CrossRef]
- Ku, S.K.; Yoon, E.K.; Lee, H.G.; Han, M.S.; Lee, T.; Bae, J.S. Inhibitory effects of lysozyme on endothelial protein C1 receptor shedding in vitro and in vivo. BMB Rep. 2015, 48, 624–629. [Google Scholar] [CrossRef]
- Wolpe, S.D.; Davatelis, G.; Sherry, B.; Beutler, B.; Hesse, D.G.; Nguyen, H.T.; Moldawer, L.L.; Nathan, C.F.; Lowry, S.F.; Cerami, A. Macrophages secrete a novel heparin-binding protein with inflammatory and neutrophil chemokinetic properties. J. Exp. Med. 1988, 167, 570–581. [Google Scholar] [CrossRef]
- Opdenakker, G.; Froyen, G.; Fiten, P.; Proost, P.; van Damme, J. Human monocyte chemotactic protein-3 (MCP-3): Molecular cloning of the cDNA and comparison with other chemokines. Biochem. Biophys. Res. Commun. 1993, 191, 535–542. [Google Scholar] [CrossRef]
- Obaru, K.; Fukuda, M.; Maeda, S.; Shimada, K. A cDNA clone used to study mRNA inducible in human tonsillar lymphocytes by a tumor promoter. J. Biochem. 1986, 99, 885–894. [Google Scholar] [CrossRef]
- Nakao, M.; Nomiyama, H.; Shimada, K. Structures of human genes coding for cytokine LD78 and their expression. Mol. Cell. Biol. 1990, 10, 3646–3658. [Google Scholar] [CrossRef]
- Wu, M.X.; Ao, Z.; Prasad, K.V.; Wu, R.; Schlossman, S.F. IEX-1L, an apoptosis inhibitor involved in NF-kappa B-mediated cell survival. Science 1998, 281, 998–1001. [Google Scholar] [CrossRef]
- Owhashi, M.; Taoka, Y.; Ishii, K.; Nakazawa, S.; Uemura, H.; Kambara, H. Identification of a ubiquitin family protein as a novel neutrophil chemotactic factor. Biochem. Biophys. Res. Commun. 2003, 309, 533–539. [Google Scholar] [CrossRef]
- Kyriakis, J.M.; Avruch, J. Protein kinase cascades activated by stress and inflammatory cytokines. Bioessays 1996, 18, 567–577. [Google Scholar] [CrossRef]
- Ventura, J.J.; Kennedy, N.J.; Lamb, J.A.; Flavell, R.A.; Davis, R.J. C-Jun NH(2)-terminal kinase is essential for the regulation of AP-1 by tumor necrosis factor. Mol. Cell. Biol. 2003, 23, 2871–2882. [Google Scholar] [CrossRef]
- Maier, T.; Guell, M.; Serrano, L. Correlation of mRNA and protein in complex biological samples. FEBS Lett. 2009, 583, 3966–3973. [Google Scholar] [CrossRef]
- Gygi, S.P.; Rochon, Y.; Franza, B.R.; Aebersold, R. Correlation between protein and mRNA abundance in yeast. Mol. Cell. Biol. 1999, 19, 1720–1730. [Google Scholar] [CrossRef]
- Nilsen, T.W.; Graveley, B.R. Expansion of the eukaryotic proteome by alternative splicing. Nature 2010, 463, 457–463. [Google Scholar] [CrossRef]
- Schwanhausser, B.; Busse, D.; Li, N.; Dittmar, G.; Schuchhardt, J.; Wolf, J.; Chen, W.; Selbach, M. Global quantification of mammalian gene expression control. Nature 2011, 473, 337–342. [Google Scholar] [CrossRef]
- Kumar, D.; Bansal, G.; Narang, A.; Basak, T.; Abbas, T.; Dash, D. Integrating transcriptome and proteome profiling: Strategies and applications. Proteomics 2016, 16, 2533–2544. [Google Scholar] [CrossRef]
- Shi, T.; Song, E.; Nie, S.; Rodland, K.D.; Liu, T.; Qian, W.J.; Smith, R.D. Advances in targeted proteomics and applications to biomedical research. Proteomics 2016, 16, 2160–2182. [Google Scholar] [CrossRef]
