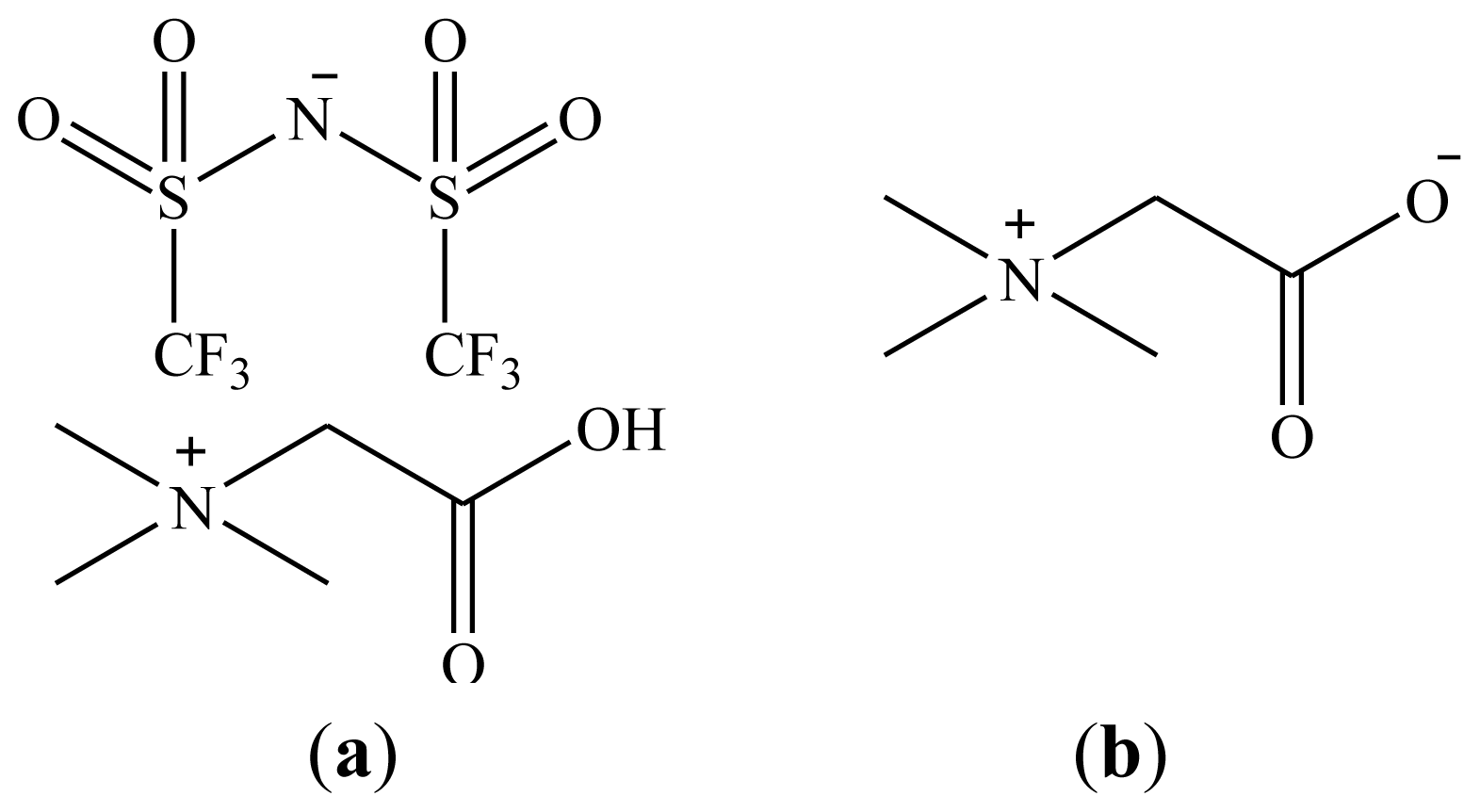
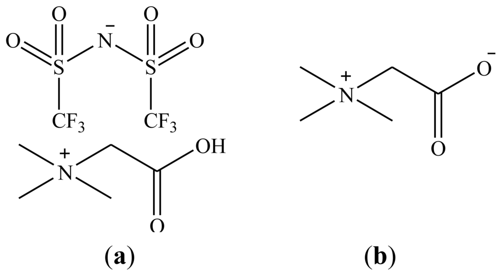
Homogeneous Liquid–Liquid Extraction of Rare Earths with the Betaine—Betainium Bis(trifluoromethylsulfonyl)imide Ionic Liquid System
Abstract
:1. Introduction
2. Results and Discussion
2.1. Viscosity and Mass Transfer
2.2. Distribution Ratios and Percentage Extractions
2.3. Extraction Parameters
2.4. Extraction Mechanism
2.5. Metal Stripping and Recovery of the Ionic Liquid
2.6. Influence of Betaine and HCl on the UCST of [Hbet][Tf2N]
2.7. Recovery of the Ionic Liquid
3. Experimental Section
3.1. Products
3.2. Equipment
3.3. Synthesis
3.3.1. Synthesis of [Hbet][Tf2N]
3.3.2. Synthesis of Metal Bis(trifluoromethylsulfonyl)imides
3.4. Extraction Experiments
3.5. Cloud Point Determinations
3.6. Viscosity Measurements
4. Conclusions















Acknowledgments
Conflicts of Interest
References
- Rydberg, J.; Cox, M.; Musikas, C.; Choppin, G.R. Solvent Extraction: Principles and Practice, 2nd ed; Marcel Dekker, Inc: New York, NY, USA, 2004. [Google Scholar]
- Seddon, K.R. Ionic liquids for clean technology. J. Chem. Technol. Biotechnol 1997, 68, 351–356. [Google Scholar]
- Welton, T. Room-temperature ionic liquids. Solvents for synthesis and catalysis. Chem. Rev 1999, 99, 2071–2083. [Google Scholar]
- Wasserscheid, P.; Keim, W. Ionic liquids new solutions for transition metal catalysis. Angew. Chem. Int. Ed. Engl 2000, 39, 3772–3789. [Google Scholar]
- Earle, M.J.; Esperanca, J.M.S.S.; Gilea, M.A.; Canongia Lopes, J.N.; Rebelo, L.P.N.; Magee, J.W.; Seddon, K.R.; Widegren, J.A. The distillation and volatility of ionic liquids. Nature 2006, 439, 831–834. [Google Scholar]
- Smiglak, M.; Reichert, W.M.; Holbrey, J.D.; Wilkes, J.S.; Sun, L.; Thrasher, J.S.; Kirichenko, K.; Singh, S.; Katritzky, A.R.; Rogers, R.D. Combustible ionic liquids by design: Is laboratory safety another ionic liquid myth? Chem. Commun 2006, 2554–2556. [Google Scholar]
- Fox, D.M.; Awad, W.H.; Gilman, J.W.; Maupin, P.H.; de Long, H.C.; Trulove, P.C. Flammability, thermal stability, and phase change characteristics of several trialkylimidazolium salts. Green Chem 2003, 5, 724–727. [Google Scholar]
- Matsumoto, H. Electrochemical Windows of Room-Temperature Ionic Liquids (RTILs). In Electrochemical Aspects of Ionic Liquids, 2nd ed; Ohno, H., Ed.; John Wiley & Sons, Inc: Hoboken, NJ, USA, 2011; pp. 35–54. [Google Scholar]
- Rogers, R.D.; Seddon, K.R. Ionic liquids—Solvents of the future? Science 2003, 302, 792–793. [Google Scholar]
- Berthod, A.; Ruiz-Angel, M.; Carda-Broch, S. Ionic liquids in separation techniques. J. Chromatogr. A 2008, 1184, 6–18. [Google Scholar]