- Wiśniewski, J.R.; Zougma, A.; Nagaraj, N.; Mann, M. Universal sample preparation method for proteome analysis. Nat. Methods 2009, 6, 359–362. [Google Scholar] [CrossRef]
- Rappsilber, J.; Mann, M.; Ishihama, Y. Protocol for micro-purification, enrichment, pre-fractionation and storage of peptides for proteomics using StageTips. Nat. Protocols 2007, 2, 1896–1906. [Google Scholar] [CrossRef]
- Kulak, N.A.; Pichler, G.; Paron, I.; Nagaraj, N.; Mann, M. Minimal, encapsulated proteomic-sample processing applied to copy-number estimation in eukaryotic cells. Nat. Methods 2014, 11, 319–324. [Google Scholar] [CrossRef]
- Cox, J.; Mann, M. MaxQuant enables high peptide identification rates, individualized p.p.b.-range mass accuracies and proteome-wide protein quantification. Nat. Biotechnol. 2008, 26, 1367–1372. [Google Scholar] [CrossRef]
- Cox, J.; Hein, M.Y.; Luber, C.A.; Paron, I.; Nagaraj, N.; Mann, M. Accurate proteome-wide label-free quantification by delayed normalization and maximal peptide ratio extraction, termed MaxLFQ. Mol. Cell. Proteomics MCP 2014, 13, 2513–2526. [Google Scholar] [CrossRef]
- Tyanova, S.; Temu, T.; Sinitcyn, P.; Carlson, A.; Hein, M.Y.; Geiger, T.; Mann, M.; Cox, J. The Perseus computational platform for comprehensive analysis of (prote)omics data. Nat. Methods 2016, 13, 731–740. [Google Scholar] [CrossRef]
- Hubner, N.C.; Bird, A.W.; Cox, J.; Splettstoesser, B.; Bandilla, P.; Poser, I.; Hyman, A.; Mann, M. Quantitative proteomics combined with BAC TransgeneOmics reveals in vivo protein interactions. J. Cell. Biol. 2010, 189, 739–754. [Google Scholar] [CrossRef]
- R Core Team. R: A Language and Environment for Statistical Computing; R Foundation for Statistical Computing: Vienna, Austria, 2017; Available online: https://www.R-project.org/.






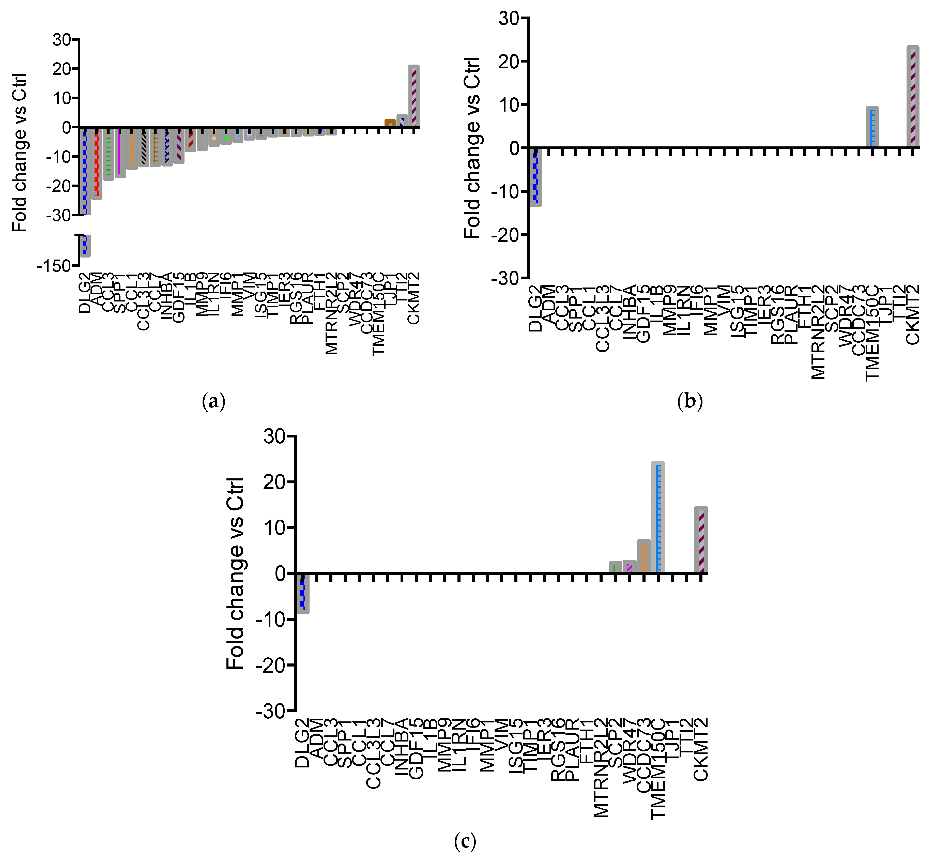
| Duration of Exposure to Lysozyme (h) | Analysis after the End of Exposure (h) | Up-Regulated Genes | Down-Regulated Genes |
|---|---|---|---|
| 1 | Immediate | 3/25 | 22/25 |
| 2 | 2/25 | 1/25 | |
| 24 | Immediate | 1/25 | 5/25 |
| Official Symbol | Official Full Name ^ | Compartment ^ | Main Functions ^ | Fold Change at Different Analysis Time Points | ||
|---|---|---|---|---|---|---|
| 1 h | 1 h + 2 | 24 h | ||||
| Up-regulated | ||||||
| CCDC73 | Coiled-coil domain containing 73 | Intracellular (predicted) | Unknown | - | - | 7.00 |
| CKMT2 | Creatine kinase, mitochondrial 2 | Mitochondrial inner membrane | Metabolism | 20.80 | 23.25 | 14.20 |
| SCP2 | Sterol carrier protein 2 | Peroxisomal matrix | Metabolism | - | - | 2.25 |
| TMEM150C | Transmembrane protein 150C | Plasma membrane | Mechanotransduction | - | 9.20 | 24.14 |
| TTI2 | TELO2 interacting protein 2 | Cytosol | DNA damage response | 3.86 | - | - |
| WDR47 | WD repeat domain 47 | Intracellular | Development biology | - | - | 2.56 |
| Down-regulated | ||||||
| ADM | Adrenomedullin | Extracellular region | Signal transduction | −24.14 | - | - |