- Billard, I.; Ouadi, A.; Gaillard, C. Liquid–liquid extraction of actinides, lanthanides, and fission products by use of ionic liquids: From discovery to understanding. Anal. Bioanal. Chem 2011, 400, 1555–1566. [Google Scholar]
- Billard, I. Ionic Liquids: New Hopes for Efficient Lanthanide/Actinide Extraction and Separation? In Handbook on the Physics and Chemistry of Rare Earths; Bünzli, J.C.G., Pescharsky, V., Eds.; Elsevier: Amsterdam, The Netherlands, 2013; Volume 43, pp. 213–273. [Google Scholar]
- Dietz, M.L. Ionic liquids as extraction solvents: Where do we stand? Sep. Sci. Technol 2006, 41, 2047–2063. [Google Scholar]
- Huddleston, G.; Rogers, D. Room temperature ionic liquids as novel media for “clean” liquid–liquid extraction. Chem. Commun 1998, 1765–1766. [Google Scholar]
- Liu, Y.; Chen, J.; Li, D. Application and perspective of ionic liquids on rare earths green separation. Sep. Sci. Technol 2012, 47, 223–232. [Google Scholar]
- Rao, P.R.V.; Venkatesan, K.A.; Rout, A.; Srinivasan, T.G.; Nagarajan, K. Potential applications of room temperature ionic liquids for fission products and actinide separation. Sep. Sci. Technol 2012, 47, 204–222. [Google Scholar]
- Vander Hoogerstraete, T.; Wellens, S.; Verachtert, K.; Binnemans, K. Removal of transition metals from rare earths by solvent extraction with an undiluted phosphonium ionic liquid: Separations relevant to rare-earth magnet recycling. Green Chem 2013, 15, 919–927. [Google Scholar]
- Parmentier, D.; Metz, S.J.; Kroon, M.C. Tetraalkylammonium oleate and linoleate based ionic liquids: Promising extractants for metal salts. Green Chem 2013, 15, 205–209. [Google Scholar]
- Zhang, S. Physical properties of ionic liquids: Database and evaluation. J. Phys. Chem. Ref. Data 2006, 35, 1475–1517. [Google Scholar]
- Wasserscheid, P.; Welton, T. Physico–Chemical Properties. In Ionic Liquids in Synthesis, 2nd ed; Wasserscheid, P., Welton, T., Eds.; Wiley-VCH Verlag GmbH & Co. KGaA: Weinheim, Germany, 2007; pp. 41–118. [Google Scholar]
- Jacquemin, J.; Husson, P.; Padua, A.A.H.; Majer, V. Density and viscosity of several pure and water-saturated ionic liquids. Green Chem 2006, 8, 172–180. [Google Scholar]
- Nockemann, P.; Thijs, B.; Pittois, S.; Thoen, J.; Glorieux, C.; van Hecke, K.; van Meervelt, L.; Kirchner, B.; Binnemans, K. Task-specific ionic liquid for solubilizing metal oxides. J. Phys. Chem. B 2006, 110, 20978–20992. [Google Scholar]
- Nockemann, P.; Thijs, B.; Parac-Vogt, T.N.; van Hecke, K.; van Meervelt, L.; Tinant, B.; Hartenbach, I.; Schleid, T.; Ngan, V.T.; Nguyen, M.T.; et al. Carboxyl-functionalized task-specific ionic liquids for solubilizing metal oxides. Inorg. Chem 2008, 47, 9987–9999. [Google Scholar]
- Nockemann, P.; Binnemans, K.; Thijs, B.; Parac-Vogt, T.N.; Merz, K.; Mudring, A.V.; Menon, P.C.; Rajesh, R.N.; Cordoyiannis, G.; Thoen, J.; et al. Temperature-driven mixing-demixing behavior of binary mixtures of the ionic liquid choline bis(trifluoromethylsulfonyl)imide and water. J. Phys. Chem. B 2009, 113, 1429–1437. [Google Scholar]
- Lachwa, J.; Szydlowski, J.; Makowska, A.; Seddon, K.R.; Esperanca, J.M.S.S.; Guedes, H.J.R.; Rebelo, L.P.N. Changing from an unusual high-temperature demixing to a ucst-type in mixtures of 1-alkyl-3-methylimidazolium bis[(trifluoromethyl)sulfonyl]amide and arenes. Green Chem 2006, 8, 262–267. [Google Scholar]
- Fukaya, Y.; Sekikawa, K.; Murata, K.; Nakamura, N.; Ohno, H. Miscibility and phase behavior of water–dicarboxylic acid type ionic liquid mixed systems. Chem. Commun 2007, 3089–3091. [Google Scholar]
- Yoshimitsu, H.; Kanazawa, A.; Kanaoka, S.; Aoshima, S. Well-defined polymeric ionic liquids with an upper critical solution temperature in water. Macromolecules 2012, 45, 9427–9434. [Google Scholar]
- Fukaya, Y.; Ohno, H. Hydrophobic and polar ionic liquids. Phys. Chem. Chem. Phys 2013, 15, 4066–4072. [Google Scholar]
- Kohno, Y.; Arai, H.; Saita, S.; Ohno, H. Material design of ionic liquids to show temperature-sensitive LCST-type phase transition after mixing with water. Aust. J. Chem 2011, 64, 1560–1567. [Google Scholar]
- Kohno, Y.; Ohno, H. Temperature-responsive ionic liquid/water interfaces: Relation between hydrophilicity of ions and dynamic phase change. Phys. Chem. Chem. Phys 2012, 14, 5063–5070. [Google Scholar]
- Saita, S.; Kohno, Y.; Ohno, H. Detection of small differences in the hydrophilicity of ions using the LCST-type phase transition of an ionic liquid-water mixture. Chem. Commun 2013, 49, 93–95. [Google Scholar]
- Xie, Z.L.; Taubert, A. Thermomorphic behavior of the ionic liquids [C4mim][FeCl4] and [C12mim][FeCl4]. Chemphyschem 2011, 12, 364–368. [Google Scholar]
- Fukumoto, K.; Ohno, H. LCST-type phase changes of a mixture of water and ionic liquids derived from amino acids. Angew. Chem. Int. Ed. Engl 2007, 46, 1852–1855. [Google Scholar]
- Lamb, J.D.; Peterson, R.T. Coalescence extraction—A novel, rapid means of performing solvent extractions. Sep. Sci. Technol 1995, 30, 3237–3244. [Google Scholar]
- Schaadt, A.; Bart, H.J. Coalescence extraction—A benign extraction tool. Chem. Eng. Technol 2003, 26, 469–472. [Google Scholar]
- Ullmann, A.; Ludmer, Z.; Shinnar, R. Phase-transition extraction using solvent mixtures with critical-point of miscibility. AIChE J 1995, 41, 488–500. [Google Scholar]