| CCL1 | C-C motif chemokine ligand 1 | Extracellular region | Signal transduction | −13.91 | - | - |
| CCL3 | C-C motif chemokine ligand 3 | Extracellular region | Immune system | −17.61 | - | - |
| CCL3L3 | C-C motif chemokine ligand 3 like 3 | Extracellular region | Immune system | −12.98 | - | - |
| CCL7 | C-C motif chemokine ligand 7 | Extracellular region | Immune system | −12.95 | - | - |
| DLG2 | Discs large MAGUK scaffold protein 2 | Cytosol | Neuronal system | −110.73 | −13.15 | −8.48 |
| FTH1 | Ferritin heavy chain 1 | Extracellular region; Cytosol | Immune system; Vesicle-mediated transport; Transport of small molecules | −2.28 | - | - |
| GDF15 | Growth differentiation factor 15 | Extracellular region | −11.97 | - | - | |
| IER3 | Immediate early response 3 | Cytosol | Signal transduction | −2.82 | - | - |
| IFI6 | Interferon alpha inducible protein 6 | Plasma membrane | Immune system | −5.40 | - | - |
| IL1B | Interleukin 1 beta | Extracellular region; Cytosol | Immune system | −7.99 | - | - |
| IL1RN | Interleukin 1 receptor antagonist | Plasma membrane | Immune system | −6.06 | - | - |
| INHBA | Inhibin beta A subunit | Extracellular region | Metabolism of proteins; Signal transduction | −12.72 | - | - |
| ISG15 | ISG15 ubiquitin-like modifier | Cytosol; Nucleoplasm | Disease; Immune system; DNA repair | −3.73 | - | - |
| MMP1 | Matrix metallopeptidase 1 | Extracellular region | Extracellular matrix organisation; Haemostasis; Metabolism of proteins; Immune system | −4.63 | - | - |
| MMP9 | Matrix metallopeptidase 9 | Extracellular region | Development biology; Extracellular matrix organisation; Immune system; Signal transduction | −7.52 | - | - |
| MTRNR2L2 | MT-RNR2 like 2 | Extracellular region | Programmed cell death | −2.14 | - | - |
| PLAUR | Plasminogen activator, urokinase receptor | Plasma membrane; Endoplasmic reticulum membrane; Specific granule membrane; Endoplasmic reticulum lumen | Immune system; Metabolism of proteins | −2.55 | - | - |
| RGS16 | Regulator of G protein signalling 16 | Plasma membrane | Signal transduction | −2.69 | - | - |
| SPP1 | Secreted phosphoprotein 1 | Extracellular region; Endoplasmic reticulum lumen | Extracellular matrix organisation; Gene expression; Signal transduction | −16.71 | - | - |
| TIMP1 | TIMP metallopeptidase inhibitor 1 | Extracellular region; Platelet alpha granule lumen; Endoplasmic reticulum lumen | Extracellular matrix organisation; Haemostasis; Immune system; Metabolism of proteins | −2.93 | - | - |
| TJP1 | Tight junction protein 1 | Cell junctions; Plasma membrane; Cytosol; Golgi-associated vesicle membrane | Gene expression (transcription); Programmed cell death; Vesicle-mediated transport; Signal transduction | 2.14 | - | - |
| VIM | Vimentin | Cytosol | Immune system; Muscle contraction; Programmed cell death | −3.88 | - | - |
| Protein Name | Gene Name | Accession No. ^ | Intensity Mean Difference | −log10(p-Value) | Subcellular Location ^ | # |
|---|---|---|---|---|---|---|
| Cytochrome P450 | CYP1A1 | E7EMT5 | −3.814 | 1.977 | ER | S |
| Dipeptidase 1 | DPEP1 | P16444 | −3.595 | 3.086 | PM | S |
| Integrin alpha-M | ITGAM | P11215 | −3.111 | 4.298 | PM, OL | S |
| Carbohydrate sulfotransferase 14 | CHST14 | Q8NCH0 | −2.780 | 2.386 | GA | - |
| Protein S100-A8 | S100A8 | P05109 | −2.607 | 3.267 | PM, ExR/S, Cy, OL | S |
| Protein S100-A9 | S100A9 | P06702 | −2.481 | 4.341 | PM, ExR/S, Cy | S |
| Gamma-interferon-inducible lysosomal thiol reductase | IFI30 | P13284 | −1.971 | 3.228 | ExR/S, OL | - |
| SAM domain-containing protein SAMSN-1 | SAMSN1 | Q9NSI8 | −1.778 | 4.143 | N | - |
| Glycerol-3-phosphate dehydrogenase, mitochondrial | GPD2 | P43304 | 1.835 | 3.529 | M | S |
| Calcium/calmodulin-dependent protein kinase type 1 | CAMK1 | Q14012 | 2.088 | 3.662 | N, OL | S |
| Cathepsin G | CTSG | P08311 | 2.103 | 3.661 | OL (cell surface) | S |
| Aflatoxin B1 aldehyde reductase member 3 | AKR7A3 | O95154 | 2.203 | 3.480 | OL (cytoplasm) | S |
| Long-chain-fatty-acid—CoA ligase 5 | ACSL5 | Q9ULC5 | 2.327 | 5.667 | ER, M | S |
| HLA class II histocompatibility antigen, DRB1-15 beta chain | HLA-DRB1 | P01911 | 3.731 | 2.377 | PM, E, L, GA, ER | S |
| HLA class II histocompatibility antigen, DRB1-14 beta chain | HLA-DRB1 | Q9GIY3 | 3.851 | 3.219 | PM, E, L, GA, ER | - |
| HLA class II histocompatibility antigen, DRB1-9 beta chain | HLA-DRB1 | Q9TQE0 | 4.216 | 3.003 | PM, E, L, GA, ER | S |
| HLA class II histocompatibility antigen, gamma chain | CD74 | P04233 | 4.338 | 3.349 | PM, GA, E, L, ER | - |
| Nicotinate-nucleotide pyrophosphorylase [carboxylating] | QPRT | Q15274 | 4.405 | 3.701 | C, ExR/S, OL | S |
| Neutrophil elastase | ELANE | P08246 | 5.024 | 3.358 | ExR/S, L, OL | S |
| HLA class II histocompatibility antigen, DR beta 5 chain | HLA-DRB5 | Q30154 | 5.123 | 3.312 | PM, E, L, GA, ER | S |
| HLA class II histocompatibility antigen, DRB1-16 beta chain | HLA-DRB1 | Q29974 | 6.902 | 3.752 | PM, E, L, GA, ER | S |
| Kinesin-like protein KIF3B | KIF3B | O15066 | 7.129 | 3.922 | Cy, OL | - |
| HLA class II histocompatibility antigen, DR alpha chain | HLA-DRA | A0A0G2JMH6 | 7.236 | 5.473 | PM, OL | S |
| Protein Name | Gene Name | Accession No. ^ | Intensity Mean Difference | −log10(p-Value) | Subcellular Location ^ | # |
|---|---|---|---|---|---|---|
| Dipeptidase 1 | DPEP1 | P16444 | −3.010 | 4.354 | PM | S |
| Dehydrogenase/reductase SDR family member 9 | DHRS9 | Q9BPW9 | −2.967 | 3.462 | ER | - |
| Integrin alpha-M | ITGAM | P11215 | −2.872 | 3.416 | PM, OL | S |
| Protein S100-A8 | S100A8 | P05109 | −2.784 | 3.495 | PM, ExR/S, Cy, OL | S |
| Glycerol-3-phosphate acyltransferase 3 | GPAT3 | Q53EU6 | −2.564 | 3.446 | ER | - |
| Protein S100-A9 | S100A9 | P06702 | −2.506 | 3.373 | PM, ExR/S, Cy, OL | S |
| Immunoglobulin alpha Fc receptor | FCAR | P24071 | −2.314 | 3.301 | PM, ExR/S | - |
| Cytochrome P450 | CYP1A1 | E7EMT5 | −2.307 | 3.075 | ER | S |
| Creatine kinase U-type, mitochondrial | CKMT1A | P12532 | −2.129 | 3.430 | M | - |
| Protein DPCD | DPCD | Q9BVM2 | 1.884 | 4.083 | N | - |