- Hosseini, M.H.; Alizadeh, N. Coalescence extraction system for rapid efficient and selective separation of zirconium and hafnium. Ind. Eng. Chem. Res 2010, 49, 7068–7073. [Google Scholar]
- Alizadeh, N.; Ashtari, K. Coalescence extraction of silver(I) using the temperature-induced phase separation (TIPS) process. Sep. Purif. Technol 2005, 44, 79–84. [Google Scholar]
- Vaezzadeh, M.; Shemirani, F.; Majidi, B. Determination of silver in real samples using homogeneous liquid–liquid microextraction based on ionic liquid. J. Anal. Chem 2012, 67, 28–34. [Google Scholar]
- Vander Hoogerstraete, T.; Onghena, B.; Binnemans, K. Homogeneous liquid-liquid extraction of metal ions with a functionalized ionic liquid. J. Phys. Chem. Lett 2013, 4, 1659–1663. [Google Scholar]
- Kolarik, Z. Ionic liquids: How far do they extend the potential of solvent extraction of f-elements? Solvent Extr. Ion Exch 2013, 31, 24–60. [Google Scholar]
- Okoturo, O.O.; VanderNoot, T.J. Temperature dependence of viscosity for room temperature ionic liquids. J. Electroanal. Chem 2004, 568, 167–181. [Google Scholar]
- Seddon, K.R.; Stark, A.; Torres, M. Viscosity and Density of 1-Alkyl-3-methylimidazolium Ionic Liquids. In Clean Solvents, 819th ed; Abraham, M.A., Moens, L., Eds.; American Chemical Society: Washington, DC, USA, 2002; pp. 34–49. [Google Scholar]
- Ghatee, M.H.; Bahrami, M.; Khanjari, N. Measurement and study of density, surface tension, and viscosity of quaternary ammonium-based ionic liquids ([N222(n)]Tf2N). J. Chem. Thermodyn 2013, 65, 42–52. [Google Scholar]
- Deive, F.J.; Rivas, M.A.; Rodriguez, A. Study of thermodynamic and transport properties of phosphonium-based ionic liquids. J. Chem. Thermodyn 2013, 62, 98–103. [Google Scholar]
- Ghatee, M.H.; Zare, M.; Zolghadr, A.R.; Moosavi, F. Temperature dependence of viscosity and relation with the surface tension of ionic liquids. Fluid Phase Equilib 2010, 291, 188–194. [Google Scholar]
- Sanders, J.R.; Hussey, C.L.; Ward, E.H. Aluminum bromide-1-methyl-3-ethylimidazolium bromide ionic liquids I. Densities, viscosities, electrical conductivities, and phase transitions. J. Electrochem. Soc 1986, 133, 325–330. [Google Scholar]
- Philip, D.; Aruldhas, G. Infrared, polarized Raman, and SERS spectra of betaine hydrogen oxalate monohydrate. J. Solid State Chem 1995, 114, 129–137. [Google Scholar]
- Lassègues, J.C.; Grondin, J.; Holomb, R.; Johansson, P. Raman and ab initio study of the conformational isomerism in the 1-ethyl-3-methyl-imidazolium bis(trifluoromethanesulfonyl)imide ionic liquid. J. Raman Spectrosc 2007, 38, 551–558. [Google Scholar]
- Fagnant, D.P.; Goff, G.S.; Scott, B.L.; Runde, W.; Brennecke, J.F. Switchable phase behavior of [HBet][Tf2N]–H2O upon neodymium loading: Implications for lanthanide separations. Inorg. Chem 2013, 52, 549–551. [Google Scholar]