| Aflatoxin B1 aldehyde reductase member 3 | AKR7A3 | O95154 | 1.906 | 3.661 | OL (cytoplasm) | S |
| Cathepsin G | CTSG | P08311 | 2.084 | 4.115 | OL (cell surface) | S |
| Sulfotransferase 1A4 | SULT1A4 | P0DMN0 | 2.118 | 4.406 | OL (cytoplasm) | - |
| Glycerol-3-phosphate dehydrogenase, mitochondrial | GPD2 | P43304 | 2.154 | 3.692 | M | S |
| Long-chain-fatty-acid- -CoA ligase 5 | ACSL5 | Q9ULC5 | 2.193 | 3.405 | ER, M | S |
| Calcium/calmodulin-dependent protein kinase type 1 | CAMK1 | Q14012 | 2.292 | 4.360 | N, OL | S |
| Azurocidin | AZU1 | P20160 | 2.332 | 3.876 | OL (cytoplasmic granule membrane) | - |
| Interferon regulatory factor 8 | IRF8 | Q02556 | 2.980 | 2.604 | N, OL | - |
| Nicotinate-nucleotide pyrophosphorylase [carboxylating] | QPRT | Q15274 | 3.881 | 2.424 | C, ExR/S, OL | S |
| HLA class II histocompatibility antigen, DRB1-15 beta chain | HLA-DRB1 | P01911 | 3.917 | 2.424 | PM, E, L, GA, ER | S |
| HLA class II histocompatibility antigen, DRB1-9 beta chain | HLA-DRB1 | Q9TQE0 | 4.142 | 3.599 | PM, E, L, GA, ER | S |
| HLA class II histocompatibility antigen, DR beta 5 chain | HLA-DRB5 | Q30154 | 4.556 | 2.820 | PM, E, L, GA, ER | S |
| Neutrophil elastase | ELANE | P08246 | 6.238 | 4.969 | ExR/S, L, OL | S |
| HLA class II histocompatibility antigen, DRB1-16 beta chain | HLA-DRB1 | Q29974 | 6.658 | 4.247 | PM, E, L, GA, ER | S |
| HLA class II histocompatibility antigen, DR alpha chain | HLA-DRA | A0A0G2JMH6 | 7.888 | 5.519 | PM, OL | S |
© 2019 by the authors. Licensee MDPI, Basel, Switzerland. This article is an open access article distributed under the terms and conditions of the Creative Commons Attribution (CC BY) license (http://creativecommons.org/licenses/by/4.0/).
Share and Cite
Bergamo, A.; Gerdol, M.; Pallavicini, A.; Greco, S.; Schepens, I.; Hamelin, R.; Armand, F.; Dyson, P.J.; Sava, G. Lysozyme-Induced Transcriptional Regulation of TNF-α Pathway Genes in Cells of the Monocyte Lineage. Int. J. Mol. Sci. 2019, 20, 5502. https://doi.org/10.3390/ijms20215502
Bergamo A, Gerdol M, Pallavicini A, Greco S, Schepens I, Hamelin R, Armand F, Dyson PJ, Sava G. Lysozyme-Induced Transcriptional Regulation of TNF-α Pathway Genes in Cells of the Monocyte Lineage. International Journal of Molecular Sciences. 2019; 20(21):5502. https://doi.org/10.3390/ijms20215502
Chicago/Turabian StyleBergamo, Alberta, Marco Gerdol, Alberto Pallavicini, Samuele Greco, Isabelle Schepens, Romain Hamelin, Florence Armand, Paul J. Dyson, and Gianni Sava. 2019. "Lysozyme-Induced Transcriptional Regulation of TNF-α Pathway Genes in Cells of the Monocyte Lineage" International Journal of Molecular Sciences 20, no. 21: 5502. https://doi.org/10.3390/ijms20215502
APA StyleBergamo, A., Gerdol, M., Pallavicini, A., Greco, S., Schepens, I., Hamelin, R., Armand, F., Dyson, P. J., & Sava, G. (2019). Lysozyme-Induced Transcriptional Regulation of TNF-α Pathway Genes in Cells of the Monocyte Lineage. International Journal of Molecular Sciences, 20(21), 5502. https://doi.org/10.3390/ijms20215502