- Yang, G.; Chen, H.A.; Zhou, Z.Y.; Chen, X.M. Synthesis and crystal structures of quadruply carboxylate-bridged dimeric lanthanide(III) complexes of betaine. J. Chem. Crystallogr 1999, 29, 309–316. [Google Scholar]
- Nockemann, P.; Thijs, B.; Lunstroot, K.; Parac-Vogt, T.N.; Görller-Walrand, C.; Binnemans, K.; van ecke, K.; van Meervelt, L.; Nikitenko, S.; Daniels, J.; et al. Speciation of rare-earth metal complexes in ionic liquids: A multiple-technique approach. Chem. Eur. J 2009, 15, 1449–1461. [Google Scholar]
- Dawson, R.M.C. Data for Biochemical Research; Clarendon Press: Oxford, UK, 1959. [Google Scholar]
- Freire, M.G.; Carvalho, P.J.; Silva, A.M.S.; Santos, L.M.N.B.; Rebelo, L.P.N.; Marrucho, I.M.; Coutinho, J.A.P. Ion specific effects on the mutual solubilities of water and hydrophobic ionic liquids. J. Phys. Chem. B 2009, 113, 202–211. [Google Scholar]
- Gaillard, C.; Mazan, V.; Georg, S.; Klimchuk, O.; Sypula, M.; Billard, I.; Schurhammer, R.; Wipff, G. Acid extraction to a hydrophobic ionic liquid: The role of added tributylphosphate investigated by experiments and simulations. Phys. Chem. Chem. Phys 2012, 14, 5187–5199. [Google Scholar]
© 2013 by the authors; licensee MDPI, Basel, Switzerland This article is an open access article distributed under the terms and conditions of the Creative Commons Attribution license (http://creativecommons.org/licenses/by/3.0/).
Share and Cite
Vander Hoogerstraete, T.; Onghena, B.; Binnemans, K. Homogeneous Liquid–Liquid Extraction of Rare Earths with the Betaine—Betainium Bis(trifluoromethylsulfonyl)imide Ionic Liquid System. Int. J. Mol. Sci. 2013, 14, 21353-21377. https://doi.org/10.3390/ijms141121353
Vander Hoogerstraete T, Onghena B, Binnemans K. Homogeneous Liquid–Liquid Extraction of Rare Earths with the Betaine—Betainium Bis(trifluoromethylsulfonyl)imide Ionic Liquid System. International Journal of Molecular Sciences. 2013; 14(11):21353-21377. https://doi.org/10.3390/ijms141121353
Chicago/Turabian StyleVander Hoogerstraete, Tom, Bieke Onghena, and Koen Binnemans. 2013. "Homogeneous Liquid–Liquid Extraction of Rare Earths with the Betaine—Betainium Bis(trifluoromethylsulfonyl)imide Ionic Liquid System" International Journal of Molecular Sciences 14, no. 11: 21353-21377. https://doi.org/10.3390/ijms141121353
APA StyleVander Hoogerstraete, T., Onghena, B., & Binnemans, K. (2013). Homogeneous Liquid–Liquid Extraction of Rare Earths with the Betaine—Betainium Bis(trifluoromethylsulfonyl)imide Ionic Liquid System. International Journal of Molecular Sciences, 14(11), 21353-21377. https://doi.org/10.3390/ijms141121353
